Characterization of the Slovene Autochthonous Rose Hybrid Rosa pendulina × spinosissima (Rosa reversa Waldst. and Kit) Using Biochemical Patterns of the Plant Blossoms
Abstract
1. Introduction
2. Results
2.1. Morphological Characterization
2.1.1. Rosa pendulina L. (syn. R. alpina)—Alpine Rose
2.1.2. Rosa spinosissima L. (syn. R. pimpinellifolia L.)—Scotch Rose, Burnet Rose
2.1.3. Rosa pendulina × spinosissima = Rosa reversa Waldst. and Kit
2.2. Bioactive Substances of Rose Blossoms
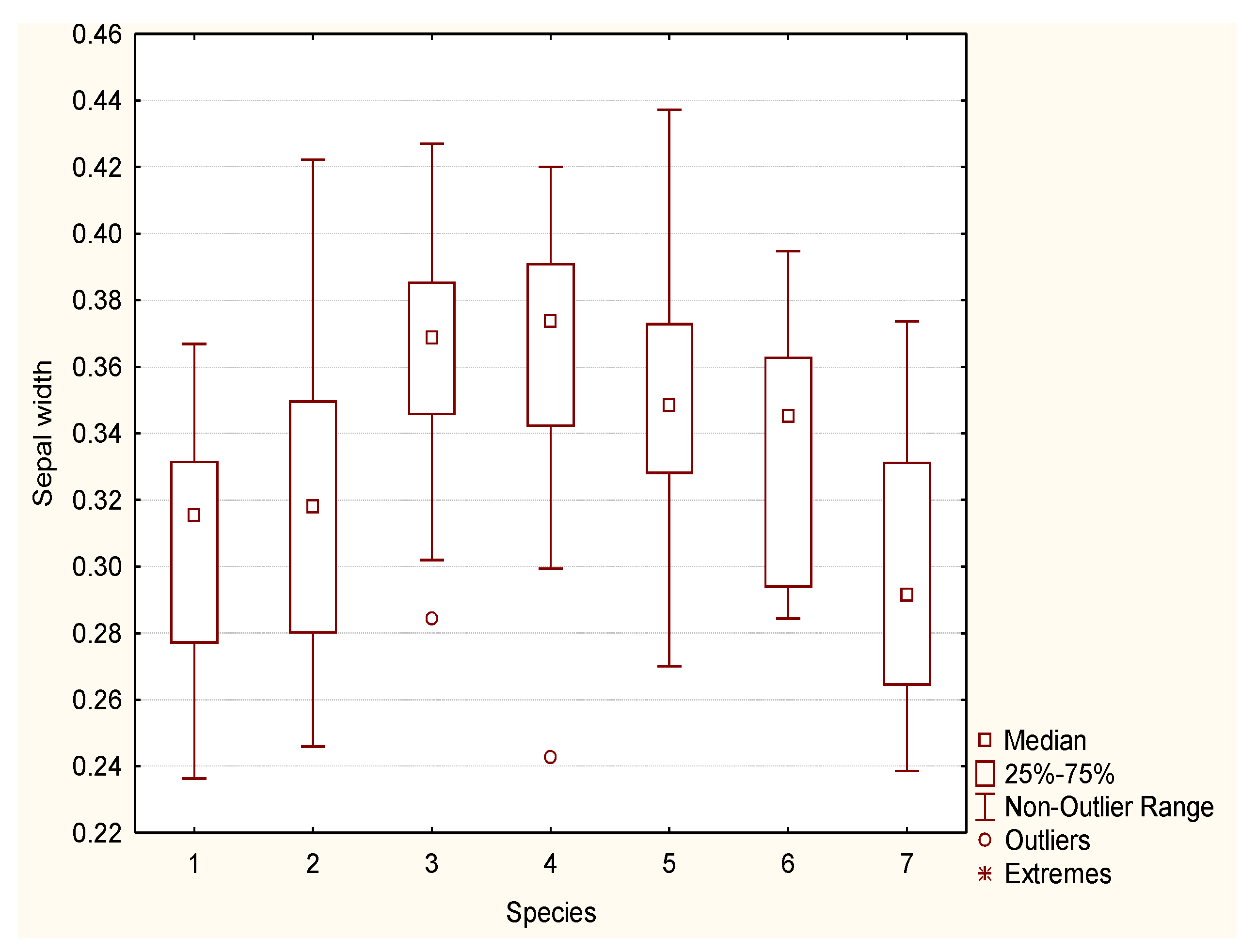
2.3. Determination by Flow Cytometry
3. Discussion
4. Materials and Methods
4.1. Sampling Locality Description
4.2. Plant Material Sampling
4.3. Extraction and Analysis of Phenolic Compounds
4.4. Flow Cytometry
4.5. Statistical Analysis
5. Conclusions
Author Contributions
Funding
Data Availability Statement
Conflicts of Interest
References
- Bavcon, J.; Ravnjak, B.; Vreš, B. Raznolikost šipkov (Rosa L.) v Sloveniji; Botanični vrt Univerze v Ljubljani; Biotehniška Fakulteta: Ljubljana, Slovenia, 2018; pp. 1–223. [Google Scholar]
- Raymond, O.; Gouzy, J.; Just, J. The Rosa genome provides new insights into the domestication of modern roses. Nat. Genet. 2018, 50, 772–777. [Google Scholar] [CrossRef]
- Erlanson, E.W. Phylogeny and polyploidy in rosa. New Phytol. 1938, 37, 72–81. [Google Scholar] [CrossRef]
- Werlemark, G. Genetics|Inheritance in the Dogrose. In Encyclopedia of Rose Science; Elsevier: Amsterdam, The Netherlands, 2003; pp. 292–299. [Google Scholar] [CrossRef]
- Gaurav, A.; Banyal, N.; Raju, D.V.S.; Singh, M.; Singh, B.; Krishnan, S.; Sevanthi, A.M.; Panwar, S.; Dhiman, M. Genetic characterization of Rosa species using morphological markers. Indian J. Agric. Sci. 2018, 88, 1396–1402. [Google Scholar]
- Roberts, A.; Gladis, T.; Brumme, H. DNA amounts of roses (Rosa L.) and their use in attributing ploidy levels. Plant Cell Rep. 2008, 28, 61–71. [Google Scholar] [CrossRef]
- Jowkar, A.; Kermani, M.; Mohsen, K.; Mohsen, M.; Zahra, H.; Parisa, K. Cytogenetic and Flow Cytometry Analysis of Iranian Rosa spp. Floric. Ornamen. Biotech. 2009, 3, 71–74. [Google Scholar]
- Mešić, A.; Šamec, D.; Jadan, M.; Bahun, V.; Tkalčec, Z. Integrated morphological with molecular identification and bioactive compounds of 23 Croatian wild mushrooms samples. Food Biosci. 2020, 37, 100720. [Google Scholar] [CrossRef]
- Grossi, C.; Raymond, O.; Jay, M. Flavonoid and enzyme polymorphism for taxonomic organization of Rosa sections Carolinae, Cinnamomeae, Pimpinellifoliae and Synstylae. Biochem. Syst. Ecol. 1998, 26, 857–871. [Google Scholar] [CrossRef]
- Shameh, S.; Hosseini, B.; Alirezalu, A.; Maleki, R. Phytochemical Composition and Antioxidant Activity of Petals of Six Rosa Species from Iran. J. AOAC Int. 2018, 101, 1788–1793. [Google Scholar] [CrossRef]
- Cendrowski, A.; Scibisz, I.; Mitek, M.; Kieliszek, M.; Kolniak-Ostek, J. Profile of the Phenolic Compounds of Rosa rugosa Petals. J. Food Qual. 2017, 2017, 7941347. [Google Scholar] [CrossRef]
- Cunja, V.; Mikulič Petkovšek, M.; Zupan, A.; Štampar, F.; Schmitzer, V. Frost decreases content of sugars, ascorbic acid and some quercetin glycosides but stimulates selected carotenes in Rosa canina hips. J. Plant Physiol. 2015, 178, 55–63. [Google Scholar] [CrossRef]
- Descr. Icon. R. x reversa Waldst. & Kit. (Waldstein & Kitaibel) Descriptiones et Icones Plantarum Rariorum Hungariae; Typis Matthiae Andreae Schmidt, Caes. Reg. Aul. Typogr: Vienna, Austria, 1812; Volume 3, p. 293.
- Martinčič, A. Mala Flora Slovenije: Ključ za Določanje Praprotnic in Semenk; Tehniška založba Slovenije: Ljubljana, Slovenia, 2007; pp. 1–967. [Google Scholar]
- Fleischmann, A. Uebersiht der Flora Krain s; Gedruckt bei Ignaz Alois Edlen von Kleinmayr: Ljubljana, Slovenia, 1844; pp. 1–144. [Google Scholar]
- Çoruh, S.; Ercisli, S. Interactions between galling insects and plant total phenolic contents in Rosa canina L. Sci. Res. Essays 2010, 5, 1935–1937. [Google Scholar]
- Fenglina, H.; Ruilia, L.; Huang, B.; Ming, L. Free radical scavenging activity of extracts prepared from fresh leaves of selected Chinese medicinal plants. Fitoterapia 2004, 75, 14–23. [Google Scholar] [CrossRef]
- Simkovics, L. Uber Rosa Reversa; W. K. Botanische Zeiterschrift: Wien, Austria, 1863; Volume 4, pp. 105–108. [Google Scholar]
- Host, N. Flora Austriaca Vol 1–2. Simptibus. Frider. Beck Bibliop. Univers. Viennae, Vienna, Austria,1827–1831. pp. 1–675. Available online: https://www.gbif.org/dataset/0e61f8fe-7d25-4f81-ada7-d970bbb2c6d6 (accessed on 5 December 2022).
- Bavcon, J. Botanični Vrtovi v Svetu, Njihov Pomen in Stanje v Sloveniji: Ekspertiza; Biotehniška Fakulteta, Oddelek za Biologijo, Botanični vrt: Ljubljana, Slovenia, 2000; pp. 1–30. [Google Scholar]
- Hladnik, F. Source: AS 882. Fasc. 18; Archives of the Republic of Slovenia: Ljubljana, Slovenia, 2016; pp. 1–148. [Google Scholar]
- Bavcon, J.; Praprotnik, N.; Ravnjak, B. Franc Hladnik und Seine Zusammenarbeit mit Nicolaus Thomas Host. V: SEIDL, Johannes (ur.). Deutsche und Österreichische Forschungsreisen Auf den Balkan und Nach Nahost; Aachen: Shaker; Europäische Wissenschaftsbeziehungen: Ljubljana, Slovenia, 2017; Volume 13, pp. 323–344. [Google Scholar]
- Cai, Y.Z.; Xing, J.; Sun, M.; Zhan, Z.Q.; Corke, H. Phenolic antioxidants (hydrolyzable tannins, flavonols, and anthocyanins) identified by LC-ESI-MS and MALDI-QIT-TOF MS from Rosa chinensis flowers. J. Agric. Food Chem. 2005, 53, 9940–9948. [Google Scholar] [CrossRef] [PubMed]
- Biolley, J.P.; Jay, M.; Viricel, M.R. Flavonoid diversity and metabolism in 100 Rosa X hybrida cultivars. Phytochemistry 1994, 35, 413–419. [Google Scholar] [CrossRef]
- Sliwinska, E. Flow cytometry—A modern method for exploring genome size and nuclear DNA synthesis in horticultural and medicinal plant species. Folia Hortic. 2018, 30, 103–128. [Google Scholar] [CrossRef]
- Bennett, M.D.; Leitch, I.J. Genome size evolution in plants. In The Evolution of the Genome; Elsevier: Amsterdam, The Netherlands, 2005; pp. 89–162. [Google Scholar]
- Yokoya, K.; Roberts, A.V.; Mottley, J.; Lewis, R.; Brandham, P.E. Nuclear DNA Amounts in Roses. Ann. Bot. 2000, 85, 557–561. [Google Scholar] [CrossRef]
- Greilhuber, J. ‘Self-tanning’—A new and important source of stoichiometric error in cytophotometric determination of nuclear DNA content in plants. Plant Syst. Evol. 1988, 158, 87–96. [Google Scholar] [CrossRef]
- Allum, J.; Bringloe, D.H.; Roberts, A. Chromosome doubling in a Rosa rugosa Thunb. hybrid by exposure of in vitro nodes to oryzalin: The effects of node length, oryzalin concentration and exposure time. Plant Cell Rep. 2007, 26, 1977–1984. [Google Scholar] [CrossRef]
- Brown, S.; Jacob, Y.; Teyssier, C.; Reynders, S. Use of flow cytometry for the rapid determination of ploidy level in the genus Rosa (Rosaceae). Acta Hortic. 1995, 424, 273–278. [Google Scholar] [CrossRef]
- Meier, U.; Bleiholder, H.; Brumme, H.; Bruns, E.; Mehring, B.; Proll, T.; Wiegand, J. Phenological growth stages of roses (Rosa sp.): Codification and description according to the BBCH scale. Ann. Appl. Biol. 2008, 154, 231–238. [Google Scholar] [CrossRef]
- Kunc, N.; Mikulič-Petkovšek, M.; Hudina, M.; Bavcon, J.; Vreš, B.; Osterc, G.; Ravnjak, B. Autochthonous Rose Hybrid Rosa pendulina × spinosissima Overshines Main Genotype Rosa pendulina in the Biochemical Characteristics of Their Hips. Horticulturae 2022, 8, 669. [Google Scholar] [CrossRef]
- Mikulic-Petkovsek, M.; Stampar, F.; Veberic, R.; Sircelj, H. Wild Prunus fruit species as a rich source of bioactive compounds. J. Food Sci. 2016, 81, C1928–C1937. [Google Scholar] [CrossRef]
- Mikulic-Petkovsek, M.; Koron, D.; Rusjan, D. The impact of fruit processing on phenolic content in products made from juneberry (Amelanchier lamarckii) fruits. J. Food Sci. 2020, 85, 386–393. [Google Scholar] [CrossRef]
- Doležel, J.; Greilhuber, J.; Suda, J. Estimation of nuclear DNA content in plants using flow cytometry. Nat. Protoc. 2007, 2, 2233–2244. [Google Scholar] [CrossRef]
- Pustahija, F.; Brown, S.C.; Bogunić, F.; Bašić, N.; Muratović, E.; Ollier, S.; Hidalgo, O.; Bourge, M.; Stevanović, V.; Siljak-Yakovlev, S. Small genomes dominate in plants growing on serpentine soils in West Balkans, an exhaustive study of 8 habitats covering 308 taxa. Plant Soil 2013, 373, 427–453. [Google Scholar] [CrossRef]








| Phenolic Group | Compound | Rosa pendulina | Rosa spinossisima | Rosa pendulina × spinosissima |
|---|---|---|---|---|
| Hydroxybenzoic acid (HBA) | gallic acid | 1.02 ± 0.04 a | 0.12 ± 0.05 c | 0.27 ± 0.016 b |
| Hydroxycinnamic acid derivatives (HCA) | p-coumaric acid hexoside 1 | 0.002 ± 0.0 c | 0.007 ± 0.0 a | 0.004 ± 0.0 b |
| 3-p-coumaroylquinic acid | 0.007 ± 0.0 a | 0.003 ± 0.0 c | 0.005 ± 0.0 b | |
| TOTAL | 1.029 ± 0.04 a | 0.13 ± 0.00 c | 0.279 ± 0.0 b | |
| Gallotannins | p-coumaric acid hexoside 2 | 0.68 ± 0.03 b | 1.13 ± 0.07 a | 1.02 ± 0.09 a |
| Digalloylhexoside 1 | 1.02 ± 0.04 a | 0.12 ± 0.005 c | 0.27 ± 0.016 b | |
| Methyl gallate | 0.19 ± 0.04 c | 0.74 ± 0.06 a | 0.43 ± 0.05 b | |
| Digalloylhexoside 2 | 1.31 ± 0.04 a | 0.21 ± 0.04 b | 0.26 ± 0.04 b | |
| Digalloylquinic acid | 0.01 ± 0.0 a | 0.03 ± 0.0 c | 0.02 ± 0.0 b | |
| Trigalloyl hexoside 1 | 43.78 ± 3.4 a | 17.17 ± 0.7 c | 31.95 ± 1.8 b | |
| Trigalloylhexoside 2 | 0.008 ± 0.0 b | 0.01 ± 0.0 a | 0.01 ± 0.0 ab | |
| Methyl gallate rutinoside | 0.09 ± 0.01 b | 0.14 ± 0.004 a | 0.05 ± 0.003 c | |
| TOTAL | 47.09 ± 3.56 a | 19.55 ± 0.879 c | 34.01 ± 1.999 b | |
| Ellagitannins | Di HHDP hexoside 1 | 0.11 ± 0.004 a | 0.36 ± 0.0 c | 0.09 ± 0.0 b |
| Di HHDP hexoside 2 | 0.36 ± 0.01 b | 0.71 ± 0.02 a | 0.28 ± 0.01 c | |
| HHDP digalloylhexoside 1 | 0.35 ± 0.03 c | 0.94 ± 0.02 a | 0.52 ± 0.0 b | |
| HHDP galloylhexoside | 0.39 ± 0.03 a | 0.15 ± 0.02 c | 0.28 ± 0.01 b | |
| HHDP digalloyhexoside 2 | 0.41 ± 0.09 b | 0.68 ± 0.03 a | 0.5 ± 0.01 ab | |
| Galloyl bis HHDP hexoside 1 | 1.01 ± 0.03 b | 2.37 ± 0.29 a | 0.89 ± 0.02 b | |
| Galloyl bis HHDP hexoside 2 | 5.14 ± 0.26 a | 8.55 ± 0.53 b | 7.7 ± 0.65 b | |
| Galloyl bis HHDP hexoside 3 | 4.56 ± 0.47 a | 3.88 ± 0.22 a | 1.5 ± 0.04 b | |
| Trigalloyl HHDP hexoside | 1.2 ± 0.14 b | 2.3 ± 0.39 a | 0.57 ± 0.03 b | |
| Vescalagin 1 | 1.73 ± 0.14 a | 1.96 ± 0.06 a | 1.2 ± 0.06 b | |
| Vescalagin 2 | 5.3 ± 0.16 a | 5.4 ± 3.04 a | 1.5 ± 0.13 a | |
| Vescalagin 3 | 0.57 ± 0.07 b | 1.09 ± 0.19 a | 0.27 ± 0.02 b | |
| Vescalagin 4 | 8.5 ± 0.32 b | 12.99 ± 0.29 a | 3.87 ± 0.18 c | |
| TOTAL | 29.63 ± 1.754 b | 41.73 ± 5.1 a | 18.17 ± 1.16 c |
| Phenolic Group | Compound | Rosa pendulina | Rosa spinossisima | Rosa pendulina × spinosissima |
|---|---|---|---|---|
| Flavanols | Dimer PA monogallate 1 | 1.68 ± 0.06 b | 3.93 ± 0.48 a | 1.48 ± 0.02 b |
| Dimer PA monogallate 2 | 2.96 ± 0.2 a | 3.37 ± 0.1 a | 2.06 ± 0.21 b | |
| Dimer PA monogallate 3 | 2.75 ± 0.1 b | 4.2 ± 0.12 a | 1.25 ± 0.06 c | |
| Procyanidin dimer 1 | 0.32 ± 0.01 b | 0.62 ± 0.02 a | 0.24 ± 0.01 b | |
| Procyanidin dimer 2 | 0.66 ± 0.05 c | 1.74 ± 0.05 a | 0.97 ± 0.01 b | |
| Catechin | 0.6 ± 0.04 a | 0.24 ± 0.04 c | 0.44 ± 0.04 b | |
| Procyanidin trimer | 0.49 ± 0.04 a | 0.19 ± 0.01 c | 0.35 ± 0.02 b | |
| TOTAL | 9.41 ± 0.5 b | 14.29 ± 0.82 a | 6.79 ± 0.37 c | |
| Flavonols | Quercetin rhamnosyl dihexoside | 0.09 ± 0.01 a | 0.02 ± 0.002 b | 0.02 ± 0.0 b |
| Quercetin dihexoside | 5.21 ± 0.03 c | 11.17 ± 0.38 b | 12.62 ± 0.02 a | |
| Quercetin galloyl hexoside 1 | 1.34 ± 0.07 a | 1.19 ± 0.0 a | 1.2 ± 0.09 a | |
| Kaempferol dihexoside | 1.93 ± 0.1 a | 1.68 ± 0.01 a | 1.71 ± 0.12 a | |
| Quercetin-3-rutinoside | 0.18 ± 0.02 b | 0.29 ± 0.004 a | 0.04 ± 0.002 c | |
| Quercetin galloyl hexoside 2 | 0.73 ± 0.08 b | 1.2 ± 0.02 a | 0.18 ± 0.01 c | |
| Quercetin pentoside hexoside | 1.43 ± 0.16 b | 2.27 ± 0.03 a | 0.34 ± 0.02 c | |
| Quercetin-3-galactoside | 1.67 ± 0.12 b | 2.22 ± 0.02 a | 0.42 ± 0.02 c | |
| Quercetin-3-glucoside | 1.44 ± 0.03 b | 1.8 ± 0.05 a | 0.57 ± 0.10 c | |
| Quercetin-3-xyloside | 0.02 ± 0.001 a | 0.01 ± 0.001 b | 0.012 ± 0.001 b | |
| Kaempferol rhamnosyl hexoside 1 | 0.3 ± 0.007 a | 0.15 ± 0.01 b | 0.17 ± 0.01 b | |
| Quercetin arabinopyranoside | 0.56 ± 0.02 c | 4.93 ± 0.12 a | 1.22 ± 0.08 b | |
| Kaempferol hexoside | 0.04 ± 0.001 c | 0.36 ± 0.009 a | 0.09 ± 0.005 b | |
| Isorhamnetin-3-glucuronide | 0.06 ± 0.01 b | 0.3 ± 0.01 a | 0.03 ± 0.001 a | |
| Quercetin-3-glucuronide | - | - | 0.9 ± 0.07 | |
| Quercetin-3-arabinofuranoside | 0.19 ± 0.02 c | 1.62 ± 0.03 a | 0.31 ± 0.02 b | |
| Quercetin acetylhexoside | 0.006 ± 0.001 c | 0.05 ± 0.001 a | 0.01 ± 0.001 b | |
| Quercetin-3-rhamnoside | 0.61 ± 0.07 c | 5.25 ± 0.10 a | 1.02 ± 0.06 b | |
| Kaempferol-3-glucuronide | 0.75 ± 0.04 a | 0.18 ± 0.01 c | 0.42 ± 0.02 b | |
| Quercetin galloylpentoside 1 | 0.03 ± 0.002 a | 0.01 ± 0.0 c | 0.02 ± 0.001 b | |
| Quercetin galloylpentoside 2 | 0.01 ± 0.001 b | 0.02 ± 0.001 a | 0.01 ± 0.001 b | |
| Kaempferol pentoside 1 | 0.14 ± 0.002 b | 0.21 ± 0.01 a | 0.14 ± 0.01 b | |
| Kaempferol-3-rhamnoside | 0.10 ± 0.004 b | 0.03 ± 0.001 c | 0.29 ± 0.02 a | |
| Kaempferol rhamnosyl dihexoside | 0.01 ± 0.002 c | 0.03 ± 0.001 b | 0.08 ± 0.006 a | |
| Kaempferol galloyl pentoside | 0.007 ± 0.04 c | 0.05 ± 0.002 a | 0.02 ± 0.001 b | |
| Quercetin rhamnosyl hexoside 1 | 0.28 ± 0.03 a | 0.04 ± 0.02 b | 0.02 ± 0.0 b | |
| Quercetin rhamnosyl hexoside 2 | 0.12 ± 0.0 a | 0.04 ± 0.0 b | 0.008 ± 0.0 b | |
| Kaempferol rhammnosyl hexoside 2 | 0.12 ± 0.02 a | 0.037 ± 0.002 b | 0.008 ± 0.0 b | |
| TOTAL | 17.27 ± 0.891 c | 35.16 ± 0.862 a | 21.88 ± 0.689 b | |
| Flavones | apigenin derivate | 0.02 ± 0.001 a | 0.02 ± 0.001 a | 0.02 ± 0.001 a |
| Dihydrochalcone | phloridzin | 5.13 ± 0.46 b | 7.89 ± 0.22 a | 2.94 ± 0.16 c |
| Phenolic Group | Compound | Rosa pendulina | Rosa pendulina × spinosissima |
|---|---|---|---|
| anthocyanins | cyanidin-3-glucoside | 0.19 ± 0.02 a | 0.24 ± 0.01 a |
| Species | 2C DNA Amount |
|---|---|
| R. pendulina | 1.71 ± 0.04 a |
| R. spinosissima | 1.60 ± 0.006 b |
| R. pendulina × spinosissima | 1.62 ± 0.01 ab |
Disclaimer/Publisher’s Note: The statements, opinions and data contained in all publications are solely those of the individual author(s) and contributor(s) and not of MDPI and/or the editor(s). MDPI and/or the editor(s) disclaim responsibility for any injury to people or property resulting from any ideas, methods, instructions or products referred to in the content. |
© 2023 by the authors. Licensee MDPI, Basel, Switzerland. This article is an open access article distributed under the terms and conditions of the Creative Commons Attribution (CC BY) license (https://creativecommons.org/licenses/by/4.0/).
Share and Cite
Kunc, N.; Hudina, M.; Bavcon, J.; Vreš, B.; Luthar, Z.; Gostinčar, K.; Mikulič-Petkovšek, M.; Osterc, G.; Ravnjak, B. Characterization of the Slovene Autochthonous Rose Hybrid Rosa pendulina × spinosissima (Rosa reversa Waldst. and Kit) Using Biochemical Patterns of the Plant Blossoms. Plants 2023, 12, 505. https://doi.org/10.3390/plants12030505
Kunc N, Hudina M, Bavcon J, Vreš B, Luthar Z, Gostinčar K, Mikulič-Petkovšek M, Osterc G, Ravnjak B. Characterization of the Slovene Autochthonous Rose Hybrid Rosa pendulina × spinosissima (Rosa reversa Waldst. and Kit) Using Biochemical Patterns of the Plant Blossoms. Plants. 2023; 12(3):505. https://doi.org/10.3390/plants12030505
Chicago/Turabian StyleKunc, Nina, Metka Hudina, Jože Bavcon, Branko Vreš, Zlata Luthar, Kristina Gostinčar, Maja Mikulič-Petkovšek, Gregor Osterc, and Blanka Ravnjak. 2023. "Characterization of the Slovene Autochthonous Rose Hybrid Rosa pendulina × spinosissima (Rosa reversa Waldst. and Kit) Using Biochemical Patterns of the Plant Blossoms" Plants 12, no. 3: 505. https://doi.org/10.3390/plants12030505
APA StyleKunc, N., Hudina, M., Bavcon, J., Vreš, B., Luthar, Z., Gostinčar, K., Mikulič-Petkovšek, M., Osterc, G., & Ravnjak, B. (2023). Characterization of the Slovene Autochthonous Rose Hybrid Rosa pendulina × spinosissima (Rosa reversa Waldst. and Kit) Using Biochemical Patterns of the Plant Blossoms. Plants, 12(3), 505. https://doi.org/10.3390/plants12030505

