Climate Change Potentially Leads to Habitat Expansion and Increases the Invasion Risk of Hydrocharis (Hydrocharitaceae)
Abstract
:1. Introduction
2. Materials and Methods
2.1. Species Occurrence Records
2.2. Environmental Variable Selection
2.3. Construction and Evaluation of Species Distribution Model
2.4. Geographical Analyses
3. Results
3.1. Model Performance and Predictor Variable Contributions
3.2. Climate-Suitable Area of Five Hydrocharis Species
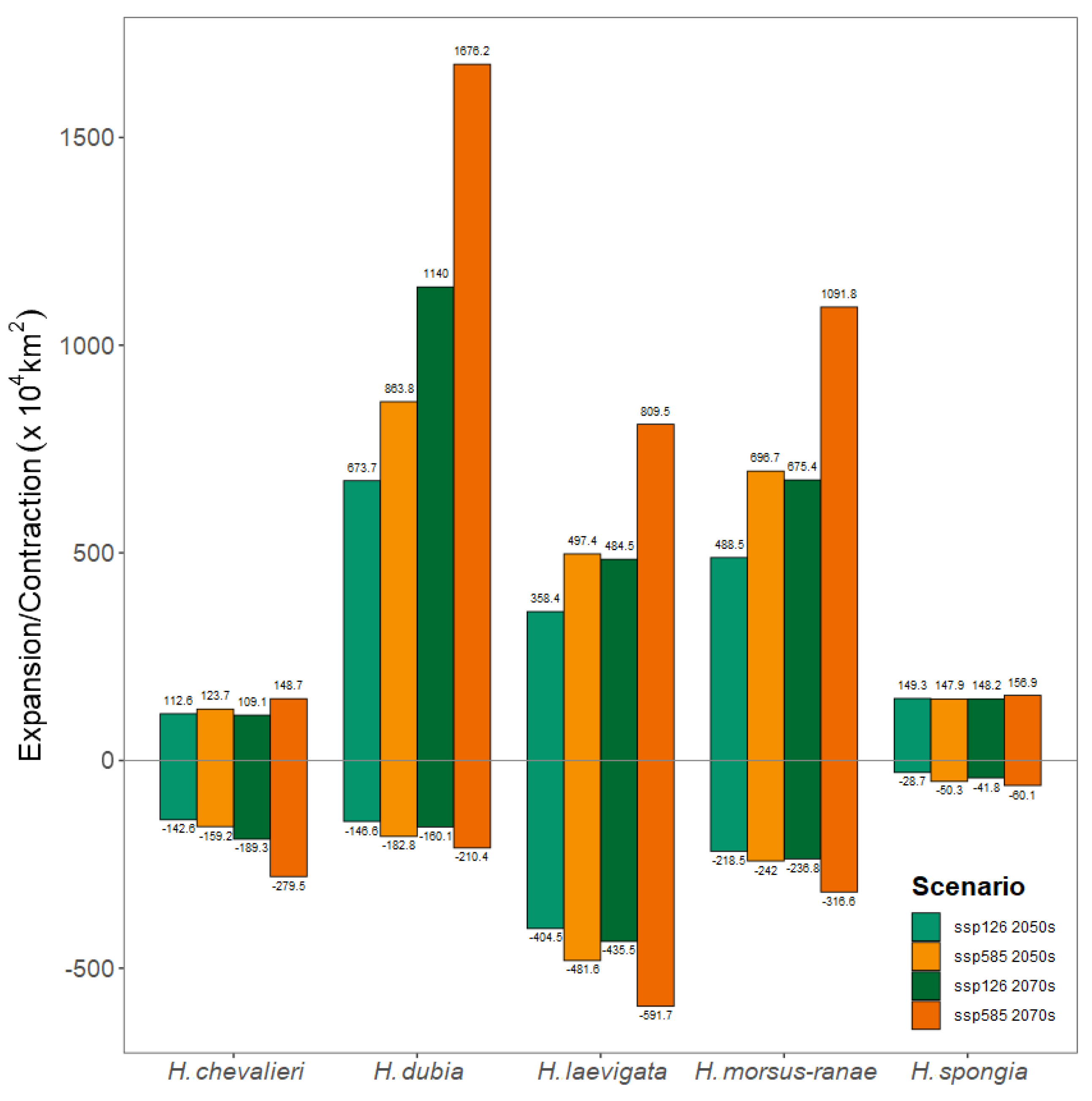
3.3. Change in Climate-Suitable Area of Hydrocharis in Future Climate Scenarios
3.4. Center Shift of Climate-Suitable Area of Hydrocharis
4. Discussion
4.1. Climate-Suitable Area of Hydrocharis on a Global Scale
4.2. Dynamic Change in Potential Suitable Area of Hydrocharis in Future Climate
4.3. Invasion Risk and Management of Hydrocharis Species
5. Conclusions
Author Contributions
Funding
Data Availability Statement
Acknowledgments
Conflicts of Interest
Appendix A
| Hydrocharis chevalieri | H. dubia | H. laevigata | H. morsus-ranae | H. spongia | ||||||
|---|---|---|---|---|---|---|---|---|---|---|
| AUC | TSS | AUC | TSS | AUC | TSS | AUC | TSS | AUC | TSS | |
| CTA | 0.958 | 0.913 | 0.976 | 0.901 | 0.938 | 0.840 | 0.979 | 0.930 | 0.992 | 0.978 |
| FDA | 0.985 | 0.925 | 0.965 | 0.808 | 0.952 | 0.791 | 0.961 | 0.860 | 0.994 | 0.973 |
| GBM | 0.998 | 0.991 | 0.994 | 0.941 | 0.989 | 0.910 | 0.989 | 0.921 | 1.000 | 0.990 |
| GLM | 0.991 | 0.972 | 0.978 | 0.861 | 0.944 | 0.806 | 0.974 | 0.881 | 0.998 | 0.985 |
| MARS | 0.992 | 0.977 | 0.984 | 0.892 | 0.962 | 0.833 | 0.975 | 0.878 | 0.998 | 0.984 |
| MAXENT | 0.897 | 0.778 | 0.943 | 0.857 | 0.973 | 0.829 | 0.941 | 0.815 | 0.991 | 0.973 |
| EMmodel | 0.995 | 0.979 | 0.991 | 0.916 | 0.978 | 0.858 | 0.986 | 0.906 | 0.999 | 0.984 |
| Hydrocharis chevalieri | H. dubia | H. laevigata | H. morsus-ranae | H. spongia | |
|---|---|---|---|---|---|
| Cutoff | 544 | 444 | 439 | 539 | 344 |
References
- Pecl, G.T.; Araújo, M.B.; Bell, J.D.; Blanchard, J.L.; Bonebrake, T.C.; Chen, I.; Clark, T.D.; Colwell, R.K.; Danielsen, F.; Evengård, B.; et al. Biodiversity redistribution under climate change: Impacts on ecosystems and human well-being. Science 2017, 355, eaai9214. [Google Scholar] [CrossRef]
- Thomas, C.D.; Cameron, A.; Green, R.E.; Bakkenes, M.; Beaumont, L.J.; Collingham, Y.C.; Erasmus, B.F.N.; Ferreira de Siqueira, M.; Grainger, A.; Hannah, L.; et al. Extinction risk from climate change. Nature 2004, 427, 145–148. [Google Scholar] [CrossRef] [PubMed]
- Chen, I.C.; Hill, J.K.; Ohlemüller, R.; Roy, D.B.; Thomas, C.D. Rapid range shifts of species associated with high levels of climate warming. Science 2011, 333, 1024–1026. [Google Scholar] [CrossRef] [PubMed]
- Parmesan, C. Ecological and evolutionary responses to recent climate change. Annu. Rev. Ecol. Evol. Syst. 2006, 37, 637–669. [Google Scholar] [CrossRef]
- Le Roux, P.C.; McGeoch, M.A. Rapid range expansion and community reorganization in response to warming. Glob. Chang. Biol. 2008, 14, 2950–2962. [Google Scholar] [CrossRef]
- Thuiller, W.; Lavorel, S.; Araújo, M.B.; Sykes, M.T.; Prentice, I.C. Climate change threats to plant diversity in Europe. Proc. Natl. Acad. Sci. USA 2005, 102, 8245–8250. [Google Scholar] [CrossRef] [PubMed]
- Hellmann, J.J.; Byers, J.E.; Bierwagen, B.G.; Dukes, J.S. Five potential consequences of climate change for invasive species. Conserv. Biol. 2008, 22, 534–543. [Google Scholar] [CrossRef] [PubMed]
- Bellard, C.; Thuiller, W.; Leroy, B.; Genovesi, P.; Bakkenes, M.; Courchamp, F. Will climate change promote future invasions? Glob. Chang. Biol. 2013, 19, 3740–3748. [Google Scholar] [CrossRef] [PubMed]
- Bradley, B.A.; Wilcove, D.S.; Oppenheimer, M. Climate change increases risk of plant invasion in the Eastern United States. Biol. Invasions 2010, 12, 1855–1872. [Google Scholar] [CrossRef]
- Vitousek, P.M.; D’Antonio, C.M.; Loope, L.L.; Rejmanek, M.; Westbrooks, R.G. Introduced species: A significant component of human-caused global change. N. Z. J. Ecol. 1997, 21, 1–16. [Google Scholar]
- Pimentel, D.; Zuniga, R.; Morrison, D. Update on the environmental and economic costs associated with alien-invasive species in the United States. Ecol. Econ. 2005, 52, 273–288. [Google Scholar] [CrossRef]
- Pyšek, P.; Hulme, P.E.; Simberloff, D.; Bacher, S.; Blackburn, T.M.; Carlton, J.T.; Dawson, W.; Essl, F.; Foxcroft, L.C.; Genovesi, P.; et al. Scientists’ warning on invasive alien species. Biol. Rev. 2020, 95, 1511–1534. [Google Scholar] [CrossRef] [PubMed]
- Woodward, G.; Perkins, D.M.; Brown, L.E. Climate change and freshwater ecosystems: Impacts across multiple levels of organization. Philos. Trans. R Soc. Lond. B Biol. Sci. 2010, 365, 2093–2106. [Google Scholar] [CrossRef] [PubMed]
- Hussner, A.; Stiers, I.; Verhofstad, M.J.J.M.; Bakker, E.S.; Grutters, B.M.C.; Haury, J.; van Valkenburg, J.L.C.H.; Brundu, G.; Newman, J.; Clayton, J.S.; et al. Management and control methods of invasive alien aquatic plants in Europe: A review. Aquat. Bot. 2017, 136, 112–137. [Google Scholar] [CrossRef]
- Li, Z.Z.; Lehtonen, S.; Gichira, A.W.; Martins, K.; Efremov, A.; Wang, Q.F.; Chen, J.M. Plastome phylogenomics and historical biogeography of aquatic plant genus Hydrocharis (Hydrocharitaceae). BMC Plant Biol. 2022, 22, 106. [Google Scholar] [CrossRef] [PubMed]
- Bernardini, B.; Lucchese, F. New phylogenetic insights into Hydrocharitaceae. Ann. Bot. 2018, 8, 45–58. [Google Scholar] [CrossRef]
- Efremov, A.; Grishina, V.; Kislov, D.; Mesterhazy, A.; Toma, C. The genus Hydrocharis L. (Hydrocharitaceae): Distribution features and conservation status. Bot. Pac. 2020, 9, 83–94. [Google Scholar] [CrossRef]
- Bean, T. Hydrocharis dubia (Blume) Backer (Hydrocharitaceae) is an alien species in Australia. Austrobaileya 2011, 8, 435–437. [Google Scholar] [CrossRef]
- Garcia-Murillo, P. Hydrocharis laevigata in Europe. Plants 2023, 12, 701. [Google Scholar] [CrossRef]
- Roberts, M.L.; Stuckey, R.L.; Mitchell, R.S. Hydrocharis morsus-ranae (Hydrocharitaceae): New to the United States. Rhodora 1981, 83, 147–148. [Google Scholar]
- Zhu, B.; Ottaviani, C.C.; Naddafi, R.; Dai, Z.; Du, D.; Du, D. Invasive European frogbit (Hydrocharis morsus-ranae L.) in North America: An updated review 2003–2016. J. Plant Ecol. 2018, 11, 17–25. [Google Scholar] [CrossRef]
- Cook, C.D.K.; Lüönd, R. A revision of the genus Hydrocharis (Hydrocharitaceae). Aquat. Bot. 1982, 14, 177–204. [Google Scholar] [CrossRef]
- Cook, C.D.K.; Urmi-Konig, K. A revision of the genus Limnobium including Hydromystria (Hydrocharitaceae). Aquat. Bot. 1983, 17, 1–27. [Google Scholar] [CrossRef]
- Guisan, A.; Thuiller, W. Predicting species distribution: Offering more than simple habitat models. Ecol. Lett. 2005, 8, 993–1009. [Google Scholar] [CrossRef] [PubMed]
- GBIF.org. GBIF Occurrence Download. Available online: https://agris.fao.org/search/en/providers/123417/records/6474611979cbb2c2c1ac61ed (accessed on 26 July 2023).
- iDigBio. 02d10682-71d5-42bb-8efd-b26138d80d62. 2023. Available online: https://s.idigbio/idigbio-downloads/02d10682-71d5-42bb-8efd-b26138d80d62.zip (accessed on 26 July 2023).
- Zhou, Y.; Zhan, Q.; Xiao, K.; Yan, X. Latitudinal gradients of α- and β-diversity of aquatic plant communities across eastern China: Helophytes and hydrophytes show inconsistent patterns. Ecol. Indic. 2022, 144, 109457. [Google Scholar] [CrossRef]
- Aiello-Lammens, M.E.; Boria, R.A.; Radosavljevic, A.; Vilela, B.; Anderson, R.P. spThin: An R package for spatial thinning of species occurrence records for use in ecological niche models. Ecography 2015, 38, 541–545. [Google Scholar] [CrossRef]
- Lovato, T.; Peano, D.; Butenschön, M.; Materia, S.; Iovino, D.; Scoccimarro, E.; Fogli, P.G.; Cherchi, A.; Bellucci, A.; Gualdi, S.; et al. CMIP6 simulations with the CMCC Earth SystEMmodel (CMCC-ESM2). J. Adv. Model. Earth Syst. 2022, 14, e2021MS002814. [Google Scholar] [CrossRef]
- Thuiller, W.; Georges, D.; Engler, R.; Breiner, F. biomod2: Ensemble Platform for Species Distribution Modeling. R Package Version 3.3-7. 2016. Available online: https://CRAN.R-project.org/package=biomod2 (accessed on 26 July 2023).
- Allouche, O.; Tsoar, A.; Kadmon, R. Assessing the accuracy of species distribution models: Prevalence, kappa and the true skill statistic (TSS). J. Appl. Ecol. 2006, 43, 1223–1232. [Google Scholar] [CrossRef]
- Swets, J.A. Measuring the accuracy of diagnostic systems. Science 1988, 240, 1285–1293. [Google Scholar] [CrossRef]
- Brown, J.L. SDMtoolbox: A Python-based GIS toolkit for landscape genetic, biogeographic and species distribution model analyses. Methods Ecol. Evol. 2014, 5, 694–700. [Google Scholar] [CrossRef]
- Freestone, A.L.; Inouye, B.D. Dispersal limitation and environmental heterogeneity shape scale-dependent diversity patterns in plant communities. Ecology 2006, 87, 2425–2432. [Google Scholar] [CrossRef] [PubMed]
- Fristoe, T.S.; Bleilevens, J.; Kinlock, N.L.; Yang, Q.; Zhang, Z.; Dawson, W.; Essl, F.; Kreft, H.; Pergl, J.; Pyšek, P.; et al. Evolutionary imbalance, climate and human history jointly shape the global biogeography of alien plants. Nat. Ecol. Evol. 2023, 7, 1633–1644. [Google Scholar] [CrossRef] [PubMed]
- Del Corro, M.; Izuzquiza, A.; Cirujano, S. Primera cita de la especie potencialmente invasora Limnobium laevigatum (Humb. and Bonpl. ex willd.) Heine (Hydrocharitaceae) en la Península Ibérica. BVnPC 2019, 8, 75–80. [Google Scholar]
- Howard, G.W.; Hyde, M.A.; Bingham, M.G. Alien Limnobium laevigatum (Humb. and Bonpl. ex Willd.) Heine (Hydrocharitaceae) becoming prevalent in Zimbabwe and Zambia. BioInvasions Rec. 2016, 5, 221–225. [Google Scholar] [CrossRef]
- Ruiz-Merino, M.; Campos-Cuéllar, R.; Germán-Gómez, A.; Aponte, H. Características, historia natural y aplicaciones de Hydrocharis laevigata: Una revisión. Caldasia 2022, 44, 432–441. [Google Scholar] [CrossRef]
- Intergovernmental Panel on Climate Change (IPCC). Climate change 2021: The physical science basis. In Contribution of Working Group I to the Sixth Assessment Report of the Intergovernmental Panel on Climate Change; Cambridge University Press: Cambridge, UK, 2021. [Google Scholar]
- Corlett, R.T. Impacts of warming on tropical lowland rainforests. Trends Ecol. Evol. 2011, 26, 606–613. [Google Scholar] [CrossRef]
- Schemske, D.W.; Mittelbach, G.G.; Cornell, H.V.; Sobel, J.M.; Roy, K. Is there a latitudinal gradient in the importance of biotic interactions? Annu. Rev. Ecol. Evol. Syst. 2009, 40, 245–269. [Google Scholar] [CrossRef]
- Ma, X.Y.; Xu, H.; Cao, Z.Y.; Shu, L.; Zhu, R.L. Will climate change cause the global peatland to expand or contract? Evidence from the habitat shift pattern of Sphagnum mosses. Glob. Chang. Biol. 2022, 28, 6419–6432. [Google Scholar] [CrossRef]
- Chen, B.; Zou, H.; Zhang, B.; Zhang, X.; Wang, C.; Zhang, X. Distribution change and protected area planning of Tilia amurensis in China: A study of integrating the climate change and present habitat landscape pattern. Glob. Ecol. Conserv. 2023, 43, e02438. [Google Scholar] [CrossRef]
- Afuye, G.A.; Kalumba, A.M.; Orimoloye, I.R. Characterisation of Vegetation Response to Climate Change: A Review. Sustainability 2021, 13, 7265. [Google Scholar] [CrossRef]
- Aponte, H. Productividad de Limnobium laevigatum (Hydrocharitaceae) bajo condiciones de laboratorio. Polibotánica 2017, 44, 157–166. [Google Scholar] [CrossRef]
- Lacoul, P.; Freedman, B. Environmental influences on aquatic plants in freshwater ecosystems. Environ. Rev. 2006, 14, 89–136. [Google Scholar] [CrossRef]
- Catling, P.M.; Mitrow, G.; Haber, E.; Posluszny, U.; Charlton, W.A. The biology of Canadian weeds. 124. Hydrocharis morsus-ranae L. Can. J. Plant Sci. 2003, 83, 1001–1016. [Google Scholar] [CrossRef]
- Catling, P.M.; Porebski, Z.S. The spread and current distribution of European frogbit Hydrocharis morsus-ranae L. in North America. Can. Field Nat. 1995, 109, 236–241. [Google Scholar]
- Catling, P.M.; Spicer, K.W.; Lefkovitch, L.P. Effects of the floating Hydrocharis morsus-ranae (Hydrocharitaceae) on some North American aquatic macrophytes. Nat. Can. 1988, 115, 131–137. [Google Scholar]
- Zhu, B.; Eppers, M.E.; Rudstam, L.G. Predicting invasion of European frogbit in the Finger Lakes of New York. J. Aquat. Plant Manag. 2008, 46, 186–189. [Google Scholar]





| Hydrocharis chevalieri | H. dubia | H. laevigata | H. morsus-ranae | H. spongia | |
|---|---|---|---|---|---|
| Bio2 | 1.60% | 7.45% | 11.88% | 14.11% | 12.87% |
| Bio6 | 12.78% | 17.32% | 13.86% | 49.15% | 2.46% |
| Bio7 | 55.26% | 14.16% | 42.44% | 1.78% | 12.66% |
| Bio14 | 0.59% | 0.54% | 7.57% | 0.86% | 41.60% |
| Bio15 | 0.93% | 3.37% | 1.12% | 6.36% | 1.31% |
| Bio18 | 1.30% | 54.07% | 9.47% | 9.00% | 7.00% |
| Bio19 | 1.54% | 1.21% | 0.76% | 1.78% | 1.27% |
| Elev | 26.00% | 1.87% | 12.90% | 16.96% | 20.82% |
Disclaimer/Publisher’s Note: The statements, opinions and data contained in all publications are solely those of the individual author(s) and contributor(s) and not of MDPI and/or the editor(s). MDPI and/or the editor(s) disclaim responsibility for any injury to people or property resulting from any ideas, methods, instructions or products referred to in the content. |
© 2023 by the authors. Licensee MDPI, Basel, Switzerland. This article is an open access article distributed under the terms and conditions of the Creative Commons Attribution (CC BY) license (https://creativecommons.org/licenses/by/4.0/).
Share and Cite
Yang, J.; Fu, Z.; Xiao, K.; Dong, H.; Zhou, Y.; Zhan, Q. Climate Change Potentially Leads to Habitat Expansion and Increases the Invasion Risk of Hydrocharis (Hydrocharitaceae). Plants 2023, 12, 4124. https://doi.org/10.3390/plants12244124
Yang J, Fu Z, Xiao K, Dong H, Zhou Y, Zhan Q. Climate Change Potentially Leads to Habitat Expansion and Increases the Invasion Risk of Hydrocharis (Hydrocharitaceae). Plants. 2023; 12(24):4124. https://doi.org/10.3390/plants12244124
Chicago/Turabian StyleYang, Jiongming, Zhihao Fu, Keyan Xiao, Hongjin Dong, Yadong Zhou, and Qinghua Zhan. 2023. "Climate Change Potentially Leads to Habitat Expansion and Increases the Invasion Risk of Hydrocharis (Hydrocharitaceae)" Plants 12, no. 24: 4124. https://doi.org/10.3390/plants12244124
APA StyleYang, J., Fu, Z., Xiao, K., Dong, H., Zhou, Y., & Zhan, Q. (2023). Climate Change Potentially Leads to Habitat Expansion and Increases the Invasion Risk of Hydrocharis (Hydrocharitaceae). Plants, 12(24), 4124. https://doi.org/10.3390/plants12244124
