Evaluating the Prebiotic Properties of Agar Oligosaccharides Obtained from the Red Alga Gracilaria fisheri via Enzymatic Hydrolysis
Abstract
1. Introduction
2. Results
2.1. Yield Chemical Composition of APSs
2.2. Agar Oligosaccharide (AOS) Production
2.2.1. Sugar and Oligosaccharide Contents
2.2.2. The Monosaccharide Composition of APSs and AOSs
2.2.3. Molecular Weights of APSs and AOSs
2.2.4. FT-IR Spectra of APSs and AOSs
2.3. AOSs’ Prebiotic Properties
2.3.1. Effect of AOSs on LAB Growth
2.3.2. Effect of AOSs on the Pathogenic Bacteria
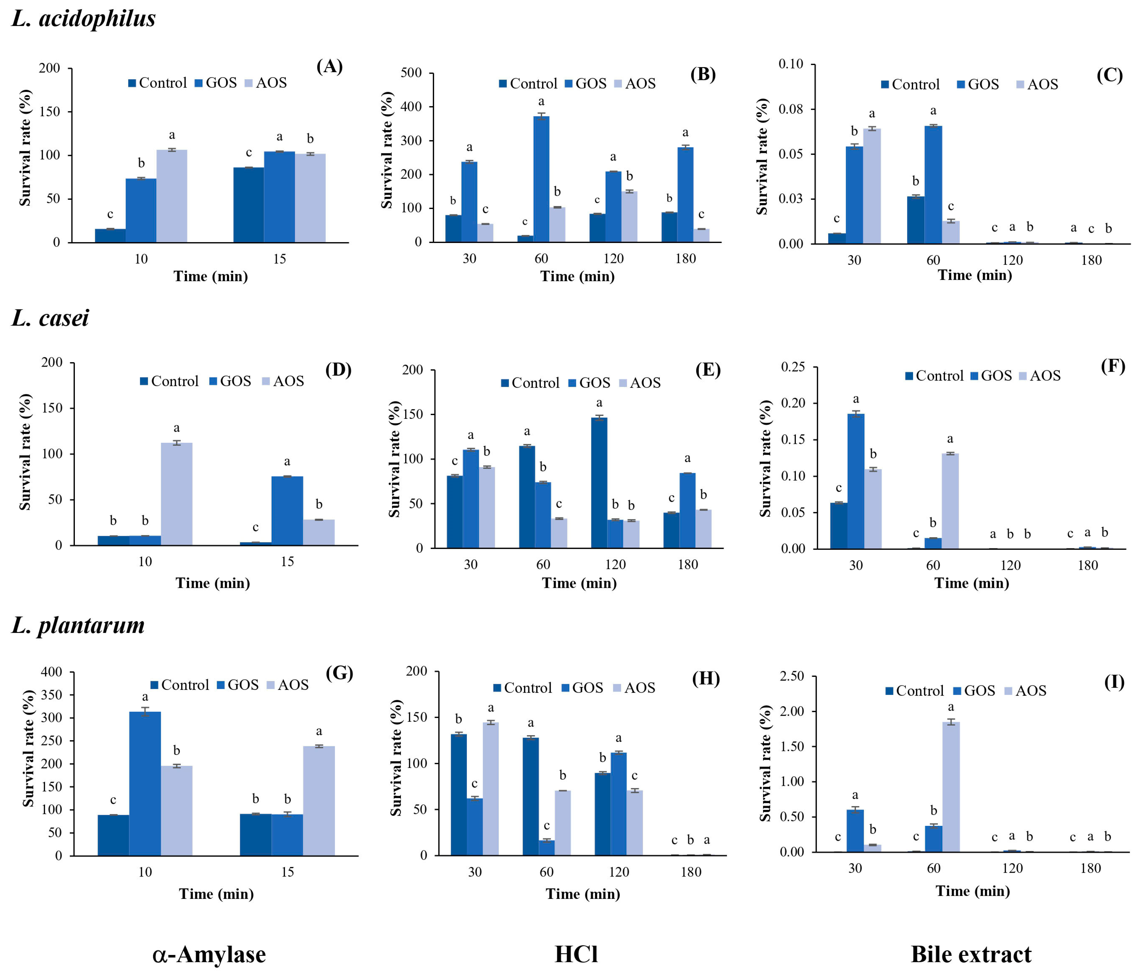
2.3.3. Protective Effect of AOSs on Probiotics under Simulated Gastrointestinal Conditions
3. Discussion
3.1. Chemical Composition and Yield of APSs
3.2. Agar Oligosaccharide (AOS) Production and Characterization
3.3. AOSs’ Prebiotic Properties
3.3.1. Effect on LAB Growth
3.3.2. Inhibitory Effect on Pathogenic Bacteria
3.3.3. Protective Effect on Probiotics under Simulated Gastrointestinal Conditions
4. Materials and Methods
4.1. Microorganisms
4.2. Seaweed
4.3. Agar Polysaccharide (APS) Extraction
4.4. Agar Oligosaccharide (AOS) Production
4.5. Chemical Constituent Analysis
4.6. Monosaccharide Composition Analysis
4.7. Molecular Weight Distribution Analysis
4.8. FT-IR Analysis
4.9. Prebiotic Properties Determination
4.9.1. LAB Preparation
4.9.2. Prebiotic Effect on LAB Growth
4.9.3. Inhibitory Effect on Pathogenic Bacteria
4.9.4. Protective Effect of AOSs under Simulated Gastrointestinal Conditions
4.10. Statistical Analysis
5. Conclusions
Author Contributions
Funding
Data Availability Statement
Acknowledgments
Conflicts of Interest
References
- Dysin, A.P.; Egorov, A.R.; Godzishevskaya, A.A.; Kirichuk, A.A.; Tskhovrebov, A.G.; Kritchenkov, A.S. Biologically Active Supplements Affecting Producer Microorganisms in Food Biotechnology: A Review. Molecules 2023, 28, 1413. [Google Scholar] [CrossRef]
- Patel, A.K.; Singhania, R.R.; Awasthi, M.K.; Varjani, S.; Bhatia, S.K.; Tsai, M.L.; Hsieh, S.L.; Chen, C.W.; Dong, C.D. Emerging prospects of macro- and microalgae as prebiotic. Microb. Cell Fact. 2021, 20, 112. [Google Scholar] [CrossRef] [PubMed]
- O’Sullivan, L.; Murphy, B.; McLoughlin, P.; Duggan, P.; Lawlor, P.G.; Hughes, H.; Gardiner, G.E. Prebiotics from marine macroalgae for human and animal health applications. Mar. Drugs. 2010, 8, 2038–2064. [Google Scholar] [CrossRef] [PubMed]
- Lopez-Santamarina, A.; Miranda, J.M.; Mondragon, A.C.; Lamas, A.; Cardelle-Cobas, A.; Franco, C.M.; Cepeda, A. Potential Use of Marine Seaweeds as Prebiotics: A Review. Molecules 2020, 25, 1004. [Google Scholar] [CrossRef] [PubMed]
- Li, C.; Tang, T.; Du, Y.; Jiang, L.; Yao, Z.; Ning, L.; Zhu, B. Ulvan and Ulva oligosaccharides: A systematic review of structure, preparation, biological activities and applications. Bioresour. Bioprocess. 2023, 10, 66. [Google Scholar] [CrossRef]
- Jagtap, A.S.; Parab, A.S.; Manohar, C.S.; Kadam, N.S. Prebiotic potential of enzymatically produced ulvan oligosaccharides using ulvan lyase of Bacillus subtilis, NIOA181, a macroalgae-associated bacteria. J. Appl. Microbiol. 2022, 133, 3176–3190. [Google Scholar] [CrossRef] [PubMed]
- Cheong, K.L.; Qiu, H.M.; Du, H.; Liu, Y.; Khan, B.M. Oligosaccharides derived from red seaweed: Production, properties, and potential health and cosmetic applications. Molecules 2018, 23, 2451. [Google Scholar] [CrossRef]
- Fournière, M.; Latire, T.; Lang, M.; Terme, N.; Bourgougnon, N.; Bedoux, G. Production of active poly-and oligosaccharidic fractions from Ulva sp. by combining enzyme-assisted extraction (EAE) and depolymerization. Metabolites 2019, 9, 182. [Google Scholar] [CrossRef]
- Kim, J.H.; Yun, E.J.; Yu, S.; Kim, K.H.; Kang, N.J. Different levels of skin whitening activity among 3,6-anhydro-l-galactose, agarooligosaccharides, and neoagarooligosaccharides. Mar. Drugs. 2017, 15, 321. [Google Scholar] [CrossRef]
- Zhang, Y.H.; Song, X.N.; Lin, Y.; Xiao, Q.; Du, X.P.; Chen, Y.H.; Xiao, A.F. Antioxidation capacity and prebiotic effects of Gracilaria neoagaro oligosaccharides prepared by agarase hydrolysis. Int. J. Biol. Macromol. 2019, 137, 177–186. [Google Scholar] [CrossRef]
- Jiang, C.; Cheng, D.; Liu, Z.; Sun, J.; Mao, X. Advances in agaro-oligosaccharides preparation and bioactivities for revealing the structure-function relationship. Food Res. Int. 2021, 145, 110408. [Google Scholar] [CrossRef] [PubMed]
- Hung, Y.-H.R.; Chen, G.-W.; Pan, C.-L.; Lin, H.-T.V. Production of Ulvan Oligosaccharides with Antioxidant and Angiotensin-Converting Enzyme-Inhibitory Activities by Microbial Enzymatic Hydrolysis. Fermentation 2021, 7, 160. [Google Scholar] [CrossRef]
- Delattre, C.P.; Michaud, B.; Courtois, J. Oligosaccharides engineering from plants and algae—Applications in Biotechnology and therapeutic. Minerva Biotech. 2005, 17, 107–117. [Google Scholar]
- Majee, S.B.; Avlani, D.; Biswas, G.R. Enzymatic Technologies for Marine Polysaccharides; CRC Press: Abingdon, UK, 2019; Volume 1, p. 395. ISBN 978-1-138-10307-8. [Google Scholar]
- Putri, D.A.; Youravong, W.; Wichienchot, S. In vitro human fecal fermentation of agarooligosaccharides from Gracilaria fisheri. Bioact. Carbohydr. Diet. 2022, 27, 100299. [Google Scholar] [CrossRef]
- Li, J.; He, Z.; Liang, Y.; Peng, T.; Hu, Z. Insights into Algal Polysaccharides: A Review of Their Structure, Depolymerases, and Metabolic Pathways. J. Agric. Food Chem. 2022, 70, 1749–1765. [Google Scholar] [CrossRef] [PubMed]
- Bäumgen, M.; Dutschei, T.; Bornscheuer, U.T. Marine Polysaccharides: Occurrence, Enzymatic Degradation and Utilization. ChemBioChem 2021, 22, 2247–2256. [Google Scholar] [CrossRef] [PubMed]
- Jagtap, A.S.; Manohar, C.S. Overview on Microbial Enzymatic Production of Algal Oligosaccharides for Nutraceutical Applications. Mar. Biotech. 2021, 23, 159–176. [Google Scholar] [CrossRef]
- Jagtap, A.S.; Sankar, N.P.V.; Ghori, R.I.; Manohar, C.S. Marine microbial enzymes for the production of algal oligosaccharides and its bioactive potential for application as nutritional supplements. Folia Microbiol. 2022, 67, 175–191. [Google Scholar] [CrossRef]
- Li, F.; Liu, K. Research progress in the preparation, structural characterization, bioactivities, and potential applications of sulfated agarans from the genus Gracilaria. J. Food Biochem. 2022, 46, e14401. [Google Scholar] [CrossRef]
- Lomartire, S.; Gonçalves, A.M.M. Algal Phycocolloids: Bioactivities and Pharmaceutical Applications. Mar. Drugs 2023, 21, 384. [Google Scholar] [CrossRef]
- Lewmanomont, K.; Chirapart, A. Biodiversity, Cultivation and Utilization of Seaweeds in Thailand: An Overview. In Sustainable Global Resources of Seaweeds Volume 1: Bioresources, Cultivation, Trade and Multifarious Applications; Rao, A.R., Ravishankar, G.A., Eds.; Springer: Berlin/Heidelberg, Germany, 2022; p. 656. ISBN 978-3-030-91954-2. [Google Scholar] [CrossRef]
- Praiboon, J.; Chirapart, A.; Soisarp, N. Principle and biological properties of sulfated polysaccharides from seaweed. In Marine Glycobiology: Principles and Application; Kim, S.-K., Ed.; CRC Press: Boca Raton, FL, USA, 2016; Chapter 7; pp. 85–117. ISBN 978-131-537-139-9. [Google Scholar]
- Hu, B.; Gong, Q.; Wang, Y.; Ma, Y.; Li, J.; Yu, W. Prebiotic effects of neoagaro-oligosaccharides prepared by enzymatic hydrolysis of agarose. Anaerobe 2006, 12, 260–266. [Google Scholar] [CrossRef]
- Hayisama-ae, W.; Kantachote, D.; Bhongsuwan, D.; Nokkaew, U.; Chaiyasut, C. A potential synbiotic beverage from fermented red seaweed (Gracilaria fisheri) using Lactobacillus plantarum DW12. Int. Food Res. J. 2014, 21, 1789–1796. [Google Scholar]
- Mazumder, S.; Ghosal, P.K.; Pujol, C.A.; Carlucci, M.J.; Damonte, E.B.; Ray, B. Isolation, chemical investigation and antiviral activity of polysaccharides from Gracilaria corticata (Gracilariaceae, Rhodophyta). Int. J. Biol. Macromol. 2002, 31, 87–95. [Google Scholar] [CrossRef]
- Praiboon, J.; Chirapart, A.; Akakabe, Y.; Bhumibhamon, O.; Kajiwara, T. Physical and chemical characterization of agar polysaccharides extracted from the Thai and Japanese species of Gracilaria. Sci. Asia 2006, 32, 11–17. [Google Scholar] [CrossRef] [PubMed]
- Wongprasert, K.; Rudtanatip, T.; Praiboon, J. Immunostimulatory activity of sulfated galactans isolated from the red seaweed Gracilaria fisheri and development of resistance against white spot syndrome virus (WSSV) in shrimp. Fish. Shellfish. Immunol. 2014, 36, 52–60. [Google Scholar] [CrossRef] [PubMed]
- Seedevi, P.; Moovendhan, M.; Viramani, S.; Shanmugam, A. Bioactive potential and structural characterization of sulfated polysaccharide from seaweed (Gracilaria corticata). Carbohydr. Polym. 2017, 155, 516–524. [Google Scholar] [CrossRef]
- Qari, R.; Haider, S. Agar Extraction, Physical Properties, FTIR Analysis and Biochemical Composition of Three Edible Species of Red Seaweeds Gracilaria corticata (J. Agardh), Gracilaria dentata (J. Agardh) and Gracilariopsis longissima (SG Gmelin): Biochemical Composition of Three Edible Species Steentoft, L. M.; Irvine and Farnham. Pak. J. Sci. Ind. Res. Ser. B Biol. 2021, 64, 263–273. [Google Scholar] [CrossRef]
- Rosemary, T.; Arulkumar, A.; Paramasivam, S.; Mondragon-Portocarrero, A.; Miranda, J.M. Biochemical, Micronutrient and Physicochemical Properties of the Dried Red Seaweeds Gracilaria edulis and Gracilaria corticata. Molecules 2019, 24, 2225. [Google Scholar] [CrossRef] [PubMed]
- Zhao, P.; Wanga, X.; Niua, J.; He, L.; Gu, W.; Xie, X.; Wud, M.; Wang, G. Agar extraction and purification of R-phycoerythrin from Gracilaria tenuistipitata, and subsequent wastewater treatment by Ulva prolifera. Algal Res. 2020, 47, 101862. [Google Scholar] [CrossRef]
- Siringoringo, B.; Huipao, N.; Tipbunjong, C.; Nopparat, J.; Wichienchot, S.; Hutapea, A.M.; Khuituan, P. Gracilaria fisheri oligosaccharides ameliorate inflammation and colonic epithelial barrier dysfunction in mice with acetic acid-induced colitis. Asian Pac. J. Trop. Biomed. 2021, 11, 440–449. [Google Scholar] [CrossRef]
- Jung, S.; Lee, C.R.; Chi, W.J.; Bae, C.H.; Hong, S.K. Biochemical characterization of a novel cold-adapted GH39 β-agarase, AgaJ9, from an agar-degrading marine bacterium Gayadomonas joobiniege G7. Appl. Microbiol. Biotechnol. 2017, 101, 1965–1974. [Google Scholar] [CrossRef] [PubMed]
- K-da, S.; Peerakietkhajorn, S.; Siringoringo, B.; Muangnil, P.; Wichienchot, S.; Khuituan, P. Oligosaccharides from Gracilaria fisheri ameliorate gastrointestinal dysmotility and gut dysbiosis in colitis mice. J. Funct. Foods 2020, 71, 1040. [Google Scholar] [CrossRef]
- Erkkilä, S.; Petäjä, E. Screening of commercial meat starter cultures at low pH and in the presence of bile salts for potential probiotic use. Meat Sci. 2000, 55, 297–300. [Google Scholar] [CrossRef] [PubMed]
- Begley, M.; Hill, C.; Gahan, C.G. Bile salt hydrolase activity in probiotics. Appl. Environ. Microbiol. 2006, 72, 1729–1738. [Google Scholar] [CrossRef] [PubMed]
- DuBois, M.; Gilles, K.A.; Hamilton, J.K.; Rebers, P.T.; Smith, F. Colorimetric method for determination of sugars and related substances. Anal. Chem. 1956, 28, 350–356. [Google Scholar] [CrossRef]
- Miller, G.L. Use of dinitrosalicylic acid reagent for determination of reducing sugar. Anal. Chem. 1959, 31, 426–428. [Google Scholar] [CrossRef]
- Puengsawad, P.; Piyapittayanuna, C.; Sawangwanb, T.; Chantorna, S. Characterization of Bacillus subtilis GA2 mannanase expressed in Escherichia coli Rosetta (DE3) for enzymatic production of manno-oligosaccharides from spent coffee grounds and in vitro assessment of their prebiotic propertie. Agric. Nat. Resour. 2021, 55, 319–330. [Google Scholar] [CrossRef]
- Craigie, J.S. Biology of the Red Algae; Cambrigde University Press: New York, NY, USA, 1984; pp. 221–257. [Google Scholar]
- Cesaretti, M.; Luppi, E.; Maccari, F.; Volpi, N. A 96-well assay for uronic acid carbazole reaction. Carbohydr. Polym. 2003, 54, 59–61. [Google Scholar] [CrossRef]
- Bradford, M.M. A rapid and sensitive method for the quantitation of microgram quantities of protein utilizing the principle of protein-dye binding. Anal. Biochem. 1976, 72, 248–254. [Google Scholar] [CrossRef]
- Wahlström, N.; Nylander, F.; Malmhäll-Bah, E.; Sjövold, K.; Edlund, U.; Westman, G.; Albers, E. Composition and structure of cell wall ulvans recovered from Ulva spp. along the Swedish west coast. Carbohydr. Polym. 2020, 233, 115852. [Google Scholar] [CrossRef]
- Wongsiridetchai, C.; Jonjaroen, V.; Sawangwan, T.; Charoenrat, T.; Chantorn, S. Evaluation of prebiotic mannooligosaccharides obtained from spent coffee grounds for nutraceutical application. LWT—Food Sci. Technol. 2021, 148, 111717. [Google Scholar] [CrossRef]
- Sawangwan, T. Glucosylglycerol on performance of prebiotic potential. Funct. Foods Health Dis. 2015, 5, 427–436. [Google Scholar] [CrossRef][Green Version]





| APS | AOS | |
|---|---|---|
| Glucose | 12.58 ± 1.33 | 12.52 ± 0.20 |
| Galactose | 77.69 ± 4.87 | 70.95 ± 1.15 |
| Rhamnose | 0.64 ± 0.04 | 0.52 ± 0.07 |
| Mannose | 0.59 ± 0.02 | 0.53 ± 0.01 |
| Xylose | 3.69 ± 0.23 | 3.12 ± 0.22 |
| Arabinose | nd | nd |
| Number of Peaks | Peak Area (%) | Mn (Da) | Mw (Da) | PI (Mw/Mn) |
|---|---|---|---|---|
| Agar polysaccharides (APSs) | ||||
| 1 | 100 | 1.355 × 104 | 4.816 × 106 | 355.48 |
| Agar oligosacharides (AOSs) | ||||
| 1 | 49.38 | 2.215 × 104 | 2.715 × 104 | 1.22 |
| 2 | 50.62 | 1346 | 1756 | 1.30 |
Disclaimer/Publisher’s Note: The statements, opinions and data contained in all publications are solely those of the individual author(s) and contributor(s) and not of MDPI and/or the editor(s). MDPI and/or the editor(s) disclaim responsibility for any injury to people or property resulting from any ideas, methods, instructions or products referred to in the content. |
© 2023 by the authors. Licensee MDPI, Basel, Switzerland. This article is an open access article distributed under the terms and conditions of the Creative Commons Attribution (CC BY) license (https://creativecommons.org/licenses/by/4.0/).
Share and Cite
Praiboon, J.; Chantorn, S.; Krangkratok, W.; Choosuwan, P.; La-ongkham, O. Evaluating the Prebiotic Properties of Agar Oligosaccharides Obtained from the Red Alga Gracilaria fisheri via Enzymatic Hydrolysis. Plants 2023, 12, 3958. https://doi.org/10.3390/plants12233958
Praiboon J, Chantorn S, Krangkratok W, Choosuwan P, La-ongkham O. Evaluating the Prebiotic Properties of Agar Oligosaccharides Obtained from the Red Alga Gracilaria fisheri via Enzymatic Hydrolysis. Plants. 2023; 12(23):3958. https://doi.org/10.3390/plants12233958
Chicago/Turabian StylePraiboon, Jantana, Sudathip Chantorn, Weerada Krangkratok, Pradtana Choosuwan, and Orawan La-ongkham. 2023. "Evaluating the Prebiotic Properties of Agar Oligosaccharides Obtained from the Red Alga Gracilaria fisheri via Enzymatic Hydrolysis" Plants 12, no. 23: 3958. https://doi.org/10.3390/plants12233958
APA StylePraiboon, J., Chantorn, S., Krangkratok, W., Choosuwan, P., & La-ongkham, O. (2023). Evaluating the Prebiotic Properties of Agar Oligosaccharides Obtained from the Red Alga Gracilaria fisheri via Enzymatic Hydrolysis. Plants, 12(23), 3958. https://doi.org/10.3390/plants12233958

