Morpho-Anatomical, Physiological and Biochemical Adjustments in Response to Heat and Drought Co-Stress in Winter Barley
Abstract
:1. Introduction
2. Results
2.1. Stress-Induced Changes in Plant Phenology
2.2. Effect of HD Co-Stress on Growth and Yield
2.3. Combined Heat and Drought Stress-Induced Alterations in Water Relations
2.4. Genotype-Dependent Differences in Osmotic Adjustment
2.5. Heat and Drought Co-Stress Reduced Total Soluble Protein and Photosynthetic Pigment Contents
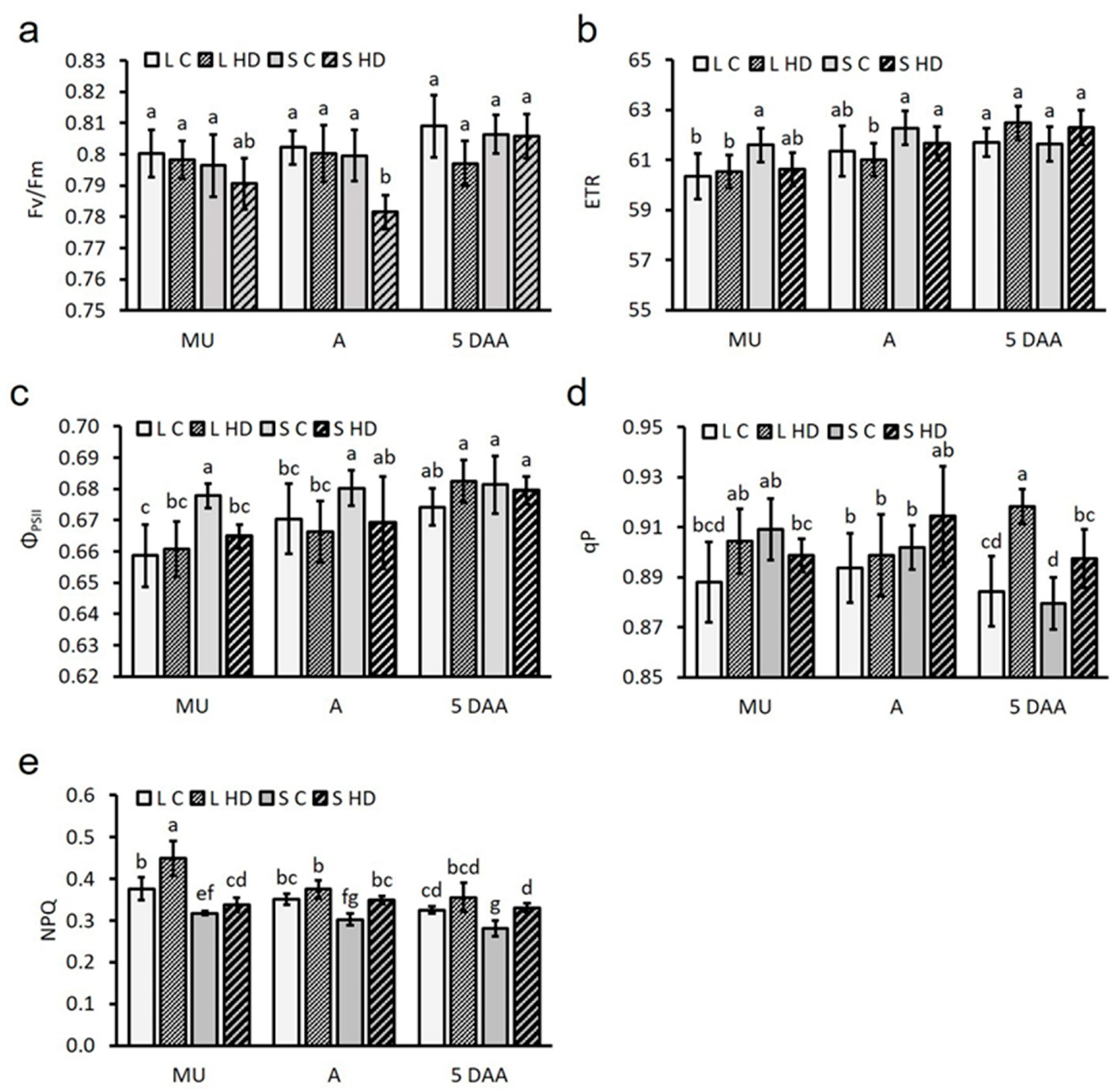
2.6. Stress-Induced Decline in Chlorophyll a Fluorescence and Leaf Gas Exchange Parameters
2.7. HD-Induced Alterations in Proline, Glycine Betaine, Starch and Total Water-Soluble Carbohydrate Contents
2.8. High Temperature and Water Deprivation Triggered Alterations in Leaf Anatomy
2.9. Combined Stress Altered Starch Granule Accumulation in Mesophyll Chloroplasts
2.10. HD-Triggered Ultracellular Changes in Mesophyll Cells
3. Discussion
4. Materials and Methods
4.1. Plant Material
4.2. Experimental Design
4.3. Determination of Yield Components
4.4. Water Status Measurements
4.5. Osmotic Adjustment
4.6. Chlorophyll a Fluorescence and Gas Exchange Measurements
4.7. Photosynthetic Pigment Analysis
4.8. Measurement of Glycine Betaine, Proline, Protein, Starch and Carbohydrate Contents
4.9. Histological Studies
4.10. Transmission Electron Microscopy
4.11. Statistical Analysis
Author Contributions
Funding
Data Availability Statement
Acknowledgments
Conflicts of Interest
References
- Pachauri, R.K.; Allen, M.R.; Barros, V.R.; Broome, J.; Cramer, W.; Christ, R.; Church, J.A.; Clarke, L.; Dahe, Q.; Dasgupta, P.; et al. Climate Change 2014: Synthesis Report. In Contribution of Working Groups I, II and III to the Fifth Assessment Report of the Intergovernmental Panel on Climate Change; Pachauri, R., Meyer, L., Eds.; IPCC: Geneva, Switzerland, 2014; pp. 1–151. [Google Scholar]
- Masson-Delmotte, V.; Zhai, P.; Pirani, A.; Connors, S.L.; Péan, C.; Berger, S.; Caud, N.; Chen, Y.; Goldfarb, L.; Gomis, M.I.; et al. (Eds.) IPCC 2021: Summary for Policymakers. In Climate Change 2021: The Physical Science Basis. Contribution of Working Group I to the Sixth Assessment Report of the Intergovernmental Panel on Climate Change; Cambridge University Press: Cambridge, UK; New York, NY, USA, 2021; pp. 3–32. [Google Scholar]
- Rezaei, E.E.; Webber, H.; Gaiser, T.; Naab, J.; Ewert, F. Heat stress in cereals: Mechanisms and modelling. Eur. J. Agron. 2015, 64, 98–113. [Google Scholar] [CrossRef]
- Haworth, M.; Marino, G.; Brunetti, C.; Killi, D.; De Carlo, A.; Centritto, M. The impact of heat stress and water deficit on the photosynthetic and stomatal physiology of olive (Olea europaea L.)—A case study of the 2017 heat wave. Plants 2018, 7, 76. [Google Scholar] [CrossRef] [PubMed]
- Lourkisti, R.; Froelicher, Y.; Morillon, R.; Berti, L.; Santini, J. Enhanced photosynthetic capacity, osmotic adjustment and antioxidant defenses contribute to improve tolerance to moderate water deficit and recovery of triploid citrus genotypes. Antioxidants 2022, 11, 562. [Google Scholar] [CrossRef] [PubMed]
- Fahad, S.; Bajwa, A.A.; Nazir, U.; Anjum, S.A.; Farooq, A. Crop production under drought and heat stress: Plant responses and management options. Front. Plant Sci. 2017, 8, 1147. [Google Scholar] [CrossRef]
- Lesk, C.; Rowhani, P.; Ramankutty, N. Influence of extreme weather disasters on global crop production. Nature 2016, 529, 84–87. [Google Scholar] [CrossRef]
- Onyekachi, G.O.; Ogbonnaya, O.B.; Gemlack, N.F.; Namessan, N. The effect of climate change on abiotic plant stress: A review. In Abiotic and Biotic Stress in Plants; de Oliveira, A.B., Ed.; IntechOpen: London, UK, 2019; pp. 1–13. [Google Scholar]
- Bhusal, N.; Park, I.P.; Jeong, S.; Choi, B.; Han, S.; Yoon, T. Photosynthetic traits and plant hydraulic dynamics in Gamhong apple cultivar under drought, waterlogging, and stress recovery periods. Sci. Hortic. 2023, 321, 112276. [Google Scholar] [CrossRef]
- Bhusal, N.; Han, S.; Yoon, T. Impact of drought stress on photosynthetic response, leaf water potential, and stem sap flow in two cultivars of bi-leader apple trees (Malus × domestica Borkh.). Sci. Hortic. 2019, 246, 535–543. [Google Scholar] [CrossRef]
- Bhusal, N.; Lee, M.; Lee, H.; Adhikari, A.; Han, A.R.; Han, A.; Kim, H.S. Evaluation of morphological, physiological, and biochemical traits for assessing drought resistance in eleven tree species. Sci. Total Environ. 2021, 779, 146466. [Google Scholar] [CrossRef]
- Barnabás, B.; Jäger, K.; Fehér, A. The effect of drought and heat stress on reproductive processes in cereals. Plant Cell Environ. 2008, 31, 11–38. [Google Scholar] [CrossRef]
- Dolferus, R.; Ji, X.; Richards, R.A. Abiotic stress and control of grain number in cereals. Plant Sci. 2011, 181, 331–341. [Google Scholar] [CrossRef]
- Rizhsky, L.; Liang, H.; Shuman, J.; Shulaev, V.; Davletova, S.; Mittler, R. When defense pathways collide. The response of Arabidopsis to a combination of drought and heat stress. Plant Physiol. 2004, 134, 1683–1696. [Google Scholar] [CrossRef]
- Centritto, M.; Brilli, F.; Fodale, R.; Loreto, F. Different sensitivity of isoprene emission, respiration and photosynthesis to high growth temperature coupled with drought stress in black poplar (Populus nigra) saplings. Tree Physiol. 2011, 31, 275–286. [Google Scholar] [CrossRef] [PubMed]
- Nankishore, A.; Farrell, A.D. The response of contrasting tomato genotypes to combined heat and drought stress. J. Plant Physiol. 2016, 202, 75–82. [Google Scholar] [CrossRef] [PubMed]
- Rizhsky, L.; Liang, H.; Mittler, R. The combined effect of drought stress and heat shock on gene expression in tobacco. Plant Physiol. 2002, 130, 1143–1151. [Google Scholar] [CrossRef] [PubMed]
- Yashavanthakumar, K.J.; Baviskar, V.S.; Navathe, S.; Patil, R.M.; Bagwan, J.H.; Bankar, D.N.; Gite, V.D.; Gopalareddy, K.; Mishra, C.N.; Mamrutha, H.M.; et al. Impact of heat and drought stress on phenological development and yield in bread wheat. Plant Physiol. Rep. 2021, 26, 357–367. [Google Scholar] [CrossRef]
- Zandalinas, I.S.; Fritschi, B.F.; Mittler, R. Global warming, climate change and environmental pollution: Recipe for a multifactorial stress combination disaster. Trends Plant Sci. 2021, 26, 588–599. [Google Scholar] [CrossRef]
- Zhu, X.; Liu, T.; Xu, K.; Chen, C. The impact of high temperature and drought stress on the yield of major staple crops in Northern China. J. Environ. Manag. 2022, 314, 115092. [Google Scholar] [CrossRef]
- Prasad, P.V.V.; Pisipati, S.R.; Momčilović, I.; Ristic, Z. Independent and combined effects of high temperature and drought stress during grain filling on plant yield and chloroplast EF-Tu expression in spring wheat. J. Agron. Crop Sci. 2011, 197, 430–441. [Google Scholar] [CrossRef]
- Huber, A.E.; Bauerle, T.L. Long-distance plant signaling pathways in response multiple stressors: The gap in knowledge. J. Exp. Bot. 2016, 67, 2063–2079. [Google Scholar] [CrossRef]
- Martinez, V.; Nieves-Cordones, M.; Lopez-Delacalle, M.; Rodenas, R.; Mestre, T.C.; Garcia-Sanchez, F.; Rubio, F.; Nortes, P.A.; Mittler, R.; Rivero, R.M. Tolerance to stress combination in tomato plants: New insights in the protective role of melatonin. Molecules 2018, 23, 535. [Google Scholar] [CrossRef]
- Suzuki, N.; Rivero, R.M.; Shulaev, V.; Blumwald, E.; Mittler, R. Abiotic and biotic stress combinations. New Phytol. 2014, 203, 32–43. [Google Scholar] [CrossRef] [PubMed]
- Sultan, B.; Defrance, D.; Iizumi, T. Evidence of crop production losses in West Africa due to historical global warming in two crop models. Sci. Rep. 2019, 9, 12834. [Google Scholar] [CrossRef] [PubMed]
- Lawas, L.M.F.; Zuther, E.; Jagadish, S.V.K.; Hincha, D.K. Molecular mechanisms of combined heat and drought stress resilience in cereals. Curr. Opin. Plant Biol. 2018, 45, 212–217. [Google Scholar] [CrossRef] [PubMed]
- Zahra, N.; Wahid, A.; Hafeez, M.B.; Ullah, A.; Siddique, K.H.M.; Farooq, M. Grain development in wheat under combined heat and drought stress: Plant responses and management. Environ. Exp. Bot. 2021, 188, 104517. [Google Scholar] [CrossRef]
- Fábián, A.; Sáfrán, E.; Szabó-Eitel, G.; Barnabás, B.; Jäger, K. Stigma functionality and fertility are reduced by heat and drought co-stress in wheat. Front. Plant Sci. 2019, 10, 244. [Google Scholar] [CrossRef] [PubMed]
- FAOSTAT (2022). Available online: https://www.fao.org/faostat/en/#data/QCL (accessed on 12 December 2022).
- Ullrich, S.E. (Ed.) Significance, adaptation, production and trade of barley. In Barley: Production, Improvement and Use; Wiley-Blackwell: Chichester, UK, 2011; pp. 3–13. [Google Scholar]
- Evans, L.T.; Rawson, H.M. Photosynthesis and respiration by the flag leaf and components of the ear during grain development in wheat. Aust. J. Biol. Sci. 1970, 23, 245–254. [Google Scholar] [CrossRef]
- Yap, T.C.; Harvey, B.L. Relations between grain yield and photosynthetic parts above the flag leaf node in barley. Can. J. Plant Sci. 1972, 52, 241–246. [Google Scholar] [CrossRef]
- Qaseem, M.F.; Qureshi, R.; Shaheen, H. Effects of pre-anthesis drought, heat and their combination on the growth, yield and physiology of diverse wheat (Triticum aestivum L.) genotypes varying in sensitivity to heat and drought stress. Sci. Rep. 2019, 9, 6955. [Google Scholar] [CrossRef]
- Cohen, S.; Zandalinas, S.I.; Huck, C.; Fritschiard, F.B.; Mittler, R. Meta-analysis of drought and heat stress combination impact on crop yield and yield components. Physiol. Plant 2021, 171, 66–76. [Google Scholar] [CrossRef] [PubMed]
- Hossain, A.; Teixeira da Silva, J.A.; Lozovskaya, M.V.; Zvolinsky, V.P. High temperature combined with drought affect rainfed spring wheat and barley in South-Eastern Russia: I. Phenology and growth. Saudi J. Biol. Sci. 2012, 19, 473–487. [Google Scholar] [CrossRef]
- Muthurajan, R.; Shobbar, Z.S.; Jagadish, S.V.K.; Bruskiewich, R.; Ismail, A.; Leung, H.; Bennett, J. Physiological and proteomic responses of rice peduncles to drought stress. Mol. Biotechnol. 2011, 48, 173–182. [Google Scholar] [CrossRef] [PubMed]
- Kong, L.; Wang, F.; Feng, B.; Li, S.; Si, J.; Zhang, B. The structural and photosynthetic characteristics of the exposed peduncle of wheat (Triticum aestivum L.): An important photosynthate source for grain-filling. BMC Plant Biol. 2010, 10, 141. [Google Scholar] [CrossRef] [PubMed]
- Yang, J.; Wang, Z.; Zhu, Q.; Liu, L. Water deficit-induced senescence and its relationship to the remobilization of pre-stored carbon in wheat during grain filling. Agron. J. 2001, 93, 196–206. [Google Scholar] [CrossRef]
- Awasthi, R.; Kaushal, N.; Vadez, V.; Turner, N.C.; Berger, J.; Siddique, K.H.M.; Nayyar, H. Individual and combined effects of transient drought and heat stress on carbon assimilation and seed filling in chickpea. Funct. Plant Biol. 2014, 41, 1148–1167. [Google Scholar] [CrossRef]
- Awasthi, R.; Gaur, P.; Turner, N.C.; Vadez, V.; Siddique, K.H.M.; Nayyar, H. Effects of individual and combined heat and drought stress during seed filling on the oxidative metabolism and yield of chickpea (Cicer arietinum) genotypes differing in heat and drought tolerance. Crop Pasture Sci. 2017, 68, 823–841. [Google Scholar] [CrossRef]
- Sehgal, A.; Sita, K.; Kumar, J.; Kumar, S.; Singh, S.; Siddique, K.H.M.; Nayyar, H. Effects of drought, heat and their interaction on the growth, yield and photosynthetic function of lentil (Lens culinaris Medikus) genotypes varying in heat and drought sensitivity. Front. Plant Sci. 2017, 8, 1776. [Google Scholar] [CrossRef]
- Acevedo, E.; Craufurd, P.Q.; Austin, R.B.; Pérez-Marco, P. Traits associated with high yield in barley in low-rainfall environments. J. Agric. Sci. 1991, 116, 23–36. [Google Scholar] [CrossRef]
- Ayub, M.; Ashraf, M.Y.; Kausar, A.; Saleem, S.; Anwar, S.; Altay, V.; Ozturk, M. Growth and physio-biochemical responses of maize (Zea mays L.) to drought and heat stresses. Plant Biosyst. 2020, 155, 535–542. [Google Scholar] [CrossRef]
- Choukri, H.; Hejjaoui, K.; El-Baouchi, A.; El Haddad, N.; Smouni, A.; Maalouf, F.; Thavarajah, D.; Kumar, S. Heat and drought stress impact on phenology, grain yield and nutritional quality of lentil (Lens culinaris Medikus). Front. Nutr. 2020, 7, 596307. [Google Scholar] [CrossRef]
- Hussain, H.A.; Men, S.; Hussain, S.; Chen, Y.; Ali, S.; Zhang, S.; Zhang, K.; Li, Y.; Xu, Q.; Liao, C. Interactive effects of drought and heat stresses on morpho-physiological attributes, yield, nutrient uptake and oxidative status in maize hybrids. Sci. Rep. 2019, 9, 3890. [Google Scholar] [CrossRef]
- Araújo, W.L.; Tohge, T.; Ishizaki, K.; Leaver, C.J.; Fernie, A.R. Protein degradation—An alternative respiratory substrate for stressed plants. Trends Plant Sci. 2011, 16, 489–498. [Google Scholar] [CrossRef] [PubMed]
- Zhanassova, K.; Kurmanbayeva, A.; Gadilgereyeva, B.; Yermukhambetova, R.; Iksat, N.; Amanbayeva, U.; Bekturova, A.; Tleukulova, Z.; Omarov, R.; Masalimov, Z. ROS status and antioxidant enzyme activities in response to combined temperature and drought stresses in barley. Acta Physiol. Plant 2021, 43, 114. [Google Scholar] [CrossRef]
- Maslova, T.G.; Popova, I.A. Adaptive properties of the plant pigment systems. Photosynthetica 1993, 29, 195–203. [Google Scholar]
- Tardy, F.; Créach, A.; Havaux, M. Photosynthetic pigment concentration, organization and interconversions in a pale green Syrian landrace of barley (Hordeum vulgare L., Tadmor) adapted to harsh climatic conditions. Plant Cell Environ. 2002, 21, 479–489. [Google Scholar] [CrossRef]
- Sato, Y.; Morita, R.; Katsuma, S.; Nishimura, M.; Tanaka, A.; Kusaba, M. Two short-chain dehydrogenase/reductases, NON-YELLOW COLORING 1 and NYC1-LIKE, are required for chlorophyll b and light-harvesting complex II degradation during senescence in rice. Plant J. 2009, 57, 120–131. [Google Scholar] [CrossRef]
- Esteban, R.; Barrutia, O.; Artetxe, U.; Fernández-Marín, B.; Hérnandez, A.; García-Plazaola, J.I. Internal and external factors affecting photosynthetic pigment composition in plants: A meta-analytic approach. New Phytol. 2015, 206, 268–280. [Google Scholar] [CrossRef] [PubMed]
- Young, A.J. Factors that affect the carotenoid composition of higher plants and algae. In Carotenoids in Photosynthesis; Young, A.J., Britton, G., Eds.; Chapman & Hall: London, UK; Glasgow, UK; New York, NY, USA; Tokyo, Japan; Melbourne, Australia; Madras, India, 1993; pp. 160–205. [Google Scholar]
- Batra, N.G.; Sharma, V.; Kumari, N. Drought-induced change in chlorophyll fluorescence, photosynthetic pigments and thylakoid membrane proteins of Vigna radiata. J. Plant Interact. 2014, 9, 712–721. [Google Scholar] [CrossRef]
- Manivannan, P.; Jaleel, C.A.; Sankar, B.; Kishorekumar, A.; Somasundaram, R.; Lakshmanan, G.M.A.; Panneerselvam, R. Growth, biochemical modifications and proline metabolism in Helianthus annuus L. as induced by drought stress. Colloids Surf. B Biointerfaces 2007, 59, 141–149. [Google Scholar] [CrossRef]
- Ashraf, M.; Harris, P.J.C. Photosynthesis under stressful environments: An overview. Photosynthetica 2013, 51, 163–190. [Google Scholar] [CrossRef]
- Evans, J.R. Acclimation by the thylakoid membranes to growth irradiance and the partitioning of nitrogen between soluble and thylakoid proteins. Aust. J. Plant Physiol. 1988, 15, 93–106. [Google Scholar] [CrossRef]
- Young, A.J. The photoprotective role of carotenoids in higher plants. Physiol. Plant 1991, 83, 702–708. [Google Scholar] [CrossRef]
- Prasch, C.M.; Sonnewald, U. Simultaneous application of heat, drought and virus to Arabidopsis plants reveals significant shifts in signaling networks. Plant Physiol. 2013, 162, 1849–1866. [Google Scholar] [CrossRef] [PubMed]
- Hüve, K.; Bichele, I.; Rasulov, B.; Niinemets, Ü. When it is too hot for photosynthesis: Heat-induced instability of photosynthesis in relation to respiratory burst, cell permeability changes and H2O2 formation. Plant Cell Environ. 2011, 34, 113–126. [Google Scholar] [CrossRef] [PubMed]
- González, A.; Martín, I.; Ayerbe, L. Yield and osmotic adjustment capacity of barley under terminal water-stress conditions. J. Agron. Crop Sci. 2008, 194, 81–91. [Google Scholar] [CrossRef]
- Venkidasamy, B.; Karthikeyan, M.; Ramalingam, S. Methods/Protocols for determination of oxidative stress in crop plants. In Reactive Oxygen, Nitrogen and Sulfur Species in Plants; Wiley: Hoboken, NJ, USA, 2019; Volume 1, pp. 421–435. [Google Scholar]
- Sánchez, F.J.; Manzanares, M.; de Andres, E.F.; Tenorio, J.L.; Ayerbe, L. Turgor maintenance, osmotic adjustment and soluble sugar and proline accumulation in 49 pea cultivars in response to water stress. Field Crops Res. 1998, 59, 225–235. [Google Scholar] [CrossRef]
- Dien, D.C.; Mochizuki, T.; Yamakawa, T. Effect of various drought stresses and subsequent recovery on proline, total soluble sugar and starch metabolisms in rice (Oryza sativa L.) varieties. Plant Prod. Sci. 2019, 22, 530–545. [Google Scholar] [CrossRef]
- Rosa, M.; Prado, C.; Podazza, G.; Interdonato, R.; González, J.A.; Hilal, M.; Prado, F.E. Soluble sugars-metabolism, sensing and abiotic stress a complex network in the life of plants. Plant Signal. Behav. 2009, 4, 388–393. [Google Scholar] [CrossRef]
- Nakamura, T.; Nomura, M.; Mori, H.; Jagendorf, A.T.; Ueda, A.; Takabe, T. An isozyme of betaine aldehyde dehydrogenase in barley. Plant Cell Physiol. 2001, 42, 1088–1092. [Google Scholar] [CrossRef]
- Oukarroum, A.; El Madidi, S.; Strasser, R.J. Exogenous glycine betaine and proline play a protective role in heat-stressed barley leaves (Hordeum vulgare L.): A chlorophyll a fluorescence study. Plant Biosyst. 2012, 146, 1037–1043. [Google Scholar] [CrossRef]
- Annunziata, M.G.; Ciarmiello, L.F.; Woodrow, P.; Dell’Aversana, E.; Carillo, P. Spatial and temporal profile of glycine betaine accumulation in plants under abiotic stresses. Front. Plant Sci. 2019, 10, 230. [Google Scholar] [CrossRef]
- Abdelrahman, M.; Burritt, D.J.; Tran, L.S.P. The use of metabolomic quantitative trait locus mapping and osmotic adjustment traits for the improvement of crop yields under environmental stresses. Semin Cell Dev. Biol. 2018, 83, 86–94. [Google Scholar] [CrossRef] [PubMed]
- Choudhury, F.K.; Rivero, R.M.; Blumwald, E.; Mittler, R. Reactive oxygen species, abiotic stress and stress combination. Plant J. 2017, 90, 856–867. [Google Scholar] [CrossRef] [PubMed]
- Pompelli, M.F.; Arrieta, D.V.; Rodríguez, Y.Y.P.; Ramírez, A.M.J.; Bettin, A.M.V.; Avilez, M.A.Q.; Cárcamo, J.A.A.; Garcia-Castaño, S.G.; González, L.M.M.; Cordero, E.D.F.; et al. Can chlorophyll a fluorescence and photobleaching be a stress signal under abiotic atress in Vigna unguiculata L.? Sustainability 2022, 14, 15503. [Google Scholar] [CrossRef]
- Sankaranarayanan, S.; Ju, Y.; Kessler, S.A. Reactive oxygen species as mediators of gametophyte development and double fertilization in flowering plants. Front. Plant Sci. 2020, 11, 1199. [Google Scholar] [CrossRef]
- Rejeb, K.B.; Abdelly, C.; Saovuré, A. How reactive oxygen species and proline face stress together. Plant Physiol. Biochem. 2014, 80, 278–284. [Google Scholar] [CrossRef]
- Szabados, L.; Savoure, A. Proline: A multifunctional amino acid. Trends Plant Sci. 2010, 15, 89–97. [Google Scholar] [CrossRef]
- Hanson, A.D.; Nelsen, C.E.; Pedersen, A.R.; Everson, E.H. Capacity for proline accumulation during water stress in barley and its implications for breeding for drought resistance. Crop Sci. 1979, 19, 489. [Google Scholar] [CrossRef]
- Premachandra, G.S.; Hahn, D.T.; Rhodes, D.; Joly, R.J. Leaf water relations and solute accumulation in two grain sorghum lines exhibiting contrasting drought tolerance. J. Exp. Bot. 1995, 46, 1833–1841. [Google Scholar] [CrossRef]
- Schafleitner, R.; Gaudin, A.; Rosales, R.O.G.; Aliaga, C.A.A.; Bonierbale, M. Proline accumulation and real time PCR expression analysis of genes encoding enzymes of proline metabolism in relation to drought tolerance in andean potato. Acta Physiol. Plant 2007, 29, 19–26. [Google Scholar] [CrossRef]
- Sundaresan, S.; Sudhakaran, R. Water stress-induced alterations in the proline metabolism of drought-susceptible and -tolerant cassava (Manihot esculenta) cultivars. Physiol. Plant 1995, 94, 635–642. [Google Scholar] [CrossRef]
- Nedukha, O.M. Effects of moderate drought on leaf bulliform cells of aquatic and coastal population of Phragmites australis. Turk. J. Bot. 2022, 46, 459–472. [Google Scholar] [CrossRef]
- Kadioglu, A.; Terzi, R. A dehydration avoidance mechanism: Leaf rolling. Bot. Rev. 2007, 73, 290–302. [Google Scholar] [CrossRef]
- Waseem, M.; Mumtaz, S.; Hameed, M.; Fatima, S.; Ahmad, M.S.A.; Ahmad, F.; Ashraf, M.; Ahmad, I. Adaptive traits for drought tolerance in red-grained wheat (Triticum aestivum L.) landraces. Arid Land Res. Manag. 2007, 35, 414–445. [Google Scholar] [CrossRef]
- Willick, I.R.; Lahlali, R.; Vijayan, P.; Muir, D.; Karunakaran, C.; Tanino, K.K. Wheat flag leaf epicuticular wax morphology and composition in response to moderate drought stress are revealed by SEM, FTIR-ATR and synchrotron X-ray spectroscopy. Physiol. Plant 2017, 162, 316–332. [Google Scholar] [CrossRef] [PubMed]
- Zagdańska, B.; Kozdót, J. Water stress-induced changes in morphology and anatomy of flag leaf of spring wheat. Acta Soc. Bot. Pol. 1994, 63, 61–66. [Google Scholar] [CrossRef]
- de Oliveira, J.P.V.; Duarte, V.P.; de Castro, E.M.; Magalhães, P.C.; Pereira, F.J. Stomatal cavity modulates the gas exchange of Sorghum bicolor (L.) Moench. grown under different water levels. Protoplasma 2022, 259, 1081–1097. [Google Scholar] [CrossRef] [PubMed]
- Muñoz-Amatriaín, M.; Hernandez, F.; Herb, D.; Baenziger, P.S.; Bochard, A.; Capettini, F.; Casas, A.; Cuesta-Marcos, A.; Einfeldt, C.; Fisk, S.; et al. Perspectives on low temperature tolerance and vernalization sensitivity in barley: Prospects for facultative growth habit. Front. Plant Sci. 2020, 11, 585927. [Google Scholar] [CrossRef]
- Tischner, T.; Kőszegi, B.; Veisz, O. Climatic programmes used in the Martonvásár phytotron most frequently in recent years. Acta Agron. Hung. 1997, 45, 85–104. [Google Scholar]
- Zadoks, J.C.; Chang, T.T.; Konzak, C.F. A decimal code for the growth stages of cereals. Weed. Res. 1974, 14, 415–421. [Google Scholar] [CrossRef]
- Barrs, H.D.; Weatherley, P.E. A re-examination of relative turgidity technique for estimating water deficits in leaves. Aust. J. Biol. Sci. 1962, 15, 413–428. [Google Scholar] [CrossRef]
- Lichtenthaler, H.K. Chlorophylls and carotenoids: Pigments of photosynthetic biomembranes. Plant Cell Membranes 1987, 148, 350–382. [Google Scholar]
- Grieve, C.M.; Grattan, S.R. Rapid assay for determination of water soluble quaternary amino compounds. Plant Soil 1983, 70, 303–307. [Google Scholar] [CrossRef]
- Bates, L.S.; Waldren, R.P.; Teare, I.D. Rapid determination of free proline for water-stress studies. Plant Soil 1973, 39, 205–207. [Google Scholar] [CrossRef]
- Rose, R.; Rose, C.L.; Omi, S.K.; Forry, K.R.; Durrall, D.M.; Bigg, W.L. Starch determination by perchloric acid vs enzymes: Evaluating the accuracy and precision of six colorimetric methods. J. Agric. Food Chem. 1991, 39, 2–11. [Google Scholar] [CrossRef]
- Bradford, M.M. A rapid and sensitive method for the quantitation of microgram quantities of protein utilizing the principle of protein-dye binding. Anal. Biochem. 1976, 72, 248–254. [Google Scholar] [CrossRef] [PubMed]
- Irigoyen, J.J.; Einerick, D.W.; Sánchez-Díaz, M. Water stress induced changes in concentrations of proline and total soluble sugars in nodulated alfalfa (Medicago sativa) plants. Physiol. Plant 1992, 84, 55–60. [Google Scholar] [CrossRef]
- Schober, P.; Boer, C.; Schwarte, L.A. Correlation coefficients: Appropriate use and interpretation. Anesth. Analg. 2018, 126, 1763–1768. [Google Scholar] [CrossRef]









| Trait | Lambada Control | Lambada HD Co-Stress | Spinner Control | Spinner HD Co-Stress |
|---|---|---|---|---|
| Plant height (cm) | 70.5 ± 5.8 b | 62.1 ± 6.9 c | 92.5 ± 8.7 a | 72.9 ± 6.4 b |
| Peduncle length (cm) | 20.7 ± 3.1 b | 12.4 ± 4.5 c | 27.7 ± 4.0 a | 14.9 ± 4.6 c |
| Leaf thickness (mm) | 143.1 ± 13.0 b | 175.6 ± 12.0 a | 165.0 ± 19.6 a | 134.6 ± 7.9 b |
| Bulliform CPA (µm2) | 508.5 ± 68.2 ab | 547.7 ± 31.4 a | 449.7 ± 30.6 b | 397.5 ± 79.9 b |
| Mesophyll CPA (µm2) | 342.0 ± 85.5 a | 316.0 ± 106.8 a | 268.7 ± 52.1 b | 275.3 ± 116.9 b |
| Chloroplast mesophyll CPA−1 | 6.9 ± 1.3 c | 7.1 ± 1.8 bc | 9.2 ± 1.4 a | 8.5 ± 1.6 ab |
| Traits | RWC | Fv/Fm | Pn | gs | Ci | E | WUE | Prot | Chla | Chlb | Car | Chla/b | Pro | GB | TSC | Starch | PH | PL | GPT | PP | TGW | HI |
|---|---|---|---|---|---|---|---|---|---|---|---|---|---|---|---|---|---|---|---|---|---|---|
| RWC | 1 | |||||||||||||||||||||
| Fv/Fm | 0.803 ** | 1 | ||||||||||||||||||||
| Pn | 0.793 ** | 0.916 ** | 1 | |||||||||||||||||||
| gs | 0.843 ** | 0.624 | 0.780 ** | 1 | ||||||||||||||||||
| Ci | 0.498 | 0.329 | 0.592 * | 0.756 ** | 1 | |||||||||||||||||
| E | 0.684 | 0.747 ** | 0.925 ** | 0.816 ** | 0.835 ** | 1 | ||||||||||||||||
| WUE | −0.105 | −0.023 | −0.282 | −0.541 | −0.833 ** | −0.591 * | 1 | |||||||||||||||
| Prot | 0.824 ** | 0.634 * | 0.647 * | 0.854 ** | 0.651 * | 0.672 * | −0.441 * | 1 | ||||||||||||||
| Chla | 0.733 ** | 0.648 * | 0.625 * | 0.726 ** | 0.483 | 0.567 | −0.335 | 0.960 ** | 1 | |||||||||||||
| Chlb | 0.757 ** | 0.690 * | 0.673 * | 0.747 ** | 0.507 | 0.613 * | −0.340 | 0.965 ** | 0.998 ** | 1 | ||||||||||||
| Car | −0.730 ** | −0.927 ** | −0.950 ** | −0.655 * | −0.444 | −0.835 ** | 0.127 | −0.562 | −0.517 | −0.573 | 1 | |||||||||||
| Chla/b | 0.592 * | 0.437 | 0.373 | 0.567 | 0.316 | 0.309 | −0.233 | 0.886 ** | 0.955 ** | 0.934 ** | −0.268 | 1 | ||||||||||
| Pro | −0.781 ** | −0.938 ** | −0.825 ** | −0.573 | −0.127 | −0.580 * | −0.136 | −0.622 * | −0.672 * | −0.704 ** | 0.851 ** | −0.516 | 1 | |||||||||
| GB | 0.891 ** | 0.768 ** | 0.728 ** | 0.827 ** | 0.477 | 0.632 * | −0.250 | 0.929 ** | 0.902 ** | 0.916 ** | −0.685 * | 0.806 ** | −0.774 ** | 1 | ||||||||
| TSC | 0.062 | 0.368 | 0.066 | −0.318 | −0.750 ** | −0.289 | 0.825 ** | −0.224 | −0.061 | −0.052 | −0.232 | −0.052 | −0.527 | 0.029 | 1 | |||||||
| Starch | 0.735 ** | 0.467 | 0.500 | 0.797 ** | 0.630 * | 0.540 | −0.489 | 0.971 ** | 0.925 * | 0.917 ** | −0.382 | 0.902 ** | −0.460 | 0.884 ** | −0.335 | 1 | ||||||
| PH | 0.415 | 0.162 | 0.165 | 0.514 | 0.596 * | 0.325 | −0.541 | 0.764 ** | 0.713 * | 0.694 * | −0.080 | 0.754 ** | −0.082 | 0.588 * | −0.507 | 0.856 ** | 1 | |||||
| PL | 0.638 * | 0.485 | 0.549 | 0.756 ** | 0.770 ** | 0.667 * | −0.616 * | 0.915 ** | 0.854 * | 0.858 ** | −0.445 | 0.785 ** | −0.384 | 0.765 ** | −0.441 | 0.920 ** | 0.908 ** | 1 | ||||
| GPT | 0.842 ** | 0.890 ** | 0.845 ** | 0.757 ** | 0.484 | 0.772 ** | −0.271 | 0.710 ** | 0.671 * | 0.706 * | −0.818 ** | 0.472 | −0.814 ** | 0.836 ** | 0.121 | 0.609 * | 0.318 | 0.575 | 1 | |||
| PP | 0.759 ** | 0.927 ** | 0.985 ** | 0.727 ** | 0.542 | 0.905 ** | −0.231 | 0.590 * | 0.544 | 0.595 * | −0.949 ** | 0.282 | −0.814 ** | 0.665 * | 0.112 | 0.411 | 0.106 | 0.491 | 0.845 ** | 1 | ||
| TGW | 0.628 * | 0.685 * | 0.792 ** | 0.709 ** | 0.686 * | 0.799 ** | −0.427 | 0.756 ** | 0.716 * | 0.747 * | 0.736 ** | 0.551 | −0.551 | 0.732 ** | −0.215 | 0.668 * | 0.487 | 0.751 ** | 0.580 * | 0.742 ** | 1 | |
| HI | 0.554 | 0.687 * | 0.742 ** | 0.694 * | 0.631 * | 0.808 ** | −0.629 * | 0.612 * | 0.572 | 0.605 * | −0.694 * | 0.364 | −0.565 | 0.669 | −0.172 | 0.548 | 0.349 | 0.590 * | 0.873 ** | 0.732 ** | 0.574 | 1 |
Disclaimer/Publisher’s Note: The statements, opinions and data contained in all publications are solely those of the individual author(s) and contributor(s) and not of MDPI and/or the editor(s). MDPI and/or the editor(s) disclaim responsibility for any injury to people or property resulting from any ideas, methods, instructions or products referred to in the content. |
© 2023 by the authors. Licensee MDPI, Basel, Switzerland. This article is an open access article distributed under the terms and conditions of the Creative Commons Attribution (CC BY) license (https://creativecommons.org/licenses/by/4.0/).
Share and Cite
Jampoh, E.A.; Sáfrán, E.; Babinyec-Czifra, D.; Kristóf, Z.; Krárné Péntek, B.; Fábián, A.; Barnabás, B.; Jäger, K. Morpho-Anatomical, Physiological and Biochemical Adjustments in Response to Heat and Drought Co-Stress in Winter Barley. Plants 2023, 12, 3907. https://doi.org/10.3390/plants12223907
Jampoh EA, Sáfrán E, Babinyec-Czifra D, Kristóf Z, Krárné Péntek B, Fábián A, Barnabás B, Jäger K. Morpho-Anatomical, Physiological and Biochemical Adjustments in Response to Heat and Drought Co-Stress in Winter Barley. Plants. 2023; 12(22):3907. https://doi.org/10.3390/plants12223907
Chicago/Turabian StyleJampoh, Emmanuel Asante, Eszter Sáfrán, Dorina Babinyec-Czifra, Zoltán Kristóf, Barbara Krárné Péntek, Attila Fábián, Beáta Barnabás, and Katalin Jäger. 2023. "Morpho-Anatomical, Physiological and Biochemical Adjustments in Response to Heat and Drought Co-Stress in Winter Barley" Plants 12, no. 22: 3907. https://doi.org/10.3390/plants12223907
APA StyleJampoh, E. A., Sáfrán, E., Babinyec-Czifra, D., Kristóf, Z., Krárné Péntek, B., Fábián, A., Barnabás, B., & Jäger, K. (2023). Morpho-Anatomical, Physiological and Biochemical Adjustments in Response to Heat and Drought Co-Stress in Winter Barley. Plants, 12(22), 3907. https://doi.org/10.3390/plants12223907

