Effects of Light Intensity on the Growth and Biochemical Composition in Various Microalgae Grown at High CO2 Concentrations
Abstract
:1. Introduction
2. Results and Discussion
2.1. The Biomass Growth Rate and pH of the Culture Medium
2.2. The Biochemical Composition of Microalgae Biomass
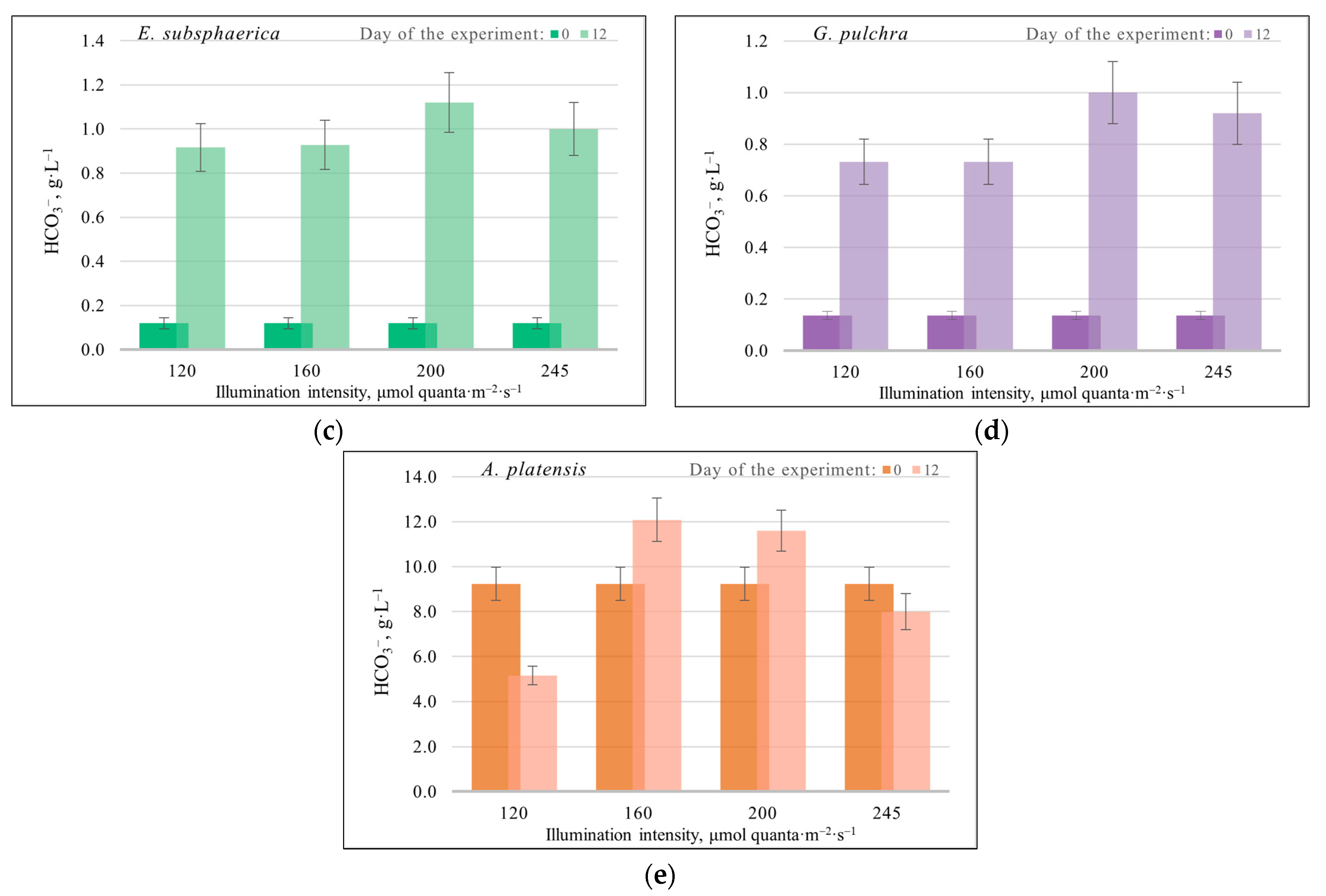
2.3. Dynamics of the Nutrient Media Components during the Experiments
2.4. The State of Microalgae Cells under the Influence of Different Illumination Intensities
3. Materials and Methods
3.1. Microalgae Strains
3.2. Illumination Intensity
3.3. Experimental Setup
3.4. Experimental Procedure
3.5. Research Methods
4. Conclusions
Author Contributions
Funding
Data Availability Statement
Conflicts of Interest
References
- Bentley, R.W.; Mannan, S.A.; Wheeler, S.J. Assessing the Date of the Global Oil Peak: The Need to Use 2P Reserves. Energy Policy 2007, 35, 6364–6382. [Google Scholar] [CrossRef]
- Yoro, K.; Daramola, M.O. CO2 Emission Sources, Greenhouse Gases, and the Global Warming Effect. In Advances in Carbon Capture; Woodhead Publishing: Cambridge, UK, 2020; pp. 1–28. ISBN 978-0-12-819657-1. [Google Scholar]
- Vale, M.A.; Ferreira, A.; Pires, J.C.M.; Gonçalves, A.L. Chapter 17—CO2 Capture Using Microalgae. In Advances in Carbon Capture; Rahimpour, M.R., Farsi, M., Makarem, M.A., Eds.; Woodhead Publishing: Cambridge, UK, 2020; pp. 381–405. ISBN 978-0-12-819657-1. [Google Scholar]
- Chisti, Y. Biodiesel from Microalgae. Biotechnol. Adv. 2007, 25, 294–306. [Google Scholar] [CrossRef] [PubMed]
- Heilmann, S.M.; Davis, H.T.; Jader, L.R.; Lefebvre, P.A.; Sadowsky, M.J.; Schendel, F.J.; von Keitz, M.G.; Valentas, K.J. Hydrothermal Carbonization of Microalgae. Biomass Bioenergy 2010, 34, 875–882. [Google Scholar] [CrossRef]
- Chernova, N.; Kiseleva, S. The Wastewater Using in Technologies of Bio-Oil Production from Microalgae: CO2 Capture and Storage. IOP Conf. Ser. Mater. Sci. Eng. 2021, 1037, 012045. [Google Scholar] [CrossRef]
- Nzayisenga, J.; Farge, X.; Groll, S.; Sellstedt, A. Effects of Light Intensity on Growth and Lipid Production in Microalgae Grown in Wastewater. Biotechnol. Biofuels 2020, 13, 1–8. [Google Scholar] [CrossRef] [PubMed]
- Dai, R.; Wang, P.; Jia, P.; Zhang, Y.; Chu, X.; Wang, Y. A Review on Factors Affecting Microcystins Production by Algae in Aquatic Environments. World J. Microbiol. Biotechnol. 2016, 32, 51. [Google Scholar] [CrossRef] [PubMed]
- Mostafa, S. Microalgal Biotechnology: Prospects and Applications. In Plant Science; IntechOpen: London, UK, 2012; ISBN 978-953-51-0905-1. [Google Scholar]
- Apt, K.; Behrens, P. Commercial Developments in Microalgal Biotechnology. J. Phycol. 2002, 35, 215–226. [Google Scholar] [CrossRef]
- Chunzhuk, E.A.; Grigorenko, A.V.; Kiseleva, S.V.; Chernova, N.I.; Ryndin, K.G.; Kumar, V.; Vlaskin, M.S. The Influence of Elevated CO2 Concentrations on the Growth of Various Microalgae Strains. Plants 2023, 12, 2470. [Google Scholar] [CrossRef] [PubMed]
- Aslam, A.; Thomas-Hall, S.; Mughal, T.; Schenk, P. Selection and Adaptation of Microalgae to Growth in 100% Unfiltered Coal-Fired Flue Gas. Bioresour. Technol. 2017, 233, 271–283. [Google Scholar] [CrossRef] [PubMed]
- Yahya, L.; Harun, R.; Luqman Chuah, A. Screening of Native Microalgae Species for Carbon Fixation at the Vicinity of Malaysian Coal-Fired Power Plant. Sci. Rep. 2020, 10, 22355. [Google Scholar] [CrossRef] [PubMed]
- Thawechai, T.; Cheirsilp, B.; Louhasakul, Y.; Boonsawang, P.; Prasertsan, P. Mitigation of Carbon Dioxide by Oleaginous Microalgae for Lipids and Pigments Production: Effect of Light Illumination and Carbon Dioxide Feeding Strategies. Bioresour. Technol. 2016, 219, 139–149. [Google Scholar] [CrossRef] [PubMed]
- Ho, S.-H.; Chen, C.-Y.; Chang, J.-S. Effect of Light Intensity and Nitrogen Starvation on CO2 Fixation and Lipid/Carbohydrate Production of an Indigenous Microalga Scenedesmus Obliquus CNW-N. Spec. Issue Chall. Environ. Sci. Eng. 2012, 113, 244–252. [Google Scholar] [CrossRef]
- Hu, X.; Zhou, J.; Liu, G.; Gui, B. Selection of Microalgae for High CO2 Fixation Efficiency and Lipid Accumulation from Ten Chlorella Strains Using Municipal Wastewater. J. Environ. Sci. 2016, 46, 83–91. [Google Scholar] [CrossRef] [PubMed]
- Chunzhuk, E.A.; Grigorenko, A.V.; Chernova, N.I.; Kiseleva, S.V.; Ryndin, K.G.; Popel, O.S.; Malaniy, S.Y.; Slavkina, O.V.; de Farias Neves, F.; Leng, L.; et al. Direct Study of CO2 Capture Efficiency during Microalgae Arthrospira Platensis Cultivation at High CO2 Concentrations. Energies 2023, 16, 822. [Google Scholar] [CrossRef]
- Vlaskin, M.; Kiseleva, S.; Chernova, N.; Grigorenko, A.; Ryndin, K.; Popel’, O.; Malanii, S.; Slavkina, O.; Naves, F.; Kumar, V. Effectiveness of CO2 Capture by Arthrospira Platensis Microalgae from a Mixture Simulating Flue Gases. Therm. Eng. 2023, 70, 370–383. [Google Scholar] [CrossRef]
- Gudvilovich, I.; Lelekov, A.; Maltsev, Y.; Kulikovsky, M.; Borovkov, A. The Growth Of Porphyridium Purpureum (Porphyridiales, Rhodophyta) Culture and The Production Of B-Phycoerythrin In Different Light Conditions. Plant Physiol. 2021, 68, 188–196. [Google Scholar] [CrossRef]
- Chavan, K.; Chouhan, S.; Jain, S.; Singh, P.; Yadav, M.; Tiwari, A. Environmental Factors Influencing Algal Biodiesel Production. Environ. Eng. Sci. 2014, 31, 602–611. [Google Scholar] [CrossRef]
- Sosa-Hernández, J.E.; Rodas-Zuluaga, L.I.; Castillo-Zacarías, C.; Rostro-Alanís, M.; de la Cruz, R.; Carrillo-Nieves, D.; Salinas-Salazar, C.; Fuentes Grunewald, C.; Llewellyn, C.A.; Olguín, E.J.; et al. Light Intensity and Nitrogen Concentration Impact on the Biomass and Phycoerythrin Production by Porphyridium purpureum. Mar. Drugs 2019, 17, 460. [Google Scholar] [CrossRef] [PubMed]
- Dymova, O.; Novakovskaya, I.; Patova, E.; Postelnii, D.A.; Petychov, A.A. Effect of Light and Temperature Regime on the Content of Carotenoids in Cells oF Chloromonas Reticulata (Goroshankin) Gobi. Biomics 2020, 12, 359–366. [Google Scholar] [CrossRef]
- Solovchenko, A.E.; Merzlyak, M.N.; Chivkunova, O.B.; Reshetnikova, I.V.; Khozin-Goldberg, I.; Didi-Cohen, S.; Cohen, Z. Effects of Light Irradiance and Nitrogen Starvation on the Accumulation of Arachidonic Acid by the Microalga Parietochloris Incisa. Vestn. Mosk. Univ. 2008, 1, 49–53. [Google Scholar]
- McGee, D.; Archer, L.; Fleming, G.T.A.; Gillespie, E.; Touzet, N. Influence of Spectral Intensity and Quality of LED Lighting on Photoacclimation, Carbon Allocation and High-Value Pigments in Microalgae. Photosynth. Res. 2020, 143, 67–80. [Google Scholar] [CrossRef] [PubMed]
- Krzemińska, I.; Pawlik-Skowrońska, B.; Trzcińska, M.; Tys, J. Influence of Photoperiods on the Growth Rate and Biomass Productivity of Green Microalgae. Bioprocess Biosyst. Eng. 2014, 37, 735–741. [Google Scholar] [CrossRef]
- Mehan, L.; Verma, R.; Kumar, R.; Srivastava, A. Illumination Wavelengths Effect on Arthrospira Platensis Production and Its Process Applications in River Yamuna Water Treatment. J. Water Process Eng. 2018, 23, 91–96. [Google Scholar] [CrossRef]
- Kitaya, Y.; Azuma, H.; Kiyota, M. Effects of Temperature, CO2/O2 Concentrations and Light Intensity on Cellular Multiplication of Microalgae, Euglena Gracilis. Space Life Sci. Closed Ecol. Syst. Earth Space Appl. 2005, 35, 1584–1588. [Google Scholar] [CrossRef]
- Chiu, S.-Y.; Kao, C.-Y.; Huang, T.-T.; Lin, C.-J.; Ong, S.-C.; Chen, C.-D.; Chang, J.-S.; Lin, C.-S. Microalgal Biomass Production and On-Site Bioremediation of Carbon Dioxide, Nitrogen Oxide and Sulfur Dioxide from Flue Gas Using Chlorella sp. Cultures. Bioresour. Technol. 2011, 102, 9135–9142. [Google Scholar] [CrossRef] [PubMed]
- Li, X.; Manuel, J.; Crunkleton, D.; Johannes, T. Effect of blue and red-orange leds on the growth and biochemical profile of Chlamydomonas reinhardtii. J. Appl. Phycol. 2021, 33, 1367–1377. [Google Scholar] [CrossRef]
- Fozer, D.; Kiss, B.; Lorincz, L.; Szekely, E.; Mizsey, P.; Nemeth, A. Improvement of Microalgae Biomass Productivity and Subsequent Biogas Yield of Hydrothermal Gasification via Optimization of Illumination. Renew. Energy 2019, 138, 1262–1272. [Google Scholar] [CrossRef]
- Sharmila, D.; Suresh, A.; Indhumathi, J.; Gowtham, K.; Velmurugan, N. Impact of Various Color Filtered LED Lights on Microalgae Growth, Pigments and Lipid Production. Eur. J. Biotechnol. Biosci. 2018, 6, 7. [Google Scholar]
- Wahidin, S.; Idris, A.; Shaleh, S.R.M. The Influence of Light Intensity and Photoperiod on the Growth and Lipid Content of Microalgae Nannochloropsis sp. Bioresour. Technol. 2013, 129, 7–11. [Google Scholar] [CrossRef]
- Liu, G.; Qiao, L.; Zhang, H.; Zhao, D.; Su, X. The Effects of Illumination Factors on the Growth and HCO3− Fixation of Microalgae in an Experiment Culture System. Energy 2014, 78, 40–47. [Google Scholar] [CrossRef]
- Jacob-Lopes, E.; Henrique, C.; Scoparo, G.; Mara, L.; Lacerda, C.; Franco, T. Effect of Light Cycles (Night/Day) on CO2 Fixation and Biomass Production by Microalgae in Photobioreactors. Chem. Eng. Process. 2009, 48, 306–310. [Google Scholar] [CrossRef]
- Chen, J.; Dai, L.; Mataya, D.; Cobb, K.; Chen, P.; Ruan, R. Enhanced Sustainable Integration of CO2 Utilization and Wastewater Treatment Using Microalgae in Circular Economy Concept. Bioresour. Technol. 2022, 366, 128188. [Google Scholar] [CrossRef]
- Mavrommati, M.; Daskalaki, A.; Papanikolaou, S.; Aggelis, G. Adaptive Laboratory Evolution Principles and Applications in Industrial Biotechnology. Biotechnol. Adv. 2022, 54, 107795. [Google Scholar] [CrossRef] [PubMed]
- Cheng, D.; Li, X.; Yuan, Y.; Yang, C.; Tang, T.; Zhao, Q.; Sun, Y. Adaptive Evolution and Carbon Dioxide Fixation of Chlorella sp. in Simulated Flue Gas. Sci. Total Environ. 2019, 650, 2931–2938. [Google Scholar] [CrossRef] [PubMed]
- Cheng, J.; Zhu, Y.; Zhang, Z.; Yang, W. Modification and Improvement of Microalgae Strains for Strengthening CO2 Fixation from Coal-Fired Flue Gas in Power Plants. Bioresour. Technol. 2019, 291, 121850. [Google Scholar] [CrossRef]
- Barati, B.; Zeng, K.; Baeyens, J.; Wang, S.; Addy, M.; Gan, S.; Abomohra, A. Recent Progress in Genetically Modified Microalgae for Enhanced Carbon Dioxide Sequestration. Biomass Bioenergy 2021, 145, 105927. [Google Scholar] [CrossRef]
- Yoo, C.; Jun, S.-Y.; Lee, J.-Y.; Ahn, C.-Y.; Oh, H.-M. Selection of Microalgae for Lipid Production under High Levels Carbon Dioxide. Suppl. Issue Recent Dev. Biomass Convers. Technol. 2010, 101, S71–S74. [Google Scholar] [CrossRef]
- Sydney, E.B.; Sturm, W.; de Carvalho, J.C.; Thomaz-Soccol, V.; Larroche, C.; Pandey, A.; Soccol, C.R. Potential Carbon Dioxide Fixation by Industrially Important Microalgae. Bioresour. Technol. 2010, 101, 5892–5896. [Google Scholar] [CrossRef] [PubMed]
- Dragone, G.; Fernandes, B.; Abreu, A.; Vicente, A.; Teixeira, J. Nutrient Limitation as a Strategy for Increasing Starch Accumulation in Microalgae. Appl. Energy 2011, 88, 3331–3335. [Google Scholar] [CrossRef]
- Márquez, A.; Fleury, G.; Dimitriades-Lemaire, A.; Alvarez, P.; Santander, G.; Crampon, C.; Badens, E.; Sassi, J.-F. Potential of the Worldwide-Cultivated Cyanobacterium Arthrospira Platensis for CO2 Mitigation: Impacts of Photoperiod Lengths and Abiotic Parameters on Yield and Efficiency. Bioresour. Technol. Rep. 2023, 22, 101439. [Google Scholar] [CrossRef]
- Li, S.; Chang, H.; Zhang, S.; Ho, S.-H. Production of Sustainable Biofuels from Microalgae with CO2 Bio-Sequestration and Life Cycle Assessment. Environ. Res. 2023, 227, 115730. [Google Scholar] [CrossRef]
- Zhao, B.; Su, Y. Process Effect of Microalgal-Carbon Dioxide Fixation and Biomass Production: A Review. Renew. Sustain. Energy Rev. 2014, 31, 121–132. [Google Scholar] [CrossRef]
- Lam, M.; Lee, K.T.; Mohamed, A. Current Status and Challenges on Microalgae-Based Capture. Int. J. Greenh. Gas Control 2012, 10, 456–469. [Google Scholar] [CrossRef]
- Chernova, N.; Kiseleva, S. Microalgae Biofuels: Induction of Lipid Synthesis for Biodiesel Production and Biomass Residues into Hydrogen Conversion. Int. J. Hydrog. Energy 2017, 42, 2861–2867. [Google Scholar] [CrossRef]
- Raslavičius, L.; Semenov, V.G.; Chernova, N.I.; Keršys, A.; Kopeyka, A.K. Producing Transportation Fuels from Algae: In Search of Synergy. Renew. Sustain. Energy Rev. 2014, 40, 133–142. [Google Scholar] [CrossRef]
- Folch, J.M.L.; Lees, M.; Stanley, G.H.A. A Simple Method for the Isolation and Purification of Total Lipides from Animal Tissues. J. Biol. Chem. 1957, 226, 497–509. [Google Scholar] [CrossRef] [PubMed]
- Dawson, R.; Elliott, D.C.; Elliott, W.H.; Jones, L.M. Handbook on Biochemistry; Oxford University Press: Oxford, UK, 1986. [Google Scholar]
- DuBois, M.; Gilles, K.A.; Hamilton, J.K.; Rebers, P.A.; Smith, F. Colorimetric Method for Determination of Sugars and Related Substances. Anal. Chem. 1956, 28, 350–356. [Google Scholar] [CrossRef]











| Strains | C. vulgaris | A. platensis | |||||||||||
|---|---|---|---|---|---|---|---|---|---|---|---|---|---|
| Biomass productivity, g·L−1·day−1 | 0.047 | 0.054 | 0.105 | 0.129 | 0.320 | 0.485 | 0.600 | 0.780 | 0.145 | 0.130 | 0.130 | 0.170 | 0.260 |
| Reference | [16] | [16] | [40] | [41] | [11] | [42] | This study | This study | [41] | [43] | [11] | This study | This study |
| Illumination, μmol quanta·m−2·s−1, light:dark | 55, 12:12 | 55, 12:12 | 150, 24:0 | 50, 12:12 | 74, 24:0 | 70, 24:0 | 120, 24:0 | 245, 24:0 | 50, 12:12 | N.A., 24:0 | 74, 24:0 | 120, 24:0 | 200–245, 24:0 |
| CO2 content, % | 10 | N.A. | 10 | 5 | 6 | 2 | 6 | 6 | 5 | 5 | 6 | 6 | 6 |
| Strains | 80 μmol quanta·m−2·s−1 | 120 μmol quanta·m−2·s−1 | 160 μmol quanta·m−2·s−1 | 200 μmol quanta·m−2·s−1 | 245 μmol quanta·m−2·s−1 | |||||
|---|---|---|---|---|---|---|---|---|---|---|
| Init. Value | Fin. Value | Init. Value | Fin. Value | Init. Value | Fin. Value | Init. Value | Fin. Value | Init. Value | Fin. Value | |
| C. vulgaris | 5.61 ± 0.00 | 6.87 ± 0.04 | 5.53 ± 0.00 | 8.32 ± 0.22 | 5.47 ± 0.00 | 8.08 ± 0.01 | 5.90 ± 0.00 | 8.03 ± 0.06 | 5.84 ± 0.01 | 8.49 ± 0.04 |
| C. ellipsoidea | 5.52 ± 0.01 | 6.84 ± 0.01 | 5.51 ± 0.01 | 8.32 ± 0.12 | 5.43 ± 0.01 | 8.13 ± 0.01 | 5.91 ± 0.01 | 8.08 ± 0.01 | 5.88 ± 0.00 | 8.49 ± 0.01 |
| E. subsphaerica | 8.83 ± 0.01 | 8.90 ± 0.22 | 8.53 ± 0.01 | 8.67 ± 0.16 | 8.33 ± 0.01 | 8.36 ± 0.08 | 8.89 ± 0.02 | 8.17 ± 0.04 | 8.79 ± 0.03 | 8.68 ± 0.10 |
| G. pulchra | 8.58 ± 0.00 | 8.77 ± 0.05 | 8.48 ± 0.00 | 8.55 ± 0.14 | 8.23 ± 0.00 | 7.79 ± 0.04 | 8.85 ± 0.01 | 8.06 ± 0.02 | 8.55 ± 0.02 | 8.59 ± 0.03 |
| A. platensis | 8.65 ± 0.01 | 8.79 ± 0.01 | 8.46 ± 0.01 | 8.81 ± 0.01 | 8.72 ± 0.01 | 8.73 ± 0.01 | 8.60 ± 0.01 | 8.80 ± 0.07 | 8.64 ± 0.00 | 8.84 ± 0.06 |
Disclaimer/Publisher’s Note: The statements, opinions and data contained in all publications are solely those of the individual author(s) and contributor(s) and not of MDPI and/or the editor(s). MDPI and/or the editor(s) disclaim responsibility for any injury to people or property resulting from any ideas, methods, instructions or products referred to in the content. |
© 2023 by the authors. Licensee MDPI, Basel, Switzerland. This article is an open access article distributed under the terms and conditions of the Creative Commons Attribution (CC BY) license (https://creativecommons.org/licenses/by/4.0/).
Share and Cite
Chunzhuk, E.A.; Grigorenko, A.V.; Kiseleva, S.V.; Chernova, N.I.; Vlaskin, M.S.; Ryndin, K.G.; Butyrin, A.V.; Ambaryan, G.N.; Dudoladov, A.O. Effects of Light Intensity on the Growth and Biochemical Composition in Various Microalgae Grown at High CO2 Concentrations. Plants 2023, 12, 3876. https://doi.org/10.3390/plants12223876
Chunzhuk EA, Grigorenko AV, Kiseleva SV, Chernova NI, Vlaskin MS, Ryndin KG, Butyrin AV, Ambaryan GN, Dudoladov AO. Effects of Light Intensity on the Growth and Biochemical Composition in Various Microalgae Grown at High CO2 Concentrations. Plants. 2023; 12(22):3876. https://doi.org/10.3390/plants12223876
Chicago/Turabian StyleChunzhuk, Elizaveta A., Anatoly V. Grigorenko, Sophia V. Kiseleva, Nadezhda I. Chernova, Mikhail S. Vlaskin, Kirill G. Ryndin, Aleksey V. Butyrin, Grayr N. Ambaryan, and Aleksandr O. Dudoladov. 2023. "Effects of Light Intensity on the Growth and Biochemical Composition in Various Microalgae Grown at High CO2 Concentrations" Plants 12, no. 22: 3876. https://doi.org/10.3390/plants12223876
APA StyleChunzhuk, E. A., Grigorenko, A. V., Kiseleva, S. V., Chernova, N. I., Vlaskin, M. S., Ryndin, K. G., Butyrin, A. V., Ambaryan, G. N., & Dudoladov, A. O. (2023). Effects of Light Intensity on the Growth and Biochemical Composition in Various Microalgae Grown at High CO2 Concentrations. Plants, 12(22), 3876. https://doi.org/10.3390/plants12223876

