Study of the Chemical Composition of Rosa beggeriana Schrenk’s Fruits and Leaves
Abstract
:1. Introduction
2. Results
2.1. Identification of the Isolated Compounds from Leaves of Rosa beggeriana Schrenk
2.2. GC-MS Data
2.3. NMR Data
2.3.1. Identification of the Isolated Compounds from Leaves of Rosa beggeriana Schrenk
2.3.2. Identification of the Isolated Compounds from Fruits of Rosa beggeriana Schrenk
3. Discussion
3.1. GC-MS Data
3.2. Isolation and Identification of Individual Compounds
4. Materials and Methods
4.1. Plant Material
4.2. General Experimental Procedures
4.3. Extraction and Isolation
4.3.1. Extraction and Isolation of Leaves
4.3.2. Extraction and Isolation of Fruits
5. Conclusions
Supplementary Materials
Author Contributions
Funding
Data Availability Statement
Acknowledgments
Conflicts of Interest
References
- Leus, L.; Van Laere, K.; De Riek, J.; Van Huylenbroeck, J. Chapter 27. Rose. In Ornamental Crops. Handbook of Plant Breeding; Van Huylenbroeck, J., Ed.; Springer International Publishing: Melle, Belgium, 2018; pp. 719–767. ISBN 9783319906980. [Google Scholar]
- Fougère-Danezan, M.; Joly, S.; Bruneau, A.; Gao, X.F.; Zhang, L.B. Phylogeny and Biogeography of Wild Roses with Specific Attention to Polyploids. Ann. Bot. 2015, 115, 275–291. [Google Scholar] [CrossRef] [PubMed]
- Ibrahimov, A.M.; Talibov, T.H.; Matsyura, A.V. The Genus Rosa L. (Rosaceae) in the Flora of Nakhchivan Autonomous Republic (Azerbaijan). Acta Biol. Sib. 2018, 4, 95–102. [Google Scholar] [CrossRef]
- Handa, S.S.; Rakesh, D.D.; Vasisht, K.J. Compendium of Medicinal and Aromatic Plants ASIA, 2nd ed.; ICS UNIDO: Trieste, Italy, 2006; ISBN 9789896540821. [Google Scholar]
- Ayati, Z.; Amiri, M.S.; Ramezani, M.; Delshad, E.; Sahebkar, A.; Emami, S.A. Phytochemistry, Traditional Uses and Pharmacological Profile of Rose Hip: A Review. Curr. Pharm. Des. 2018, 24, 4101–4124. [Google Scholar] [CrossRef] [PubMed]
- Ginko, E.; Alajmovic Demirović, E.; Šarić-Kundalić, B. Ethnobotanical Study of Traditionally Used Plants in the Municipality of Zavidovići, BiH. J. Ethnopharmacol. 2023, 302, 115888. [Google Scholar] [CrossRef]
- Liu, T.; Lu, Y.; Tonissen, K.; Di Trapani, G.; Tang, W.; Feng, Y. Application of Traditional Chinese Medicine as Skin Depigmentation Agents. Heliyon 2022, 8, e12571. [Google Scholar] [CrossRef]
- Kreidel, M.K.; Jhaveri, M. Introduction to Essential Oils and Essential Oil Processing. In Integrative Dermatology: Practical Applications in Acne and Rosacea; Springer International Publishing: Berlin/Heidelberg, Germany, 2021; pp. 99–122. ISBN 978-303058953-0. [Google Scholar]
- Jasim, Z.M.; Jasim, G.A.; Abbas, I.S. Anti-Angiogenic Activity of Rosa Canina Extracts, an Ex-Vivo and In-Vivo Study. Int. J. Drug Deliv. Technol. 2022, 12, 1687–1695. [Google Scholar] [CrossRef]
- Ko, C.Y.; Chao, J.; Chen, P.Y.; Su, S.Y.; Maeda, T.; Lin, C.Y.; Chiang, H.C.; Huang, S.S. Ethnobotanical Survey on Skin Whitening Prescriptions of Traditional Chinese Medicine in Taiwan. Front. Pharmacol. 2021, 12, 736370. [Google Scholar] [CrossRef]
- Sargin, S.A. Potential Anti-Influenza Effective Plants Used in Turkish Folk Medicine: A Review. J. Ethnopharmacol. 2021, 265, 113319. [Google Scholar] [CrossRef]
- Sallustio, V.; Chiocchio, I.; Mandrone, M.; Cirrincione, M.; Protti, M.; Farruggia, G.; Abruzzo, A.; Luppi, B.; Bigucci, F.; Mercolini, L.; et al. Extraction, Encapsulation into Lipid Vesicular Systems, and Biological Activity of Rosa canina L. Bioactive Compounds for Dermocosmetic Use. Molecules 2022, 27, 3025. [Google Scholar] [CrossRef]
- Upman, K.; Sharma, A. Ethnobotany, Phytochemistry, Pharmacology, and Toxicology of Rosa Sericea a Medicinal Plant. IOP Conf. Ser. Earth Environ. Sci. 2023, 1110, 012045. [Google Scholar] [CrossRef]
- Mileva, M.; Ilieva, Y.; Jovtchev, G.; Gateva, S.; Zaharieva, M.M.; Georgieva, A.; Dimitrova, L.; Dobreva, A.; Angelova, T.; Vilhelmova-Ilieva, N.; et al. Rose Flowers—A Delicate Perfume or a Natural Healer? Biomolecules 2021, 11, 127. [Google Scholar] [CrossRef] [PubMed]
- Wang, Y.; Zhao, Y.; Liu, X.; Li, J.; Zhang, J.; Liu, D. Chemical Constituents and Pharmacological Activities of Medicinal Plants from Rosa Genus. Chin. Herb. Med. 2022, 14, 187–209. [Google Scholar] [CrossRef] [PubMed]
- Dini, S.; Chen, Q.; Fatemi, F.; Asri, Y. Phytochemical and Biological Activities of Some Iranian Medicinal Plants. Pharm. Biol. 2022, 60, 664–689. [Google Scholar] [CrossRef]
- Li, B.-L.; Yuan, J.; Wu, J.-W. A Review on the Phytochemical and Pharmacological Properties of Rosa laevigata: A Medicinal and Edible Plant. Chem. Pharm. Bull. 2021, 69, 421–431. [Google Scholar] [CrossRef]
- Patel, S. Rose Hip as an Underutilized Functional Food: Evidence-Based Review. Trends Food Sci. Technol. 2017, 63, 29–38. [Google Scholar] [CrossRef]
- Jiménez, S.; Jiménez-Moreno, N.; Luquin, A.; Laguna, M.; Rodríguez-Yoldi, M.J.; Ancín-Azpilicueta, C. Chemical Composition of Rosehips from Different Rosa Species: An Alternative Source of Antioxidants for the Food Industry. Food Addit. Contam. Part A Chem. Anal. Control Expo. Risk Assess. 2017, 34, 1121–1130. [Google Scholar] [CrossRef] [PubMed]
- Tolekova, S.; Sharmanov, T.; Sinyavskiy, Y.; Berzhanova, R.; Mammadov, R.; Aksoy, O.K.; Yusifli, R. Antioxidant, Pharmacological, Medical Properties and Chemical Content of Rosa L. Extracts. Int. J. Second. Metab. 2020, 7, 200–212. [Google Scholar] [CrossRef]
- Quan, X.X.; Huang, Y.Y.; Chen, L.; Yuan, J.Q. Traditional Uses, Phytochemical, Pharmacology, Quality Control and Modern Applications of Two Important Chinese Medicines from Rosa Laevigata Michx.: A Review. Front. Pharmacol. 2022, 13, 1012265. [Google Scholar] [CrossRef]
- Saad, B.; Azaizeh, H.; Abu-Hijleh, G.; Said, O. Safety of Traditional Arab Herbal Medicine. Evid.-Based Complement. Altern. Med. 2006, 3, 433–439. [Google Scholar] [CrossRef]
- Ahmad, N.; Anwar, F.; Gilani, A.-u.-H. Rose Hip (Rosa Canina L.) Oils; Elsevier Inc.: Amsterdam, The Netherlands, 2015; ISBN 9780124166417. [Google Scholar]
- Demir, F.; Özcan, M. Chemical and Technological Properties of Rose (Rosa Canina L.) Fruits Grown Wild in Turkey. J. Food Eng. 2001, 47, 333–336. [Google Scholar] [CrossRef]
- Liaudanskas, M.; Noreikienė, I.; Zymonė, K.; Juodytė, R.; Žvikas, V.; Janulis, V. Composition and Antioxidant Activity of Phenolic Compounds in Fruit of the Genus Rosa L. Antioxidants 2021, 10, 545. [Google Scholar] [CrossRef] [PubMed]
- Kubczak, M.; Khassenova, A.B.; Skalski, B.; Michlewska, S.; Wielanek, M.; Aralbayeva, A.N.; Murzakhmetova, M.K.; Zamaraeva, M.; Skłodowska, M.; Bryszewska, M.; et al. Bioactive Compounds and Antiradical Activity of the Rosa canina L. Leaf and Twig Extracts. Agronomy 2020, 10, 1897. [Google Scholar] [CrossRef]
- Fetni, S.; Bertella, N.; Ouahab, A.; Martinez Zapater, J.M.; De Pascual-Teresa Fernandez, S. Composition and Biological Activity of the Algerian Plant Rosa canina L. by HPLC-UV-MS. Arab. J. Chem. 2020, 13, 1105–1119. [Google Scholar] [CrossRef]
- Sabitov, A.; Gaweł-Bęben, K.; Sakipova, Z.; Strzępek-Gomółka, M.; Hoian, U.; Satbayeva, E.; Głowniak, K.; Ludwiczuk, A. Rosa platyacantha Schrenk from Kazakhstan—Natural Source of Bioactive Compounds with Cosmetic Significance. Molecules 2021, 26, 2578. [Google Scholar] [CrossRef]
- Yang, S.H.; Wei, J.J.; Yan, F.; Jia, R.D.; Zhao, X.; Gan, Y.; Ge, H. Differences in Leaf Anatomy, Photosynthesis, and Photoprotective Strategies in the Yellow-Green Leaf Mutant and Wild Type of Rosa beggeriana Schrenk. Photosynthetica 2020, 58, 1167–1177. [Google Scholar] [CrossRef]
- Sun, Y.; Zhou, M.; Luo, L.; Pan, H.; Zhang, Q.; Yu, C. Metabolic Profiles, Bioactive Compounds and Antioxidant Activity of Rosehips from Xinjiang, China. LWT 2023, 174, 114451. [Google Scholar] [CrossRef]
- Javanmard, M.; Asadi-Gharneh, H.A.; Nikneshan, P. Fruit Characteristics of Wild Rose Hip (Rosa spp.) Genotypes from Isfahan Region of Iran. Acta Hortic. 2018, 1190, 189–194. [Google Scholar] [CrossRef]
- Vaezi, J.; Arjmandi, A.A.; Sharghi, H.R. Origin of Rosa x binaloudensis (Rosaceae), a New Natural Hybrid Species from Iran. Phytotaxa 2019, 411, 23–38. [Google Scholar] [CrossRef]
- Sitpayeva, G.T.; Kudabayeva, G.M.; Dimeyeva, L.A.; Gemejiyeva, N.G.; Vesselova, P.V. Crop Wild Relatives of Kazakhstani Tien Shan: Flora, Vegetation, Resources. Plant Divers. 2020, 42, 19–32. [Google Scholar] [CrossRef]
- Zarei, O.; Yaghoobi, M.M. Cytotoxic and Anti-Proliferative Effects of Rosa beggeriana Schrenk Extracts on Human Liver and Breast Cancer Cells. Avicenna J. Phytomed. 2019, 9, 386–395. [Google Scholar] [CrossRef]
- Susunaga, G.S.; Siani, A.C.; Pizzolatti, M.G.; Yunes, R.A.; Delle Monache, F. Triterpenes from the Resin of Protium Heptaphyllum. Fitoterapia 2001, 72, 709–711. [Google Scholar] [CrossRef]
- El-Seed, H.R. Antimicrobial Triterpenes from Poulsenia Armata Miq. Standl. Nat. Prod. Res. 2005, 19, 197–202. [Google Scholar] [CrossRef]
- Jiang, H.; Han, H.; Man, W.J.; Hou, A.J.; Guo, X.Y.; Xing, X.D.; Yan, M.L.; Yang, L.; Yang, L. Ursane-Type Triterpenoids from the Roots of Rosa multiflora with Their Anti-Inflammatory Activity. J. Asian Nat. Prod. Res. 2020, 22, 131–137. [Google Scholar] [CrossRef] [PubMed]
- Quradha, M.M.; Khan, R.; Adhikari, A.; Rauf, A.; Rashid, U.; Bawazeer, S.; Al-Awthan, Y.S.; Bahattab, O.; Mubarak, M.S. Isolation, Biological Evaluation, and Molecular Docking Studies of Compounds from Sophora mollis (Royle) Graham Ex Baker. ACS Omega 2021, 6, 15911–15919. [Google Scholar] [CrossRef] [PubMed]
- Yamashita, H.; Matsuzaki, M.; Kurokawa, Y.; Nakane, T.; Lee, K.H.; Shibata, T.; Bando, H.; Wada, K.; Gakuen, H.T.; Carolina, N.; et al. Four New Triterpenoids from the Bark of Euonymus alatus Forma Ciliato-Dentatus. Phytochem. Lett. 2019, 31, 140–146. [Google Scholar] [CrossRef]
- Cren-Olivé, C.; Wieruszeski, J.M.; Maes, E.; Rolando, C. Catechin and Epicatechin Deprotonation Followed by 13C NMR. Tetrahedron Lett. 2002, 43, 4545–4549. [Google Scholar] [CrossRef]
- Niaz, A.; Adnan, A.; Bashir, R.; Mumtaz, M.W.; Raza, S.A.; Rashid, U.; Tan, C.P.; Tan, T.B. The In Vitro α-Glucosidase Inhibition Activity of Various Solvent Fractions of Tamarix dioica and 1H-NMR Based Metabolite Identification and Molecular Docking Analysis. Plants 2021, 10, 1128. [Google Scholar] [CrossRef]
- Mrabti, H.N.; Jaradat, N.; Fichtali, I.; Ouedrhiri, W.; Jodeh, S.; Ayesh, S.; Cherrah, Y.; Faouzi, M.E.A. Separation, Identification, and Antidiabetic Activity of Catechin Isolated from Arbutus unedo L. Plant Roots. Plants 2018, 7, 31. [Google Scholar] [CrossRef]
- Yang, S.-C.; Fang, J.-M.; Cheng, Y.-S. Chemical Constituents from the Root and Aerial Parts of Rosa taiwanensis. J. Chin. Chem. Soc. 1995, 42, 573–577. [Google Scholar] [CrossRef]
- Pateh, U.U.; Haruna, A.K.; Garba, M.; Iliya, I.; Sule, I.M.; Abubakar, M.S.; Ambi, A.A. Isolation of Stigmasterol, β-Sitosterol and 2-Hydroxyhexadecanoic Acid Methyl Ester from the Rhizomes of Stylochiton lancifolius, Pyer & Kotchy (Araceae). Niger. J. Pharm. Sci. 2009, 8, 19–25. [Google Scholar]
- Kamboj, A.; Saluja, A.K. Isolation of Stigmasterol and β-Sitosterol from Petroleum Ether Extract of Aerial Parts of Ageratum Conyzoides (Asteraceae). Int. J. Pharm. Pharm. Sci. 2011, 3, 94–96. [Google Scholar]
- Jamal, A.K.; Yaacob, W.A.; Din, L.B. A Chemical Study on Phyllanthus Reticulatus. J. Phys. Sci. 2008, 19, 45–50. [Google Scholar]
- Mohamed, S.M.; Ross, S.A.; Mohamed, N.M. Exploration of Components Contributing to Potent Cytotoxicity of Gardenia Thunbergia L. F. against Human Leukemia and Hepatoma. Bull. Pharm. Sci. 2022, 45, 153–162. [Google Scholar] [CrossRef]
- Huh, S.; Kim, Y.S.; Jung, E.; Lim, J.; Jung, K.S.; Kim, M.O.; Lee, J.; Park, D. Melanogenesis Inhibitory Effect of Fatty Acid Alkyl Esters Isolated from Oxalis Triangularis. Biol. Pharm. Bull. 2010, 33, 1242–1245. [Google Scholar] [CrossRef] [PubMed]
- Li, C.; Luo, Y.; Zhang, W.; Cai, Q.; Wu, X.; Tan, Z.; Chen, R.; Chen, Z.; Wang, S.; Zhang, L. A Comparative Study on Chemical Compositions and Biological Activities of Four Essential Oils: Cymbopogon citratus (DC.) Stapf, Cinnamomum cassia (L.) Presl, Salvia japonica Thunb. and Rosa rugosa Thunb. J. Ethnopharmacol. 2021, 280, 114472. [Google Scholar] [CrossRef] [PubMed]
- Dobreva, A.; Nedeltcheva-Antonova, D.; Nenov, N.; Getchovska, K.; Antonov, L. Subcritical Extracts from Major Species of Oil-Bearing Roses—A Comparative Chemical Profiling. Molecules 2021, 26, 4991. [Google Scholar] [CrossRef]
- Savych, A.; Basaraba, R.; Muzyka, N.; Ilashchuk, P. Analysis of Fatty Acid Composition Content in the Plant Components of Antidiabetic Herbal Mixture by GC-MS. Pharmacia 2021, 68, 433–439. [Google Scholar] [CrossRef]
- Öz, M.; Deniz, I.; Okan, O.T.; Baltaci, C.; Karatas, S.M. Determination of the Chemical Composition, Antioxidant and Antimicrobial Activities of Different Parts of Rosa canina L. and Rosa pimpinellifolia L. Essential Oils. J. Essent. Oil-Bear. Plants 2021, 24, 519–537. [Google Scholar] [CrossRef]
- Ji, Y.; Xia, X.; Xu, X.; Zhu, N. Three New Triterpenoids with Their Bioactives from the Roots of Rosa cymosa. Nat. Prod. Res. 2020, 34, 2931–2937. [Google Scholar] [CrossRef]
- Yeo, H.; Park, S.Y.; Kim, J. A-Ring Contracted Triterpenoid from Rosa multiflora. Phytochemistry 1998, 48, 1399–1401. [Google Scholar] [CrossRef]
- Lee, M.K.; Kim, S.H.; Yang, H.; Lim, D.Y.; Ryu, J.H.; Lee, E.S.; Jew, S.S.; Park, H.G.; Sung, S.H.; Kim, Y.C. Asiatic Acid Derivatives Protect Primary Cultures of Rat Hepatocytes against Carbon Tetrachloride-Induced Injury via the Cellular Antioxidant System. Nat. Prod. Commun. 2009, 4, 765–768. [Google Scholar] [CrossRef]
- Khwaza, V.; Mlala, S.; Oyedeji, O.O.; Aderibigbe, B.A. Pentacyclic Triterpenoids with Nitrogen-Containing Heterocyclic Moiety, Privileged Hybrids in Anticancer Drug Discovery. Molecules 2021, 26, 2401. [Google Scholar] [CrossRef] [PubMed]
- Ozkan, G.; Capanoglu, E.; Esatbeyoglu, T. Formulation of Functional Drink with Milk Fortification: Effects on the Bioaccessibility and Intestinal Absorption of Phenolics. Plants 2022, 11, 3364. [Google Scholar] [CrossRef] [PubMed]
- Sabahi, Z.; Hasan, S.M.F.; Ayatollahi, S.A.; Farmani, F.; Afsari, A.; Moein, M. Improvement of Phenolic Compound Extraction by Using Ion Exchange Chromatography and Evaluation of Biological Activities of Polyphenol-Enriched Fraction of Rosa Canina Fruits. Iran. J. Pharm. Res. 2022, 21, 12–14. [Google Scholar] [CrossRef] [PubMed]
- Dashbaldan, S.; Pączkowski, C.; Szakiel, A. Variations in Triterpenoid Deposition in Cuticular Waxes during Development and Maturation of Selected Fruits of Rosaceae Family. Int. J. Mol. Sci. 2020, 21, 9762. [Google Scholar] [CrossRef]
- Tuli, H.S.; Sak, K.; Gupta, D.S.; Kaur, G.; Aggarwal, D.; Parashar, N.C.; Choudhary, R.; Yerer, M.B.; Kaur, J.; Kumar, M.; et al. Anti-Inflammatory and Anticancer Properties of Birch Bark-Derived Betulin: Recent Developments. Plants 2021, 10, 2663. [Google Scholar] [CrossRef]
- Mihalcea, L.; Păcularu-Burada, B.; Milea, Ș.-A.; Aprodu, I.; Condurache (Lazăr), N.-N.; Cucolea, E.I.; Dănilă, G.-M.; Cîrciumaru, A.; Nicoleta, S. CO2 Supercritical Extraction and Microencapsulation of Oleoresins from Rosehip Fruits for Getting Powders with Multiple Applications. Curr. Res. Food Sci. 2023, 6, 100449. [Google Scholar] [CrossRef]
- Wang, J.; Wang, P.; Xu, M.; Chen, Y.; Feng, L. Systematic Identification and Analysis of OSC Gene Family of Rosa rugosa Thunb. Int. J. Mol. Sci. 2022, 23, 13884. [Google Scholar] [CrossRef]



| RT | Compound Name | Match Factor | Area, % |
|---|---|---|---|
| L-2-1—Hexane fraction | |||
| 40.944 | Octadeca-9,12,15-trienoic acid | 95.8 | 5.38 |
| L-2-11—n-hexane/ethyl acetate fraction (6/4) | |||
| 28.259 | Methyl dodecanoate | 98.0 | 0.95 |
| 32.897 | Methyl tetradecanoate | 97.5 | 2.61 |
| 37.087 | Methyl hexadecanoate | 98.6 | 14.45 |
| 39.021 | Methyl heptadecanoate | 95.0 | 0.47 |
| 40.244 | Methyl octadeca-9,12-dienoate | 99.2 | 13.16 |
| 40.335 | Methyl octadeca-9,12,15-trienoate | 99.3 | 32.94 |
| 40,387 | Methyl trans-9-octadecenoate | 91.9 | 5.86 |
| 40.483 | Methyl (9Z)-9-octadecenoate | 96.5 | 3.06 |
| 40.878 | Methyl octadecanoate | 98.6 | 6.37 |
| 44.340 | Methyl icosanoate | 96.2 | 1.92 |
| 47.540 | Methyl docosanoate | 95.1 | 2.16 |
| 51.111 | Methyl tetracosanoate | 95.3 | 1.45 |
| 55.902 | Methyl Hexacosanoate | 90.3 | 1.67 |
| CH-21—dichloromethane/ethyl acetate fraction (7/3) | |||
| 37.078 | Methyl hexadecanoate | 90.4 | 5.04 |
| CH-39—dichloromethane/ethyl acetate fraction (6/4) | |||
| 14.411 | 2-Ethylhexan-1-ol | 96.4 | 1.85 |
| 32.897 | Methyl tetradecanoate | 96.3 | 4.83 |
| 37.078 | Methyl hexadecanoate | 93.1 | 2.00 |
| 40.225 | Methyl octadeca-9,12-dienoate | 96.3 | 3.76 |
| 40.297 | Methyl octadeca-9,12,15-trienoate | 97.6 | 9.75 |
| 28.259 | Methyl dodecanoate | 96.6 | 0.58 |
| 35.521 | 6,10,14-Trimethylpentadecan-2-one | 96.3 | 0.58 |
| 35.649 | 7,11,15-Trimethyl-3-methylidenehexadec-1-ene | 92.9 | 0.33 |
| 36.125 | (2E,7R,11R)-3,7,11,15-Tetramethylhexadec-2-en-1-yl acetate | 92.3 | 0.53 |
| 36.502 | 3,7,11,15-Tetramethyl-2-hexadecen-1-ol | 93.2 | 2.10 |
| 37.078 | Methyl hexadecanoate | 98.4 | 12.43 |
| 40.302 | Methyl octadeca-9,12,15-trienoate | 99.2 | 4.85 |
| 40.874 | Methyl octadecanoate | 96.8 | 13.58 |
| 41.440 | Ethyl (9Z,12Z)-octadeca-9,12-dienoate | 94.6 | 14.49 |
| 44.340 | Methyl icosanoate | 90.1 | 10.66 |
| L-2-27—ethyl acetate/methanol fraction (8/2) | |||
| 37.697 | Hexadecanoic acid | 94.1 | 6.28 |
| 40.926 | Octadeca-9,12,15-trienoic acid | 93.1 | 7.28 |
| RT | Compound Name | Match Factor | Area, % |
|---|---|---|---|
| B—Ethanol extract | |||
| 26.198 | Trimethyl 2-hydroxybutane-1,2,3-tricarboxylate | 91.7 | 13.47 |
| 39.397 | Ethyl hexadecanoate | 92.4 | 5.25 |
| 42.430 | Ethyl (9E,12E)-octadeca-9,12-dienoate | 92.5 | 6.71 |
| 42.506 | Ethyl (9E,12E,15E)-octadeca-9,12,15-trienoate | 90.0 | 6.55 |
| 39.397 | Ethyl hexadecanoate | 92.7 | 4.97 |
| 42.430 | Ethyl (9E,12E)-octadeca-9,12-dienoate | 92.6 | 6.47 |
| 42.506 | Ethyl (9E,12E,15E)-octadeca-9,12,15-trienoate | 91.6 | 6.29 |
| 42.430 | Ethyl (9Z,12Z,15Z)-octadeca-9,12,15-trienoate | 91.2 | 3.55 |
| 38.068 | Methyl hexadecanoate | 96.6 | 4.32 |
| 38.959 | Ethyl 9-hexadecenoate | 92.1 | 0.83 |
| 41.216 | Methyl octadeca-9,12-dienoate | 99.0 | 11.16 |
| 41.292 | Methyl octadeca-9,12,15-trienoate | 98.0 | 8.22 |
| 41.364 | Methyl (9Z)-9-octadecenoate | 93.5 | 4.57 |
| 41.864 | Methyl octadecanoate | 90.8 | 1.53 |
| 42.435 | Ethyl (9Z,12Z,15Z)-octadeca-9,12,15-trienoate | 97.9 | 15.56 |
| 42.516 | Ethyl (9E,12E,15E)-octadeca-9,12,15-trienoate | 98.3 | 11.37 |
| 42.573 | Ethyl (E)-octadec-9-enoate | 93.2 | 6.22 |
| 43.059 | Ethyl octadecanoate | 93.8 | 1.50 |
| 42.425 | Ethyl (9Z,12Z)-octadeca-9,12-dienoate | 90.6 | 4.82 |
| 42.430 | Ethyl (9Z,12Z,15Z)-octadeca-9,12,15-trienoate | 92.8 | 3.09 |
| 48.811 | 14-(5-Ethyl-6-methylheptan-2-yl)-2,15-dimethyltetracyclo [8.7.0.0^{2,7}.0^{11,15}]heptadec-7-en-5-ol | 93.9 | 30.29 |
| 56.445 | Nonacosane | 92.1 | 13.69 |
| B-M1-16—ethyl acetate/methanol fraction (1/1) | |||
| 37.621 | Methyl (Z)-pentadec-8-enoate | 96.1 | 0.85 |
| 38.073 | Methyl hexadecanoate | 98.5 | 4.23 |
| 38.968 | Ethyl 9-hexadecenoate | 97.9 | 1.81 |
| 39.402 | Ethyl hexadecanoate | 98.7 | 7.97 |
| 41.221 | Methyl octadeca-9,12-dienoate | 99.2 | 5.82 |
| 41.297 | Methyl octadeca-9,12,15-trienoate | 98.8 | 7.00 |
| 41.373 | Methyl (9Z)-9-octadecenoate | 93.0 | 2.84 |
| 41.873 | Methyl octadecanoate | 92.2 | 0.53 |
| 42.449 | Ethyl (9Z,12Z,15Z)-octadeca-9,12,15-trienoate | 98.4 | 27.71 |
| 42.530 | Ethyl (9E,12E,15E)-octadeca-9,12,15-trienoate | 98.8 | 28.61 |
| 43.068 | Ethyl octadecanoate | 93.2 | 0.80 |
| 60.378 | (2R)-2,7,8-Trimethyl-2-[(4R,8R)-4,8,12-trimethyltridecyl]-3,4-dihydro-2H-1-benzopyran-6-ol | 91.4 | 1.66 |
| B-M2-18—ethyl acetate/methanol fraction (3/7) | |||
| 32.478 | Methyl dodecanoate | 96.9 | 0.61 |
| 36.706 | Tetradecanoic acid | 99.6 | 3.22 |
| 38.321 | (9Z)-Hexadec-9-enoic acid | 97.9 | 3.81 |
| 38.854 | Hexadecanoic acid | 98.1 | 29.50 |
| 42.002 | (9Z,12Z)-Octadeca-9,12-dienoic acid | 97.7 | 27.43 |
| 42.135 | (E)-Octadec-9-enoic acid | 97.4 | 23.95 |
| 42.492 | (E)-Octadec-2-enoic acid | 96.6 | 3.19 |
| 26-A—ethyl acetate/methanol fraction (2/8) | |||
| 40.549 | Hexadecanoic acid | 95.8 | 8.32 |
| 40.549 | Hexadecanoic acid | 98.6 | 29.85 |
| 43.535 | (9Z,12Z,15Z)-Octadeca-9,12,15-trienoic acid | 91.1 | 3.47 |
| 62.859 | (8S,9S,10R,13R,14S,17R)-17-[(2R,5R)-5-Ethyl-6-methylheptan-2-yl]-10,13-dimethyl-2,7,8,9,11,12,14,15,16,17-decahydro-1H-cyclopenta[a]phenanthrene | 90.0 | 6.04 |
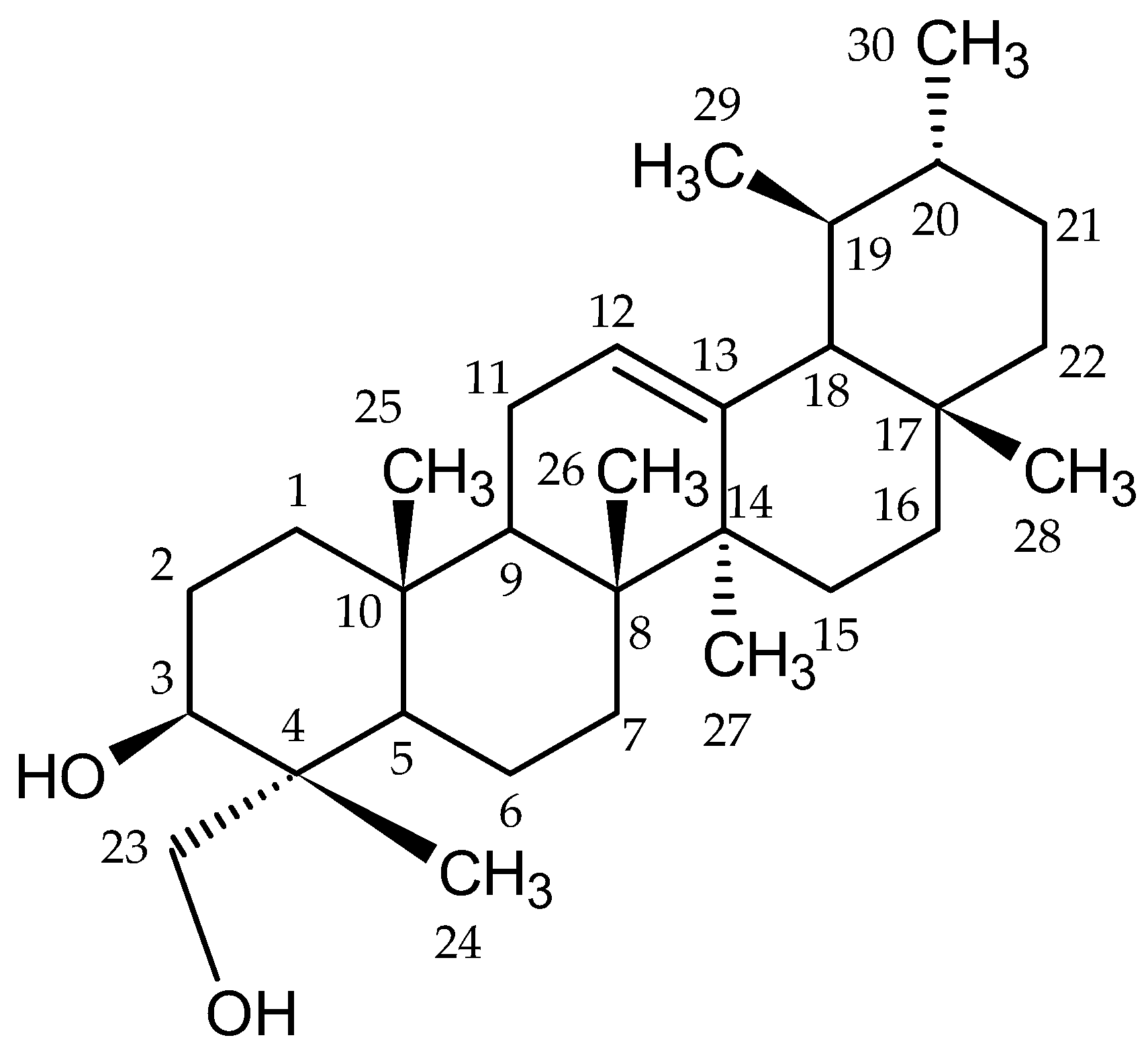
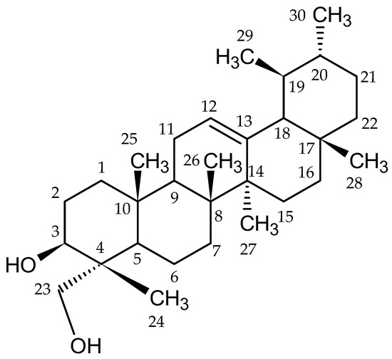
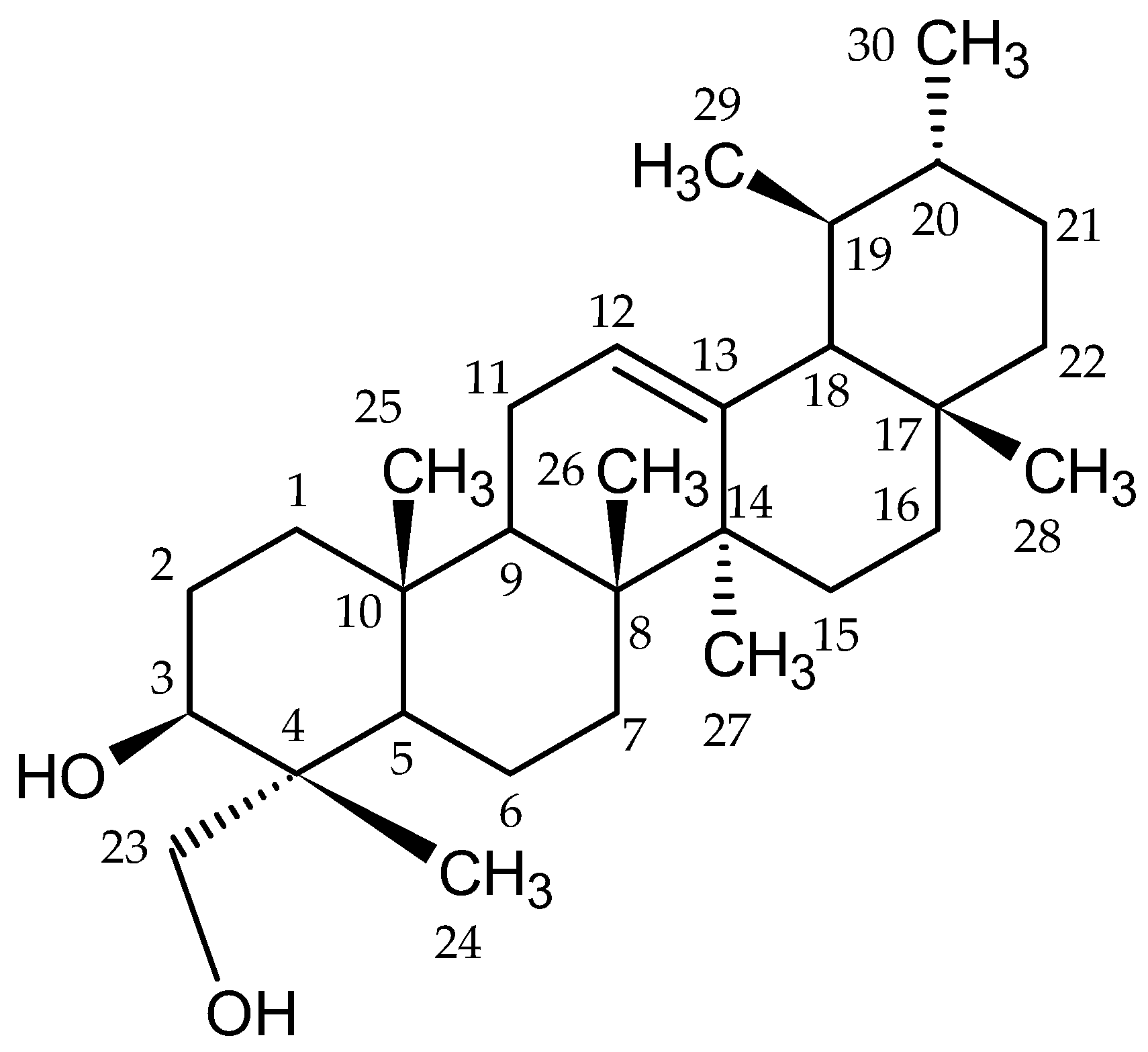
| No. | 13C NMR Compound 1 | Ref. 13C NMR (3β,24-Dihydroxyurs-12-ene) [35] | Ref. 13C NMR (3β,28-Dihydroxyurs-12-ene) [36] | 1H NMR Compound 1 | Ref. 1H NMR (3β,24-Dihydroxyurs-12-ene) [35] | Ref. 1H NMR (3β,28-Dihydroxyurs-12-ene) [36] |
|---|---|---|---|---|---|---|
| 1 | 38.3 | 38.5 | 38.78 | - | ||
| 2 | 27.3 | 27.2 | 26.63 | - | ||
| 3 | 79.0 | 80.9 | 78.44 | 3.32, m | 3.45 dd, 11.5/4.4 Hz | 3.17 |
| 4 | 42.0 | 42.0 | 38.60 | - | - | - |
| 5 | 55.2 | 55.8 | 55.15 | - | ||
| 6 | 18.4 | 18.6 | 18.20 | - | ||
| 7 | 32.9 | 33.1 | 32.72 | - | ||
| 8 | 40.0 | 40.0 | 39.86 | - | - | - |
| 9 | 47.7 | 47.7 | 47.56 | - | ||
| 10 | 36.9 | 36.6 | 36.75 | - | - | - |
| 11 | 23.4 | 23.6 | 23.22 | - | ||
| 12 | 124.4 | 124.2 | 124.96 | 5.26, m | 5.12 br t, 3.6 Hz | 5.1 |
| 13 | 139.5 | 139.6 | 138.67 | - | - | - |
| 14 | 42.7 | 42.7 | 42.32 | - | - | - |
| 15 | 28.1 | 28.0 | 26.24 | - | ||
| 16 | 26.6 | 26.6 | 23.70 | - | ||
| 17 | 33.7 | 33.7 | 37.79 | - | - | - |
| 18 | 59.1 | 59.0 | 54.07 | - | - | - |
| 19 | 39.6 | 39.5 | 39.62 | - | ||
| 20 | 39.7 | 39.6 | 39.33 | - | ||
| 21 | 31.2 | 31.2 | 30.80 | - | ||
| 22 | 41.5 | 41.5 | 35.15 | - | ||
| 23 | 63.0 | 22.4 | 27.89 | 3.72, m | 1.25 | 0.80 |
| 24 | 15.6 | 64.5 | 16.44 | 1.33, s | 4.23/3.34 d,11.0 Hz | 0.93 |
| 25 | 15.7 | 16.2 | 15.51 | 1.06, s | 0.90 | 0.92 |
| 26 | 16.9 | 16.7 | 16.44 | 1.10, s | 0.97 | 0.92 |
| 27 | 23.3 | 23.3 | 23.70 | 1.16, s | 1.06 | 1.09 |
| 28 | 28.8 | 28.7 | 69.20 | 0.89, s | 0.79 | 3.52 |
| 29 | 17.5 | 17.5 | 17.23 | 0.88, s | 0.78 | 0.81 |
| 30 | 21.4 | 21.4 | 21.20 | 0.89, s | 0.91 | 1.00 |
| No. | 13C NMR | Ref. 13C NMR | 1H NMR |
|---|---|---|---|
| 2 | 82.9 | 83.0 | 4.59 (d, J = 7.44 Hz) |
| 3 | 68.9 | 68.9 | 4.00 (q, J = 8.2 Hz) |
| 4 | 28.6 | 28.6 | 2.88 (dd, J = 16.12, 5.36 Hz) 2.52 (dd, J = 16.08, 8.08 Hz) |
| 5 | 157.6 | 157.7 | |
| 6 | 96.5 | 96.4 | 5.89 (d, J = 2.3 Hz) |
| 7 | 157.9 | 157.9 | |
| 8 | 95.7 | 95.6 | 5.96 (d, J = 2.3 Hz) |
| 9 | 157.0 | 157.0 | |
| 10 | 101.0 | 100.9 | |
| 1′ | 132.3 | 132.3 | |
| 2′ | 115.4 | 115.4 | 6.86 (d, J = 1.96 Hz) |
| 3′ | 146.3 | 146.4 | |
| 4′ | 146.3 | 146.3 | |
| 5′ | 116.3 | 116.2 | 6.78 (d, J = 8.16 Hz) |
| 6′ | 120.2 | 120.2 | 6.74 (dd, J = 8.16, 2.0 Hz) |
Disclaimer/Publisher’s Note: The statements, opinions and data contained in all publications are solely those of the individual author(s) and contributor(s) and not of MDPI and/or the editor(s). MDPI and/or the editor(s) disclaim responsibility for any injury to people or property resulting from any ideas, methods, instructions or products referred to in the content. |
© 2023 by the authors. Licensee MDPI, Basel, Switzerland. This article is an open access article distributed under the terms and conditions of the Creative Commons Attribution (CC BY) license (https://creativecommons.org/licenses/by/4.0/).
Share and Cite
Aituarova, A.; Zhusupova, G.E.; Zhussupova, A.; Ross, S.A. Study of the Chemical Composition of Rosa beggeriana Schrenk’s Fruits and Leaves. Plants 2023, 12, 3297. https://doi.org/10.3390/plants12183297
Aituarova A, Zhusupova GE, Zhussupova A, Ross SA. Study of the Chemical Composition of Rosa beggeriana Schrenk’s Fruits and Leaves. Plants. 2023; 12(18):3297. https://doi.org/10.3390/plants12183297
Chicago/Turabian StyleAituarova, Aigerim, Galiya E. Zhusupova, Aizhan Zhussupova, and Samir A. Ross. 2023. "Study of the Chemical Composition of Rosa beggeriana Schrenk’s Fruits and Leaves" Plants 12, no. 18: 3297. https://doi.org/10.3390/plants12183297
APA StyleAituarova, A., Zhusupova, G. E., Zhussupova, A., & Ross, S. A. (2023). Study of the Chemical Composition of Rosa beggeriana Schrenk’s Fruits and Leaves. Plants, 12(18), 3297. https://doi.org/10.3390/plants12183297

