Combining Multiple Plant Attributes to Reveal Differences in Community Structure in Two Distant Deserts in Central Asia
Abstract
:1. Introduction
2. Results
2.1. Differences in Plant Species and Functional Groups
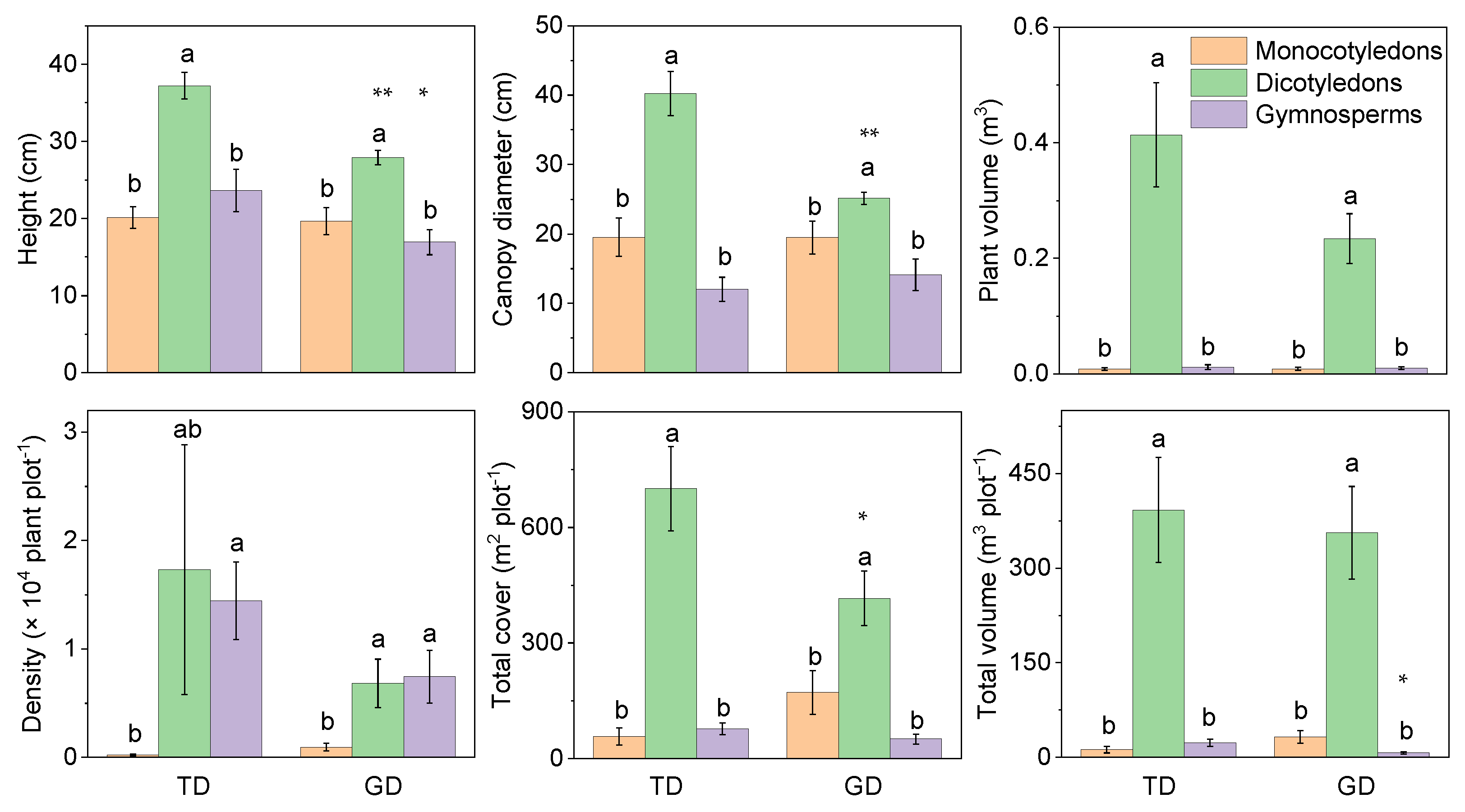
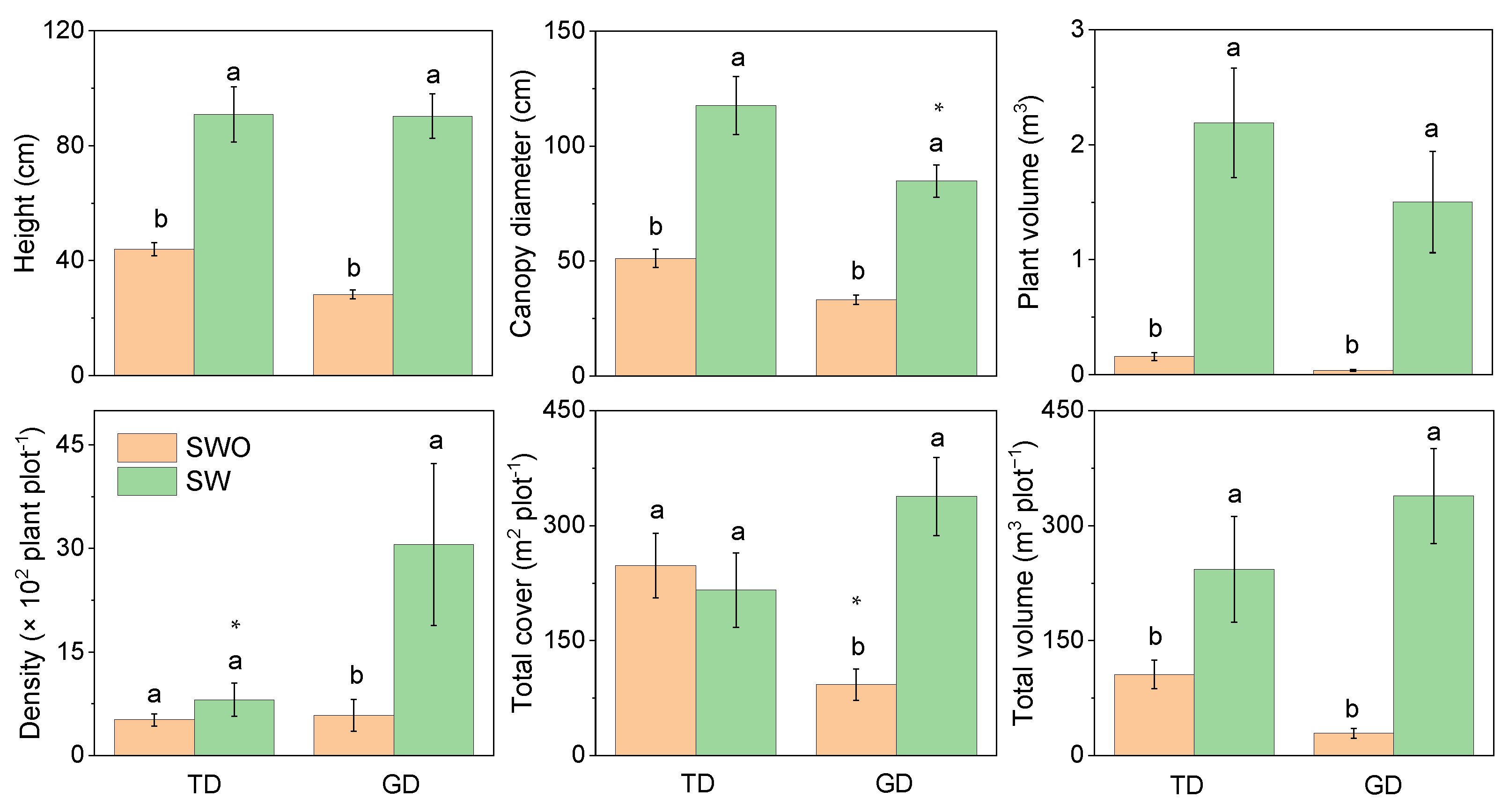
2.2. Plant Attributes of Different Functional Groups
2.3. Similarity of Species Composition and Plant Attributes for Different Functional Groups
2.4. Relationships between Plant Attributes and Environmental Factors
2.5. Influencing Factors of Plant Community Structure Based on Different Plant Attribute Matrices
3. Materials and Methods
3.1. Study Area
3.2. Vegetation Sampling
3.3. Species and Functional Group Composition
3.4. Plant Attributes
3.5. Similarity of Species and Plant Attributes
3.6. Environmental Factors
3.7. Statistics
4. Discussion
4.1. Differences in Plant Species, Attributes, and Community Structure in Desert Areas
4.2. Factors Influencing Plant Community Structure in Desert Areas
5. Conclusions
Supplementary Materials
Author Contributions
Funding
Data Availability Statement
Acknowledgments
Conflicts of Interest
References
- Naeem, E.B.S.; Bunker, D.E.; Hector, A.; Perrings, C. Biodiversity, Ecosystem Functioning, and Human Well-Being: An Ecological and Economic Perspective; Oxford University Press: Oxford, UK, 2009. [Google Scholar]
- Le Provost, G.; Schenk, N.V.; Penone, C.; Thiele, J.; Westphal, C.; Allan, E.; Ayasse, M.; Bluthgen, N.; Boeddinghaus, R.S.; Boesing, A.L.; et al. The supply of multiple ecosystem services requires biodiversity across spatial scales. Nat. Ecol. Evol. 2022, 7, 236–249. [Google Scholar] [CrossRef] [PubMed]
- Zhang, Y.M.; Tariq, A.; Hughes, A.C.; Hong, D.Y.; Wei, F.W.; Sun, H.; Sardans, J.; Penuelas, J.; Perry, G.; Qiao, J.F.; et al. Challenges and solutions to biodiversity conservation in arid lands. Sci. Total Environ. 2023, 857, 159695. [Google Scholar] [CrossRef] [PubMed]
- Chen, X. Physical Geography of Arid Land in China; Science Press: Beijing, China, 2010. (In Chinese) [Google Scholar]
- Proches, S.; Wilson, J.R.U.; Vamosi, J.C.; Richardson, D.M. Plant diversity in the human diet: Weak phylogenetic signal indicates breadth. Bioscience. 2008, 58, 151–159. [Google Scholar]
- Cantwell-Jones, A.; Ball, J.; Collar, D.; Diazgranados, M.; Douglas, R.; Forest, F.; Hawkins, J.; Howes, M.J.R.; Ulian, T.; Vaitla, B.; et al. Global plant diversity as a reservoir of micronutrients for humanity. Nat. Plants. 2022, 8, 225–232. [Google Scholar] [CrossRef] [PubMed]
- Yuan, Y.; Bao, A.M.; Liu, T.; Zheng, G.X.; Jiang, L.L.; Guo, H.; Jiang, P.; Yu, T.; De Maeyer, P. Assessing vegetation stability to climate variability in Central Asia. J. Environ. Manag. 2021, 298, 113330. [Google Scholar] [CrossRef]
- Du, Z.Y.; An, H.; Wen, Z.L.; Wang, B.; Zhang, X.W. Response of plant community structure and its stability to water and nitrogen addition in desert grassland. Acta Ecol. Sin. 2021, 41, 2359–2371, (In Chinese with English Abstract). [Google Scholar]
- Egamberdieva, D.; Öztürk, M. (Eds.) Vegetation of Central Asia and Environs; Springer Nature: Basel, Switzerland, 2018. [Google Scholar]
- Schneider, D.C. Quantitative Ecology: Measurement, Models and Scaling, 2nd ed.; Academic Press: Cambridge, MA, USA, 2009. [Google Scholar]
- Singh, R.; Raj, M.K. Climate Change on Plant Community Structure and Ecosystem Function. Clim. Chang. Microbiome Sustenance Ecosphere 2021, 63, 321–334. [Google Scholar]
- Ramsey, P.W.; Rillig, M.C.; Feris, K.P.; Gordon, N.S.; Moore, J.N.; Holben, W.E.; Gannon, J.E. Relationship between communities and processes; new insights from a field study of a contaminated ecosystem. Ecol. Lett. 2005, 8, 1201–1210. [Google Scholar] [CrossRef]
- Schowalter, T.D. Insect Ecology, 2nd ed.; Academic Press: London, UK, 2006. [Google Scholar]
- Francioli, D.; van Rijssel, S.Q.; van Ruijven, J.; Termorshuizen, A.J.; Cotton, T.E.A.; Dumbrell, A.J.; Raaijmakers, J.M.; Weigelt, A.; Mommer, L. Plant functional group drives the community structure of saprophytic fungi in a grassland biodiversity experiment. Plant Soil. 2021, 461, 91–105. [Google Scholar] [CrossRef]
- Jiang, L.; Hu, J.; Yang, Z.A.; Zhan, W.; Zhao, C.; Zhu, D.; He, Y.; Chen, H.; Peng, C. Effects of plant functional group removal on community structure, diversity and production in Alpine meadow. Acta Ecol. Sin. 2021, 41, 1402–1411, (In Chinese with English Abstract). [Google Scholar]
- Niklas, K.J.; Cobb, E.D.; Marler, T. A comparison between the record height-to-stem diameter allometries of Pachycaulis and Leptocaulis species. Ann. Bot. 2006, 97, 79–83. [Google Scholar] [CrossRef] [PubMed]
- Petchey, O.L.; Belgrano, A. Body-size distributions and size-spectra: Universal indicators of ecological status? Biol. Lett. 2010, 6, 434–437. [Google Scholar] [CrossRef]
- Tracey, A.J.; Stephens, K.A.; Schamp, B.S.; Aarssen, L.W. What does body size mean, from the “plant’s eye view”? Ecol. Evol. 2016, 6, 7344–7351. [Google Scholar] [CrossRef] [PubMed]
- Niklas, K.J.; Hammond, S.T. Biophysical effects on the scaling of plant growth, form, and ecology. Integr. Comp. Biol. 2019, 59, 1312–1323. [Google Scholar] [CrossRef]
- Liu, F.S.; Song, Q.F.; Zhao, J.K.; Mao, L.X.; Bu, H.Y.; Hu, Y.; Zhu, X.G. Canopy occupation volume as an indicator of canopy photosynthetic capacity. New Phytol. 2021, 232, 941–956. [Google Scholar] [CrossRef] [PubMed]
- Sandra, B.; Andrew, J.R.G.; Ariel, E.L. Biomass estimation methods for tropical forests with applications to forest inventory data. For. Sci. 1989, 35, 881–902. [Google Scholar]
- Lioubimtseva, E.; Henebry, G.M. Climate and environmental change in arid Central Asia: Impacts, vulnerability, and adaptations. J. Arid. Environ. 2009, 73, 963–977. [Google Scholar] [CrossRef]
- Davi, N.K.; D’Arrigo, R.; Jacoby, G.C.; Cook, E.R.; Anchukaitis, K.J.; Nachin, B.; Rao, M.P.; Leland, C. A long-term context (931–2005 CE) for rapid warming over Central Asia. Quat. Sci. Rev. 2015, 121, 89–97. [Google Scholar] [CrossRef]
- Li, Z.; Chen, Y.N.; Li, W.H.; Deng, H.J.; Fang, G.H. Potential impacts of climate change on vegetation dynamics in Central Asia. J. Geophys. Res. Atmos. 2015, 120, 12345–12356. [Google Scholar] [CrossRef]
- Jiang, L.L.; Jiapaer, G.; Bao, A.M.; Guo, H.; Ndayisaba, F. Vegetation dynamics and responses to climate change and human activities in Central Asia. Sci. Total Environ. 2017, 599, 967–980. [Google Scholar] [CrossRef]
- Cui, B.S.; He, Q.; An, Y. Community Structure and Abiotic Determinants of Salt Marsh Plant Zonation Vary Across Topographic Gradients. Estuaries Coasts. 2011, 34, 459–469. [Google Scholar] [CrossRef]
- Fenu, G.; Cogoni, D.; Ferrara, C.; Pinna, M.S.; Bacchetta, G. Relationships between coastal sand dune properties and plant community distribution: The case of Is Arenas (Sardinia). Plant Biosyst.-Int. J. Deal. All Asp. Plant Biol. 2012, 146, 586–602. [Google Scholar] [CrossRef]
- Rayson, P. Dark Island heath (Ninety-mile Plain, South Australia). II. The effects of microtopography on climate, soils, and vegetation. Aust. J. Bot. 1957, 5, 86–102. [Google Scholar] [CrossRef]
- Qian, Y.B.; Wili, Z.N.; Zhao, R.F.; Zhang, L.Y. Vegetation patterns and species-environment relationships in the Gurbantunggut Desert of China. J. Geogr. Sci. 2008, 18, 400–414. [Google Scholar] [CrossRef]
- Qian, Y.B.; Wu, Z.N.; Zhang, L.Y.; Shi, Q.D.; Jiang, J.; Tang, L.S. Impact of habitat heterogeneity on plant community pattern in Gurbantunggut Desert. J. Geogr. Sci. 2004, 14, 447–455. [Google Scholar]
- Cowan, P.J. Geographic usage of the terms middle Asia and Central Asia. J. Arid. Environ. 2007, 69, 359–363. [Google Scholar] [CrossRef]
- Kurochkina, L.Y. Successional series in dynamics of psammophytic vegetation in the Taukum Desert (Kazakhstan). J. Bot. URSS. 2018, 103, 440–455. [Google Scholar]
- Issanova, G.; Abuduwaili, J. Natural Conditions of Central Asia and Land-Cover Changes. In Aeolian Processes as Dust Storms in the Deserts of Central Asia and Kazakhstan. Environmental Science and Engineering; Springer: Singapore, 2017. [Google Scholar]
- Zhang, Y.M.; Chen, J.; Wang, L.; Wang, X.Q.; Gu, Z.H. The spatial distribution patterns of biological soil crusts in the Gurbantunggut Desert, Northern Xinjiang, China. J. Arid Land. 2007, 68, 599–610. [Google Scholar] [CrossRef]
- ECCAS (Editor Committee of the Chinese Academy of Sciences for Flora of China). Flora of China; Science Press: Beijing, China, 1979. (In Chinese) [Google Scholar]
- Pavlov, N.V. Flora Kazakhstana 1–9; A Kazakhsk SSR Press: Alma-Ata, Kazakhstan, 1956. (In Russion) [Google Scholar]
- CRFX (Commissione Redactorum Florae Xinjiangensis). Flora Xinjiangensis; Xinjiang Science, Technology and Health Press (K): Urumqi, China, 1993. (In Chinese) [Google Scholar]
- Búrquez, A.; Martínez-Yrízar, A.; Núñez, S. Aboveground biomass in three Sonoran Desert communities: Variability within and among sites using replicated plot harvesting. J. Arid. Environ. 2010, 74, 1240–1247. [Google Scholar] [CrossRef]
- Mueller-Dombois, D.; Ellenberg, H. Aims and Methods of Vegetation Ecology; Wiley: New York, NY, USA, 1974. [Google Scholar]
- Mizrahi, A.; Prado, J.M.R.; JimenezOsornio, J. Composition, structure, and management potential of secondary dry tropical vegetation in two abandoned henequen plantations of Yucatan, Mexico. For. Ecol. Manag. 1997, 96, 273–282. [Google Scholar] [CrossRef]
- Loo, L.C.; Song, G.Z.M.; Chao, K.J. Characteristics of tropical human-modified forests after 20 years of natural regeneration. Bot. Stud. 2017, 58, 36. [Google Scholar] [CrossRef] [PubMed]
- Bao, S.D. Agriculture Soil Chemical Analysis, 3rd ed.; China Agricultural Press: Beijing, China, 2000. (In Chinese) [Google Scholar]
- McCune, B.; Mefford, M.J. PC-ORD. Multivariate Analysis of Ecological Data, Version 6; MjM Software: Gleneden Beach, OR, USA, 2011.
- Rolhauser, A.G.; Waller, D.M.; Tucker, C.M. Complex trait-environment relationships underlie the structure of forest plant communities. J. Ecol. 2021, 109, 3794–3806. [Google Scholar] [CrossRef]
- Brown, L.M.; Anand, M. Plant functional traits as measures of ecosystem service provision. Ecosphere 2022, 13, e3930. [Google Scholar] [CrossRef]
- Wang, L.T.; Rao, Q.Y.; Su, H.J.; Ruan, L.W.; Deng, X.W.; Liu, J.R.; Chen, J.; Xie, P. Linking the network topology of plant traits with community structure, functioning, and adaptive strategies of submerged macrophytes. Sci. Total Environ. 2022, 850, 158092. [Google Scholar] [CrossRef]
- Bona, C.; Pellanda, R.M.; Carlucci, M.B.; Giese de Paula Machado, R.; Ciccarelli, D. Functional traits reveal coastal vegetation assembly patterns in a short edaphic gradient in southern Brazil. Flora 2020, 271, 151661. [Google Scholar] [CrossRef]
- Menezes, B.S.; Martins, F.R.; Carvalho, E.C.D.; Souza, B.C.; Silveira, A.P.; Loiola, M.I.B.; Araujo, F.S. Assembly rules in a resource gradient: Competition and abiotic filtering determine the structuring of plant communities in stressful environments. PLoS ONE 2020, 15, e0230097. [Google Scholar] [CrossRef] [PubMed]
- LaPlante, E.; Souza, L. Plant dominance in a subalpine montane meadow: Biotic vs. abiotic controls of subordinate diversity within and across sites. Peerj 2018, 21, e5619. [Google Scholar] [CrossRef]
- Jeffers, E.S.; Bonsall, M.B.; Froyd, C.A.; Brooks, S.J.; Willis, K.J. The relative importance of biotic and abiotic processes for structuring plant communities through time. J. Ecol. 2015, 103, 459–472. [Google Scholar] [CrossRef]
- Conti, L.; de Bello, F.; Leps, J.; Acosta, A.T.R.; Carboni, M. Environmental gradients and micro-heterogeneity shape fine-scale plant community assembly on coastal dunes. J. Veg. Sci. 2017, 28, 762–773. [Google Scholar] [CrossRef]
- Dibaba, A.; Soromessa, T.; Warkineh, B. Plant community analysis along environmental gradients in moist afromontane forest of Gerba Dima, South-western Ethiopia. BMC Ecol. Evol. 2022, 22, 12. [Google Scholar] [CrossRef]
- Arévalo, J.R.; Fernández-Lugo, S.; Reyes-Betancort, J.A.; Tejedor, M.; Jiménez, C.J.S.; Hernández Díaz, F.J. Relationships between soil parameters and vegetation in abandoned terrace fields vs. non-terraced fields in arid lands (Lanzarote, Spain): An opportunity for restoration. Acta Oecol.-Int. J. Ecol. 2017, 85, 77–84. [Google Scholar] [CrossRef]
- Hu, Y.; Li, X.Y.; Guo, A.X.; Yue, P.; Guo, X.X.; Lv, P.; Zhao, S.L.; Zuo, X.A. Species diversity is a strong predictor of ecosystem multifunctionality under altered precipitation in desert steppes. Ecol. Indic. 2022, 137, 108762. [Google Scholar] [CrossRef]
- Dimeyeva, L. Natural and anthropogenic dynamics of vegetation in the Aral Sea Coast. Am. J. Environ. Protect. 2015, 4, 136–142. [Google Scholar]
- Li, H.W.; Yang, X.P. Temperate dryland vegetation changes under a warming climate and strong human intervention—With a particular reference to the district Xilin Gol, Inner Mongolia, China. Remote Sens. 2014, 119, 9–20. [Google Scholar] [CrossRef]
- Melese, G.; Tsegay, B.; Kassa, G.; Kuratie, G. Patterns of plant community formation and vegetation structure in the afro-alpine vegetation of Simien Mountains National Park, Ethiopia. Int. J. Biotechnol. 2018, 7, 31–43. [Google Scholar] [CrossRef]
- De Falco, N.; Tal-Berger, R.; Hjazin, A.; Yizhaq, H.; Stavi, I.; Rachmilevitch, S. Geodiversity impacts plant community structure in a semi-arid region. Sci. Rep. 2021, 11, 15259. [Google Scholar] [CrossRef]
- Yuksek, T.; Yuksek, F. The effects of restoration on soil properties in degraded land in the semi-arid region of Turkey. Catena 2011, 84, 47–53. [Google Scholar] [CrossRef]
- Zuo, X.A.; Zhao, X.Y.; Zhao, H.L.; Li, Y.Q.; Guo, Y.R.; Zhao, Y.P. Changes of species diversity and productivity in relation to soil properties in sandy grassland in Horqin Sand Land. Chin. J. Environ. Sci. 2007, 28, 945–951. [Google Scholar]
- Cañadas, E.M.; Jiménez, M.N.; Valle, F.; Fernandez-Ondono, E.; Martin-Peinado, F.; Navarro, F.B. Soil-vegetation relationships in semi-arid Mediterranean old fields (SE Spain): Implications for management. J. Arid. Environ. 2010, 74, 1525–1533. [Google Scholar] [CrossRef]
- Salama, F.; El-Ghani, M.A.; Gadallah, M.; El-Naggar, S.; Amro, A. Variations in vegetation structure, species dominance and plant communities in south of the Eastern Desert-Egypt. Not. Bot. Horti Agrobot. Cluj-Na. 2014, 6, 41–58. [Google Scholar]
- Huang, W.J.; Duan, W.L.; Chen, Y.N. Rapidly declining surface and terrestrial water resources in Central Asia driven by socio-economic and climatic changes. Sci. Total Environ. 2021, 784, 147193. [Google Scholar] [CrossRef] [PubMed]
- Li, H.W.; Li, Z.; Chen, Y.N.; Liu, Y.C.; Hu, Y.A.; Sun, F.; Kayumba, P.M. Projected meteorological drought over Asian drylands under different cmip6 scenarios. Remote Sens. 2021, 13, 4409. [Google Scholar] [CrossRef]








| Item | Desert | MAP (mm) | MAT (°C) | DSR (W m−2) | VPD (kPa) | Aridity | SWC (v/v) | MST (°C) | SOC (g kg−1) | TN (g kg−1) | TP (g kg−1) | TK (g kg−1) | TS (%) | 
|---|---|---|---|---|---|---|---|---|---|---|---|---|---|
| Mean | TD | 257.0 | 9.405 | 15209.3 | 1.029 | 0.900 | 0.534 | 13.006 | 1.074 | 0.209 | 0.505 | 21.783 | 0.392 | 
| GD | 163.8 | 7.879 | 14982.4 | 1.192 | 0.915 | 0.218 | 11.222 | 0.747 | 0.100 | 0.294 | 13.588 | 0.366 | |
| SE | TD | 10.5 | 0.096 | 15.7 | 0.007 | 0.010 | 0.018 | 0.037 | 0.146 | 0.014 | 0.044 | 0.164 | 0.029 | 
| GD | 3.1 | 0.250 | 11.3 | 0.022 | 0.006 | 0.014 | 0.123 | 0.069 | 0.008 | 0.013 | 0.069 | 0.008 | |
| Sig. | *** | *** | *** | *** | ns | *** | *** | *** | *** | *** | *** | ns | 
| Disclaimer/Publisher’s Note: The statements, opinions and data contained in all publications are solely those of the individual author(s) and contributor(s) and not of MDPI and/or the editor(s). MDPI and/or the editor(s) disclaim responsibility for any injury to people or property resulting from any ideas, methods, instructions or products referred to in the content. | 
© 2023 by the authors. Licensee MDPI, Basel, Switzerland. This article is an open access article distributed under the terms and conditions of the Creative Commons Attribution (CC BY) license (https://creativecommons.org/licenses/by/4.0/).
Share and Cite
Tao, Y.; Zhou, X.-B.; Yin, B.-F.; Dimeyeva, L.; Zhang, J.; Zang, Y.-X.; Zhang, Y.-M. Combining Multiple Plant Attributes to Reveal Differences in Community Structure in Two Distant Deserts in Central Asia. Plants 2023, 12, 3286. https://doi.org/10.3390/plants12183286
Tao Y, Zhou X-B, Yin B-F, Dimeyeva L, Zhang J, Zang Y-X, Zhang Y-M. Combining Multiple Plant Attributes to Reveal Differences in Community Structure in Two Distant Deserts in Central Asia. Plants. 2023; 12(18):3286. https://doi.org/10.3390/plants12183286
Chicago/Turabian StyleTao, Ye, Xiao-Bing Zhou, Ben-Feng Yin, Liliya Dimeyeva, Jing Zhang, Yong-Xin Zang, and Yuan-Ming Zhang. 2023. "Combining Multiple Plant Attributes to Reveal Differences in Community Structure in Two Distant Deserts in Central Asia" Plants 12, no. 18: 3286. https://doi.org/10.3390/plants12183286
APA StyleTao, Y., Zhou, X.-B., Yin, B.-F., Dimeyeva, L., Zhang, J., Zang, Y.-X., & Zhang, Y.-M. (2023). Combining Multiple Plant Attributes to Reveal Differences in Community Structure in Two Distant Deserts in Central Asia. Plants, 12(18), 3286. https://doi.org/10.3390/plants12183286
 
        

 
                         
       