The Invasion of Galinsoga quadriradiata into High Elevations Is Shaped by Variation in AMF Communities
Abstract
:1. Introduction
2. Results
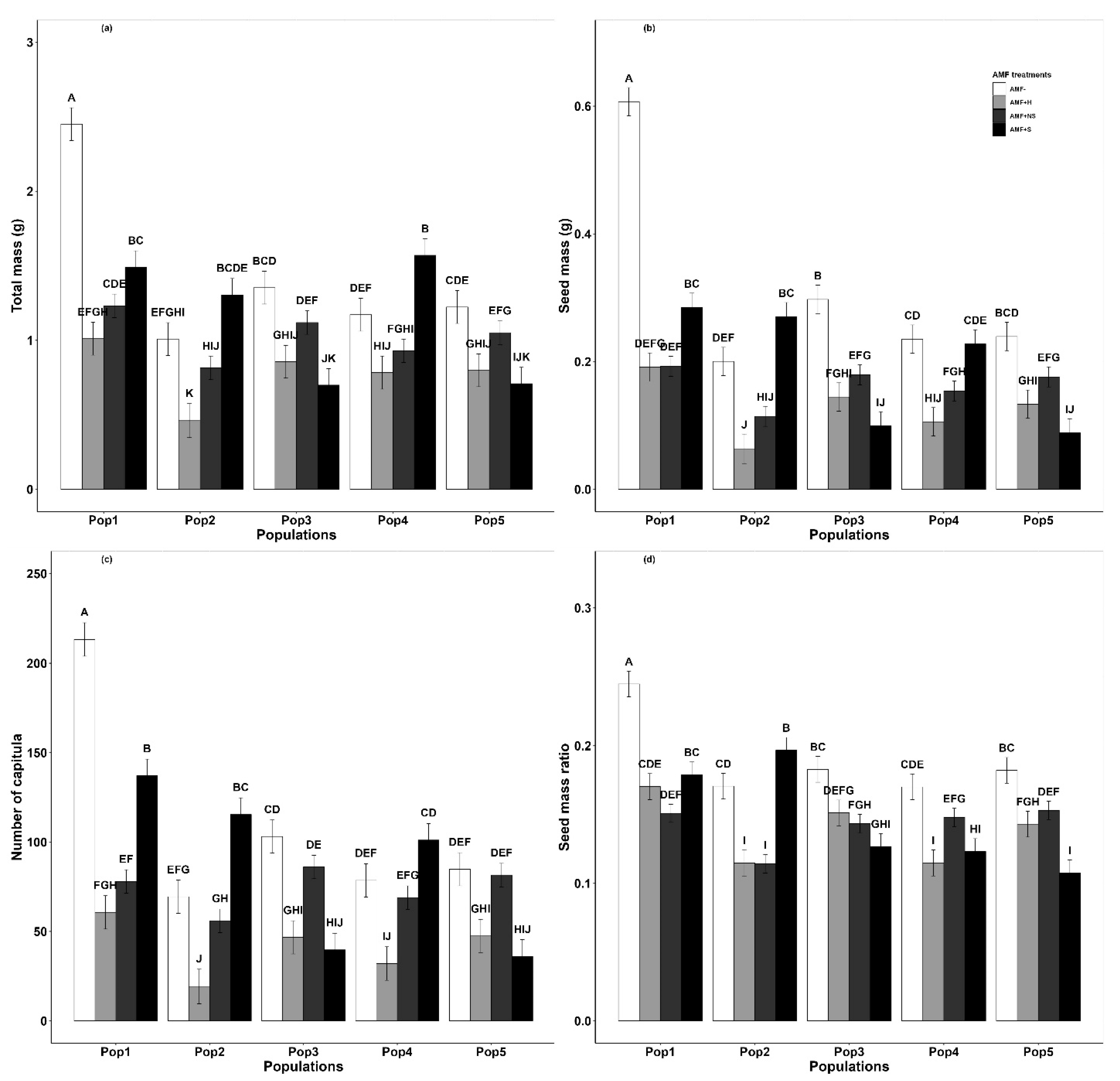
2.1. Biomass Allocation and Mycorrhizal Dependency
2.2. Root–Shoot Ratio
2.3. AMF Colonization Rate
2.4. Reproduction
2.5. Interspecific Competition Intensity (RII)
2.6. Leaf Nutrient Concentration
3. Discussion
3.1. Invader Adaptation to the AMF Community
3.2. Importance of Elevation for Plant–AMF Interactions
3.3. AMF Community Effects on Nutrient Uptake
3.4. Effects of AMF Association Depend on the Presence of Native Plants
3.5. Effects of Invasion on Native Plant Species
4. Materials and Methods
4.1. Experimental Design
4.2. Data Collection
4.3. Mycorrhizal Dependency (MD) and Relative Interaction Index (RII)
4.4. Statistical Analysis
5. Conclusions
Supplementary Materials
Author Contributions
Funding
Data Availability Statement
Acknowledgments
Conflicts of Interest
References
- Guo, Q.F.; Fei, S.L.; Shen, Z.H.; Iannone Iii, B.V.; Knott, J.; Chown, S.L. A global analysis of elevational distribution of non-native versus native plants. J. Biogeogr. 2018, 45, 793–803. [Google Scholar] [CrossRef]
- Lembrechts, J.J.; Alexander, J.M.; Cavieres, L.A.; Haider, S.; Lenoir, J.; Kueffer, C.; McDougall, K.; Naylor, B.J.; Nuñez, M.A.; Pauchard, A.; et al. Mountain roads shift native and non-native plant species’ ranges. Ecography 2017, 40, 353–364. [Google Scholar] [CrossRef]
- Pauchard, A.; Kueffer, C.; Dietz, H.; Daehler, C.C.; Alexander, J.; Edwards, P.J.; Arévalo, J.R.; Cavieres, L.A.; Guisan, A.; Haider, S.; et al. Ain’t no mountain high enough: Plant invasions reaching new elevations. Front. Ecol. Environ. 2009, 7, 479–486. [Google Scholar] [CrossRef]
- Petitpierre, B.; McDougall, K.; Seipel, T.; Broennimann, O.; Guisan, A.; Kueffer, C. Will climate change increase the risk of plant invasions into mountains? Ecol. Appl. 2016, 26, 530–544. [Google Scholar] [CrossRef] [PubMed]
- Poll, M.; Naylor, B.J.; Alexander, J.M.; Edwards, P.J.; Dietz, H. Seedling establishment of Asteraceae forbs along altitudinal gradients: A comparison of transplant experiments in the native and introduced ranges. Divers. Distrib. 2009, 15, 254–265. [Google Scholar] [CrossRef]
- Kamenišťák, J.; Baláž, I.; Tulis, F.; Jakab, I.; Ševčík, M.; Poláčiková, Z.; Klimant, P.; Ambros, M.; Rychlik, L. Changes of small mammal communities with the altitude gradient. Biologia 2019, 75, 713–722. [Google Scholar] [CrossRef]
- Li, T.; Xiong, Q.; Luo, P.; Zhang, Y.; Gu, X.; Lin, B. Direct and indirect effects of environmental factors, spatial constraints, and functional traits on shaping the plant diversity of montane forests. Ecol. Evol. 2020, 10, 557–568. [Google Scholar] [CrossRef]
- Liu, Y.J.; Oduor, A.M.O.; Zhang, Z.; Manea, A.; Tooth, I.M.; Leishman, M.R.; Xu, X.L.; van Kleunen, M. Do invasive alien plants benefit more from global environmental change than native plants? Glob. Change Biol. 2017, 23, 3363–3370. [Google Scholar] [CrossRef]
- Liu, G.; Yang, Y.B.; Zhu, Z.H. Elevated nitrogen allows the weak invasive plant Galinsoga quadriradiata to become more vigorous with respect to inter-specific competition. Sci. Rep. 2018, 8, 3136. [Google Scholar] [CrossRef]
- Alexander, J.M.; Kueffer, C.; Daehler, C.C.; Edwards, P.J.; Pauchard, A.; Seipel, T.; Consortium, M. Assembly of nonnative floras along elevational gradients explained by directional ecological filtering. Proc. Natl. Acad. Sci. USA 2011, 108, 656. [Google Scholar] [CrossRef]
- Kiers, E.T.; Heijden, M.G.A.v.d. Mutualistic stability in the arbuscular mycorrhizal symbiosis: Exploring hypotheses of evolutionary cooperation. Ecology 2006, 87, 1627–1636. [Google Scholar] [CrossRef] [PubMed]
- Lee, E.H.; Eo, J.K.; Ka, K.H.; Eom, A.H. Diversity of arbuscular mycorrhizal fungi and their roles in ecosystems. Mycobiology 2013, 41, 121–125. [Google Scholar] [CrossRef] [PubMed]
- Van Grunsven, R.H.A.; Yuwati, T.-W.; Kowalchuk, G.A.; van der Putten, W.H.; Veenendaal, E.M. The northward shifting neophyte Tragopogon dubius is just as effective in forming mycorrhizal associations as the native T. pratensis. Plant Ecol. Divers. 2013, 7, 533–539. [Google Scholar] [CrossRef]
- Menzel, A.; Hempel, S.; Klotz, S.; Moora, M.; Pyšek, P.; Rillig, M.C.; Zobel, M.; Kühn, I. Mycorrhizal status helps explain invasion success of alien plant species. Ecology 2017, 98, 92–102. [Google Scholar] [CrossRef]
- Cardinaux, A.; Hart, S.P.; Alexander, J.M. Do soil biota influence the outcome of novel interactions between plant competitors? J. Ecol. 2018, 106, 1853–1863. [Google Scholar] [CrossRef] [PubMed]
- Watermann, L.Y.; Hock, M.; Blake, C.; Erfmeier, A. Plant invasion into high elevations implies adaptation to high UV-B environments: A multi-species experiment. Biol. Invasions 2019, 22, 1203–1218. [Google Scholar] [CrossRef]
- Shen, K.P.; Cornelissen, J.H.C.; Wang, Y.J.; Wu, C.B.; He, Y.J.; Ou, J.; Tan, Q.Y.; Xia, T.T.; Kang, L.L.; Guo, Y.; et al. AM fungi alleviate phosphorus limitation and enhance nutrient competitiveness of invasive plants via mycorrhizal networks in Karst Areas. Front. Ecol. Evol. 2020, 8, 125. [Google Scholar] [CrossRef]
- Zhang, F.J.; Li, Q.; Chen, F.X.; Xu, H.Y.; Inderjit; Wan, F.H. Arbuscular mycorrhizal fungi facilitate growth and competitive ability of an exotic species Flaveria bidentis. Soil Biol. Biochem. 2017, 115, 275–284. [Google Scholar] [CrossRef]
- Majewska, M.L.; Rola, K.; Zubek, S. The growth and phosphorus acquisition of invasive plants Rudbeckia laciniata and Solidago gigantea are enhanced by arbuscular mycorrhizal fungi. Mycorrhiza 2017, 27, 83–94. [Google Scholar] [CrossRef]
- Qi, S.; Wang, J.; Wan, L.; Dai, Z.; da Silva Matos, D.M.; Du, D.; Egan, S.; Bonser, S.P.; Thomas, T.; Moles, A.T. Arbuscular Mycorrhizal Fungi Contribute to Phosphorous Uptake and Allocation Strategies of Solidago canadensis in a Phosphorous-Deficient Environment. Front. Plant Sci. 2022, 13, 1654. [Google Scholar] [CrossRef]
- Aslani, F.; Juraimi, A.S.; Ahmad-Hamdani, M.S.; Alam, M.A.; Hasan, M.M.; Hashemi, F.S.G.; Bahram, M. The role of arbuscular mycorrhizal fungi in plant invasion trajectory. Plant Soil 2019, 441, 1–14. [Google Scholar] [CrossRef]
- Paudel, S.; Baer, S.G.; Battaglia, L.L. Arbuscular mycorrhizal fungi (AMF) and success of Triadica sebifera invasion in coastal transition ecosystems along the northern Gulf of Mexico. Plant Soil 2014, 378, 337–349. [Google Scholar] [CrossRef]
- Waller, L.P.; Callaway, R.M.; Klironomos, J.N.; Ortega, Y.K.; Maron, J.L. Reduced mycorrhizal responsiveness leads to increased competitive tolerance in an invasive exotic plant. J. Ecol. 2016, 104, 1599–1607. [Google Scholar] [CrossRef]
- Huangfu, C.H.; Li, K.L.; Hui, D.F. Influences of plant interspecific competition and arbuscular mycorrhizal fungi on nitrogen form preference of an invasive plant. Biogeochemistry 2019, 145, 295–313. [Google Scholar] [CrossRef]
- Bongard, C.L.; Navaranjan, G.; Yan, W.; Fulthorpe, R.R. Fungal colonization of the invasive vine Vincetoxicum rossicum and native plants. Plant Ecol. Evol. 2013, 146, 45–52. [Google Scholar] [CrossRef]
- Du, E.; Jia, Y.; Wu, C.; Chen, X.; Zhang, F. Arbuscular mycorrhizal fungi and Bacillus promote Flaveria bidentis invasion success by inhibiting the growth of native species under different soil nutrient levels. Plant Soil 2023. [Google Scholar] [CrossRef]
- Lamit, L.J.; Giovati, A.S.; Jo, I.; Frank, D.A.; Fridley, J.D. Woody invaders are more highly colonized by arbuscular mycorrhizal fungi than congeneric native species. Am. J. Bot. 2022, 109, 655–663. [Google Scholar] [CrossRef]
- Callaway, R.M.; Thelen, G.C.; Barth, S.; Ramsey, P.W.; Gannon, J.E. Soil fungi alter interactions between the invader Centaurea maculosa and North American natives. Ecology 2004, 85, 1062–1071. [Google Scholar] [CrossRef]
- Chen, E.J.; Liao, H.X.; Chen, B.M.; Peng, S.L. Arbuscular mycorrhizal fungi are a double-edged sword in plant invasion controlled by phosphorus concentration. New Phytol. 2020, 226, 295–300. [Google Scholar] [CrossRef]
- Sun, D.; Yang, X.; Wang, Y.; Fan, Y.; Ding, P.; Song, X.E.; Yuan, X.; Yang, X. Stronger mutualistic interactions with arbuscular mycorrhizal fungi help Asteraceae invaders outcompete the phylogenetically related natives. New Phytol. 2022, 236, 1487–1496. [Google Scholar] [CrossRef]
- Wang, R.; Wang, J.F.; Qiu, Z.J.; Meng, B.; Wan, F.H.; Wang, Y.Z. Multiple mechanisms underlie rapid expansion of an invasive alien plant. New Phytol. 2011, 191, 828–839. [Google Scholar] [CrossRef] [PubMed]
- Liu, G.; Liu, R.L.; Zhang, W.G.; Yang, Y.B.; Bi, X.Q.; Li, M.Z.; Chen, X.Y.; Nie, H.; Zhu, Z.H. Arbuscular mycorrhizal colonization rate of an exotic plant, Galinsoga quadriradiata, in mountain ranges changes with altitude. Mycorrhiza 2021, 31, 161–171. [Google Scholar] [CrossRef] [PubMed]
- Van der Putten, W.H.; Kowalchuk, G.A.; Brinkman, E.P.; Doodeman, G.T.A.; van der Kaaij, R.M.; Kamp, A.F.D.; Menting, F.B.J.; Veenendaal, E.M. Soil feedback of exotic savanna grass relates to pathogen absence and mycorrhizal selectivity. Ecology 2007, 88, 978–988. [Google Scholar] [CrossRef] [PubMed]
- Zhao, F.; Liu, J.J.; Zhu, W.B.; Zhang, B.P.; Zhu, L.Q. Spatial variation of altitudinal belts as dividing index between warm temperate and subtropical zones in the Qinling-Daba Mountains. J. Geogr. Sci. 2020, 30, 642–656. [Google Scholar] [CrossRef]
- Wang, R.; Wang, Y.Z. Invasion dynamics and potential spread of the invasive alien plant species Ageratina adenophora (Asteraceae) in China. Divers. Distrib. 2006, 12, 397–408. [Google Scholar] [CrossRef]
- Liu, G.; Zhang, L.L.; Kong, B.B.; Wei, X.H.; Zhu, Z.H. The population growth dynamic of Galinsoga quadriradiata Ruiz & Pav. on Qinling-Bashan Mountain. Acta Ecol. Sin. 2016, 36, 3350–3361. [Google Scholar]
- Liu, R.L.; Yang, Y.B.; Lee, B.R.; Liu, G.; Zhang, W.G.; Chen, X.Y.; Song, X.J.; Kang, J.Q.; Zhu, Z.H. The dispersal-related traits of an invasive plant Galinsoga quadriradiata correlate with elevation during range expansion into mountain ranges. AoB Plants 2021, 13, plab008. [Google Scholar] [CrossRef]
- Liu, R.-L.; Zhang, W.-G.; Lee, B.R.; Liu, G.; Song, X.-J.; Chen, X.-Y.; Zou, J.-B.; Huang, F.-F.; Zhu, Z.-H. Rhizosphere and root fungal community of the invasive plant Galinsoga quadriradiata changes along its elevational expansion route. J. Plant Ecol. 2023, 16, rtac055. [Google Scholar] [CrossRef]
- Marini, L.; Bertolli, A.; Bona, E.; Federici, G.; Martini, F.; Prosser, F.; Bommarco, R. Beta-diversity patterns elucidate mechanisms of alien plant invasion in mountains. Glob. Ecol. Biogeogr. 2013, 22, 450–460. [Google Scholar] [CrossRef]
- Midolo, G.; Wellstein, C. Plant performance and survival across transplant experiments depend upon temperature and precipitation change along elevation. J. Ecol. 2020, 108, 2107–2120. [Google Scholar] [CrossRef]
- Rixen, C.; Wipf, S.; Rumpf, S.B.; Giejsztowt, J.; Millen, J.; Morgan, J.W.; Nicotra, A.B.; Venn, S.; Zong, S.; Dickinson, K.J.M.; et al. Intraspecific trait variation in alpine plants relates to their elevational distribution. J. Ecol. 2022, 110, 860–875. [Google Scholar] [CrossRef]
- Urcelay, C.; Longo, S.; Geml, J.; Tecco, P.A. Can arbuscular mycorrhizal fungi from non-invaded montane ecosystems facilitate the growth of alien trees? Mycorrhiza 2019, 29, 39–49. [Google Scholar] [CrossRef] [PubMed]
- Pánková, H.; Münzbergová, Z.; Rydlová, J.; Vosátka, M. Co-Adaptation of Plants and Communities of Arbuscular Mycorrhizal Fungi to Their Soil Conditions. Folia Geobot. 2014, 49, 521–540. [Google Scholar] [CrossRef]
- Clavel, J.; Lembrechts, J.; Alexander, J.; Haider, S.; Lenoir, J.; Milbau, A.; Nunez, M.A.; Pauchard, A.; Nijs, I.; Verbruggen, E. The role of arbuscular mycorrhizal fungi in nonnative plant invasion along mountain roads. New Phytol. 2021, 230, 1156–1168. [Google Scholar] [CrossRef]
- Zhang, M.G.; Shi, Z.Y.; Yang, M.; Lu, S.C.; Cao, L.B.; Wang, X.G. Molecular diversity and distribution of arbuscular mycorrhizal fungi at different elevations in Mt. Taibai of Qinling Mountain. Front. Microbiol. 2021, 12, 609386. [Google Scholar] [CrossRef]
- Bueno, C.G.; Hiiesalu, I.; Koorem, K. How and where do disturbances promote the establishment of nonnative mycorrhizal plants at high elevations? New Phytol. 2021, 230, 883–885. [Google Scholar] [CrossRef]
- Ryan, M.H.; Tibbett, M.; Edmonds-Tibbett, T.; Suriyagoda, L.D.; Lambers, H.; Cawthray, G.R.; Pang, J. Carbon trading for phosphorus gain: The balance between rhizosphere carboxylates and arbuscular mycorrhizal symbiosis in plant phosphorus acquisition. Plant Cell Environ. 2012, 35, 2170–2180. [Google Scholar] [CrossRef]
- Hong, J.T.; Ma, X.X.; Zhang, X.K.; Wang, X.D. Nitrogen uptake pattern of herbaceous plants: Coping strategies in altered neighbor species. Biol. Fertil. Soils 2017, 53, 729–735. [Google Scholar] [CrossRef]
- Bagyaraj, D.J.; Sharma, M.P.; Maiti, D. Phosphorus nutrition of crops through arbuscular mycorrhizal fungi. Curr. Sci. 2015, 108, 1288–1293. [Google Scholar]
- Klein-Raufhake, T.; Höfner, J.; Hölzel, N.; Knorr, K.-H.; Lampei, C.; Mudrák, O.; Bucharova, A. Nitrogen limitation reduces the performance of target plant species in restored meadows. Restor. Ecol. 2022, 30, e13608. [Google Scholar] [CrossRef]
- Burkle, L.A.; Irwin, R.E. Beyond biomass: Measuring the effects of community-level nitrogen enrichment on floral traits, pollinator visitation and plant reproduction. J. Ecol. 2010, 98, 705–717. [Google Scholar] [CrossRef]
- Tilman, D. Nitrogen-Limited Growth in Plants from Different Successional Stages. Ecology 1986, 67, 555–563. [Google Scholar] [CrossRef]
- Chen, Q.; Wu, W.W.; Qi, S.S.; Cheng, H.; Li, Q.; Ran, Q.; Dai, Z.C.; Du, D.L.; Egan, S.; Thomas, T. Arbuscular mycorrhizal fungi improve the growth and disease resistance of the invasive plant Wedelia trilobata. J. Appl. Microbiol. 2021, 130, 582–591. [Google Scholar] [CrossRef] [PubMed]
- Bach, E.M.; Narvaez-Rivera, G.; Murray, K.; Bauer, J.T.; Hofmockel, K.S. The dynamic life of arbuscular mycorrhizal fungal symbionts. Ecology 2018, 99, 978–980. [Google Scholar] [CrossRef] [PubMed]
- Jacott, C.N.; Murray, J.D.; Ridout, C.J. Trade-offs in arbuscular mycorrhizal symbiosis: Disease resistance, growth responses and perspectives for crop breeding. Agronomy 2017, 7, 75. [Google Scholar] [CrossRef]
- Bonfante, P.; Genre, A. Mechanisms underlying beneficial plant–fungus interactions in mycorrhizal symbiosis. Nat. Commun. 2010, 1, 48. [Google Scholar] [CrossRef]
- Keymer, A.; Gutjahr, C. Cross-kingdom lipid transfer in arbuscular mycorrhiza symbiosis and beyond. Curr. Opin. Plant Biol. 2018, 44, 137–144. [Google Scholar] [CrossRef]
- Jin, L.; Wang, Q.; Wang, Q.; Wang, X.J.; Gange, A.C. Mycorrhizal-induced growth depression in plants. Symbiosis 2017, 72, 81–88. [Google Scholar] [CrossRef]
- Savolainen, T.; Kytöviita, M.-M. Mycorrhizal symbiosis changes host nitrogen source use. Plant Soil 2021, 471, 643–654. [Google Scholar] [CrossRef]
- Sun, Z.K.; He, W.M. Evidence for enhanced mutualism hypothesis: Solidago canadensis plants from regular soils perform better. PLoS ONE 2010, 5, e15418. [Google Scholar] [CrossRef]
- Awaydul, A.; Zhu, W.Y.; Yuan, Y.G.; Xiao, J.; Hu, H.; Chen, X.; Koide, R.T.; Cheng, L. Common mycorrhizal networks influence the distribution of mineral nutrients between an invasive plant, Solidago canadensis, and a native plant, Kummerowa striata. Mycorrhiza 2019, 29, 29–38. [Google Scholar] [CrossRef] [PubMed]
- Rezacova, V.; Rezac, M.; Gryndlerova, H.; Wilson, G.W.T.; Michalova, T. Arbuscular mycorrhizal fungi favor invasive Echinops sphaerocephalus when grown in competition with native Inula conyzae. Sci. Rep. 2020, 10, 20287. [Google Scholar] [CrossRef] [PubMed]
- Gerdemann, J.W.; Nicolson, T.H. Spores of mycorrhizal Endogone species extracted from soil by wet sieving and decanting. Trans. Br. Mycol. Soc. 1963, 46, 235–244. [Google Scholar] [CrossRef]
- Vierheilig, H.; Coughlan, A.P.; Wyss, U.P.; Piché, Y. Ink and Vinegar, a Simple Staining Technique for Arbuscular-Mycorrhizal Fungi. Appl. Environ. Microbiol. 1998, 64, 5004–5007. [Google Scholar] [CrossRef] [PubMed]
- McGonigle, T.P.; Miller, M.H.; Evans, D.G.; Fairchild, G.L.; Swan, J.A. A new method which gives an objective measure of colonization of roots by vesicular—Arbuscular mycorrhizal fungi. New Phytol. 1990, 115, 495–501. [Google Scholar] [CrossRef]
- Cheng, J.K.; Yue, M.F.; Yang, H.R.; Chen, B.M.; Xin, G.R. Do arbuscular mycorrhizal fungi help the native species Bidens biternata resist the invasion of Bidens alba? Plant Soil 2019, 444, 443–455. [Google Scholar] [CrossRef]
- R Development Core Team. R: A Language and Environment for Statistical Computing; R Foundation for Statistical Computing: Vienna, Austria, 2021. [Google Scholar]





| Effect | Pop | CompTy(Cul) | Pop × CompTy(Cul) | AMF | Pop × AMF | CompTy × AMF(Cul) | Pop × CompTy × AMF(Cul) | InS(AMF) | Pop × InS(AMF) | CompTy × InS(Cul × AMF) | Pop × CompTy × InS(Cul × AMF) | |
|---|---|---|---|---|---|---|---|---|---|---|---|---|
| RII | df | 4702 | 1702 | 4702 | 1702 | 4702 | 1702 | 4702 | 2702 | 8702 | 2702 | 8702 |
| F | 18.56 | 0.03 | 2.34 | 171.13 | 7.48 | 3.44 | 1.81 | 5.27 | 6.52 | 2.55 | 2.46 | |
| p | <0.0001 | 0.861 | 0.054 | <0.0001 | <0.0001 | 0.064 | 0.125 | 0.005 | <0.0001 | 0.079 | 0.012 |
Disclaimer/Publisher’s Note: The statements, opinions and data contained in all publications are solely those of the individual author(s) and contributor(s) and not of MDPI and/or the editor(s). MDPI and/or the editor(s) disclaim responsibility for any injury to people or property resulting from any ideas, methods, instructions or products referred to in the content. |
© 2023 by the authors. Licensee MDPI, Basel, Switzerland. This article is an open access article distributed under the terms and conditions of the Creative Commons Attribution (CC BY) license (https://creativecommons.org/licenses/by/4.0/).
Share and Cite
Liu, G.; Liu, R.; Lee, B.R.; Song, X.; Zhang, W.; Zhu, Z.; Shi, Y. The Invasion of Galinsoga quadriradiata into High Elevations Is Shaped by Variation in AMF Communities. Plants 2023, 12, 3190. https://doi.org/10.3390/plants12183190
Liu G, Liu R, Lee BR, Song X, Zhang W, Zhu Z, Shi Y. The Invasion of Galinsoga quadriradiata into High Elevations Is Shaped by Variation in AMF Communities. Plants. 2023; 12(18):3190. https://doi.org/10.3390/plants12183190
Chicago/Turabian StyleLiu, Gang, Ruiling Liu, Benjamin R. Lee, Xingjiang Song, Wengang Zhang, Zhihong Zhu, and Yan Shi. 2023. "The Invasion of Galinsoga quadriradiata into High Elevations Is Shaped by Variation in AMF Communities" Plants 12, no. 18: 3190. https://doi.org/10.3390/plants12183190
APA StyleLiu, G., Liu, R., Lee, B. R., Song, X., Zhang, W., Zhu, Z., & Shi, Y. (2023). The Invasion of Galinsoga quadriradiata into High Elevations Is Shaped by Variation in AMF Communities. Plants, 12(18), 3190. https://doi.org/10.3390/plants12183190

