Preventing Overgrowth of Cucumber and Tomato Seedlings Using Difference between Day and Night Temperature in a Plant Factory with Artificial Lighting
Abstract
:1. Introduction
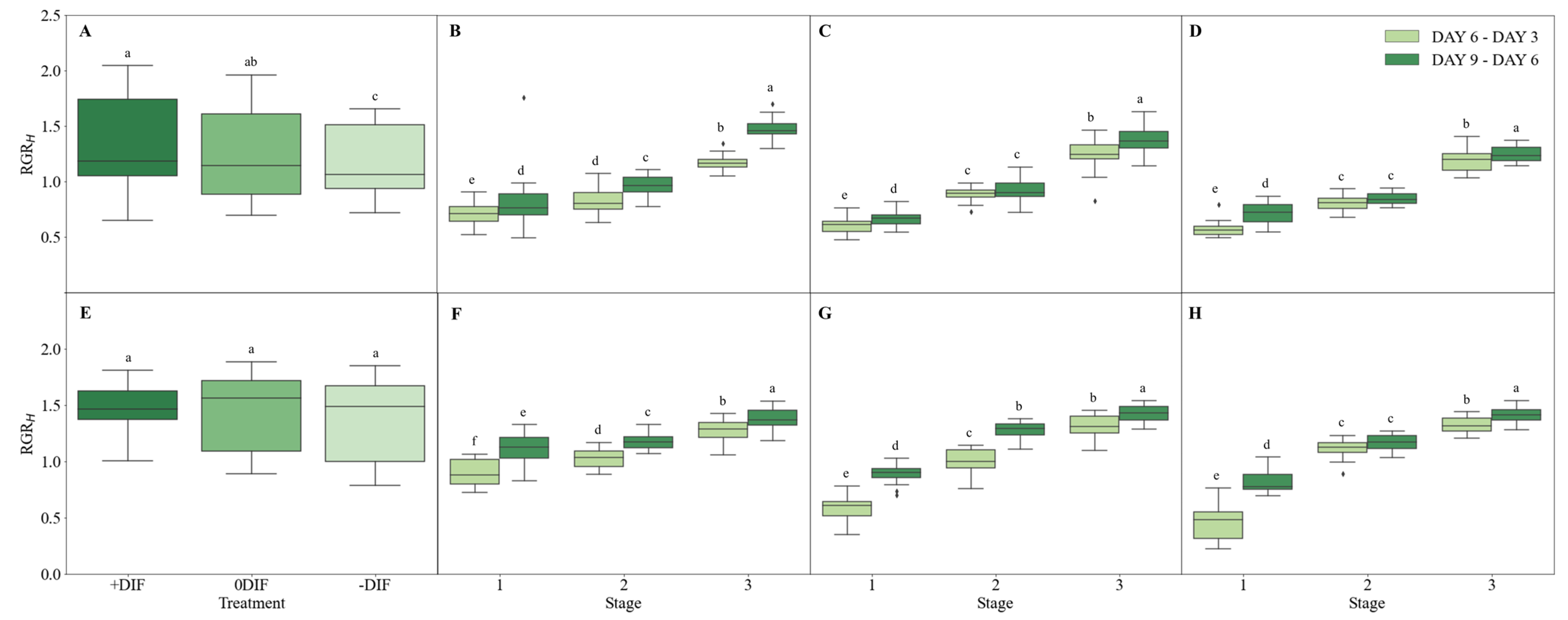
2. Results and Discussion
2.1. Plant Factory with Artificial Lighting Specifications
2.2. Plant Materials and Growth Conditions
2.3. DIF Treatment of Cucumber and Tomato Seedlings
2.4. Investigation
2.5. OJIP Measurement Methods and Parameters
2.6. Statistical Analysis
3. Conclusions
Author Contributions
Funding
Institutional Review Board Statement
Informed Consent Statement
Data Availability Statement
Acknowledgments
Conflicts of Interest
References
- An, S.; Lee, H.J.; Sim, H.S.; Ahn, S.R.; Kim, S.T.; Kim, S.K. Profiles of Environmental Parameters in a Plant Factory with Artificial Lighting and Evaluation on Growth of Cucumber Seedlings. J. Bio-Environ. Control 2021, 30, 126–132. [Google Scholar] [CrossRef]
- Park, S.W.; An, S.; Kwack, Y. Changes in Transpiration Rates and Growth of Cucumber and Tomato Scions and Rootstocks Grown under Different Light Intensity Conditions in a Closed Transplant Production System. Prot. Hortic. Plant Fact. 2020, 29, 399–405. [Google Scholar] [CrossRef]
- Kozai, T.; Niu, G. Role of the plant factory with artificial lighting (PFAL) in urban areas. In Plant Factory; Elsevier: Amsterdam, The Netherlands, 2020; pp. 7–34. [Google Scholar]
- Jang, Y.; Lee, H.J.; Choi, C.S.; Um, Y.; Lee, S.G. Growth characteristics of cucumber scion and pumpkin rootstock under different levels of light intensity and plug cell size under an artificial lighting condition. J. Bio-Environ. Control 2014, 23, 383–390. [Google Scholar] [CrossRef]
- Liu, Z.; Yang, P.; Fadiji, T.; Li, Z.; Ni, J. Biomechanical response of the above-ground organs in tomato seedling at different age levels under wind-flow disturbance. Sci. Hortic. 2023, 312, 111835. [Google Scholar] [CrossRef]
- Sun, E.-S.; Kang, H.-M.; Kim, Y.-S.; Kim, I.-S. Effects of seed soaking treatment of diniconazol on the inhibition of stretching of tomato and cucumber seedlings. J. Bio-Environ. Control 2010, 19, 55–62. [Google Scholar]
- Graham, T.; Wheeler, R. Mechanical stimulation modifies canopy architecture and improves volume utilization efficiency in bell pepper: Implications for bioregenerative life-support and vertical farming. Open Agric. 2017, 2, 42–51. [Google Scholar] [CrossRef]
- Hernández, L.F. Wind as a mechanical stimulus affect the rate of early reproductive development in sunflower (Helianthus annuus L.). Int. J. Adv. Res. Bot. 2016, 2, 14–24. [Google Scholar]
- Kim, Y.; Lee, I. Identification of appropriate plant growth retardant to suppress poinsettia growth. Flower Res. J. 2015, 23, 63–71. [Google Scholar] [CrossRef]
- Choi, S.-H.; Kang, J.-S.; Choi, Y.-W.; Lee, Y.-J.; Park, Y.-H.; Kim, M.-R.; Son, B.-G.; Kim, H.-K.; Kim, H.-Y.; Oh, W. Effect of diniconazole on growth and flowering of Vinca rocea and Salvia splendis. J. Life Sci. 2011, 21, 1004–1008. [Google Scholar] [CrossRef]
- Kim, H.M.; Lee, H.R.; Jeong, H.W.; Kim, H.M.; Hwang, S.J. Height Suppression of Cucumber and Tomato Plug Seedlings Using of Brushing Stimulus. J. Bio-Environ. Control 2018, 27, 285–293. [Google Scholar] [CrossRef]
- Giuseppe, D.; Lercari, B. Use of UV radiation for control of height and conditioning of tomato transplants. Sci. Hortic. 1997, 71, 27–34. [Google Scholar]
- Hwang, H.; Jeong, H.; Kim, H.; Hwang, S. Application of mechanical stimulation for overgrowth retardation to tomato grafted seedlings using air circulation fans in greenhouse. In Proceedings of the International Symposium on Advanced Technologies and Management for Innovative Greenhouses: GreenSys2019 1296, Angers, France, 16–20 June 2019; pp. 241–246. [Google Scholar]
- Xu, C.; Kim, S.H.; Kim, D.H.; Kim, J.K.; Heo, J.Y.; Vu, N.T.; Choi, K.Y.; Kim, I.S.; Jang, D.C. Control of Stretching of Tomato (Lycopersicon esculentum Mill.) on Cylindrical Paper Pot Seedling Using High-Salinity Potassium Fertilizers. Prot. Hortic. Plant Fact. 2020, 29, 354–364. [Google Scholar] [CrossRef]
- Kwon, J.-K.; Lee, J.-H.; Choi, Y.-H.; Yu, I.-H.; Hwang, G.-C. Effects of UV-B and Growth Inhibitor on Overgrowth Retardation and Growth and ield after Planting in Fruit-Vegetable Plug Seedlings. J. Bio-Environ. Control 2003, 12, 252–258. [Google Scholar]
- Ohtaka, K.; Yoshida, A.; Kakei, Y.; Fukui, K.; Kojima, M.; Takebayashi, Y.; Yano, K.; Imanishi, S.; Sakakibara, H. Difference between Day and Night Temperatures Affects Stem Elongation in Tomato (Solanum lycopersicum) Seedlings via Regulation of Gibberellin and Auxin Synthesis. Front. Plant Sci. 2020, 11, 577235. [Google Scholar] [CrossRef] [PubMed]
- Jensen, H.K. Effects of duration and degree of pulse-DIF temperatures on plant height and flowering of Kalanchoë blossfeldiana v. Poelln. Sci. Hortic. 1994, 59, 45–54. [Google Scholar] [CrossRef]
- Yang, Z.; Wang, X.; Peng, X.; Zhao, X.; Yuan, X.; Han, X. Effect of difference between day and night temperature on nutrients and dry mass partitioning of tomato in climate chamber. Trans. Chin. Soc. Agric. Eng. 2014, 30, 138–147. [Google Scholar]
- Moe, R. Effect of day and night temperature alternations and of plant growth regulators on stem elongation and flowering of the long-day plant Campanula isophylla Moretti. Sci. Hortic. 1990, 43, 291–305. [Google Scholar] [CrossRef]
- Carvalho, S.; Heuvelink, E.; Cascais, R.; Van Kooten, O. Effect of day and night temperature on internode and stem length in chrysanthemum: Is everything explained by DIF? Ann. Bot. 2002, 90, 111–118. [Google Scholar] [CrossRef]
- Jeong, H.W.; Lee, H.R.; Hwang, H.S.; Kim, E.B.; Hwang, S.J. Growth suppression of tomato plug seedlings as affected by material type for brushing stimulation. J. Bio-Environ. Control 2020, 29, 313–319. [Google Scholar] [CrossRef]
- Xiong, J.; Patil, G.G.; Moe, R. Effect of DIF and end-of-day light quality on stem elongation in Cucumis sativus. Sci. Hortic. 2002, 94, 219–229. [Google Scholar] [CrossRef]
- Lim, K.B.; Chung, J.D.; Oh, J.Y. Influences of DIF on Growth of Capsicum annuum ‘Nokkwang’. Curr. Res. Agric. Life Sci. 1996, 14, 67–75. [Google Scholar]
- Lim, K.B.; Son, K.C.; Chung, J.D. Influences of DIF on plug seedling’s growth and flowering of Impatiens wallerana. J. Korean Soc. Hortic. Sci. 1996, 37, 796–801. [Google Scholar]
- Grimstad, S.O.; Frimanslund, E. Effect of different day and night temperature regimes on greenhouse cucumber young plant production, flower bud formation and early yield. Sci. Hortic. 1993, 53, 191–204. [Google Scholar] [CrossRef]
- Agrawal, M.; Krizek, D.T.; Agrawal, S.B.; Kramer, G.F.; Lee, E.H.; Mirecki, R.M.; Rowland, R.A. Influence of inverse day/night temperature on ozone sensitivity and selected morphological and physiological responses of cucumber. J. Am. Soc. Hortic. Sci. 1993, 118, 649–654. [Google Scholar] [CrossRef]
- Kozai, T.; Kushihashi, S.; Kubota, C.; Fujiwara, K. Effect of the difference between photoperiod and dark period temperatures, and photosynthetic photon flux density on the shoot length and growth of potato plantlets in vitro. J. Jpn. Soc. Hortic. Sci. 1992, 61, 93–98. [Google Scholar] [CrossRef]
- Amsen, M.G.; Jacobsen, L.H.; Brøndum, J.J. Negative D IF: The effect of temperature drop prior to daybreak 00 ioteroode leogth of youog tomato seedliogs. Tidsskr. Planteavl. 1990, 94, 503–506. [Google Scholar]
- Eum, S.; Park, K.; Lee, I.; Choi, Y.; Oh, W.; Kim, K. Effects of foliar-sprayed diniconazole on contents of endogenous gibberellic acids and abscisic acid in Lilium davuricum. Hortic. Sci. Technol. 2011, 29, 165–171. [Google Scholar]
- Wample, R.L.; Culver, E.B. The Influence of Paclobutrozol, a New Growth Regulator, on Sunflowers1. J. Am. Soc. Hortic. Sci. 1983, 108, 122–125. [Google Scholar] [CrossRef]
- Erwin, J.E.; Heins, R.D.; Karlsson, M.G. Thermomorphogenesis in Lilium longiflorum. Am. J. Bot. 1989, 76, 47–52. [Google Scholar] [CrossRef]
- Kim, S.J.; Kim, W.H.; Lee, Y.R.; Jung, H.H. Cut Flower Yields and Qualities of Rosa hybrid Affected by Night Cooling in High Temperature Season. J. Bio-Environ. Control 2023, 32, 15–22. [Google Scholar] [CrossRef]
- Ryan, M.G. Effects of climate change on plant respiration. Ecol. Appl. 1991, 1, 157–167. [Google Scholar] [CrossRef] [PubMed]
- Yun, H.-K.; Seo, T.-C.; Lee, J.-W.; Yang, E.-Y. Effect of triazole growth regulator treatment on the growth of plug seedling and yield of tomato. J. Bio-Environ. Control 2007, 16, 205–209. [Google Scholar]
- Stang, E.; Weis, G. Influence of paclobutrazol plant growth regulator on strawberry plant growth, fruiting, and runner suppression. HortScience 1984, 19, 643–645. [Google Scholar] [CrossRef]
- Lim, K.; Chung, J.; Son, K. Influences of dif on growth and development of plug seedlings of Lycopersicon esculentum before and after transplanting. J. Biol. Prod. Facil. Environ. Control 1997, 6, 15–25. [Google Scholar]
- Kim, H.C.; Ku, Y.-G.; Lee, Y.B.; Lee, J.H.; Choi, J.H.; Bae, J.H. Early growth of sweet pepper by difference between day and night temperature after planting. Hortic. Sci. Technol. 2013, 31, 552–557. [Google Scholar]
- Langton, F.; Cockshull, K. Is stem extension determined by DIF or by absolute day and night temperatures? Sci. Hortic. 1997, 69, 229–237. [Google Scholar] [CrossRef]
- Yang, H.R.; Park, Y.J.; Kim, M.J.; Yeon, J.Y.; Kim, W.S. Growth responses of Korean Endemic Hosta minor under sub-optimal artificial lighting. Hortic. Sci. Technol. 2022, 40, 286–295. [Google Scholar]
- Chung, H.; Lim, Y.; Park, K.; Park, S. The effect of NaCl on the chl fluorescence of barley (Hordeum vulgare L.) leaves. J. Environ. Sci. 2004, 13, 1015–1021. [Google Scholar]
- Sung, J.-H.; Je, S.-M.; Kim, S.-H.; Kim, Y.-K. Effect of calcium chloride CaCl on chlorophyll fluorescence image and photosynthetic apparatus in the leaves of Prunus sargentii. J. Korean Soc. For. Sci. 2010, 99, 922–928. [Google Scholar]
- Byung Chul Jung, C.H.L. Using Chlorophyll fluorescence to study photosynthesis. BioWave 2000, 2, 12. [Google Scholar]
- Choi, J.; Kim, J.; Yoon, H.I.; Son, J.E. Effect of far-red and UV-B light on the growth and ginsenoside content of ginseng (Panax ginseng CA Meyer) sprouts aeroponically grown in plant factories. Hortic. Environ. Biotechnol. 2022, 63, 77–87. [Google Scholar] [CrossRef]
- Lee, J.E.; Kang, S.R.; Kang, S.R.; Na, M.H. Study of photosynthetic performance indicators by chlorophyll fluorescence analysis in cucumber. J. Korean Data Anal. Soc. 2020, 22, 2357–2369. [Google Scholar] [CrossRef]
- Coast, O.; Šebela, D.; Quiñones, C.; Jagadish, S.K. Systematic determination of the reproductive growth stage most sensitive to high night temperature stress in rice (Oryza sativa). Crop Sci. 2020, 60, 391–403. [Google Scholar] [CrossRef]
- Kwack, Y.; An, S. Changes in growth of watermelon scions and rootstocks grown under different air temperature and light intensity conditions in a plant factory with artificial lighting. J. Bio-Environ. Control 2021, 30, 133–139. [Google Scholar] [CrossRef]
- Rural Development Administration (RDA). Analysis Standard for Research in Agricultural Science and Technology; Rural Development Administration of Korea: Jeonju, Republic of Korea, 2012; pp. 503–504. [Google Scholar]
- Lee, H.; Lee, J.G.; Cho, M.C.; Hwang, I.; Hong, K.H.; Kwon, D.H.; Ahn, Y.K. Rootstock Performance of Cherry Tomatoes Grown in Soil Cultivation: Evaluation of Growth, Yield, and Photosynthesis. Hortic. Sci. Technol. 2022, 40, 376–387. [Google Scholar]
- Singh, V.P.; Srivastava, P.K.; Prasad, S.M. Nitric oxide alleviates arsenic-induced toxic effects in ridged Luffa seedlings. Plant Physiol. Biochem. 2013, 71, 155–163. [Google Scholar] [CrossRef]






| Crop | Treatment (°C) | Hypocotyl Length (cm) | Epicotyl Length (cm) | Stem Diameter (mm) | Leaf Chlorophyll (SPAD) | Leaf Area (cm2) | Dwarf Rate z (%) |
|---|---|---|---|---|---|---|---|
| Cucumber | Con | 6.6 ± 0.7 a y | 1.4 ± 0.3 c | 3.0 ± 0.2 d | 33.6 ± 3.6 b | 62.3 ± 9.9 d | 0 b |
| 25/15 | 5.1 ± 0.9 b | 8.2 ± 1.9 a | 5.1 ± 0.3 a | 39.8 ± 3.6 a | 197.7 ± 19.2 a | −66.7 ± 31.6 d | |
| 20/20 | 4.4 ± 0.7 c | 5.6 ± 1.4 b | 4.4 ± 0.3 b | 34.8 ± 4.7 b | 171.8 ± 13.5 b | −24.7 ± 24.4 c | |
| 15/25 | 3.5 ± 0.5 d | 1.8 ± 0.4 c | 3.5 ± 0.3 c | 24.9 ± 2.7 c | 117.5 ± 13.8 c | 33.3 ± 8.7 a | |
| Tomato | Con | 4.3 ± 0.3 b | 1.7 ± 0.3 c | 1.8 ± 0.2 a | 47.1 ± 3.2 a | 14.1 ± 2.1 b | 0 b |
| 25/15 | 5.0 ± 0.5 a | 2.5 ± 0.4 a | 1.6 ± 0.2 b | 40.1 ± 4.4 b | 14.7 ± 2.7 b | −24.1 ± 10.9 c | |
| 20/20 | 3.7 ± 0.6 c | 2.3 ± 0.5 b | 1.8 ± 0.2 a | 38.6 ± 3.6 b | 21.9 ± 5.1 a | 0.8 ± 11.5 b | |
| 15/25 | 3.2 ± 0.2 d | 1.5 ± 0.3 d | 1.8 ± 0.2 a | 36.4 ± 3.3 c | 15.6 ± 3.2 b | 22.2 ± 5.9 a | |
| Significance x | Crop (A) | *** | *** | *** | *** | *** | *** |
| Treatment (B) | *** | *** | *** | *** | *** | *** | |
| A × B | *** | *** | *** | *** | *** | *** |
| Crop | Treatment (°C) | Fresh Weight (g) | Dry Weight (g) | Dry Matter Rate z (%) | |||
|---|---|---|---|---|---|---|---|
| Shoot | Root | Shoot | Root | Shoot | Root | ||
| Cucumber | Con | 2.68 ± 0.39 d y | 0.60 ± 0.11 bc | 0.230 ± 0.036 c | 0.025 ± 0.004 b | 8.6 ± 0.8 c | 4.2 ± 0.3 b |
| 25/15 | 7.93 ± 0.87 a | 0.81 ± 0.18 ab | 0.629 ± 0.113 a | 0.034 ± 0.009 a | 7.9 ± 1.1 d | 4.2 ± 0.4 b | |
| 20/20 | 6.44 ± 0.61 b | 0.87 ± 0.41 a | 0.611 ± 0.097 a | 0.032 ± 0.007 a | 9.5 ± 1.5 b | 4.1 ± 1.0 b | |
| 15/25 | 3.99 ± 0.55 c | 0.50 ± 0.17 c | 0.444 ± 0.101 b | 0.023 ± 0.006 b | 11.0 ± 1.5 a | 4.8 ± 0.6 a | |
| Tomato | Con | 0.76 ± 0.14 a | 0.18 ± 0.04 a | 0.069 ± 0.012 b | 0.010 ± 0.002 a | 9.0 ± 0.8 b | 6.0 ± 2.5 b |
| 25/15 | 0.59 ± 0.11 b | 0.10 ± 0.04 b | 0.062 ± 0.014 b | 0.007 ± 0.001 b | 10.5 ± 1.0 a | 8.2 ± 2.0 a | |
| 20/20 | 0.79 ± 0.19 a | 0.10 ± 0.04 b | 0.079 ± 0.021 a | 0.006 ± 0.002 b | 10.1 ± 1.2 a | 6.6 ± 2.2 b | |
| 15/25 | 0.60 ± 0.12 b | 0.12 ± 0.04 b | 0.061 ± 0.013 b | 0.007 ± 0.002 b | 10.3 ± 2.3 a | 6.2 ± 1.3 b | |
| Significance x | Crop (A) | *** | *** | *** | *** | *** | *** |
| Treatment (B) | *** | *** | *** | *** | *** | *** | |
| A × B | *** | *** | *** | *** | *** | *** | |
| Crop | Treatment | F0 | FM | Fv | Fv/FM z | FM/F0 |
|---|---|---|---|---|---|---|
| Cucumber | Control | 7192.5 ± 322.3 b y | 35,388.0 ± 951.9 b | 28,195.5 ± 662.6 bc | 0.797 ± 0.005 a | 4.92 ± 0.12 a |
| +DIF | 7526.0 ± 517.9 ab | 39,264.8 ± 4776.8 b | 31,738.8 ± 4909.5 b | 0.806 ± 0.033 a | 5.24 ± 0.76 a | |
| 0DIF | 7972.8 ± 401.8 a | 45,076.0 ± 3950.4 a | 37,103.3 ± 4115.4 a | 0.822 ± 0.020 a | 5.67 ± 0.67 a | |
| −DIF | 5169.5 ± 156.5 c | 29,364.3 ± 1426.6 c | 24,194.8 ± 1347.1 c | 0.824 ± 0.008 a | 5.68 ± 0.25 a | |
| Tomato | Control | 5256.5 ± 209.6 c | 37,061.3 ± 1041.3 bc | 31,804.8 ± 840.7 b | 0.858 ± 0.002 a | 7.05 ± 0.10 a |
| +DIF | 5901.5 ± 264.3 b | 38,334.3 ± 2051.4 b | 32,432.8 ± 1801.4 b | 0.846 ± 0.003 c | 6.49 ± 0.11 c | |
| 0DIF | 6371.8 ± 200.6 a | 42,337.3 ± 1619.3 a | 35,965.5 ± 1424.1 a | 0.850 ± 0.002 bc | 6.64 ± 0.07 bc | |
| −DIF | 5229.5 ± 220.1 c | 35,582.8 ± 1069.7 c | 30,353.3 ± 949.8 b | 0.853 ± 0.005 b | 6.81 ± 0.23 b | |
| Significance x | Crop (A) | *** | NS | * | *** | *** |
| Treatment (B) | *** | *** | *** | NS | NS | |
| A × B | *** | ** | * | NS | * |
| Parameter | Equation | Definition |
|---|---|---|
| F0 | Minimal fluorescence yield of dark-adapted PSII | |
| Fj | Fluorescence intensity at J-step (at 2 ms) | |
| Fi | Fluorescence intensity at I-step (at 60 ms) | |
| FM | Maximal fluorescence yield of dark-adapted PSII | |
| FM/F0 | Electron transport rate through PSII | |
| FV/FM | FV/FM = (FM − F0)/FM | Maximum quantum yield of dark-adapted PSII |
Disclaimer/Publisher’s Note: The statements, opinions and data contained in all publications are solely those of the individual author(s) and contributor(s) and not of MDPI and/or the editor(s). MDPI and/or the editor(s) disclaim responsibility for any injury to people or property resulting from any ideas, methods, instructions or products referred to in the content. |
© 2023 by the authors. Licensee MDPI, Basel, Switzerland. This article is an open access article distributed under the terms and conditions of the Creative Commons Attribution (CC BY) license (https://creativecommons.org/licenses/by/4.0/).
Share and Cite
Kim, Y.H.; Yang, H.C.; Bae, Y.H.; Hyeon, S.J.; Hwang, S.J.; Kim, D.H.; Jang, D.C. Preventing Overgrowth of Cucumber and Tomato Seedlings Using Difference between Day and Night Temperature in a Plant Factory with Artificial Lighting. Plants 2023, 12, 3164. https://doi.org/10.3390/plants12173164
Kim YH, Yang HC, Bae YH, Hyeon SJ, Hwang SJ, Kim DH, Jang DC. Preventing Overgrowth of Cucumber and Tomato Seedlings Using Difference between Day and Night Temperature in a Plant Factory with Artificial Lighting. Plants. 2023; 12(17):3164. https://doi.org/10.3390/plants12173164
Chicago/Turabian StyleKim, Young Ho, Hwi Chan Yang, Yun Hyeong Bae, Soon Jae Hyeon, Seung Jae Hwang, Dea Hoon Kim, and Dong Cheol Jang. 2023. "Preventing Overgrowth of Cucumber and Tomato Seedlings Using Difference between Day and Night Temperature in a Plant Factory with Artificial Lighting" Plants 12, no. 17: 3164. https://doi.org/10.3390/plants12173164
APA StyleKim, Y. H., Yang, H. C., Bae, Y. H., Hyeon, S. J., Hwang, S. J., Kim, D. H., & Jang, D. C. (2023). Preventing Overgrowth of Cucumber and Tomato Seedlings Using Difference between Day and Night Temperature in a Plant Factory with Artificial Lighting. Plants, 12(17), 3164. https://doi.org/10.3390/plants12173164

