Dose-Dependent and Species-Specific Effects of Wood Distillate Addition on the Germination Performance of Threatened Arable Plants
Abstract
:1. Introduction
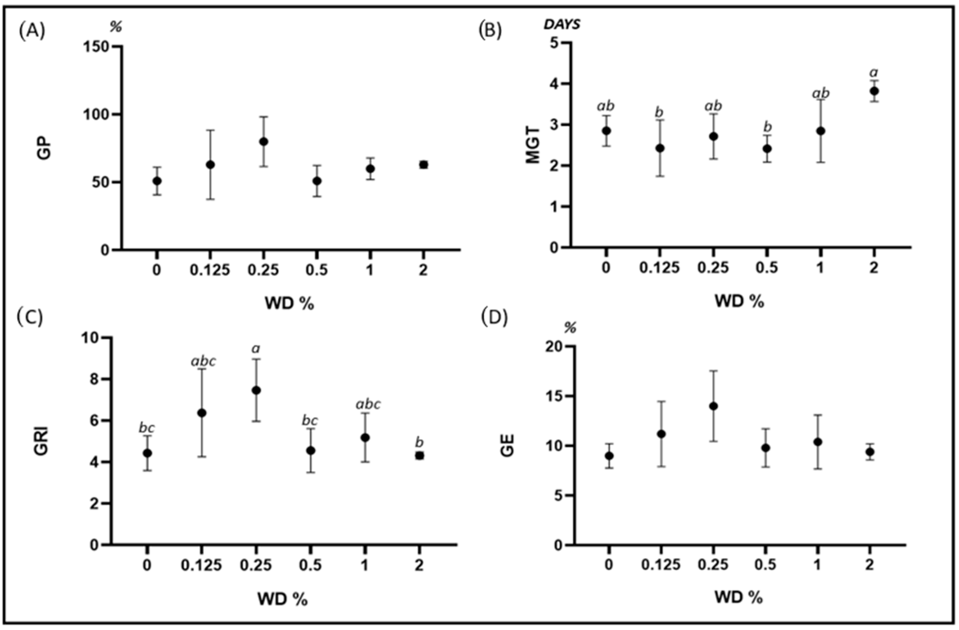
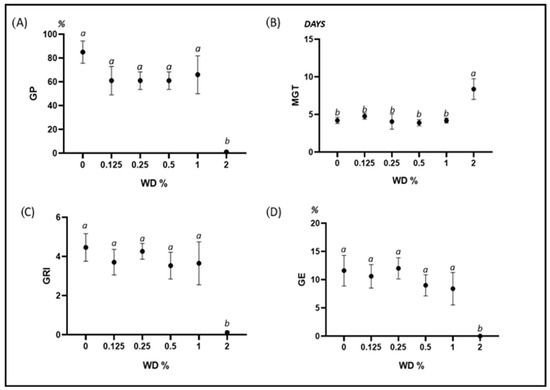
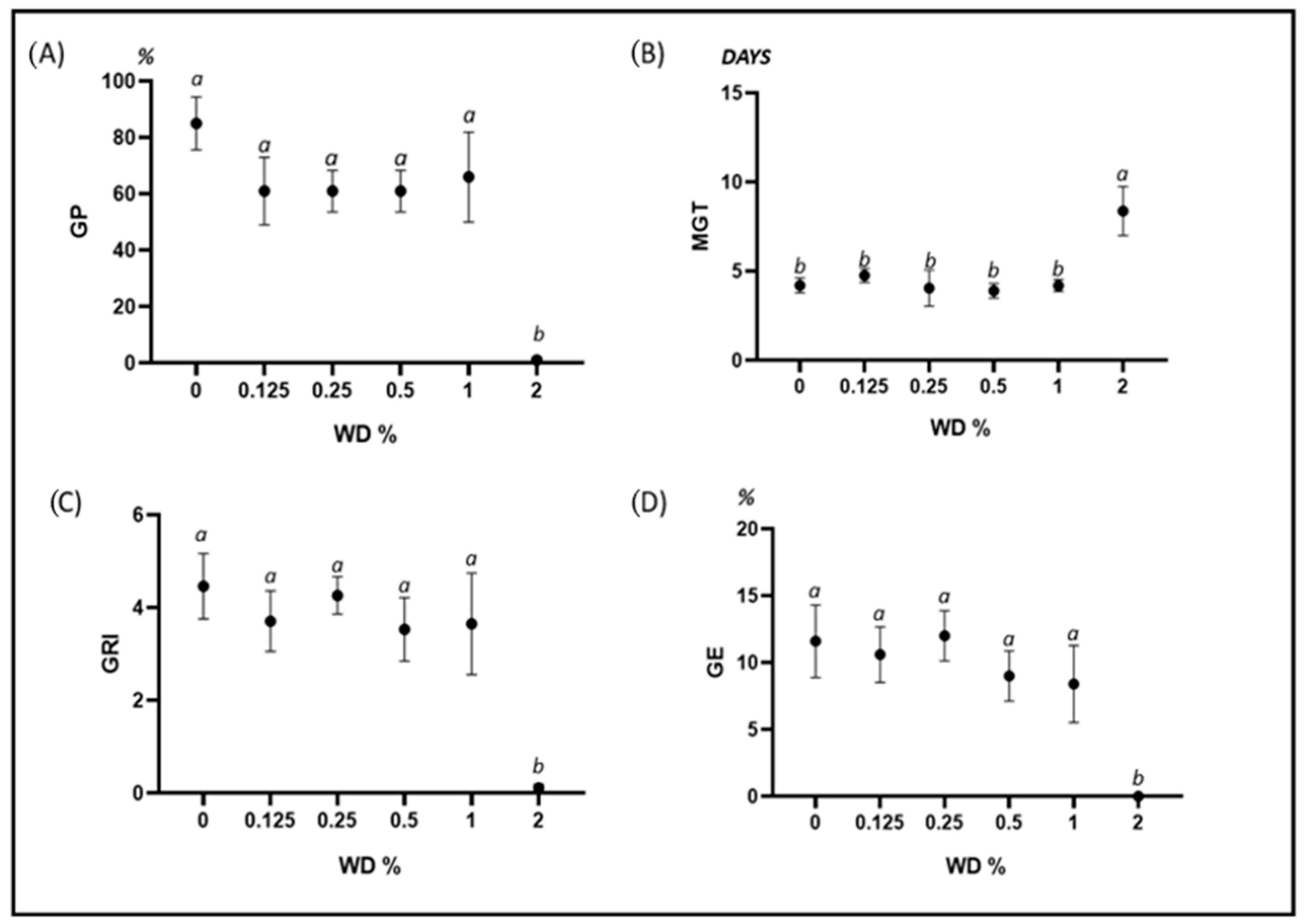
2. Results
3. Discussion
4. Materials and Methods
4.1. Selected Plant Species
4.2. Wood Distillate
4.3. Seed Germination Assay
4.4. Germination Parameters
- I.
- Germination percentage (GP), calculated according to Czabator [61]:
- II.
- Mean germination time (MGT), calculated according to Ellis and Roberts [62]:
- III.
- Germination rate index (GRI), calculated according to Hossein et al. [63]:
- IV.
- Germination energy (GE), calculated according to Czabator [61]:
4.5. Statistical Analyses
5. Conclusions
Author Contributions
Funding
Data Availability Statement
Acknowledgments
Conflicts of Interest
References
- Holzner, W. Weed species and weed communities. In Plant Species and Plant Communities, Proceedings of the International Symposium Held at Nijmegen, The Netherlands, 11–12 November 1976; 1976 in Honour of Professor Dr. Victor Westhoff on the Occasion of His Sixtieth Birthday; Springer: Nijmegen, The Netherlands, 1978; pp. 119–126. [Google Scholar]
- Storkey, J.; Westbury, D.B. Managing arable weeds for biodiversity. Pest. Manag. Sci. Former. Pestic. Sci. 2007, 63, 517–523. [Google Scholar] [CrossRef] [PubMed]
- Bretagnolle, V.; Gaba, S. Weeds for bees? A review. Agron. Sustain. Dev. 2015, 35, 891–909. [Google Scholar] [CrossRef]
- Fanfarillo, E.; Maccherini, S.; Angiolini, C.; de Simone, L.; Fiaschi, T.; Tassinari, A.; Rosati, L.; Bacaro, G. Drivers of diversity of arable plant communities in one of their european conservation hotspots. Biodivers. Conserv. 2023, 32, 2055–2075. [Google Scholar] [CrossRef]
- Adeux, G.; Vieren, E.; Carlesi, S.; Bàrberi, P.; Munier-Jolain, N.; Cordeau, S. Mitigating crop yield losses through weed diversity. Nat. Sustain. 2019, 2, 1018–1026. [Google Scholar] [CrossRef]
- Esposito, M.; Westbrook, A.S.; Maggio, A.; Cirillo, V.; DiTommaso, A. Neutral weed communities: The intersection between crop productivity, biodiversity, and weed ecosystem services. Weed Sci. 2023, 71, 301–311. [Google Scholar] [CrossRef]
- Storkey, J.; Meyer, S.; Still, K.S.; Leuschner, C. The impact of agricultural intensification and land-use change on the European arable flora. Proc. R. Soc. B 2012, 279, 1421–1429. [Google Scholar] [CrossRef]
- Meyer, S.; Wesche, K.; Krause, B.; Leuschner, C. Dramatic losses of specialist arable plants in Central Germany since the 1950s/60s—A cross-regional analysis. Divers. Distrib. 2013, 19, 1175–1187. [Google Scholar] [CrossRef]
- Richner, N.; Holderegger, R.; Linder, H.P.; Walter, T. Reviewing change in the arable flora of Europe: A meta-analysis. Weed Res. 2015, 55, 1–13. [Google Scholar] [CrossRef]
- Fried, G.; Chauvel, B.; Reboud, X. A functional analysis of large-scale temporal shifts from 1970 to 2000 in weed assemblages of sunflower crops in France. J. Veg. Sci. 2009, 20, 49–58. [Google Scholar] [CrossRef]
- Fried, G.; Chauvel, B.; Reboud, X. Weed flora shifts and specialisation in winter oilseed rape in F rance. Weed Res. 2015, 55, 514–524. [Google Scholar] [CrossRef]
- Fanfarillo, E.; Kasperski, A.; Giuliani, A.; Abbate, G. Shifts of arable plant communities after agricultural intensification: A floristic and ecological diachronic analysis in maize fields of Latium (central Italy). Bot. Lett. 2019, 166, 356–365. [Google Scholar] [CrossRef]
- Janssen, J.A.M.; Rodwell, J.S.; Criado, M.G.; Gubbay, S.; Haynes, T.; Nieto, A.; Calix, M. European Red List of Habitats; Publications Office of the European Union: Luxembourg, 2016. [Google Scholar]
- Orsenigo, S.; Fenu, G.; Gargano, D.; Montagnani, C.; Abeli, T.; Alessandrini, A.; Rossi, G. Red list of threatened vascular plants in Italy. Plant Biosyst. 2021, 155, 310–335. [Google Scholar] [CrossRef]
- Gomes, M.P.; da Silva Cruz, F.V.; Bicalho, E.M.; Borges, F.V.; Fonseca, M.B.; Juneau, P.; Garcia, Q.S. Effects of glyphosate acid and the glyphosate-commercial formulation (Roundup) on Dimorphandra wilsonii seed germination: Interference of seed respiratory metabolism. Environ. Poll. 2017, 220, 452–459. [Google Scholar] [CrossRef] [PubMed]
- Maldani, M.; Aliyat, F.Z.; Cappello, S.; Morabito, M.; Giarratana, F.; Nassiri, L.; Ibijbijen, J. Effect of glyphosate and paraquat on seed germination, amino acids, photosynthetic pigments and plant morphology of Vicia faba, Phaseolus vulgaris and Sorghum bicolor. Environ. Dev. Sustain. 2021, 4, 723–733. [Google Scholar] [CrossRef]
- Tang, F.H.; Lenzen, M.; McBratney, A.; Maggi, F. Risk of pesticide pollution at the global scale. Nat. Geosci. 2021, 14, 206–210. [Google Scholar] [CrossRef]
- UN General Assembly, Transforming Our World: The 2030 Agenda for Sustainable Development, 21 October 2015, A/RES/70/1. Available online: https://www.refworld.org/docid/57b6e3e44.html (accessed on 15 July 2023).
- Italian Ministerial Decree 6793. Available online: https://www.gazzettaufficiale.it/eli/id/2018/09/05/18A05693/sg (accessed on 18 July 2023).
- Fedeli, R.; Vannini, A.; Grattacaso, M.; Loppi, S. Wood distillate (pyroligneous acid) boosts nutritional traits of potato tubers. Ann. Appl. Biol. 2023, 182, 57–64. [Google Scholar] [CrossRef]
- Fedeli, R.; Vannini, A.; Celletti, S.; Maresca, V.; Munzi, S.; Cruz, C.; Loppi, S. Foliar application of wood distillate boosts plant yield and nutritional parameters of chickpea. Ann. Appl. Biol. 2023, 182, 57–64. [Google Scholar] [CrossRef]
- Zulkarami, B.; Ashrafuzzaman, M.; Husni, M.O.; Ismail, M.R. Effect of pyroligneous acid on growth, yield and quality improvement of rockmelon in soilless culture. AJCS 2011, 5, 1508–1514. [Google Scholar]
- Vannini, A.; Fedeli, R.; Guarnieri, M.; Loppi, S. Foliar application of wood distillate alleviates ozone-induced damage in lettuce (Lactuca sativa L.). Toxics 2022, 10, 178. [Google Scholar] [CrossRef]
- Fanfarillo, E.; Fedeli, R.; Fiaschi, T.; de Simone, L.; Vannini, A.; Angiolini, C.; Maccherini, S. Effects of wood distillate on seedling emergence and first-stage growth in five threatened arable plants. Diversity 2022, 14, 669. [Google Scholar] [CrossRef]
- Abu, Y.; Romo, J.T.; Bai, Y.; Coulman, B. Priming seeds in aqueous smoke solutions to improve seed germination and biomass production of perennial forage species. Can. J. Plant Sci. 2016, 96, 551–563. [Google Scholar] [CrossRef]
- Simma, B.; Polthanee, A.; Goggi, A.S.; Siri, B.; Promkhambut, A.; Caragea, P.C. Wood vinegar seed priming improves yield and suppresses weeds in dryland direct-seeding rice under rainfed production. ASD 2017, 37, 56. [Google Scholar] [CrossRef]
- Mu, J.; Uehara, T.; Furuno, T. Effect of bamboo vinegar on regulation of germination and radicle growth of seed plants. J. Wood Sci. 2003, 49, 262–270. [Google Scholar] [CrossRef]
- Maresca, V.; Fedeli, R.; Vannini, A.; Munzi, S.; Cruz, C.; Loppi, S. Wood distillate enhances seed germination of chickpea, lettuce, and basil. Turk. J. Bot. 2023. under review. [Google Scholar]
- Chiwocha, S.D.S.; Dixon, K.W.; Flematti, G.R.; Ghisalberti, E.L.; Merritt, D.J.; Nelson, D.C.; Riseborough, J.A.M.; Smith, S.M.; Stevens, J.C. Karrikins: A new family of plant growth regulators in smoke. Plant Sci. 2009, 177, 252–256. [Google Scholar] [CrossRef]
- Dixon, K.W.; Merritt, D.J.; Flematti, G.R.; Ghisalberti, E.L. Karrikinolide—A phytoreactive compound derived from smoke with applications in horticulture, ecological restoration and agriculture. Acta Hortic. 2009, 813, 155–170. [Google Scholar] [CrossRef]
- Lei, M.; Liu, B.; Wang, X. Effect of adding wood vinegar on cucumber (Cucumis sativus L.) seed germination. In IOP Conference Series: Earth and Environmental Science 2018; IOP Publishing: Bristol, UK, 2018; Volume 128, p. 012186. [Google Scholar] [CrossRef]
- Kulkarni, M.G.; Ascough, G.D.; Verschaeve, L.; Baeten, K.; Arruda, M.P.; Van Staden, J. Effect of smoke-water and a smoke-isolated butenolide on the growth and genotoxicity of commercial onion. Sci. Hortic. 2010, 124, 434–439. [Google Scholar] [CrossRef]
- Nelson, D.C.; Flematti, G.R.; Ghisalberti, E.L.; Dixon, K.W.; Smith, S.M. Regulation of seed germination and seedling growth by chemical signals from burning vegetation. Annu. Rev. Plant Biol. 2012, 63, 107–130. [Google Scholar] [CrossRef]
- Berahim, Z.; Panhwar, Q.A.; Ismail, M.R.; Saud, H.M.; Monjurul, M.; Mondal, A.; Naher, U.A.; Islam, M.R. Rice yield improvement by foliar application of phytohormone. J. Food Agric. Environ. 2014, 12, 399–404. [Google Scholar]
- Fedeli, R.; Vannini, A.; Guarnieri, M.; Monaci, F.; Loppi, S. Bio-based solutions for agriculture: Foliar application of wood distillate alone and in combination with other plant-derived corroborants results in different effects on lettuce (Lactuca sativa L.). Biology 2022, 11, 404. [Google Scholar] [CrossRef]
- Theerakulpisut, P.; Kanawapee, N.; Panwong, B. Seed priming alleviated salt stress effects on rice seedlings by improving Na+/K+ and maintaining membrane integrity. Int. J. Plant Biol. 2016, 7, 6402. [Google Scholar] [CrossRef]
- Luo, X.; Wang, Z.; Meki, K.; Wang, X.; Liu, B.; Zheng, H.; Li, F. Effect of co-application of wood vinegar and biochar on seed germination and seedling growth. J. Soils Sediments 2019, 19, 3934–3944. [Google Scholar] [CrossRef]
- Bianchi, E.; Benesperi, R.; Giordani, P.; Martire, L.; Favero-Longo, S.E.; Loppi, S. Wood distillate as an alternative bio-based product against lichens on sandstone. Int. Biodeterior. 2022, 170, 105386. [Google Scholar] [CrossRef]
- Liu, X.; Zhan, Y.; Li, X.; Li, Y.; Feng, X.; Bagavathiannan, M.; Yu, J. The use of wood vinegar as a non-synthetic herbicide for control of broadleaf weeds. Ind. Crops Prod. 2021, 173, 114105. [Google Scholar] [CrossRef]
- Hyvönen, T.T.; Hagner, M.M.; Hurme, T.K.; Lindqvist, B.E.; Ojanen, H.J. Control of Heracleum mantegazzianum with pyrolysis liquid products. Weed Res. 2023, 1–6. [Google Scholar] [CrossRef]
- Domenghini, J.C. Comparison of acetic acid to glyphosate for weed suppression in the garden. HortTechnology 2020, 30, 82–87. [Google Scholar] [CrossRef]
- Pignatti, S.; Guarino, R.; La Rosa, M. Flora d’Italia, 2nd ed.; Edagricole di New Business Media: Bologna, Italy, 2017–2019. [Google Scholar]
- Darwin, C. On the Origin of Species; Murray: London, UK, 1859. [Google Scholar]
- Milla, R.; Iriondo, A.E.M. Congruence between geographic range distribution and local competitive ability of two Lupinus species. Am. J. Bot. 2011, 98, 1456–1464. [Google Scholar] [CrossRef]
- Qi, M.; Sun, T.; Xue, S.; Yang, W.; Shao, D.; Martínez-López, J. Competitive ability, stress tolerance and plant interactions along stress gradients. Ecology 2018, 99, 848–857. [Google Scholar] [CrossRef]
- Yang, X.; Zhao, K.; Yan, C.; Wang, B.; Zhang, Z. Impacts of moderateness and cobalancedness in seed mass and coat thickness on seed dispersal effectiveness of Quercus variabilis by rodents. Plant Ecol. 2023, 224, 283–297. [Google Scholar] [CrossRef]
- Mohamed-Yasseen, Y.; Barringer, S.A.; Splittstoesser, W.E.; Costanza, S. The role of seed coats in seed viability. Bot. Rev. 1994, 60, 426–439. [Google Scholar] [CrossRef]
- Hu, X.W.; Wang, Y.R.; Wu, Y.P. Effects of the pericarp on imbibition, seed germination, and seedling establishment in seeds of Hedysarum scoparium Fisch. et Mey. Ecol. Res. 2009, 24, 559–564. [Google Scholar] [CrossRef]
- Salanenka, Y.A.; Taylor, A.G. Seedcoat Permeability: Uptake and Post-germination Transport of Applied Model Tracer Compounds. HortScience 2011, 46, 622–626. [Google Scholar] [CrossRef]
- Turnbull, L.A.; Philipson, C.D.; Purves, D.W.; Atkinson, R.L.; Cunniff, J.; Goodenough, A.; Rees, M. Plant growth rates and seed size: A re-evaluation. Ecology 2012, 93, 1283–1289. [Google Scholar] [CrossRef]
- Fanfarillo, E.; Latini, M.; Iberite, M.; Bonari, G.; Nicolella, G.; Rosati, L.; Abbate, G. The segetal flora of winter cereals and allied crops in Italy: Species inventory with chorological, structural and ecological features. Plant Biosyst. 2020, 154, 935–946. [Google Scholar] [CrossRef]
- Botanic Gardens Conservation International. 2022. Available online: https://www.bgci.org/ (accessed on 10 May 2023).
- Acta Plantarum, from 2007 on—“Galleria della Flora”. Available online: https://www.actaplantarum.org/galleria_flora/galleria1.php?view=1&id=2078 (accessed on 2 August 2023).
- Acta Plantarum, from 2007 on—“Galleria della Flora”. Available online: https://www.actaplantarum.org/galleria_flora/galleria1.php?view=1&id=4206 (accessed on 2 August 2023).
- Acta Plantarum, from 2007 on—“Galleria della Flora”. Available online: https://www.actaplantarum.org/galleria_flora/galleria1.php?view=1&id=665 (accessed on 2 August 2023).
- Grewal, A.; Abbey, L.; Gunupuru, L.R. Production, prospects and potential application of pyroligneous acid in agriculture. J. Anal. Appl. Pyrolysis 2018, 135, 152–159. [Google Scholar] [CrossRef]
- Wei, Q.; Ma, X.; Dong, J. Preparation, chemical constituents and antimicrobial activity of pyroligneous acids from walnut tree branches. J. Anal. Appl. Pyrolysis 2010, 87, 24–28. [Google Scholar] [CrossRef]
- Zhu, K.; Gu, S.; Liu, J.; Luo, T.; Khan, Z.; Zhang, K.; Hu, L. Wood vinegar as a complex growth regulator promotes the growth, yield, and quality of rapeseed. Agronomy 2021, 11, 510. [Google Scholar] [CrossRef]
- Ma, J.; Islam, F.; Ayyaz, A.; Fang, R.; Hannan, F.; Farooq, M.A.; Zhou, W. Wood vinegar induces salinity tolerance by alleviating oxidative damages and protecting photosystem II in rapeseed cultivars. Ind. Crops Prod. 2022, 189, 115763. [Google Scholar] [CrossRef]
- BioDea. Available online: https://biodea.bio/bio-wood-distillate/?lang=en (accessed on 2 August 2023).
- Czabator, F.J. Germination value: An index combining speed and completeness of pine seed germination. For. Sci. 1962, 8, 386–396. [Google Scholar]
- Ellis, R.H.; Roberts, E.H. An investigation into the possible effects of ripeness and repeated threshing on barley seed longevity under six different storage environments. Ann. Bot. 1981, 48, 93–96. [Google Scholar] [CrossRef]
- Hosseini, H.R.; Chehrazi, M.; Nabati Ahmadi, D.; Mahmoodi Sorestani, M. Study the Effects of Colchicine Treatment on Generation of Autopolyploidy in Catharanthus roseus cvs. Rosea and Alba (Doctoral dissertation). Master’s Thesis, Shahid Chamran University of Ahvaz, Ahvaz, Iran, 2013. [Google Scholar]
- R Core Team. R: A Language and Environment for Statistical Computing; R Foundation for Statistical Computing: Vienna, Austria, 2023; Available online: https://www.R-project.org/ (accessed on 23 June 2023).
- GraphPad Software, Inc. Available online: http://www.graphpad.com/faq/viewfaq.cfm?faq=1362 (accessed on 25 July 2023).



| Bromus secalinus L. | |||||||||
| Source of variation | GP | MGT | GRI | GE | |||||
| df | MS | F | MS | F | MS | F | MS | F | |
| WD addition | 5 | 2.33 | 94.33 *** | 1.53 | 26.73 *** | 2.64 | 58.65 *** | 0.92 | 125.4 *** |
| Residuals | 24 | 0.02 | 0.06 | 0.05 | 0.01 | ||||
| Centaurea cyanus L. | |||||||||
| Source of variation | GP | MGT | GRI | GE | |||||
| df | MS | F | MS | F | MS | F | MS | F | |
| WD addition | 5 | 0.03 | 2.34 | 0.11 | 3.81 * | 0.34 | 4.47 ** | 0.02 | 2.20 |
| Residuals | 24 | 0.01 | 0.69 | 0.08 | 0.01 | ||||
| Legousia speculum-veneris (L.) Chaix | |||||||||
| Source of variation | GP | MGT | GRI | GE | |||||
| df | MS | F | MS | F | MS | F | MS | F | |
| WD addition | 5 | 2.96 | 188.6 *** | 5.29 | 405.1 *** | 4.71 | 200.7 *** | 2.26 | 447.2 *** |
| Residuals | 24 | 0.01 | 0.01 | 0.02 | 0.01 | ||||
Disclaimer/Publisher’s Note: The statements, opinions and data contained in all publications are solely those of the individual author(s) and contributor(s) and not of MDPI and/or the editor(s). MDPI and/or the editor(s) disclaim responsibility for any injury to people or property resulting from any ideas, methods, instructions or products referred to in the content. |
© 2023 by the authors. Licensee MDPI, Basel, Switzerland. This article is an open access article distributed under the terms and conditions of the Creative Commons Attribution (CC BY) license (https://creativecommons.org/licenses/by/4.0/).
Share and Cite
Fedeli, R.; Fiaschi, T.; Angiolini, C.; Maccherini, S.; Loppi, S.; Fanfarillo, E. Dose-Dependent and Species-Specific Effects of Wood Distillate Addition on the Germination Performance of Threatened Arable Plants. Plants 2023, 12, 3028. https://doi.org/10.3390/plants12173028
Fedeli R, Fiaschi T, Angiolini C, Maccherini S, Loppi S, Fanfarillo E. Dose-Dependent and Species-Specific Effects of Wood Distillate Addition on the Germination Performance of Threatened Arable Plants. Plants. 2023; 12(17):3028. https://doi.org/10.3390/plants12173028
Chicago/Turabian StyleFedeli, Riccardo, Tiberio Fiaschi, Claudia Angiolini, Simona Maccherini, Stefano Loppi, and Emanuele Fanfarillo. 2023. "Dose-Dependent and Species-Specific Effects of Wood Distillate Addition on the Germination Performance of Threatened Arable Plants" Plants 12, no. 17: 3028. https://doi.org/10.3390/plants12173028
APA StyleFedeli, R., Fiaschi, T., Angiolini, C., Maccherini, S., Loppi, S., & Fanfarillo, E. (2023). Dose-Dependent and Species-Specific Effects of Wood Distillate Addition on the Germination Performance of Threatened Arable Plants. Plants, 12(17), 3028. https://doi.org/10.3390/plants12173028

