Photosynthetic Acclimation of Shade-Grown Soybean Seedlings to a High-Light Environment
Abstract
1. Introduction
2. Methods
2.1. Experimental Design
2.2. Gas Exchange Characteristics
2.3. Chlorophyll Fluorescence
2.4. Chlorophyll Content
2.5. Growth Characteristics
2.6. Statistical Analysis
3. Results
3.1. Leaf Chlorophyll Content
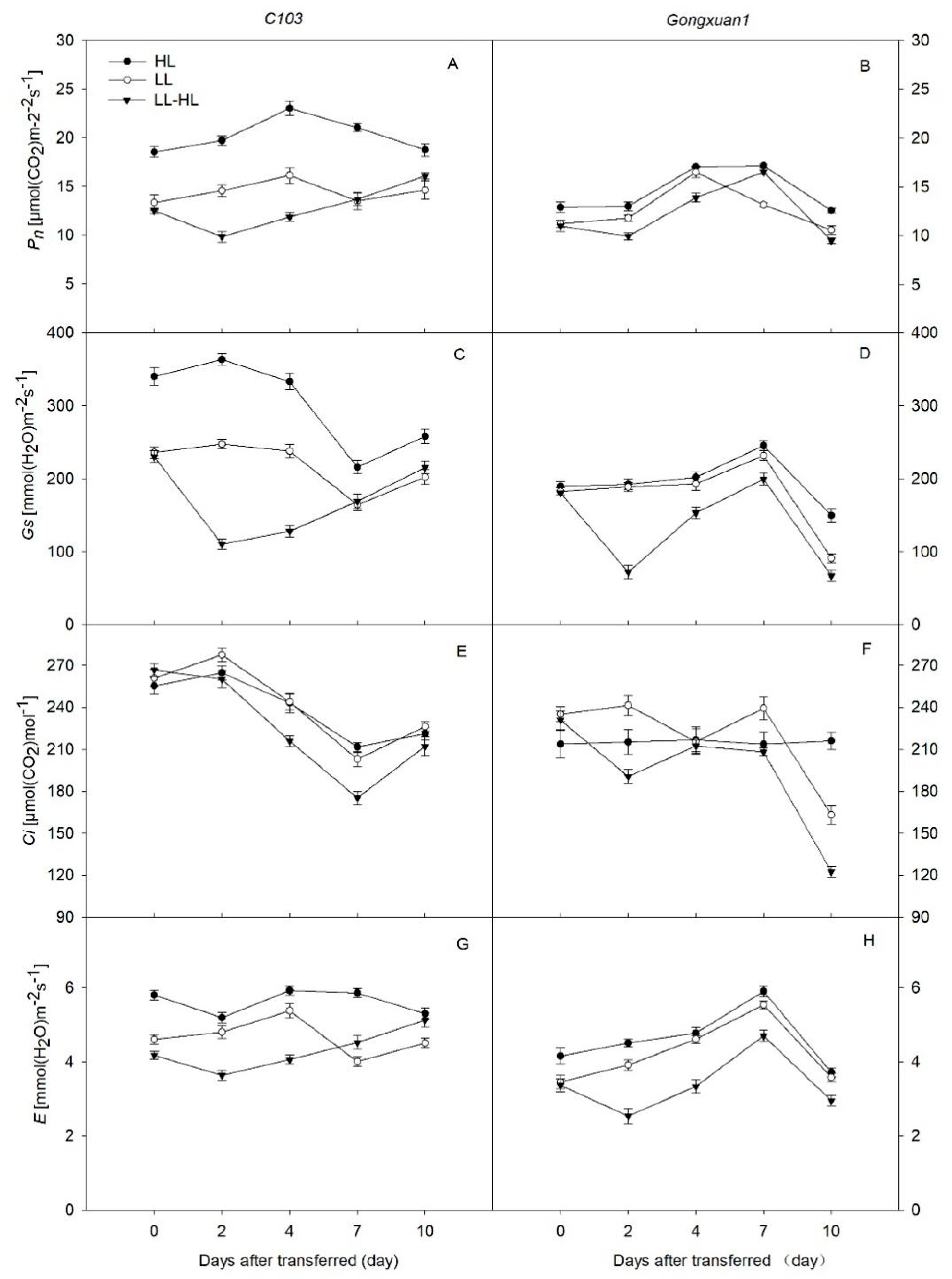
3.2. Gas Exchange Characteristics
3.3. Chlorophyll Fluorescence
3.4. Growth Characteristics
3.5. Leaf Morphological Traits
4. Discussion
4.1. Physiological Acclimation
4.2. Morphological Acclimation
5. Conclusions
Author Contributions
Funding
Data Availability Statement
Conflicts of Interest
References
- Godfray, H.C.J.; Beddington, J.R.; Crute, I.R.; Haddad, L.; Lawrence, D.; Muir, J.F.; Pretty, J.; Robinson, S.; Thomas, S.M.; Toulmin, C. Food Security: The Challenge of Feeding 9 Billion People. Science 2010, 327, 812–818. [Google Scholar] [CrossRef] [PubMed]
- Seleiman, M.F.; Selim, S.; Alhammad, B.A.; Alharbi, B.M.; Juliatti, F.C. Will novel coronavirus (COVID-19) pandemic impact agriculture, food security and animal sectors? Biosci. J. 2020, 36, 1315–1326. [Google Scholar] [CrossRef]
- Lithourgidis, A.; Dordas, C.; Damalas, C.; Vlachostergios, D. Annual intercrops: An alternative pathway for sustainable agriculture. Aust. J. Crop Sci. 2011, 5, 396–410. [Google Scholar]
- Malezieux, E.; Crozat, Y.; Dupraz, C.; Laurans, M.; Makowski, D.; Ozier-Lafontaine, H.; Rapidel, B.; De Tourdonnet, S.; Valantin-Morison, M. Mixing plant species in cropping systems: Concepts, tools and models. A review. Agron. Sustain. Dev. 2009, 29, 43–62. [Google Scholar] [CrossRef]
- Ainsworth, E.A.; Yendrek, C.R.; Skoneczka, J.A.; Long, S.P. Accelerating yield potential in soybean: Potential targets for biotechnological improvement. Plant Cell Environ. 2012, 35, 38–52. [Google Scholar] [CrossRef]
- Echarte, L.; Della Maggiora, A.; Cerrudo, D.; Gonzalez, V.H.; Abbate, P.; Cerrudo, A.; Sadras, V.O.; Calviño, P. Yield response to plant density of maize and sunflower intercropped with soybean. Field Crops Res. 2011, 121, 423–429. [Google Scholar] [CrossRef]
- Ghosh, P.; Tripathi, A.; Bandyopadhyay, K.; Manna, M. Assessment of nutrient competition and nutrient requirement in soybean/sorghum intercropping system. Eur. J. Agron. 2009, 31, 43–50. [Google Scholar] [CrossRef]
- Yang, F.; Huang, S.; Gao, R.C.; Liu, W.G.; Yong, T.W.; Wang, X.C.; Wu, X.L.; Yang, W.Y. Growth of soybean seedlings in relay strip intercropping systems in relation to light quantity and red:far-red ratio. Field Crops Res. 2014, 155, 245–253. [Google Scholar] [CrossRef]
- Yang, F.; Wang, X.C.; Liao, D.P.; Lu, F.Z.; Gao, R.C.; Liu, W.G.; Yong, T.W.; Wu, X.L.; Du, J.B.; Liu, J.; et al. Yield Response to Different Planting Geometries in Maize–Soybean Relay Strip Intercropping Systems. Agron. J. 2015, 107, 296–304. [Google Scholar] [CrossRef]
- Su, B.Y.; Song, Y.X.; Song, C.; Cui, L.; Yong, T.W.; Yang, W.Y. Growth and photosynthetic responses of soybean seedlings to maize shading in relay inter-cropping system in Southwest China. Photosynthetica 2014, 52, 332–340. [Google Scholar] [CrossRef]
- Yan, Y.H.; Gong, W.Z.; Yang, W.Y.; Wan, Y.; Chen, X.L.; Chen, Z.Q.; Wang, L.Y. Seed Treatment with Uniconazole Powder Improves Soybean Seedling Growth under Shading by Corn in Relay Strip Intercropping System. Plant Prod. Sci. 2010, 13, 367–374. [Google Scholar] [CrossRef]
- Wu, Y.S.; Gong, W.Z.; Yang, F.; Wang, X.C.; Yong, T.W.; Liu, J.; Pu, T.; Yan, Y.H.; Yang, W.Y. Dynamic of recovery growth of intercropped soybean after maize harvest in maize–soybean relay strip intercropping system. Food Energy Secur. 2021, 11, e350. [Google Scholar] [CrossRef]
- Wu, Y.S.; Gong, W.Z.; Yang, F.; Wang, X.C.; Yong, T.W.; Yang, W.Y. Responses to shade and subsequent recovery of soya bean in maize-soya bean relay strip intercropping. Plant Prod. Sci. 2016, 19, 206–214. [Google Scholar] [CrossRef]
- Gong, W.Z.; Jiang, C.D.; Wu, Y.S.; Chen, H.H.; Liu, W.Y.; Yang, W.Y. Tolerance vs. avoidance: Two strategies of soybean (Glycine max) seedlings in response to shade in intercropping. Photosynthetica 2015, 53, 259–268. [Google Scholar] [CrossRef]
- Wu, Y.-S.; Yang, F.; Gong, W.-Z.; Ahmed, S.; Fan, Y.-F.; Wu, X.-L.; Yong, T.-W.; Liu, W.-G.; Shu, K.; Liu, J.; et al. Shade adaptive response and yield analysis of different soybean genotypes in relay intercropping systems. J. Integr. Agric. 2017, 16, 1331–1340. [Google Scholar] [CrossRef]
- Li, L.; Sun, J.H.; Zhang, F.S.; Li, X.L.; Rengel, Z.; Yang, S.C. Wheat/maize or wheat/soybean strip intercropping: II. Recovery or compensation of maize and soybean after wheat harvesting. Field Crops Res. 2001, 71, 173–181. [Google Scholar] [CrossRef]
- Wu, Y.S.; Gong, W.Z.; Liu, X.; Wang, X.C.; Yang, W.Y. Physiological evaluation index of recovery ability of soybean seedling after removing shade stress. Chin. J. Oil Crop Sci. 2016, 38, 804–810. [Google Scholar]
- Lichtenthaler, H.K. Chlorophyls and carotenoids: Pigments of photosynthetic biomembranes. Methods Enzymol. 1987, 148, 350–382. [Google Scholar] [CrossRef]
- Franklin, K.A. Shade avoidance. New Phytol. 2008, 179, 930–944. [Google Scholar] [CrossRef] [PubMed]
- Franklin, K.A.; Whitelam, G.C. Phytochromes and Shade-avoidance Responses in Plants. Ann. Bot. 2005, 96, 169–175. [Google Scholar] [CrossRef]
- Valladares, F.; Niinemets, U. Shade tolerance, a key plant feature of complex nature and consequences. Annu. Rev. Ecol. Syst. 2008, 39, 237–257. [Google Scholar] [CrossRef]
- Bjorkman, O.; Holmgren, P. Photosynthetic Adaptation to Light Intensity in Plants Native to Shaded and Exposed Habitats. Physiol. Plant. 1966, 19, 854–859. [Google Scholar] [CrossRef]
- Zheng, Y.; Mai, B.; Wu, R.; Feng, Y.; Sofo, A.; Ni, Y.; Sun, J.; Li, J.; Xu, J. Acclimation of winter wheat (Triticum aestivum, cv. Yangmai 13) to low levels of solar irradiance. Photosynthetica 2011, 49, 426–434. [Google Scholar] [CrossRef]
- Jiang, Y.; Wu, C.X.; Zhang, L.X.; Hu, P.; Hou, W.Z.; Zu, W.; Han, T.F. Long-day effects on the terminal inflorescence development of a photoperiod-sensitive soybean [Glycine max (L.) Merr.] variety. Plant Sci. 2011, 180, 504–510. [Google Scholar] [CrossRef]
- Araujo, W.L.; Dias, P.C.; Moraes, G.A.B.K.; Celin, E.F.; Cunha, R.L.; Barros, R.S.; DaMatta, F.M. Limitations to photosynthesis in coffee leaves from different canopy positions. Plant Physiol. Biochem. 2008, 46, 884–890. [Google Scholar] [CrossRef]
- Liu, X.; Herbert, S.J.; Hashemi, A.M.; Litchfield, G.V.; Zhang, Q. Yield and yield components responses of old and new soybean cultivars to source-sink manipulation under light enrichment. Plant Soil Environ. 2006, 52, 148. [Google Scholar] [CrossRef]
- Mathew, J.P.; Herbert, S.J.; Zhang, S.; Rautenkranz, A.A.; Litchfield, G.V. Differential response of soybean yield components to the timing of light enrichment. Agron. J. 2000, 92, 1156–1161. [Google Scholar] [CrossRef]
- Avalos, G.; Mulkey, S.S. Photosynthetic acclimation of the liana Stigmaphyllon lindenianum to light changes in a tropical dry forest canopy. Oecologia 1999, 120, 475–484. [Google Scholar] [CrossRef] [PubMed]
- Oguchi, R.; Hikosaka, K.; Hirose, T. Does the photosynthetic light-acclimation need change in leaf anatomy? Plant Cell Environ. 2003, 26, 505–512. [Google Scholar] [CrossRef]
- Krause, G.; Weis, E. Chlorophyll fluorescence and photosynthesis: The basics. Annu. Rev. Plant Physiol. Plant Mol. Biol. 1991, 42, 313–349. [Google Scholar] [CrossRef]
- Houter, N.C.; Pons, T.L. Gap size effects on photoinhibition in understorey saplings in tropical rainforest. Plant Ecol. 2005, 179, 43–51. [Google Scholar] [CrossRef]
- Naramoto, M.; Katahata, S.-I.; Mukai, Y.; Kakubari, Y. Photosynthetic acclimation and photoinhibition on exposure to high light in shade-developed leaves of Fagus crenata seedlings. Flora 2006, 201, 120–126. [Google Scholar] [CrossRef]
- Shimizu, M.; Ishida, A.; Tange, T.; Yagi, H. Leaf turnover and growth responses of shade-grown saplings of four Shorea rain forest species to a sudden increase in light. Tree Physiol. 2006, 26, 449–457. [Google Scholar] [CrossRef] [PubMed]
- Demmig-Adams, B.; Adams Iii, W. Photoprotection and other responses of plants to high light stress. Annu. Rev. Plant Biol. 1992, 43, 599–626. [Google Scholar] [CrossRef]
- Zhou, L.-J.; Xie, Y.-Q.; Xu, W.; Guo, Q.-H.; Dai, S.; Zhao, S.-J.; Song, J.-M. Effects of full sunlight after shading on photosynthetic characteristics of xiaoyan 54 and 8602, and their hybrids. Acta Agron. Sin. 2015, 41, 813–819. [Google Scholar] [CrossRef]
- González, A.V.; Gianoli, E. Morphological plasticity in response to shading in three Convolvulus species of different ecological breadth. Acta Oecologica 2004, 26, 185–190. [Google Scholar] [CrossRef]
- Liu, W.G.; Zou, J.L.; Zhang, J.; Yang, F.; Wan, Y.; Yang, W.Y. Evaluation of Soybean (Glycine max) Stem Vining in Maize-Soybean Relay Strip Intercropping System. Plant Prod. Sci. 2015, 18, 69–75. [Google Scholar] [CrossRef]
- Yao, H.; Zhang, Y.; Yi, X.; Zhang, X.; Zhang, W. Cotton responds to different plant population densities by adjusting specific leaf area to optimize canopy photosynthetic use efficiency of light and nitrogen. Field Crops Res. 2016, 188, 10–16. [Google Scholar] [CrossRef]
- Gong, W.Z.; Wu, Y.S.; Yong, T.W.; Liu, W.G.; Yang, W.Y. Effects of shade and lighting recovery on growth and yield of soybean in maize-soybean relay strip intercropping. Chin. J. Oil Crops Sci. 2015, 37, 475–480. [Google Scholar]
- Wu, Y.-S.; Gong, W.-Z.; Liao, D.-P.; Wu, X.-L.; Yang, F.; Liu, W.-G.; Yong, T.-W.; Yang, W.-Y. Effects of shade and light recovery on soybean cultivars(Lines) and its relationship with yield in relay strip intercropping system. Acta Agron. Sin. 2015, 41, 1740–1747. [Google Scholar] [CrossRef]




| Biomass | Plant Height | Stem Diameter | |||
|---|---|---|---|---|---|
| Time | Variety | Treatment | (g plant–1) | (cm) | (mm) |
| 0 day | |||||
| Gongxuan1 | HL | 10.4 ± 0.6 a | 35.0 ± 2.7 c | 6.9 ± 0.4 a | |
| LL | 4.7 ± 0.8 b | 57.5 ± 4.9 b | 3.5 ± 0.1 c | ||
| C103 | HL | 9.8 ± 0.5 a | 52.5 ± 4.0 b | 5.5 ± 0.2 b | |
| LL | 3.2 ± 0.4 c | 96.5 ± 4.4 a | 2.9 ± 0.2 d | ||
| ANOVA (F-value) | |||||
| Treatment (T) | 56.93 ** | 12.31 ** | 16.42 ** | ||
| Variety (V) | 0.14 | 0.15 * | 0.05 | ||
| T × V | 0.13 ** | 0.04 ** | 0.03 * | ||
| 10 days | |||||
| Gongxuan1 | HL | 13.7 ± 1.0 a | 45.0 ± 4.8 d | 7.1 ± 0.5 a | |
| LL | 7.2 ± 0.6 e | 78.0 ± 6.8 b | 4.8 ± 0.4 c | ||
| LL-HL | 11.3 ± 0.4 c | 69.0 ± 4.6 c | 5.2 ± 0.5 b | ||
| C103 | HL | 13.0 ± 1.1 b | 65.0 ± 6.4 c | 6.2 ± 0.2 a | |
| LL | 6.8 ± 0.3 e | 105.0 ± 5.6 a | 4.0 ± 0.3 d | ||
| LL-HL | 9.1 ± 1.1 d | 102.3 ± 4.9 b | 4.3 ± 0.1 c | ||
| ANOVA (F-value) | |||||
| Treatment (T) | 43.12 ** | 10.42 ** | 12.32 * | ||
| Variety (V) | 1.85 * | 1.95 ** | 0.61 * | ||
| T × V | 1.68 * | 0.56 * | 0.40 | ||
| LAR | SLA | LA | |||
|---|---|---|---|---|---|
| Time | Variety | Treatment | (cm2 g–1) | (m2 kg–1) | per Plant (cm2) |
| 0 day | |||||
| Gongxuan1 | HL | 157.5 ± 4.2 b | 26.6 ± 2.0 b | 1615.8 ± 108.2 a | |
| LL | 202.8 ± 6.5 a | 34.0 ± 1.0 a | 861.3 ± 197.9 b | ||
| C103 | HL | 149.2 ± 5.3 b | 27.2 ± 0.6 b | 1470.1 ± 167.0 a | |
| LL | 184.1 ± 3.0 a | 41.0 ± 2.6 a | 571.6 ± 185.0 b | ||
| ANOVA (F-value) | |||||
| Treatment (T) | 32.42 * | 2.41 * | 4.93 * | ||
| Variety (V) | 1.70 | 0.73 | 3.39 | ||
| T × V | 1.47 | 0.32 | 1.23 | ||
| 10 days | |||||
| Gongxuan1 | HL | 135.2 ± 3.1 c | 22.7 ± 0.6 c | 1705.0 ± 123.9 a | |
| LL | 198.3 ± 6.0 a | 35.0 ± 0.8 a | 1544.4 ± 127.7 b | ||
| LL-HL | 148.8 ± 8.9 b | 30.5 ± 1.6 b | 1664.8 ± 111.2 a | ||
| C103 | HL | 126.0 ± 1.8 c | 20.8 ± 0.6 c | 1632.5 ± 114.9 a | |
| LL | 203.5 ± 5.6 a | 35.5 ± 1.5 a | 1386.4 ± 91.1 c | ||
| LL-HL | 163.2 ± 9.5 b | 32.9 ± 1.0 b | 1502.0 ± 100.6 b | ||
| ANOVA (F-value) | |||||
| Treatment (T) | 32.42 ** | 1.10 ** | 4.93 * | ||
| Variety (V) | 0.13 | 0.04 | 0.18 | ||
| T × V | 0.11 | 0.02 | 0.06 | ||
Disclaimer/Publisher’s Note: The statements, opinions and data contained in all publications are solely those of the individual author(s) and contributor(s) and not of MDPI and/or the editor(s). MDPI and/or the editor(s) disclaim responsibility for any injury to people or property resulting from any ideas, methods, instructions or products referred to in the content. |
© 2023 by the authors. Licensee MDPI, Basel, Switzerland. This article is an open access article distributed under the terms and conditions of the Creative Commons Attribution (CC BY) license (https://creativecommons.org/licenses/by/4.0/).
Share and Cite
Su, Y.; Yang, H.; Wu, Y.; Gong, W.; Gul, H.; Yan, Y.; Yang, W. Photosynthetic Acclimation of Shade-Grown Soybean Seedlings to a High-Light Environment. Plants 2023, 12, 2324. https://doi.org/10.3390/plants12122324
Su Y, Yang H, Wu Y, Gong W, Gul H, Yan Y, Yang W. Photosynthetic Acclimation of Shade-Grown Soybean Seedlings to a High-Light Environment. Plants. 2023; 12(12):2324. https://doi.org/10.3390/plants12122324
Chicago/Turabian StyleSu, Yahan, Huan Yang, Yushan Wu, Wanzhuo Gong, Hina Gul, Yanhong Yan, and Wenyu Yang. 2023. "Photosynthetic Acclimation of Shade-Grown Soybean Seedlings to a High-Light Environment" Plants 12, no. 12: 2324. https://doi.org/10.3390/plants12122324
APA StyleSu, Y., Yang, H., Wu, Y., Gong, W., Gul, H., Yan, Y., & Yang, W. (2023). Photosynthetic Acclimation of Shade-Grown Soybean Seedlings to a High-Light Environment. Plants, 12(12), 2324. https://doi.org/10.3390/plants12122324

