Functional Characterization of Three Diterpene Synthases Responsible for Tetracyclic Diterpene Biosynthesis in Scoparia dulcis
Abstract
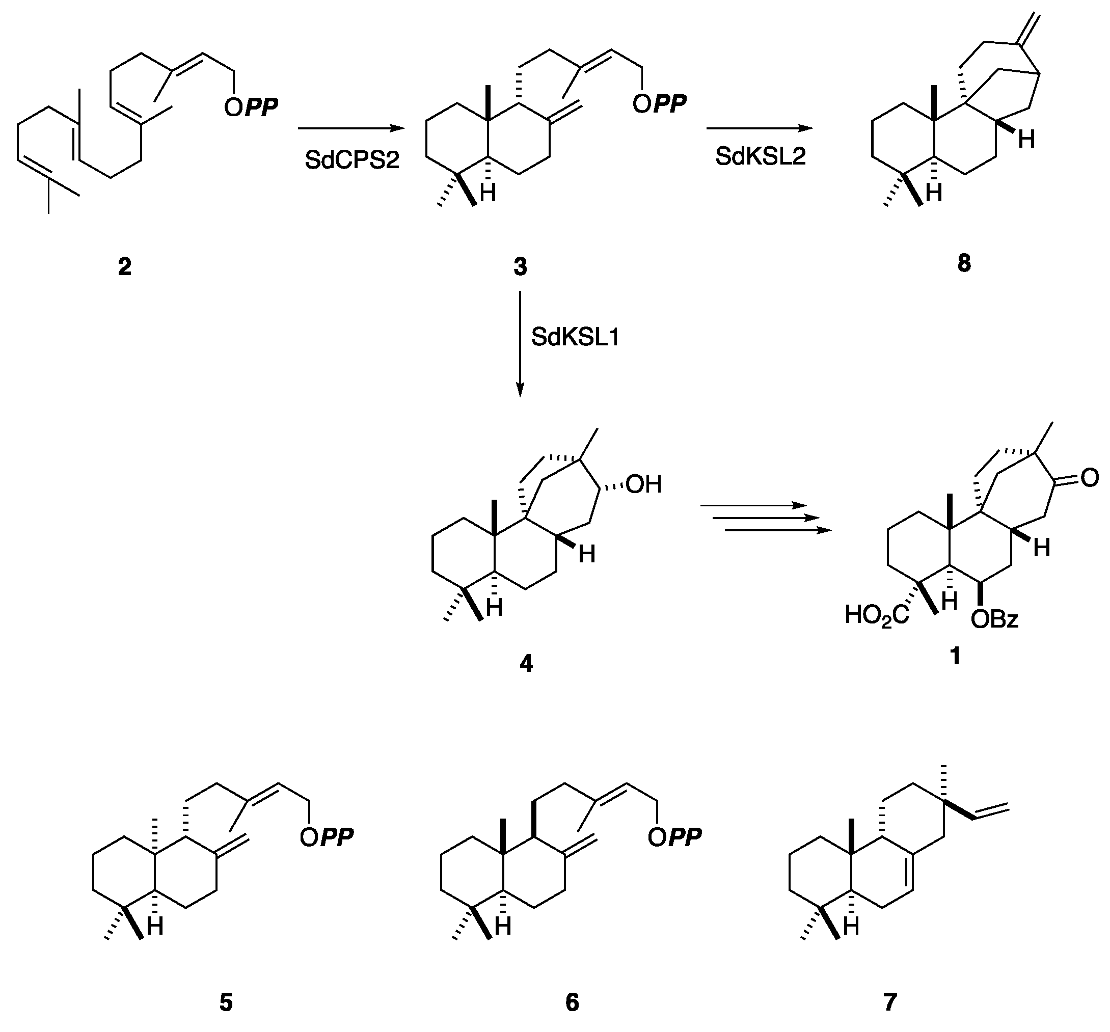
1. Introduction
2. Results
2.1. Cloning of Diterpene Synthases
2.2. Characterization of Enzymic Function of DTSs
2.3. Quantification of Scopadulcic Acid B (1) and Realtime qPCR Analysis of SdCPS2 and SdKSL1
3. Discussion
4. Material and Methods
4.1. Plant Material
4.2. Cloning of Diterpene Synthases
4.3. Construction of Expression Vectors
4.4. Heterologous Expression and Metabolite Analysis
4.5. Phylogenetic Analyses
4.6. Quantifation of Scopadulcic Acid B
4.7. Real-Time qPCR Analysis
Supplementary Materials
Author Contributions
Funding
Data Availability Statement
Acknowledgments
Conflicts of Interest
References
- Hayashi, T.; Kishi, M.; Kawasaki, M.; Arisawa, M.; Shimizu, M.; Shoichi, S.; Yoshizaki, M.; Tezuka, Y.; Kikuchi, T.; Berganza, L.H.; et al. Scopadulcic Acid-A and -B, New Diterpenoids with a Novel Skeleton, from a Paraguayan Crude Drug “Typychá Kuratũ” (Scoparia Dulcis L.). Tetrahedron Lett. 1987, 28, 3693–3696. [Google Scholar] [CrossRef]
- Mafu, S.; Zerbe, P. Plant Diterpenoid Metabolism for Manufacturing the Biopharmaceuticals of Tomorrow: Prospects and Challenges. Phytochem. Rev. 2017, 330, 70. [Google Scholar] [CrossRef]
- Peters, R.J. Two Rings in Them All: The Labdane -Related Diterpenoids. Nat. Prod. Rep. 2010, 27, 1521–1530. [Google Scholar] [CrossRef] [PubMed]
- Yamamura, Y.; Kurosaki, F.; Lee, J.-B. Elucidation of Terpenoid Metabolism in Scoparia Dulcis by RNA-Seq Analysis. Sci. Rep. 2017, 7, 43311. [Google Scholar] [CrossRef]
- Christianson, D.W. Structural and chemical biology of terpenoid cyclases. Chem. Rev. 2017, 117, 11570–11648. [Google Scholar] [CrossRef]
- Heskes, A.M.; Sundram, T.C.M.; Boughton, B.A.; Jensen, N.B.; Hansen, N.L.; Crocoll, C.; Cozzi, F.; Rasmussen, S.; Hamberger, B.; Hamberger, B.; et al. Biosynthesis of Bioactive Diterpenoids in the Medicinal Plant Vitex Agnus-Castus. Plant J. 2018, 93, 943–958. [Google Scholar] [CrossRef]
- Otomo, K.; Kenmoku, H.; Oikawa, H.; König, W.A.; Toshima, H.; Mitsuhashi, W.; Yamane, H.; Sassa, T.; Toyomasu, T. Biological functions of ent- and syn-copalyl diphosphate synthase in rice: Key enzymes for the branch point of gibberellin and phytoalexin biosynthesis. Plant J. 2004, 39, 886–893. [Google Scholar] [CrossRef]
- Jin, B.; Cui, G.; Guo, J.; Tang, J.; Duan, L.; Lin, H.; Shen, Y.; Chen, T.; Zhang, H.; Huang, L. Functional diversification of kaurene synthase-like genes in Isodon rubescens. Plant Physiol. 2017, 174, 943–955. [Google Scholar] [CrossRef]
- Pelot, K.A.; Hagelthorn, D.M.; Addison, J.B.; Zerbe, P. Biosynthesis of the oxygenated diterpene nezukol in the medicinal plant Isodon rubescens is catalyzed by a pair of diterpene synthases. PLoS ONE 2017, 12, e0176507. [Google Scholar] [CrossRef]
- Ma, Y.; Yuan, L.; Wu, B.; Li, X.; Chen, S.; Lu, S. Genome-Wide Identification and Characterization of Novel Genes Involved in Terpenoid Biosynthesis in Salvia Miltiorrhiza. J. Exp. Bot. 2012, 63, 2809–2823. [Google Scholar] [CrossRef]
- Xu, M.; Hillwig, M.L.; Prisic, S.; Coates, R.M.; Peters, R.J. Functional Identification of Rice Syn-Copalyl Diphosphate Synthase and Its Role in Initiating Biosynthesis of Diterpenoid Phytoalexin/Allelopathic Natural Products. Plant J. 2004, 39, 309–318. [Google Scholar] [CrossRef] [PubMed]
- Toshima, H.; Oikawa, H.; Yada, H.; Ono, H.; Toyomasu, T.; Sassa, T. Total Synthesis of (±)-Syn-Copalol. Biosci. Biotechnol. Biochem. 2002, 66, 2504–2510. [Google Scholar] [CrossRef] [PubMed]
- Morrone, D.; Jin, Y.; Xu, M.; Choi, S.-Y.; Coates, R.M.; Peters, R.J. An Unexpected Diterpene Cyclase from Rice: Functional Identification of a Stemodene Synthase. Arch. Biochem. Biophys. 2006, 448, 133–140. [Google Scholar] [CrossRef] [PubMed]
- Chamy, M.C.; Piovano, M.; Garbarino, J.A.; Miranda, C. Diterpenoids from Calceolaria Thyrsiflora. Phytochemistry 1991, 30, 589–592. [Google Scholar] [CrossRef]
- Oikawa, H.; Toyomasu, T.; Toshima, H.; Ohashi, S.; Kawaide, H.; Kamiya, Y.; Ohtsuka, M.; Shinoda, S.; Mitsuhashi, W.; Sassa, T. Cloning and Functional Expression of CDNA Encoding Aphidicolan-16β-Ol Synthase: A Key Enzyme Responsible for Formation of an Unusual Diterpene Skeleton in Biosynthesis of Aphidicolin. J. Am. Chem. Soc. 2001, 123, 5154–5155. [Google Scholar] [CrossRef]
- Hayashi, T.; Kawasaki, M.; Miwa, Y.; Taga, T.; Morita, N. Antiviral agents of plant origin III.: Scopadulin, a novel tetracyclic diterpene from Scoparia dulcis. Chem. Pharm. Bull. 1990, 38, 945–947. [Google Scholar] [CrossRef]
- Cardile, V.; Avola, R.; Graziano, A.C.E.; Piovano, M.; Russo, A. Cytotoxicity of Demalonyl Thyrsiflorin A, a Semisynthetic Labdane-Derived Diterpenoid, to Melanoma Cells. Toxicol Vitr. 2018, 47, 274–280. [Google Scholar] [CrossRef]
- Garbarino, J.A.; Cardile, V.; Lombardo, L.; Chamy, M.C.; Piovano, M.; Russo, A. Demalonyl Thyrsiflorin A, a Semisynthetic Labdane-Derived Diterpenoid, Induces Apoptosis and Necrosis in Human Epithelial Cancer Cells. Chem.-Biol. Interact 2007, 169, 198–206. [Google Scholar] [CrossRef]
- Cyr, A.; Wilderman, P.R.; Determan, M.; Peters, R.J. A Modular Approach for Facile Biosynthesis of Labdane-Related Diterpenes. J. Am. Chem. Soc. 2007, 129, 6684–6685. [Google Scholar] [CrossRef]
- Xu, M.; Jia, M.; Hong, Y.J.; Yin, X.; Tantillo, D.J.; Proteau, P.J.; Peters, R.J. Premutilin Synthase: Ring Rearrangement by a Class II Diterpene Cyclase. Org. Lett. 2018, 20, 1200–1202. [Google Scholar] [CrossRef]
- Kozlov, A.M.; Darriba, D.; Flouri, T.; Morel, B.; Stamatakis, A. RAxML-NG: A Fast, Scalable, and User-Friendly Tool for Maximum Likelihood Phylogenetic Inference. Bioinformatics 2019, 35, 4453–4455. [Google Scholar] [CrossRef] [PubMed]
- Darriba, D.; Posada, D.; Kozlov, A.M.; Stamatakis, A.; Morel, B.; Flouri, T. ModelTest-NG: A New and Scalable Tool for the Selection of DNA and Protein Evolutionary Models. Mol. Biol. Evol. 2019, 37, 291–294. [Google Scholar] [CrossRef] [PubMed]
- Nkembo, M.K.; Kurosaki, F.; Lee, J.-B.; Hayashi, T. Stimulation of calcium signal transduction results in enhancement of production of scopadulcic acid B by methyl jasmonate in the cultured tissues of Scoparia dulcis. Plant. Biotechnol. 2005, 22, 333–337. [Google Scholar] [CrossRef][Green Version]
- Mayer, K.; Schüller, C.; Wambutt, R.; Murphy, G.; Volckaert, G.; Pohl, T.; Düsterhöft, A.; Stiekema, W.; Entian, K.D.; Terryn, N.; et al. Sequence and analysis of chromosome 4 of the plant Arabidopsis thaliana. Nature 1999, 402, 769–777. [Google Scholar] [CrossRef] [PubMed]
- Theologis, A.; Ecker, J.R.; Palm, C.J.; Federspiel, N.A.; Kaul, S.; White, O.; Alonso, J.; Altafi, H.; Araujo, R.; Bowman, C.L.; et al. Sequence and analysis of chromosome 1 of the plant Arabidopsis thaliana. Nature 2000, 408, 816–820. [Google Scholar] [CrossRef]
- Falare, V.; Pichersky, E.; Kanellis, A.K. A copal-8-ol diphosphate synthase from the angiosperm cistus creticus subsp. Criticus is a putative key enzyme for the formation of pharmacologically active, oxygen-containing labdane-type diterpenes. Plant Physiol. 2010, 154, 301–310. [Google Scholar] [CrossRef]
- Pugliesi, C.; Fambrini, M.; Salvini, M. Molecular cloning and expression profile analysis of three sunflower (Helianthus annuus) diterpene synthase genes. Biochem. Genet. 2011, 49, 46–62. [Google Scholar] [CrossRef]
- Li, J.; Chen, Q.; Jin, Q.; Gao, J.; Zhao, P.; Lu, S.; Zeng, Y. IeCPS2 is potentially involved in the biosynthesis of pharmacologically active Isodon diterpenoids rather than gibberellin. Phytochemistry 2012, 76, 32–39. [Google Scholar] [CrossRef]
- Sawada, Y.; Katsumata, T.; Kitamura, J.; Kawaide, H.; Nakajima, M.; Asami, T.; Nakaminami, K.; Kurahashi, T.; Mitsuhashi, W.; Inoue, Y.; et al. Germination of photoblastic lettuce seeds is regulated via the control of endogenous physiologically active gibberellin content, rather than of gibberellin responsiveness. J. Exp. Bot. 2008, 59, 3383–3393. [Google Scholar] [CrossRef]
- Zerbe, P.; Chiang, A.; Dullat, H.; O’Neil-Johnson, M.; Starks, C.; Hamberger, B.; Bohlmann, J. Diterpene synthases of the biosynthetic system of medicinally active diterpenoids in Marrubium vulgare. Plant J. 2014, 79, 914–927. [Google Scholar] [CrossRef]
- Sallaud, C.; Giacalone, C.; Töpfer, R.; Goepfert, S.; Bakaher, N.; Rösti, S.; Tissier, A. Characterization of two genes for the biosynthesis of the labdane diterpene Z-abienol in tobacco (Nicotiana tabacum) glandular trichomes. Plant J. 2012, 72, 1–17. [Google Scholar] [CrossRef] [PubMed]
- Kawahara, Y.; de la Bastide, M.; Hamilton, J.P.; Kanamori, H.; McCombie, W.R.; Ouyang, S.; Schwartz, D.C.; Tanaka, T.; Wu, J.; Zhou, S.; et al. Improvement of the Oryza sativa Nipponbare reference genome using next generation sequence and optical map data. Rice 2013, 6, 4. [Google Scholar] [CrossRef] [PubMed]
- Margis-Pinheiro, M.; Zhou, X.; Zhu, Q.; Dennis, E.S.; Upadhyaya, N.M. Isolation and characterization of a Ds-tagged rice (Oryza sativa L.) GA-responsive dwarf mutant defective in an early step of the gibberellin biosynthesis pathway. Plant Cell Rep. 2005, 23, 819–833. [Google Scholar] [CrossRef] [PubMed]
- Rice Full-Length cDNA Consortium. Collection, mapping, and annotation of over 28,000 cDNA clones from japonica rice. Science 2003, 301, 376–379. [Google Scholar] [CrossRef] [PubMed]
- Brückner, K.; Bozic, D.; Manzano, D.; Papaefthimiou, D.; Pateraki, I.; Scheler, U.; Ferrer, A.; de Vos, R.C.H.; Kanellis, A.K.; Tissier, A. Characterization of two genes for the biosynthesis of abietane-type diterpenes in rosemary (Rosmarinus officinalis) glandular trichomes. Phytochemistry 2014, 101, 52–64. [Google Scholar] [CrossRef] [PubMed]
- Nakagiri, T.; Lee, J.-B.; Hayashi, T. cDNA cloning, functional expression and characterization of ent-copalyl diphosphate synthase from Scoparia dulcis L. Plant Sci. 2005, 169, 760–767. [Google Scholar] [CrossRef]
- Yamamura, Y.; Taguchi, Y.; Ichitani, K.; Umebara, I.; Ohshita, A.; Kurosaki, F.; Lee, J.-B. Characterization of ent-kaurene synthase and kaurene oxidase involved in gibberellin biosynthesis from Scoparia dulcis. J. Nat. Prod. 2018, 72, 456–463. [Google Scholar] [CrossRef]
- Cui, G.; Duan, L.; Jin, B.; Qian, J.; Xue, Z.; Shen, G.; Snyder, J.H.; Song, J.; Chen, S.; Huang, L.; et al. Functional divergence of diterpene synthases in the medicinal plant Salvia miltiorrhiza. Plant Physiol. 2015, 169, 1607–1618. [Google Scholar] [CrossRef]
- Gao, W.; Hillwig, L.H.; Huang, L.; Cui, G.; Wang, X.; Kong, J.; Yang, B.; Peters, R.J. A functional genomics approach to tanshinone biosynthesis provides stereochemical insights. Org. Lett. 2009, 11, 5170–5173. [Google Scholar] [CrossRef]
- Richman, A.S.; Gijzen, M.; Starratt, A.N.; Yang, Z.; Brandle, J.E. Diterpene synthesis in Stevia rebaudiana: Recruitment and up-regulation of key enzymes from the gibberellin biosynthetic pathway. Plant J. 1999, 19, 411–421. [Google Scholar] [CrossRef]
- Schalk, M.; Pastore, L.; Mirata, M.A.; Khim, S.; Schouwey, M.; Deguerry, F.; Pineda, V.; Rocci, L.; Daviet, L. Toward a biosynthetic route to sclareol and amber odorants. J. Am. Chem. Soc. 2012, 134, 18900–18903. [Google Scholar] [CrossRef] [PubMed]
- Caniard, A.; Zerbe, P.; Legrand, S.; Cohade, A.; Valot, N.; Magnoard, J.L.; Bohlmann, J.; Legendre, L. Discovery and functional characterization of two diterpene synthases for sclareol biosynthesis in Salvia sclarea (L.) and their relevance for perfume manufacture. BMC Plant Biol. 2012, 12, 119. [Google Scholar] [CrossRef] [PubMed]
- Hayashi, K.; Kawaide, H.; Notomi, M.; Sakigi, Y.; Matsuo, A.; Nozaki, H. Identification and functional analysis of bifunctional ent-kaurene synthase from the moss Physcomitrella patens. FEBS Lett. 2006, 580, 6175–6181. [Google Scholar] [CrossRef] [PubMed]






Disclaimer/Publisher’s Note: The statements, opinions and data contained in all publications are solely those of the individual author(s) and contributor(s) and not of MDPI and/or the editor(s). MDPI and/or the editor(s) disclaim responsibility for any injury to people or property resulting from any ideas, methods, instructions or products referred to in the content. |
© 2022 by the authors. Licensee MDPI, Basel, Switzerland. This article is an open access article distributed under the terms and conditions of the Creative Commons Attribution (CC BY) license (https://creativecommons.org/licenses/by/4.0/).
Share and Cite
Lee, J.-B.; Ohmura, T.; Yamamura, Y. Functional Characterization of Three Diterpene Synthases Responsible for Tetracyclic Diterpene Biosynthesis in Scoparia dulcis. Plants 2023, 12, 69. https://doi.org/10.3390/plants12010069
Lee J-B, Ohmura T, Yamamura Y. Functional Characterization of Three Diterpene Synthases Responsible for Tetracyclic Diterpene Biosynthesis in Scoparia dulcis. Plants. 2023; 12(1):69. https://doi.org/10.3390/plants12010069
Chicago/Turabian StyleLee, Jung-Bum, Tomoya Ohmura, and Yoshimi Yamamura. 2023. "Functional Characterization of Three Diterpene Synthases Responsible for Tetracyclic Diterpene Biosynthesis in Scoparia dulcis" Plants 12, no. 1: 69. https://doi.org/10.3390/plants12010069
APA StyleLee, J.-B., Ohmura, T., & Yamamura, Y. (2023). Functional Characterization of Three Diterpene Synthases Responsible for Tetracyclic Diterpene Biosynthesis in Scoparia dulcis. Plants, 12(1), 69. https://doi.org/10.3390/plants12010069

