Non-Additive Effects of Environmental Factors on Growth and Physiology of Invasive Solidago canadensis and a Co-Occurring Native Species (Artemisia argyi)
Abstract
1. Introduction
2. Results
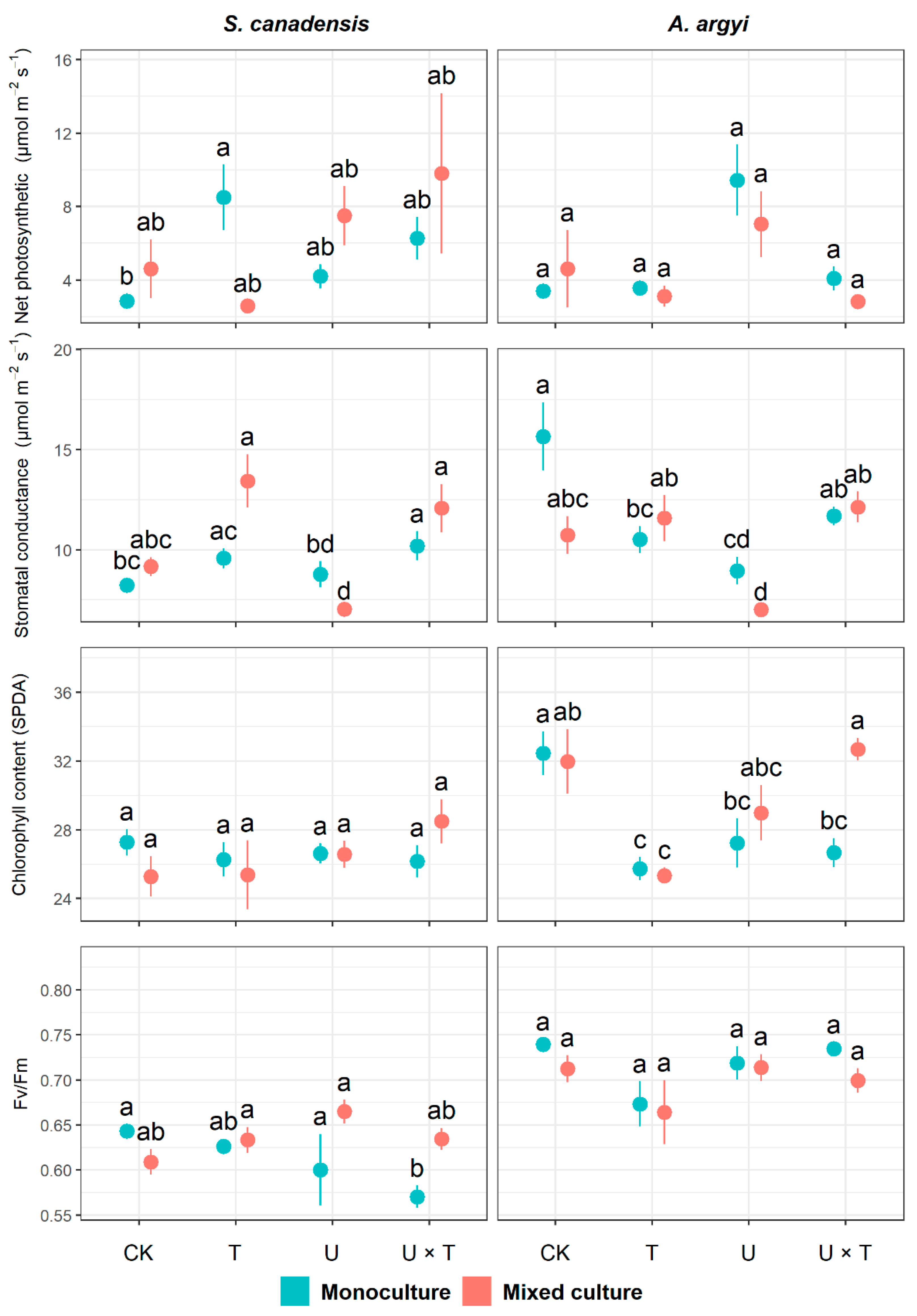
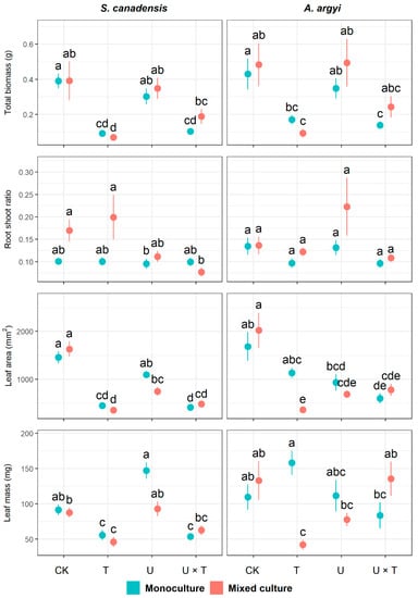
2.1. Growth Traits
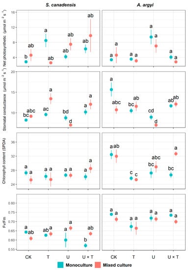
2.2. Photosynthesis Traits
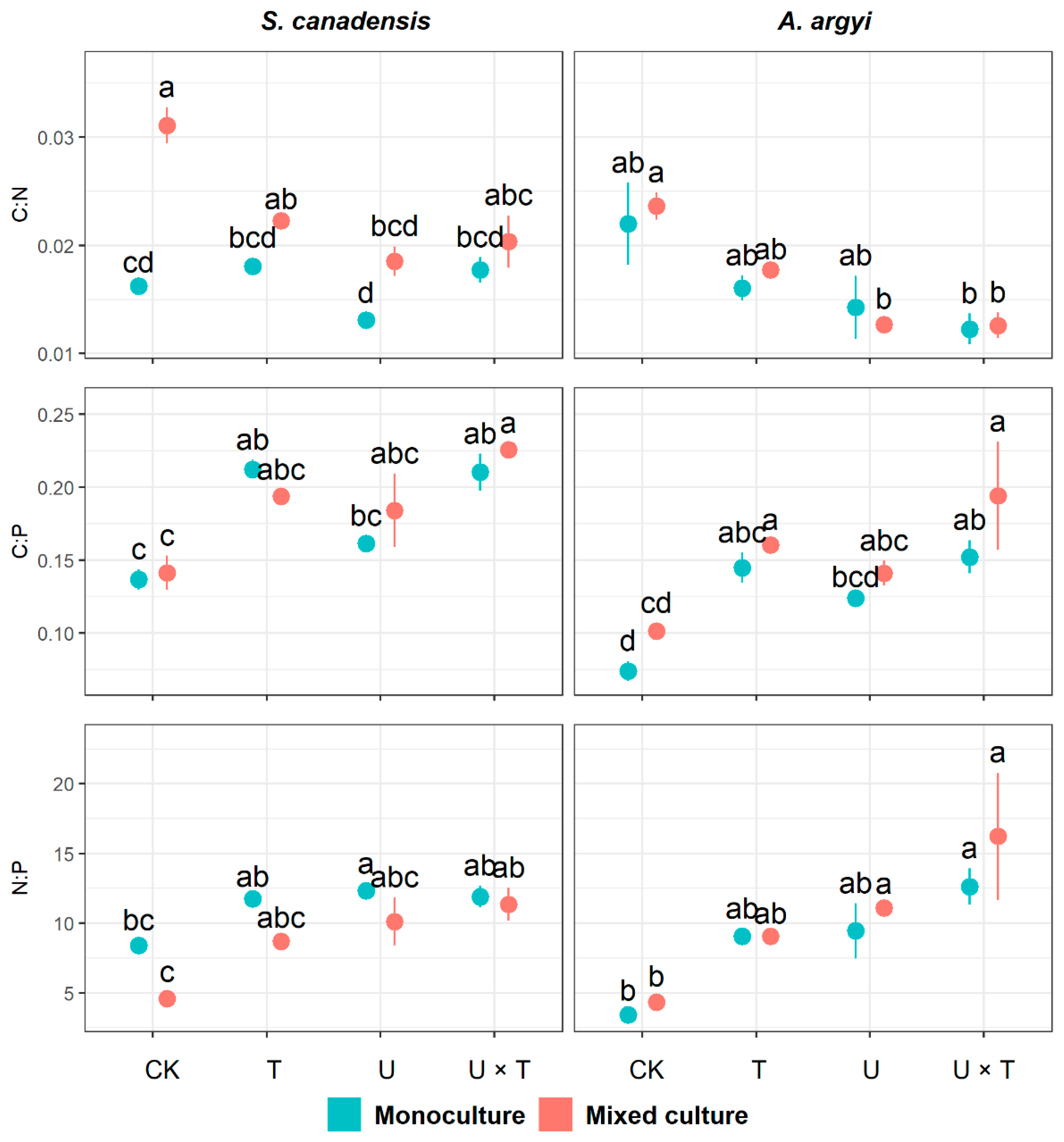
2.3. Plant Nutrient Ratios
3. Discussion
3.1. Single Effects of Temperature and UV on S. canadensis and A. argyi
3.2. Combined Effects of Temperature and UV on S. canadensis and A. argyi
3.3. Performance of Invasive S. canadensis and Native A. argyi
4. Materials and Methods
4.1. Study Species
4.2. Experimental Design
4.3. Data Collection
4.4. Statistical Analysis
5. Conclusions
Supplementary Materials
Author Contributions
Funding
Data Availability Statement
Acknowledgments
Conflicts of Interest
References
- van Kleunen, M.; Dawson, W.; Essl, F.; Pergl, J.; Winter, M.; Weber, E.; Kreft, H.; Weigelt, P.; Kartesz, J.; Nishino, M.; et al. Global Exchange and Accumulation of Non-Native Plants. Nature 2015, 525, 100–103. [Google Scholar] [CrossRef] [PubMed]
- Vilà, M.; Espinar, J.L.; Hejda, M.; Hulme, P.E.; Jarošík, V.; Maron, J.L.; Pergl, J.; Schaffner, U.; Sun, Y.; Pyšek, P. Ecological Impacts of Invasive Alien Plants: A Meta-Analysis of Their Effects on Species, Communities and Ecosystems. Ecol. Lett. 2011, 14, 702–708. [Google Scholar] [CrossRef] [PubMed]
- Doherty, T.S.; Glen, A.S.; Nimmo, D.G.; Ritchie, E.G.; Dickman, C.R. Invasive Predators and Global Biodiversity Loss. Proc. Natl. Acad. Sci. USA 2016, 113, 11261–11265. [Google Scholar] [CrossRef] [PubMed]
- McCallen, E.; Knott, J.; Nunez-Mir, G.; Taylor, B.; Jo, I.; Fei, S. Trends in Ecology: Shifts in Ecological Research Themes over the Past Four Decades. Front. Ecol. Environ. 2019, 17, 109–116. [Google Scholar] [CrossRef]
- Gurevitch, J.; Fox, G.A.; Wardle, G.M.; Inderjit; Taub, D. Emergent Insights from the Synthesis of Conceptual Frameworks for Biological Invasions. Ecol. Lett. 2011, 14, 407–418. [Google Scholar] [CrossRef]
- Lowry, E.; Rollinson, E.J.; Laybourn, A.J.; Scott, T.E.; Aiello-Lammens, M.E.; Gray, S.M.; Mickley, J.; Gurevitch, J. Biological Invasions: A Field Synopsis, Systematic Review, and Database of the Literature. Ecol. Evol. 2013, 3, 182–196. [Google Scholar] [CrossRef]
- Dai, Z.; Wan, L.; Qi, S.; Rutherford, S.; Ren, G.; Wan, J.S.H.; Du, D. Synergy among Hypotheses in the Invasion Process of Alien Plants: A Road Map within a Timeline. Perspect. Plant Ecol. Evol. Syst. 2020, 47, 125575. [Google Scholar] [CrossRef]
- Gioria, M.; Osborne, B.A. Resource Competition in Plant Invasions: Emerging Patterns and Research Needs. Front. Plant Sci. 2014, 5, 501. [Google Scholar] [CrossRef]
- Shrestha, U.B.; Shrestha, B.B. Climate Change Amplifies Plant Invasion Hotspots in Nepal. Divers. Distrib. 2019, 25, 1599–1612. [Google Scholar] [CrossRef]
- Jia, J.; Dai, Z.; Li, F.; Liu, Y. How Will Global Environmental Changes Affect the Growth of Alien Plants? Front. Plant. Sci. 2016, 7, 1623. [Google Scholar] [CrossRef]
- Liu, Y.; Oduor, A.M.O.; Zhang, Z.; Manea, A.; Tooth, I.M.; Leishman, M.R.; Xu, X.; van Kleunen, M. Do Invasive Alien Plants Benefit More from Global Environmental Change than Native Plants? Glob. Change Biol. 2017, 23, 3363–3370. [Google Scholar] [CrossRef] [PubMed]
- Wan, J.; Wang, C.; Yu, F. Risk Hotspots for Terrestrial Plant Invaders under Climate Change at the Global Scale. Environ. Earth Sci. 2016, 75, 1–8. [Google Scholar] [CrossRef]
- Horvitz, N.; Wang, R.; Wan, F.; Nathan, R. Pervasive Human-Mediated Large-Scale Invasion: Analysis of Spread Patterns and Their Underlying Mechanisms in 17 of China’s Worst Invasive Plants. J. Ecol. 2017, 105, 85–94. [Google Scholar] [CrossRef]
- Wang, C.; Zhou, J.; Liu, J.; Jiang, K.; Du, D. Responses of Soil N-Fixing Bacteria Communities to Amaranthus Retroflexus Invasion under Different Forms of N Deposition. Agr. Ecosyst. Environ. 2017, 247, 329–336. [Google Scholar] [CrossRef]
- Côté, I.M.; Darling, E.S.; Brown, C.J. Interactions among Ecosystem Stressors and Their Importance in Conservation. Proc. R. Soc. B Boil. Sci. 2016, 283, 20152592. [Google Scholar] [CrossRef]
- Alba, C.; Fahey, C.; Flory, S.L. Global Change Stressors Alter Resources and Shift Plant Interactions from Facilitation to Competition over Time. Ecology 2019, 100, e02859. [Google Scholar] [CrossRef]
- Zandalinas, S.I.; Sengupta, S.; Fritschi, F.B.; Azad, R.K.; Nechushtai, R.; Mittler, R. The Impact of Multifactorial Stress Combination on Plant Growth and Survival. New Phytol. 2021, 230, 1034–1048. [Google Scholar] [CrossRef] [PubMed]
- Colby, S.R. Calculating Synergistic and Antagonistic Responses of Herbicide Combinations. Weeds 1967, 15, 20–22. [Google Scholar] [CrossRef]
- Rummens, F.H.A. An Improved Definition of Synergistic and Antagonistic Effects. Weed Sci. 1975, 23, 4–6. [Google Scholar] [CrossRef]
- Gurevitch, J.; Morrison, J.A.; Hedges, L.V. The Interaction between Competition and Predation: A Meta-analysis of Field Experiments. Am. Nat. 2000, 155, 435–453. [Google Scholar] [CrossRef]
- Yue, K.; Peng, Y.; Fornara, D.A.; Van Meerbeek, K.; Vesterdal, L.; Yang, W.; Peng, C.; Tan, B.; Zhou, W.; Xu, Z.; et al. Responses of Nitrogen Concentrations and Pools to Multiple Environmental Change Drivers: A Meta-analysis across Terrestrial Ecosystems. Glob. Ecol. Biogeogr. 2019, 28, 690–724. [Google Scholar] [CrossRef]
- Piggott, J.J.; Townsend, C.R.; Matthaei, C.D. Reconceptualizing Synergism and Antagonism among Multiple Stressors. Ecol. Evol. 2015, 5, 1538–1547. [Google Scholar] [CrossRef] [PubMed]
- Hale, R.; Piggott, J.J.; Swearer, S.E. Describing and Understanding Behavioral Responses to Multiple Stressors and Multiple Stimuli. Ecol. Evol. 2017, 7, 38–47. [Google Scholar] [CrossRef] [PubMed]
- Orr, J.A.; Luijckx, P.; Arnoldi, J.; Jackson, A.L.; Piggott, J.J. Rapid Evolution Generates Synergism between Multiple Stressors: Linking Theory and an Evolution Experiment. Glob. Chang. Biol. 2022, 28, 1740–1752. [Google Scholar] [CrossRef] [PubMed]
- Crain, C.M.; Kroeker, K.; Halpern, B.S. Interactive and Cumulative Effects of Multiple Human Stressors in Marine Systems. Ecol. Lett. 2008, 11, 1304–1315. [Google Scholar] [CrossRef] [PubMed]
- Shaar-Moshe, L.; Blumwald, E.; Peleg, Z. Unique Physiological and Transcriptional Shifts under Combinations of Salinity, Drought, and Heat. Plant Physiol. 2017, 174, 421–434. [Google Scholar] [CrossRef]
- Zandalinas, S.I.; Fritschi, F.B.; Mittler, R. Signal Transduction Networks during Stress Combination. J. Exp. Bot. 2020, 71, 1734–1741. [Google Scholar] [CrossRef]
- Ruddiman, W.F. The Anthropogenic Greenhouse Era Began Thousands of Years Ago. Clim. Chang. 2003, 61, 261–293. [Google Scholar] [CrossRef]
- Mackenzie, L.; Bao, K.; Mao, L.; Klamt, A.-M.; Pratte, S.; Shen, J. Anthropogenic and Climate-Driven Environmental Change in the Songnen Plain of Northeastern China over the Past 200 years. Palaeogeogr. Palaeoclim. Palaeoecol. 2018, 511, 208–217. [Google Scholar] [CrossRef]
- IPCC. 2021: Climate Change 2021: The Physical Science Basis. In Contribution of Working Group I to the Sixth Assessment Report of the Intergovernmental Panel on Climate Change; Masson-Delmotte, V.P., Zhai, A., Pirani, S.L., Connors, C., Péan, S., Berger, N., Caud, Y., Chen, L., Goldfarb, M.I., Gomis, M., et al., Eds.; Cambridge University Press: Cambridge, UK; New York, NY, USA, 2021; p. 2391. [Google Scholar] [CrossRef]
- Wang, D.; Wang, H.; Wang, P.; Ling, T.; Tao, W.; Yang, Z. Warming Treatment Methodology Affected the Response of Plant Ecophysiological Traits to Temperature Increases: A Quantitive Meta-Analysis. Front. Plant Sci. 2019, 10, 957. [Google Scholar] [CrossRef]
- Wu, H.; Ismail, M.; Ding, J. Global Warming Increases the Interspecific Competitiveness of the Invasive Plant Alligator Weed, Alternanthera Philoxeroides. Sci. Total Environ. 2017, 575, 1415–1422. [Google Scholar] [CrossRef] [PubMed]
- Guan, B.; Guo, H.; Chen, S.; Li, D.; Liu, X.; Gong, X.; Ge, G. Shifting Ranges of Eleven Invasive Alien Plants in China in the Face of Climate Change. Ecol. Inform. 2020, 55, 101024. [Google Scholar] [CrossRef]
- BRADLEY, B.A.; OPPENHEIMER, M.; WILCOVE, D.S. Climate Change and Plant Invasions: Restoration Opportunities Ahead? Glob. Chang. Biol. 2009, 15, 1511–1521. [Google Scholar] [CrossRef]
- Wan, J.; Wang, C.; Tan, J.; Yu, F.-H. Climatic Niche Divergence and Habitat Suitability of Eight Alien Invasive Weeds in China under Climate Change. Ecol. Evol. 2017, 7, 1541–1552. [Google Scholar] [CrossRef]
- Giejsztowt, J.; Classen, A.T.; Deslippe, J.R. Climate Change and Invasion May Synergistically Affect Native Plant Reproduction. Ecology 2020, 101, e02913. [Google Scholar] [CrossRef] [PubMed]
- Gianoli, E.; Molina-Montenegro, M.A. Evolution of Physiological Performance in Invasive Plants under Climate Change. Evolution 2021, 75, 3181–3190. [Google Scholar] [CrossRef] [PubMed]
- Liu, Z.; Yu, H.; Sun, X.; Ding, J. Effects of Elevated Temperature on Chemistry of an Invasive Plant, Its Native Congener and Their Herbivores. J. Plant Ecol. 2022, 15, 450–460. [Google Scholar] [CrossRef]
- Wang, X.; Jiang, D.; Lang, X. Future Extreme Climate Changes Linked to Global Warming Intensity. Sci. Bull. 2017, 62, 1673–1680. [Google Scholar] [CrossRef]
- McKenzie, R.L.; Aucamp, P.J.; Bais, A.F.; Björn, L.O.; Ilyas, M. Changes in Biologically-Active Ultraviolet Radiation Reaching the Earth’s Surface. Photochem. Photobiol. Sci. 2007, 6, 218–231. [Google Scholar] [CrossRef]
- Phoenix, G.K.; Gwynn-Jones, D.; Callaghan, T.V.; Sleep, D.; Lee, J.A. Effects of Global Change on a Sub-Arctic Heath: Effects of Enhanced UV-B Radiation and Increased Summer Precipitation. J. Ecol. 2001, 89, 256–267. [Google Scholar]
- Beckmann, M.; Hock, M.; Bruelheide, H.; Erfmeier, A. The Role of UV-B Radiation in the Invasion of Hieracium Pilosella—A Comparison of German and New Zealand Plants. Env. Exp. Bot. 2012, 75, 173–180. [Google Scholar] [CrossRef]
- Hock, M.; Hofmann, R.W.; Müller, C.; Erfmeier, A. Exotic Plant Species Are Locally Adapted but Not to High Ultraviolet-B Radiation: A Reciprocal Multispecies Experiment. Ecology 2019, 100, e02665. [Google Scholar] [CrossRef] [PubMed]
- Hock, M.; Plos, C.; Sporbert, M.; Erfmeier, A. Combined Effects of UV-B and Drought on Native and Exotic Populations of Verbascum Thapsus L. Plants 2020, 9, 269. [Google Scholar] [CrossRef] [PubMed]
- Jansen, M.A.K.; Gaba, V.; Greenberg, B.M. Higher Plants and UV-B Radiation: Balancing Damage, Repair and Acclimation. Trends Plant Sci. 1998, 3, 131–135. [Google Scholar] [CrossRef]
- Hollósy, F. Effects of Ultraviolet Radiation on Plant Cells. Micron 2002, 33, 179–197. [Google Scholar] [CrossRef]
- Petruľová, V.; Dučaiová, Z.; Repčák, M. Short-Term UV-B Dose Stimulates Production of Protective Metabolites in Matricaria Chamomilla Leaves. Photochem. Photobiol. 2014, 90, 1061–1068. [Google Scholar]
- Gao, L.; Liu, Y.; Wang, X.; Li, Y.; Han, R. Lower Levels of UV-B Light Trigger the Adaptive Responses by Inducing Plant Antioxidant Metabolism and Flavonoid Biosynthesis in Medicago Sativa Seedlings. Funct. Plant Biol. 2019, 46, 896. [Google Scholar] [CrossRef]
- Yang, Y.; Niu, K.; Hu, Z.; Niklas, K.J.; Sun, S. Linking Species Performance to Community Structure as Affected by UV-B Radiation: An Attenuation Experiment. J. Plant Ecol. 2018, 11, 286–296. [Google Scholar] [CrossRef]
- Suchar, V.A.; Robberecht, R. Integration and Scaling of UV-B Radiation Effects on Plants: From Molecular Interactions to Whole Plant Responses. Ecol. Evol. 2016, 6, 4866–4884. [Google Scholar] [CrossRef]
- Hock, M.; Hofmann, R.; Essl, F.; Pyšek, P.; Bruelheide, H.; Erfmeier, A. Native Distribution Characteristics Rather than Functional Traits Explain Preadaptation of Invasive Species to High-UV-B Environments. Divers. Distrib. 2020, 26, 1421–1438. [Google Scholar] [CrossRef]
- Randriamanana, T.R.; Lavola, A.; Julkunen-Tiitto, R. Interactive Effects of Supplemental UV-B and Temperature in European Aspen Seedlings: Implications for Growth, Leaf Traits, Phenolic Defense and Associated Organisms. Plant Physiol. Bioch. 2015, 93, 84–93. [Google Scholar] [CrossRef] [PubMed]
- Han, C.; Liu, Q.; Yang, Y. Short-Term Effects of Experimental Warming and Enhanced Ultraviolet-B Radiation on Photosynthesis and Antioxidant Defense of Picea Asperata Seedlings. Plant Growth Regul. 2009, 58, 153–162. [Google Scholar] [CrossRef]
- Lee, J.-H.; Kim, J.Y.; Kim, J.-I.; Park, Y.-J.; Park, C.-M. Plant Thermomorphogenic Adaptation to Global Warming. J. Plant Biol. 2020, 63, 1–9. [Google Scholar] [CrossRef]
- Ren, G.; Zou, C.B.; Wan, L.-Y.; Johnson, J.H.; Li, J.; Zhu, L.; Qi, S.; Dai, Z.; Zhang, H.; Du, D. Interactive Effect of Climate Warming and Nitrogen Deposition May Shift the Dynamics of Native and Invasive Species. J. Plant Ecol. 2021, 14, 84–95. [Google Scholar] [CrossRef]
- Wang, J.; Defrenne, C.; McCormack, M.L.; Yang, L.; Tian, D.; Luo, Y.; Hou, E.; Yan, T.; Li, Z.; Bu, W.; et al. Fine-root Functional Trait Responses to Experimental Warming: A Global Meta-analysis. New Phytol. 2021, 230, 1856–1867. [Google Scholar] [CrossRef]
- Reich, P.B. Key Canopy Traits Drive Forest Productivity. Proc. R. Soc. B Boil. Sci. 2012, 279, 2128–2134. [Google Scholar] [CrossRef]
- Li, F.; Peng, Y.; Zhang, D.; Yang, G.; Fang, K.; Wang, G.; Wang, J.; Yu, J.; Zhou, G.; Yang, Y. Leaf Area Rather Than Photosynthetic Rate Determines the Response of Ecosystem Productivity to Experimental Warming in an Alpine Steppe. J. Geophys. Res. Biogeosciences 2019, 124, 2277–2287. [Google Scholar] [CrossRef]
- Kreslavski, V.D.; Huang, X.; Semenova, G.; Khudyakova, A.; Shirshikova, G.; Hummatov, N.; Zharmukhamedov, S.K.; Li, X.; Allakhverdiev, S.I.; Nie, C.; et al. Linking Sensitivity of Photosystem II to UV-B with Chloroplast Ultrastructure and UV-B Absorbing Pigments Contents in A. Thaliana L. PhyAphyB Double Mutants. Plant Growth Regul. 2020, 91, 13–21. [Google Scholar] [CrossRef]
- Shmarev, A.N.; Shirshikova, G.N.; Lyubimov, V.Y.; Kreslavski, V.D. Effect of Phytochrome Deficit on Activity of Ascorbate Peroxidase and Phenylalanine Ammonia-Lyase and Expression of Genes APX1, TAPX, SAPX, and PAL in the Leaves of Arabidopsis Thaliana Plants Exposed to UV-A and Red Light. Russ. J. Plant Physiol. 2020, 67, 953–959. [Google Scholar] [CrossRef]
- Li, F.-R.; Peng, S.-L.; Chen, B.-M.; Hou, Y.-P. A Meta-Analysis of the Responses of Woody and Herbaceous Plants to Elevated Ultraviolet-B Radiation. Acta Oecologica 2010, 36, 1–9. [Google Scholar] [CrossRef]
- En-Sheng, W.; Guang-Sheng, Z. Defining Plant Functional Types in China for Global Change Studies. Chin. J. Plant Ecol. 2005, 29, 81–97. [Google Scholar] [CrossRef]
- Strack, D.; Heilemann, J.; Wray, V.; Dirks, H. Structures and Accumulation Patterns of Soluble and Insoluble Phenolics from Norway Spruce Needles. Phytochemistry 1989, 28, 2071–2078. [Google Scholar] [CrossRef]
- Schmelzer, E.; Jahnen, W.; Hahlbrock, K. In Situ Localization of Light-Induced Chalcone Synthase MRNA, Chalcone Synthase, and Flavonoid End Products in Epidermal Cells of Parsley Leaves. Proc. Natl. Acad. Sci. USA 1988, 85, 2989–2993. [Google Scholar] [CrossRef] [PubMed]
- Barnes, P.W.; Flint, S.D.; Tobler, M.A.; Ryel, R.J. Diurnal Adjustment in Ultraviolet Sunscreen Protection Is Widespread among Higher Plants. Oecologia 2016, 181, 55–63. [Google Scholar] [CrossRef] [PubMed]
- Day, T.A.; Vogelmann, T.C.; DeLucia, E.H. Are Some Plant Life Forms More Effective than Others in Screening out Ultraviolet-B Radiation? Oecologia 1992, 92, 513–519. [Google Scholar] [CrossRef]
- Fu, G.; Shen, Z.X. Effects of Enhanced UV-B Radiation on Plant Physiology and Growth on the Tibetan Plateau: A Meta-Analysis. Acta Physiol. Plant. 2017, 39, 1–9. [Google Scholar] [CrossRef]
- Bassman, J.H.; Edwards, G.E.; Robberecht, R. Long-term Exposure to Enhanced UV-B Radiation Is Not Detrimental to Growth and Photosynthesis in Douglas-fir. New Phytol. 2002, 154, 107–120. [Google Scholar] [CrossRef]
- Salama, H.M.H.; Al Watban, A.A.; Al-Fughom, A.T. Effect of Ultraviolet Radiation on Chlorophyll, Carotenoid, Protein and Proline Contents of Some Annual Desert Plants. Saudi J. Biol. Sci. 2011, 18, 79–86. [Google Scholar] [CrossRef]
- Palma, C.F.F.; Castro-Alves, V.; Morales, L.O.; Rosenqvist, E.; Ottosen, C.-O.; Strid, Å. Spectral Composition of Light Affects Sensitivity to UV-B and Photoinhibition in Cucumber. Front. Plant Sci. 2020, 11, 610011. [Google Scholar] [CrossRef]
- Wang, B.-C.; Pan, Y.-H.; Meng, D.-Z.; Zhu, Y.-X. Identification and Quantitative Analysis of Significantly Accumulated Proteins During the Arabidopsis Seedling De-Etiolation Process. J. Integr. Plant Biol. 2006, 48, 104–113. [Google Scholar] [CrossRef]
- Matsumura, T.; Tabayashi, N.; Kamagata, Y.; Souma, C.; Saruyama, H. Wheat Catalase Expressed in Transgenic Rice Can Improve Tolerance against Low Temperature Stress. Physiol. Plant. 2002, 116, 317–327. [Google Scholar] [CrossRef]
- McKersie, B.D.; Chen, Y.; de Beus, M.; Bowley, S.R.; Bowler, C.; Inze, D.; D’Halluin, K.; Botterman, J. Superoxide Dismutase Enhances Tolerance of Freezing Stress in Transgenic Alfalfa (Medicago Sativa L.). Plant Physiol. 1993, 103, 1155–1163. [Google Scholar] [CrossRef] [PubMed]
- NEWSHAM, K.K.; ROBINSON, S.A. Responses of Plants in Polar Regions to UVB Exposure: A Meta-Analysis. Glob. Chang. Biol. 2009, 15, 2574–2589. [Google Scholar] [CrossRef]
- Strømme, C.B.; Julkunen-Tiitto, R.; Olsen, J.E.; Nybakken, L. The Dioecious Populus Tremula Displays Interactive Effects of Temperature and Ultraviolet-B along a Natural Gradient. Environ. Exp. Bot. 2018, 146, 13–26. [Google Scholar] [CrossRef]
- Milchunas, D.G.; King, J.Y.; Mosier, A.R.; Moore, J.C.; Morgan, J.A.; Quirk, M.H.; Slusser, J.R. UV Radiation Effects on Plant Growth and Forage Quality in a Shortgrass Steppe Ecosystem. Photochem. Photobiol. 2004, 79, 404–410. [Google Scholar] [CrossRef] [PubMed]
- Jansen, M.A.K.; Ač, A.; Klem, K.; Urban, O. A Meta-analysis of the Interactive Effects of UV and Drought on Plants. Plant Cell Environ. 2022, 45, 41–54. [Google Scholar] [CrossRef] [PubMed]
- Singh, P.; Rai, S.; Pandey, S.; Srivastava, A.; Agrawal, C.; Kumar, S.; Rai, L. Cadmium and UV-B Induce Changes in Proteomic and Some Biochemical Attributes of Anabaena sp. PCC7120. Phykos 2012, 42, 39–50. [Google Scholar]
- Korkaric, M.; Behra, R.; Fischer, B.B.; Junghans, M.; Eggen, R.I.L. Multiple Stressor Effects in Chlamydomonas Reinhardtii—Toward Understanding Mechanisms of Interaction between Effects of Ultraviolet Radiation and Chemical Pollutants. Aquat. Toxicol. 2015, 162, 18–28. [Google Scholar] [CrossRef]
- Escobar-Bravo, R.; Klinkhamer, P.G.L.; Leiss, K.A. Interactive Effects of UV-B Light with Abiotic Factors on Plant Growth and Chemistry, and Their Consequences for Defense against Arthropod Herbivores. Front. Plant Sci. 2017, 8, 278. [Google Scholar] [CrossRef]
- Mark, U.; Tevini, M. Combination Effects of UV-B Radiation and Temperature on Sunflower (Helianthus Annuus L., Cv. Polstar) and Maize (Zea Mays L., Cv. Zenit 2000) Seedlings. J. Plant Physiol. 1996, 148, 49–56. [Google Scholar] [CrossRef]
- Teklemariam, T.; Blake, T.J. Effects of UVB Preconditioning on Heat Tolerance of Cucumber (Cucumis Sativus L.). Environ. Exp. Bot. 2003, 50, 169–182. [Google Scholar] [CrossRef]
- L’Hirondelle, S.J.; Binder, W.D. Temperature Stress Tolerance of Conifer Seedlings after Exposure to UV-B Radiation. Photochem. Photobiol. 2005, 81, 1094. [Google Scholar] [CrossRef] [PubMed]
- Kuebbing, S.E.; Nuñez, M.A. Invasive Non-Native Plants Have a Greater Effect on Neighbouring Natives than Other Non-Natives. Nat. Plants 2016, 2, 16134. [Google Scholar] [CrossRef] [PubMed]
- Golivets, M.; Wallin, K.F. Neighbour Tolerance, Not Suppression, Provides Competitive Advantage to Non-native Plants. Ecol. Lett. 2018, 21, 745–759. [Google Scholar] [CrossRef]
- Vilà, M.; Weiner, J. Are Invasive Plant Species Better Competitors than Native Plant Species? —Evidence from Pair-Wise Experiments. Oikos 2004, 105, 229–238. [Google Scholar] [CrossRef]
- Verlinden, M.; De Boeck, H.J.; Nijs, I. Climate Warming Alters Competition between Two Highly Invasive Alien Plant Species and Dominant Native Competitors. Weed Res. 2014, 54, 234–244. [Google Scholar] [CrossRef]
- Yu, H.; Shen, N.; Yu, S.; Yu, D.; Liu, C. Responses of the Native Species Sparganium Angustifolium and the Invasive Species Egeria Densa to Warming and Interspecific Competition. PLoS ONE 2018, 13, e0199478. [Google Scholar] [CrossRef]
- Ren, G.; Li, Q.; Li, Y.; Li, J.; Opoku Adomako, M.; Dai, Z.; Li, G.; Wan, L.; Zhang, B.; Zou, C.B.; et al. The Enhancement of Root Biomass Increases the Competitiveness of an Invasive Plant against a Co-Occurring Native Plant under Elevated Nitrogen Deposition. Flora 2019, 261, 151486. [Google Scholar] [CrossRef]
- Yang, X.; Yang, R.; Ye, Y.; Yuan, Z.; Wang, D.; Hua, K. Winter Wheat SPAD Estimation from UAV Hyperspectral Data Using Cluster-Regression Methods. Int. J. Appl. Earth Obs. Geoinf. 2021, 105, 102618. [Google Scholar] [CrossRef]
- Pavek, P.L.S. Plant Fact Sheet for Canada Goldenrod (Solidago canadensis); USDA-Natural Resources Conservation Service: Pullman, WA, USA, 2012.
- Weber, E. The Dynamics of Plant Invasions: A Case Study of Three Exotic Goldenrod Species (Solidago L.) in Europe. J. Biogeogr. 1998, 25, 147–154. [Google Scholar] [CrossRef]
- Lu, J.; Weng, E.; Wu, X.; Ewald, W.; Zhao, B.; Li, B. Potential Distribution of Solidago Canadensis in China. Acta Phytotaxon. Sin. 2007, 45, 670. [Google Scholar] [CrossRef]
- Dong, M.; Lu, J.; Zhang, W.; Chen, J.; Li, B. Canada goldenrod (Solidago Canadensis): An invasive alien weed rapidly spreading in China. Acta Phytotaxon. Sin. 2006, 44, 72. [Google Scholar] [CrossRef]
- Hartnett, D.C.; Bazzaz, F.A. Physiological Integration among Intraclonal Ramets in Solidago Canadensis. Ecology 1983, 64, 779–788. [Google Scholar] [CrossRef]
- Wan, L.; Qi, S.; Dai, Z.; Zou, C.B.; Song, Y.; Hu, Z.; Zhu, B.; Du, D. Growth Responses of Canada Goldenrod (Solidago Canadensis L.) to Increased Nitrogen Supply Correlate with Bioavailability of Insoluble Phosphorus Source. Ecol. Res. 2018, 33, 261–269. [Google Scholar] [CrossRef]
- Adomako, M.O.; Ning, L.; Tang, M.; Du, D.-L.; van Kleunen, M.; Yu, F.-H. Diversity- and Density-Mediated Allelopathic Effects of Resident Plant Communities on Invasion by an Exotic Plant. Plant Soil 2019, 440, 581–592. [Google Scholar] [CrossRef]
- Karpavičienė, B.; Radušienė, J.; Viltrakytė, J. Distribution of Two Invasive Goldenrod Species Solidago Canadensis and S. Gigantea in Lithuania. Bot. Lith. 2015, 21, 125–132. [Google Scholar] [CrossRef][Green Version]
- Shen, G.; Yao, H.; Guan, L.; Qian, Z.; Ao, Y. Distribution and Infestation of Solidago canadensis L. in Shanghai Suburbs and Its Chemical Control. Acta Agric. Shanghai 2005, 21, 1–4. [Google Scholar]
- Chinese Virtual Herbarium. Available online: https://www.cvh.ac.cn/ (accessed on 1 October 2022).
- Global Biodiversity Information Facility. Available online: https://www.gbif.org/ (accessed on 1 October 2022).
- Li, J.; Du, L.; Guan, W.; Yu, F.; van Kleunen, M. Latitudinal and Longitudinal Clines of Phenotypic Plasticity in the Invasive Herb Solidago Canadensis in China. Oecologia 2016, 182, 755–764. [Google Scholar] [CrossRef]
- Ranjbarfordoei, A.; Samson, R.; Damme, P. Photosynthesis Performance in Sweet Almond [Prunus Dulcis (Mill) D. Webb] Exposed to Supplemental UV-B Radiation. Photosynthetica 2011, 49, 107–111. [Google Scholar] [CrossRef]
- Paranychianakis, N.V.; Tsiknia, M.; Kalogerakis, N. Pathways Regulating the Removal of Nitrogen in Planted and Unplanted Subsurface Flow Constructed Wetlands. Water Res. 2016, 102, 321–329. [Google Scholar] [CrossRef]
- Mansouri, H. Aligned Rank Transform Tests in Linear Models. J. Stat. Plan. Inference 1999, 79, 141–155. [Google Scholar] [CrossRef]
- Mansouri, H.; Paige, R.L.; Surles, J.G. Aligned Rank Transform Techniques for Analysis of Variance and Multiple Comparisons. Commun. Stat. Theory Methods 2004, 33, 2217–2232. [Google Scholar] [CrossRef]
- Wobbrock, J.O.; Findlater, L.; Gergle, D.; Higgins, J.J. The Aligned Rank Transform for Nonparametric Factorial Analyses Using Only Anova Procedures. In Proceedings of the SIGCHI Conference on Human Factors in Computing Systems; ACM: Vancouver, BC, Canada, 2011; pp. 143–146. [Google Scholar]
- Treidel, L.A.; Carter, A.W.; Bowden, R.M. Temperature Experienced during Incubation Affects Antioxidant Capacity but Not Oxidative Damage in Hatchling Red-Eared Slider Turtles (Trachemys Scripta Elegans). J. Exp. Biol. 2015, 219, 561–570. [Google Scholar] [CrossRef] [PubMed]
- Kay, M.; Elkin, L.A.; Higgins, J.J.; Wobbrock, J.O. ARTool: Aligned Rank Transform 2021. Available online: https://cran.r-project.org/web/packages/ARTool/index.html (accessed on 1 October 2022).
- Elkin, L.A.; Kay, M.; Higgins, J.J.; Wobbrock, J.O. An Aligned Rank Transform Procedure for Multifactor Contrast Tests. In Proceedings of the 34th Annual ACM Symposium on User Interface Software and Technology, Association for Computing Machinery, New York, NY, USA, 10–14 October 2021. [Google Scholar]
- Burian, A.; Pinn, D.; Peralta-Maraver, I.; Sweet, M.; Mauvisseau, Q.; Eyice, O.; Bulling, M.; Röthig, T.; Kratina, P. Predation Increases Multiple Components of Microbial Diversity in Activated Sludge Communities. ISME J. 2022, 16, 1086–1094. [Google Scholar] [CrossRef] [PubMed]



| Source | S. canadensis | A. argyi | ||||||
|---|---|---|---|---|---|---|---|---|
| Total Biomass | Root: Shoot Ratio | Leaf Area | Leaf Mass | Total Miomass | Root: Shoot Ratio | Leaf Area | Leaf Mass | |
| T | 81.22 *** | 0.13 | 159.74 *** | 92.31 *** | 26.70 *** | 7.09 ** | 25.13 *** | 0.00 |
| U | 0.41 | 8.57 ** | 26.30 *** | 13.37 *** | 0.05 | 0.29 | 21.50 *** | 0.32 |
| C | 0.22 | 12.75 *** | 0.55 | 8.24 ** | 0.97 | 8.02 ** | 2.09 | 2.09 |
| U × T | 2.46 | 0.00 | 36.24 *** | 4.26 * | 0.29 | 0.54 | 16.10 *** | 0.95 |
| T × C | 0.05 | 0.75 | 0.17 | 6.71 * | 0.96 | 0.48 | 1.00 | 0.20 |
| U × C | 3.39 | 14.35 *** | 3.30 | 2.46 | 0.79 | 1.53 | 1.90 | 6.79 * |
| U × T × C | 0.05 | 1.82 | 11.35 ** | 10.17 ** | 0.50 | 2.38 | 8.82 ** | 18.57 *** |
| Source | S. canadensis | A. argyi | ||||||
|---|---|---|---|---|---|---|---|---|
| Net Photosynthetic Rate | Stomatal Conductance | Chlorophyll Content | Fv/Fm | Net Photosynthetic Rate | Stomatal Conductance | Chlorophyll Content | Fv/Fm | |
| T | 4.71 * | 40.67 *** | 0.00 | 10.82 ** | 8.93 ** | 0.27 | 7.25 ** | 5.10 * |
| U | 0.86 | 0.96 | 0.10 | 1.80 | 19.39 *** | 15.94 *** | 0.76 | 2.21 |
| C | 0.02 | 13.86 *** | 0.03 | 2.80 | 3.27 | 4.34 * | 5.20 * | 6.00 * |
| U × T | 4.04 * | 0.00 | 0.53 | 8.50 ** | 16.89 *** | 46.01 *** | 21.36 *** | 3.82 |
| T × C | 2.87 | 15.83 *** | 1.17 | 6.55 * | 1.64 | 15.80 *** | 3.16 | 0.03 |
| U × C | 5.19 * | 6.20 * | 2.77 | 8.32 ** | 0.21 | 2.65 | 8.40 ** | 0.29 |
| U × T × C | 0.42 | 0.90 | 0.18 | 0.03 | 0.52 | 4.09 * | 1.66 | 0.09 |
| Source | S. canadensis | A. argyi | ||||
|---|---|---|---|---|---|---|
| C:N | C:P | N:P | C:N | C:P | N:P | |
| T | 0.02 | 37.71 *** | 14.22 ** | 8.73 ** | 27.44 *** | 18.64 *** |
| U | 26.16 *** | 11.80 ** | 22.08 *** | 31.50 *** | 17.75 *** | 20.88 *** |
| C | 50.82 *** | 0.81 | 21.84 *** | 0.71 | 12.14 ** | 4.24 |
| U × T | 16.10 ** | 1.62 | 8.68 ** | 2.66 | 3.78 | 0.66 |
| T × C | 21.90 *** | 0.35 | 1.55 | 0.02 | 0.06 | 0.02 |
| U × C | 11.20 ** | 3.55 | 5.41 * | 1.64 | 0.01 | 2.18 |
| U × T × C | 5.76 * | 0.72 | 0.00 | 0.71 | 1.30 | 0.38 |
| Trait | Units | Method | |
|---|---|---|---|
| Growth | Aboveground biomass | g | The dry weight of the plant above the base |
| Underground biomass | g | The dry weight of the plant under the base | |
| Total biomass | g | TB = AB + UB | |
| Root shoot ratio | % | R/S = UB/AB × 100% | |
| Leaf area | cm2 | Leaf area meter | |
| Leaf mass | G | Leaf fresh weight | |
| Photosynthesis | Net photosynthetic rate | μmol m−2 s−1 | FS-3080H plant photosynthetic measurement system |
| Stomatal conductance | μmol m−2 s−1 | ||
| Chlorophyll content | SPAD | SPAD-502 PLUS chlorophyll meter | |
| Primary light energy conversion efficiency of PSII | - | PAR-FluorPen FP 110/D portable chlorophyll fluorescence tester (Fm − Fo)/Fm | |
| Plant nutrient ratios | Plant carbon nitrogen ratio | - | CN = OC (Organic carbon)/TN (Total nitrogen) |
| Plant carbon phosphorus ratio | - | CP = OC/TP (Total phosphorus) | |
| Plant nitrogen phosphorus ratio | - | NP = TN/TP |
Disclaimer/Publisher’s Note: The statements, opinions and data contained in all publications are solely those of the individual author(s) and contributor(s) and not of MDPI and/or the editor(s). MDPI and/or the editor(s) disclaim responsibility for any injury to people or property resulting from any ideas, methods, instructions or products referred to in the content. |
© 2022 by the authors. Licensee MDPI, Basel, Switzerland. This article is an open access article distributed under the terms and conditions of the Creative Commons Attribution (CC BY) license (https://creativecommons.org/licenses/by/4.0/).
Share and Cite
Yang, B.; Cui, M.; Dai, Z.; Li, J.; Yu, H.; Fan, X.; Rutherford, S.; Du, D. Non-Additive Effects of Environmental Factors on Growth and Physiology of Invasive Solidago canadensis and a Co-Occurring Native Species (Artemisia argyi). Plants 2023, 12, 128. https://doi.org/10.3390/plants12010128
Yang B, Cui M, Dai Z, Li J, Yu H, Fan X, Rutherford S, Du D. Non-Additive Effects of Environmental Factors on Growth and Physiology of Invasive Solidago canadensis and a Co-Occurring Native Species (Artemisia argyi). Plants. 2023; 12(1):128. https://doi.org/10.3390/plants12010128
Chicago/Turabian StyleYang, Bin, Miaomiao Cui, Zhicong Dai, Jian Li, Haochen Yu, Xue Fan, Susan Rutherford, and Daolin Du. 2023. "Non-Additive Effects of Environmental Factors on Growth and Physiology of Invasive Solidago canadensis and a Co-Occurring Native Species (Artemisia argyi)" Plants 12, no. 1: 128. https://doi.org/10.3390/plants12010128
APA StyleYang, B., Cui, M., Dai, Z., Li, J., Yu, H., Fan, X., Rutherford, S., & Du, D. (2023). Non-Additive Effects of Environmental Factors on Growth and Physiology of Invasive Solidago canadensis and a Co-Occurring Native Species (Artemisia argyi). Plants, 12(1), 128. https://doi.org/10.3390/plants12010128

