Next Article in Journal
Design of Intelligent Detection Platform for Wine Grape Pests and Diseases in Ningxia
Next Article in Special Issue
Research Trends, Biases, and Gaps in Phytochemicals as Insecticides: Literature Survey and Meta-Analysis
Previous Article in Journal
Coalescent-Based Species Delimitation in Herbaceous Bamboos (Bambusoideae, Olyreae) from Eastern Brazil: Implications for Taxonomy and Conservation in a Group with Weak Morphological Divergence Coupled with Low Genetic Diversity
Previous Article in Special Issue
Can Essential Oils Be a Natural Alternative for the Control of Spodoptera frugiperda? A Review of Toxicity Methods and Their Modes of Action
 
 
Font Type:
Arial Georgia Verdana
Font Size:
Aa Aa Aa
Line Spacing:
Column Width:
Background:
Systematic Review

Insecticidal Activity of Essential Oils against Mealybug Pests (Hemiptera: Pseudococcidae): A Systematic Review and Meta-Analysis

by
Miriam del Valle Avila
1,2,
Fernanda Achimón
1,2,*,
Vanessa Daniela Brito
1,2,
Ramiro Aguilar
2,
Romina Paola Pizzolitto
1,2,
María Paula Zunino
1,2 and
María Laura Peschiutta
1,2,*
1
Cátedra de Química Orgánica, Facultad de Ciencias Exactas, Físicas y Naturales, Universidad Nacional de Córdoba, Av. Vélez Sarsfield 1611, Córdoba X5016GCA, Argentina
2
Instituto Multidisciplinario de Biología Vegetal (IMBIV), CONICET-Universidad Nacional de Córdoba, Av. Vélez Sarsfield 1611, Córdoba X5016GCA, Argentina
*
Authors to whom correspondence should be addressed.
Plants 2023, 12(1), 109; https://doi.org/10.3390/plants12010109
Submission received: 8 December 2022 / Revised: 22 December 2022 / Accepted: 22 December 2022 / Published: 26 December 2022
(This article belongs to the Special Issue Plant Extracts as Biological Protective Agents)

Abstract

Most mealybugs of the Pseudococcidae family are important pests of agriculture and ornamental gardens. Our aim was to perform a review and meta-analysis on 14 published scientific articles on the insecticidal activity of essential oils (EOs) against mealybug species of the Pseudococcidae family. Data on (1) species, genus, families, and plant parts from which the EO was extracted; (2) the main compounds of each EO; (3) the highest and lowest concentrations tested; and (4) the application method used for the toxicological studies was collected from each study. The metafor package (R software) was used to perform a three-level random effects meta-analysis. The families Lamiaceae, Rutaceae, Myrtaceae, Zingiberaceae and Euphorbiaceae and the genera Citrus, Cymbopogon, Syzygium, Cinnamomum and Jatropha were the most used among the studies. According to the results from the meta-analyses, 13 out of 24 genera analyzed were effective against mealybugs. All methods were effective, but fumigation and indirect contact were the most frequently used methodologies. The results obtained from the present review and meta-analysis could be used for the potential development of natural biopesticide formulations against mealybugs belonging to the Pseudococcidae family.

1. Introduction

The commonly known mealybugs or coccids include all members of the Coccoidea superfamily (Hemiptera), which is composed of 28 families [1]. Among them, one of the most important family is Pseudococcidae, which comprises insects characterized by a soft, oval body, mostly covered by a floury layer and waxy secretions, with lateral and caudal extensions in varying length according to the species [1,2]. Most mealybugs of the Pseudococcidae family are major pests in agriculture and ornamental gardens [3,4] and can be found infesting the leaves, branches and roots of their host plant [1,2]. They can feed on plants such as grapevine, coffee, pineapple, cotton and citrus, among other fruit plants. In addition, they can also infest palm trees, cacti and succulents, and different ornamental plants [5,6,7].
Mealybug species that feed on fruit trees negatively affect fruit production by sucking sap from the phloem, excreting large amounts of sugar and water as a sugary, carbohydrate-rich substance known as honeydew. This substance causes severe secondary damage, as it promotes the growth of sooty mold (black fungus), which decreases photosynthesis and affects the development of the host plant [8]. Fruits stained with sooty mold or suspected of containing mealybugs are rejected when exported, due to strict phytosanitary regulations; and these economic losses due to infestations by mealybugs have increased dramatically in recent years [6].
The control of these phytophagous insects in agroecosystems is difficult due to their small body size and cryptic nature [9]. Currently, the main control is based on the application of synthetic pesticides [6,8]. The sustained use of synthetic pesticides contributes to the crisis in agriculture that affects ecosystems, natural resources, as well as the health of rural communities and urban consumers [10,11], in addition to generating resistance in pests [12]. Consequently, these negative effects have highlighted the need to develop new eco-friendly effective insecticides. In this context, several studies have proposed certain botanical products as safer natural alternatives to synthetic insecticides [13,14,15,16], such as essential oils (EOs) derived from aromatic plants [17,18]. Essential oils consist of complex mixtures of approximately 20–60 different volatile organic compounds (VOCs), of which only two or three are present at high concentrations, while the others are considered minor constituents [19,20]. The VOC profile of EOs can vary not only between species, but also according to the part of the plant used for EO extraction [20,21]. There are also important differences in the chemical composition and bioactivity of a single EO depending on the geographical distribution, harvest time, growth conditions, and developmental stage of the plant used to obtain the EO as well as the extraction methods [22]. In addition, the same EO can exert different effects due to the variety of experimental procedures available to evaluate insecticidal activity, such as application method [13,23,24]. The EOs can be applied directly to the insect by spraying or through topical application, or indirectly by spraying or immersing the substrate; or by fumigation (EO vapor in the air) [25,26,27].
Despite the well-known advantages of using EOs for agricultural pest management, so far, the state of the art and the perspective of EO development for pseudococcid control have not been reviewed. Therefore, the aim of the present study was to analyze the insecticidal effect (mortality) of plant EOs against mealybugs (Pseudococcidae) through a systematic review and meta-analysis.

2. Results

Figure 1 presents a summary of the literature search through different multidisciplinary databases. The initial search returned a total of 1045 articles. After removing duplicates (n = 164), 881 were recovered; next, 609 were excluded based on their titles, followed by 246 articles being excluded based on their abstract. Then, the full text of the 26 resulting articles was evaluated. Twelve studies did not meet the selection criteria: 4 articles evaluated insecticidal formulations and 8 articles lacked information regarding sample sizes and/or variance measures or only reported LC50. Finally, 14 studies (162 assays) met the inclusion criteria and were included in the analyses. The selected articles and the main compounds of the EOs are presented in Table 1.
Lamiaceae (18.52%), Rutaceae (14.81%), Euphorbiaceae (11.11%), Myrtaceae (11.11%), and Zingiberaceae (11.11%) were the families most frequently used in the studies, while the rest of the families accounted for 33.34%. The genera Citrus (14.81%), Cymbopogon (9.26%), Cinnamomum (7.41%), Jatropha (7.41%), and Syzygium (7.41%) were the most used in the studies, while the remaining genera accounted for 53.70%. Cymbopogon citratus (7.41%), Jatropha curcas (7.41%), and Syzygium aromaticum (7.41%) were the most frequently used species against mealybugs while the rest of the species accounted for 77.77%. On the other hand, the part of the plant more frequently employed for the extraction of EOs were the leaves (27.78%) and seeds (20.37%), followed by fruit peels (12.96%), aerial parts (11.11%), roots (7.41%), and buds (3.70%). Furthermore, it should be noted that 16.67% of the studies did not report from which part of the plant the EOs were extracted.
The studies conducted using the fumigant method (46.30%), where the EOs saturated the atmosphere of the containers containing the mealybugs without direct contact with them, were the most frequently represented among the studies. Less frequent were those studies carried out by indirect contact (31.48%) either by spraying the substrate with EOs or submerging the substrate into EOs. This substrate was generally a filter paper or food (coffee leaves, conil, papaya, Citrus reticulata branches and Hibiscus rosa-sinensis leaves). On the other hand, studies conducted with direct contact methodology where the EOs were sprayed directly on the insect were less represented (22.22%).
The mealybug species of the Pseudococcidae family that were the most frequently used to test the insecticidal effect of EOs were Pseudococcus jackbeardsleyi (33.33%), followed by Maconellicoccus hirsutus (22.22%), and Planococcus citri (11.11%) while the rest of the species accounted for 33.34% of the total studies. The mealybug development stage more represented was the nymphal stage (53.70%), followed by adults (38.89%), while the remaining trials (7.41%) did not report the development stage.
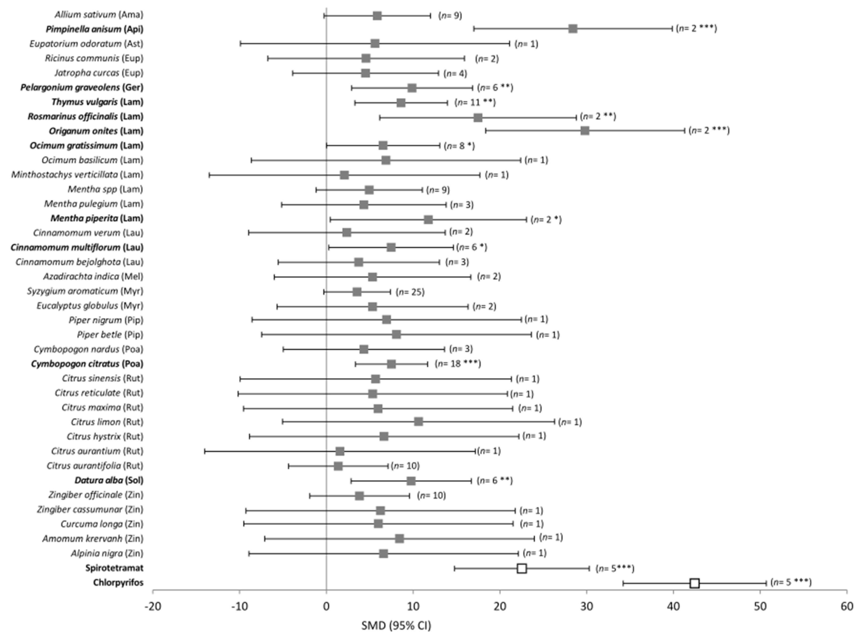
According to the meta-analyses conducted, the genera Allium (Amaryllidaceae), Pimpinella (Apiaceae), Pelargonium (Geraniaceae), Mentha (Lamiaceae), Ocimum (Lamiaceae), Origanum (Lamiaceae), Rosmarinus (Lamiaceae), Thymus (Lamiaceae), Cinnamomum (Lauraceae), Syzygium (Myrtaceae), Cymbopogon (Poaceae), Datura (Solanaceae), and Zingiber (Zingiberaceae) showed mean effects very different from the rest of the genera, with Origanum and Pimpinella being the ones with higher effects, similar to those of the synthetic insecticides chlorpyrifos and spirotetramat (QM = 110.6218, df = 25, p < 0.0001; Figure 2).
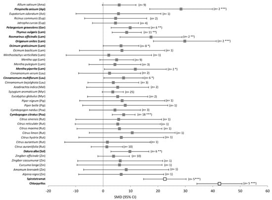
The EOs of Pimpinella anisum (Apiaceae), Pelargonium graveolens (Geranaceae), Thymus vulgaris (Lamiaceae), Rosmarinus officinalis (Lamiaceae), Ocimum gratissimum (Lamiaceae), Mentha piperita (Lamiaceae), Cinnamomum multiflorum (Lauraceae), Origanum onites (Lamiaceae), Cymbopogon citratus (Poaceae), and Datura alba (Solanaceae) showed insecticidal effect against mealybugs, with P. anisum and O. onites EOs reporting insecticidal activities similar to those of chlorpyrifos and spirotetramat (QM = 118.68, df = 39, p < 0.0001, Figure 3).
In addition, the effects of EOs extracted from the different tissues (roots, seeds, fruit peels, leaves and buds, and aerial parts) were similarly effective as insecticides (QM = 7.46, df = 5, p = 0.19; Figure 4a). Also, all application methods had similar effects as insecticides, with no statistically significant differences among them (QM = 2.53, df = 2, p = 0.28, Figure 4b).

3. Discussion

Plant EOs have been the subject of investigation by many disciplines due to their wide range of bioactivities including antimicrobial and insecticidal, as well as therapeutic and medicinal effects [28]. In this review, we found that Lamiaceae, Rutaceae, Myrtaceae, Euphorbiaceae, and Zingiberaceae were the most frequently evaluated families against mealybugs. Our results are in agreement with other authors who found that these EOs were more common in mortality tests against mosquitoes [29] and stored product insects [17,30,31]. Essential oils from Citrus (Rutaceae), Cymbopogon (Poaceae), Cinnamomum (Lauraceae), Jatropha (Euphorbiaceae), and Syzygium (Myrtaceae) were the most represented. The classical EO extraction method is based on the steam distillation apparatus (Clevenger) developed in 1928. Today, this method has been adapted and extended for industrial production. Steam distillation requires large vessels due to the low yield (typically < 1%) of the biomass and is expensive due to the high temperatures required for distillation. Citrus peel is an exception due to the large quantities of EOs that can be obtained cheaply by cold pressing and conventional distillation [17]. The ease of obtaining this EO, in addition to its effectiveness (high content of limonene) make the Citrus genus one of the most chosen for laboratory experiments. However, many species other than Citrus spp. were also widely used in studies, generally due to their widespread distribution, low cost, and ease of availability on the market. One of these species was the clove (Syzygium aromaticum, Myrtaceae), a valuable spices that has been used for centuries as a food preservative and for medicinal purposes [32]. Another widely used species was lemongrass (Cymbopogon citratus, Poaceae), which is distributed worldwide and is cultivated mainly for its EO, which is of considerable commercial importance due to its use in the manufacture of fragrances, flavors, perfumery, cosmetics, detergents, and pharmaceuticals. In addition, the non-edible EO of Jatropha curcas is currently considered as an important raw material for biodiesel production [33,34]. According to the results of the meta-analyses, 13 out of the 24 genera analyzed were effective against mealybugs. For example, a recent publication found that adults of P. ficus were more susceptible to EO from Cymbopogon citratus (LC90 = 0.01 µL/cm2), in relation to EOs from Pelargonium graveolens (LC90 = 0.14 µL/cm2) and Mentha piperita (LC90 = 0.34 µL/cm2) [35]. Erdemir and Erler [36] compared fumigant effects of several EOs on Planococcus citri after 24 h of exposure and found the following order of toxicity: Origanum onites (LC50 = 1.17 μL/L air) > Thymus vulgaris (LC50 = 1.44 μL/L air) > Pimpinella anisum (LC50 = 1.57 μL/L air) > Rosmarinus officinalis (LC50 = 2.64 μL/L air) > Mentha piperita (LC50 = 3.27 μL/L air). Furthermore, Ghafoor, et al. [37] found that Datura alba EO (LC50 = 2.16 and 0.80% v/v) was more effective against Drosicha mangiferae than EOs from Cymbopogon citratus (LC50 = 12.25 and 1.27% v/v) and Syzygium aromaticum (LC50 = 6.31 and 0.90% v/v) at 48 and 72 h, respectively. Most plant EOs showed similar effectiveness to spirotetramat, which is highly effective against sap-sucking scale insects and is widely used in the field to combat mealybug pests [38]. However, only P. anisum and O. onites EOs showed insecticidal activity similar to that of chlorpyrifos, which is considered more toxic and harmful than spirotetramat. Chlorpyrifos has been regarded among the most commonly applied and effective insecticide against scale insects (mealybugs and armored scales) in the field [9,38,39,40]. Although chlorpyrifos generally produce high toxicity against mealybugs, this synthetic insecticide presents some limitations, for example, adverse effects on non-target natural enemies and insect pollinators, in addition to development of resistance in scale insects [9,41,42]. Therefore, the use of plant EOs such as P. anisum and O. onites should be considered for controlling mealybugs over the synthetic insecticides when implementing eco-friendly integrated pest management programs.
Although the toxicity and repellency of plant EOs and their terpenoid constituents have been long recognized, the exact biochemistry and mechanisms of action remain to be fully understood, particularly in mealybugs. Knowledge on the chemical properties of EO compounds is necessary to determine the safety and economy of their use in agriculture. Insecticides of natural origin can affect the physiology of insects in different pathways and receptor sites. Essential oils and their constituents affect many biochemical processes. They can specifically produce neurological or endocrinological imbalances in insects; for example, they can act as insect growth regulators, disrupting the normal process of morphogenesis [43]. Acetylcholinesterase (AChE) plays a role in cholinergic synapses which is crucial for insects and higher animals. The inhibition of AChE, one of the most important modes of action of VOCs, causes the accumulation of acetylcholine at the synapse site; the postsynaptic membrane is permanently stimulated, resulting in ataxia, loss of coordination in the nervous and neuromuscular systems and eventually death [44]. Recent studies by Brahmi, et al. [35] found that the EO from Cymbopogon citratus, an effective species against mealybugs, affects the nervous system of adult Planococcus ficus, which was evidenced by a significant inhibition of AChE activity. The main components of this EO, citral and limonene, are known as AChE inhibitors in electric eel (freshwater fish) and rice weevil (insect), respectively [45,46]. Limonene also has the ability to degrade lipids from the cuticle of the insect exoskeleton [47]. It has been reported in several studies that eucalyptol, one of the main components of EO from Rosmarinus officinalis that were effective against mealybugs, showed strong AChE inhibitory activity in different insects [45,48,49]. A similar pattern was obtained with EOs from Origanum onites and Thymus vulgaris with terpinen-4-ol as a constituent of their EOs [45]. The EOs of two species that were effective against mealybugs, Datura alba and Origanum onites, present carvacrol as one of their main compounds. This compound is also known as an AChE inhibitor in some insects such as Drosophila melanogaster [50]. Furthermore, carvacrol can interact with the octopamine receptor by altering the conformation and increasing the affinity for endogenous G-protein in the American cockroach [51]. The genus Datura and the species Ocimum gratissimum also have thymol as their main component [52]. This compound can act at the level of the GABA system, blocking GABA channels, thus reducing neuronal inhibition and leading to hyperexcitation of the central nervous system, seizures, and death. Another mode of action of thymol is its interaction with the octopamine receptor [43]. Similarly, p-cymene and trans-anethole, the main compounds of Thymus vulgaris and Ocimum gratissimum, and Pimpinella anisum, respectively, were also found as strong antagonists of the octopamine receptor [45].
The bioactivity of an EO is usually attributable to its major component; however, the general activity of the EO is usually explained by the sum of the activities of the individual components, showing additive, synergistic, or antagonistic effects [28]. For example, both isomers (thymol and carvacrol) could synergize in Datura alba EO and increase their insecticidal activity in relation to their individual effect, similar to what was reported for Spodoptera littoralis [53].
The results from the present study showed that the EOs extracted from all plant parts were effective against mealybugs, with leaves and seeds being the most frequently used among the studies. The variability of the active compounds in these EOs can be attributed to several factors, such as climatic conditions, type of water and soil, harvest time, part of the plant, age of the plant, type of plant sample used (fresh or dry), geographic factors (location), genetic factors (chemotype), and extraction method [45,54,55]. The application methods of EOs can also play an important role in their bioactivity. All methods were effective against these insects, with fumigation being the most frequently used against mealybugs. The main routes of insecticide entry into the arthropod body include the oral-digestive route (digestive tract), the dermal contact route (tarsi, antennae or the entire surface of the cuticle and intersegmental membranes), and the respiratory-inhalation route (spiracle and tracheal system of insects) [56]. Traditional contact insecticide treatments against mealybug populations show limited efficacy in reducing the density of mealybug eggs, nymphs, and adults. This could be explained by their cryptic behavior (many reside hidden under the trunk bark) and the waxy excretions that coat their bodies, which could hinder the ability of these insecticides to achieve full contact with the pest [9]. On the other hand, EOs can penetrate the waxy layer of these insects since these compounds are quite lipophilic, so they can quickly enter and interfere with physiological functions [57]. Fumigation, conversely, is a method that allows a more homogeneous distribution of EOs and has a high ability to move through the insect cuticle or enter through its respiratory system [23].
The present work reviewed the insecticidal effect of EOs against mealybugs of the Pseudococcidae family. A wide spectrum of modes of action was described for these EOs, which is an important feature to prevent the development of pest resistant populations. Essential oils are positioned as excellent botanical insecticides to combat mealybug pests, because these insects develop a waxy layer that makes them less susceptible to synthetic insecticides [26]. Additionally, EOs have low toxicity for mammals and humans and have low persistence in the environment. The results obtained from this review and meta-analyses could be used for the development of future eco-friendly biopesticide formulations against mealybugs of the Pseudococcidae family.

4. Materials and Methods

The systematic review and meta-analysis were performed according to the Preferred Reporting Items for Systematic Reviews and Meta-Analysis (PRISMA) criteria [58]. The studies were obtained from eleven electronic databases: Scopus, ScienceDirect, SciELO, JSTOR, Wiley Online Library, Network of Scientific Journals of Latin America and the Caribbean, Spain and Portugal, Cambridge University Press, BioOne, SpringerLink, Taylor & Francis and Academic Google. We used the search construct “(Pseudococcidae) AND (“essential oils” OR “essential oil”) AND (mortality)” to find primary literature on insecticidal activity of EOs on mealybugs. The collection of primary studies was created using the Zotero bibliographic manager [59], and duplicate records were deleted. Then, the quality of the remaining articles was evaluated for the meta-analysis. Papers were included only if they met the following criteria: (1) full-text articles published from 2000 (1 January 2000) (according to the criteria established by Monsreal-Ceballos, et al. [60]) to 31 October 2022; (2) studies reported adult or nymphal mortality; and (3) studies provided means, sample sizes, and measures of variance (standard deviation or standard error) for at least two EO concentrations. The study selection was conducted first by title, then by abstract and finally by reading the complete work. Two reviewers independently performed eligibility assessment and data extraction. Disagreements were arbitrated by a third reviewer and then resolved by consensus. From each study, the following information was collected: (1) the species, genera, families and parts of the plants from which the EO was obtained; (2) highest and lowest concentrations tested; (3) the type of application or method used for the toxicological studies, including contact (direct or indirect) or fumigant; (4) the three main compounds of each EO; and (5) species and developmental stage of the mealybug tested (these last two variables were only included for the systematic review). When a study did not report the main compounds of the EOs, the VOC profile was obtained from other literature articles (Table 1).

Statistical Analysis

The standardized mean difference (SMD) between high doses and low doses of EOs and the corresponding sample variance for each study were calculated, according to the following formula: SMD = (m1i − m2i)/sdpi, where m1i and m2i are the observed means of the two groups (high dose and low dose, respectively), sdpi = sqrt(((n1i − 1) × sd1i2 + (n2i − 1) × sd2i2)/(n1i + n2i − 2)) is the combined standard deviation of the two groups, where sd1i and sd2i are the observed standard deviations, and n1i and n2i are the number of individuals in each group.
Values of standard error were transformed to standard deviation according to the equation: SD = SE √ n, where SD is the standard deviation, SE is the standard error, and n is the sample size. Several of the recovered articles presented more than one effect (e.g., effects for different plant species in the same article). For that reason, for each calculated effect we included the study identity as a nested random factor. Thus, we incorporated a new level of variation that included the dependence of the effects obtained from the same study [95]. The rma.mv function from the metafor package that is invoked in R (version 3.2.2) was used to perform a three-level random-effects meta-analysis [95,96,97]. Species, genera and plant parts, and application method were included as moderators. The QM statistic that measures the variance between the groups being compared is reported. The EO insecticidal activity of plant species and genera were compared with two synthetic insecticides, spirotetramat (a tetramic acid derivative belonging to the main chemical group Inhibitors of acetyl CoA carboxylase [98]), applied at its field recommended (registered) dose (120 mL/hL), and chlorpyrifos (an organophosphate belonging to the main chemical group Acetylcholinesterase inhibitors [98]), applied at its field recommended (registered) dose (100 mL/hL) [38].

Author Contributions

Conceptualization, M.d.V.A., M.P.Z. and M.L.P.; methodology, M.d.V.A. and M.L.P.; formal analysis, M.d.V.A., F.A., R.A. and M.L.P.; investigation, M.d.V.A., F.A., V.D.B., R.A., R.P.P., M.P.Z. and M.L.P.; writing—original draft preparation, M.d.V.A., F.A. and M.L.P.; writing—review and editing, M.d.V.A., F.A., R.A. and M.L.P.; visualization, M.L.P.; supervision, M.L.P.; project administration, M.P.Z. and M.L.P.; funding acquisition, M.P.Z. and M.L.P. All authors have read and agreed to the published version of the manuscript.

Funding

This work complies with Argentinean laws. Financial support for this work came from the following sources: Fondo para la Investigación Científica y Tecnológica (PICT 2020 SERIE A 00824-; PICT 2018-3697), Consejo Nacional de Investigaciones Científicas y Técnicas (PIP: 11220200100712CO) and Universidad Nacional de Córdoba (SECyT).

Institutional Review Board Statement

Not applicable.

Informed Consent Statement

Not applicable.

Data Availability Statement

Not applicable.

Conflicts of Interest

The authors declare no conflict of interest.

References

  1. Portilla, A.A.R.; Cardona, F.J.S. Coccoidea de Colombia, con énfasis en las cochinillas harinosas (Hemiptera: Pseudococcidae). Rev. Fac. Nac. Agron. Medellin 2004, 57, 2383–2412. [Google Scholar]
  2. Estopà Consuegra, L. Control Biológico de la Cochinilla Algodonosa de la Vid Planococcus Ficus (Signoret)(Hemiptera: Pseudococcidae) en Uva de Mesa en el Valle del Vinalopó. Influencia y Manejo de las Hormigas. Master’s Thesis, Universidad Politécnica de València, València, Spain, 2016. [Google Scholar]
  3. Hollingsworth, R.G. Limonene, a citrus extract, for control of mealybugs and scale insects. J. Econ. Entomol. 2005, 98, 772–779. [Google Scholar] [CrossRef] [PubMed]
  4. Palma-Jiménez, M.; Blanco-Meneses, M.; Guillén-Sánchez, C. Las cochinillas harinosas (Hemiptera: Pseudococcidae) y su impacto en el cultivo de Musáceas. Agron. Mesoam. 2019, 30, 281–298. [Google Scholar] [CrossRef]
  5. Becerra, V.; González, M.; Herrera, M.; Miano, J. Dinámica poblacional de Planococcus ficus Sign. (Hemiptera—Pseudococcidae) en viñedos. Mendoza (Argentina). Rev. FCA UNCuyo 2006, XXXVIII, 1. [Google Scholar]
  6. Daane, K.; Almeida, R.; Bell, V.; Botton, M.; Fallahzadeh, M.; Mani, M. Arthropod Management in Vineyards: Pests, Approaches and Future Directions; Bostanian, N.J., Vincent, C., Isaacs, R., Eds.; Springer: New York, NY, USA, 2012; pp. 271–307. [Google Scholar]
  7. Santa-Cecília, L.V.C.; Silva, K.H. Interaction between mealybugs (Pseudococcidae) and coffee plants. Coffee Sci. 2020, 15, e151690. [Google Scholar] [CrossRef]
  8. Mathulwe, L.; Malan, A.; Stokwe, N. A review of the biology and control of the obscure mealybug, Pseudococcus viburni (Hemiptera: Pseudococcidae), with special reference to biological control using entomopathogenic fungi and nematodes. Afr. Entomol. 2021, 29, 1–16. [Google Scholar] [CrossRef]
  9. Mansour, R.; Belzunces, L.P.; Suma, P.; Zappalà, L.; Mazzeo, G.; Grissa-Lebdi, K.; Russo, A.; Biondi, A. Vine and citrus mealybug pest control based on synthetic chemicals. A review. Agron. Sustain. Dev. 2018, 38, 37. [Google Scholar] [CrossRef]
  10. Isman, M.B. Botanical insecticides, deterrents, and repellents in modern agriculture and an increasingly regulated world. Annu. Rev. Entomol. 2006, 51, 45–66. [Google Scholar] [CrossRef]
  11. Fantke, P.; Friedrich, R.; Jolliet, O. Health impact and damage cost assessment of pesticides in Europe. Environ. Int. 2012, 49, 9–17. [Google Scholar] [CrossRef]
  12. Harelimana, A.; Rukazambuga, D.; Hance, T. Pests and diseases regulation in coffee agroecosystems by management systems and resistance in changing climate conditions: A review. J. Plant Dis. Prot. 2022, 129, 1041–1052. [Google Scholar] [CrossRef]
  13. Peschiutta, M.L.; Brito, V.; Achimón, F.; Dambolena, J.; Zygadlo, J.; Ordano, M. Botanical compounds to combat vineyards mealybugs: An ideal alternative for organic vitiviniculture. Res. Rev. J. Bot. Sci. 2018, 7, 9–16. [Google Scholar]
  14. Campos, E.V.; Proença, P.L.; Oliveira, J.L.; Bakshi, M.; Abhilash, P.; Fraceto, L.F. Use of botanical insecticides for sustainable agriculture: Future perspectives. Ecol. Indic. 2019, 105, 483–495. [Google Scholar] [CrossRef]
  15. Damalas, C.A.; Koutroubas, S.D. Botanical pesticides for eco-friendly pest management. In Pesticides in Crop Production; John Wiley & Sons, Ltd.: Hoboken, NJ, USA, 2020; pp. 181–193. [Google Scholar]
  16. Peschiutta, M.L.; Brito, V.; Ordano, M.; Zygadlo, J.A. Efficacy of selected volatile compounds for organic vine mealybug control. VITIS 2019, 58, 1–6. [Google Scholar]
  17. Regnault-Roger, C.; Vincent, C.; Arnason, J. Essential oils in insect control: Low-risk products in a high-stakes world. Annu. Rev. Entomol. 2012, 57, 405–424. [Google Scholar] [CrossRef]
  18. Zunino, M. Bioplaguicidas; Zygadlo, J., Ed.; Universidad Nacional de Córdoba: Córdoba, Argentina, 2017; pp. 29–59. [Google Scholar]
  19. Bakkali, F.; Averbeck, S.; Averbeck, D.; Idaoma, M. Biological effects of essential oils—A review. Food Chem. Toxicol. 2008, 46, 446–475. [Google Scholar] [CrossRef]
  20. D’Agostino, G.; Giambra, B.; Palla, F.; Bruno, M.; Badalamenti, N. The application of the essential oils of Thymus vulgaris L. and Crithmum maritimum L. as biocidal on two Tholu bommalu indian leather puppets. Plants 2021, 10, 1508. [Google Scholar] [CrossRef]
  21. Tsai, M.-L.; Wu, C.-T.; Lin, T.-F.; Lin, W.-C.; Huang, Y.-C.; Yang, C.-H. Chemical composition and biological properties of essential oils of two mint species. Trop. J. Pharm. Res. 2013, 12, 577–582. [Google Scholar] [CrossRef]
  22. Li, Y.; Kong, D.; Fu, Y.; Sussman, M.R.; Wu, H. The effect of developmental and environmental factors on secondary metabolites in medicinal plants. Plant Physiol. Biochem. 2020, 148, 80–89. [Google Scholar] [CrossRef]
  23. Peschiutta, M.L.; Achimón, F.; Brito, V.D.; Pizzolitto, R.P.; Zygadlo, J.A.; Zunino, M.P. Fumigant toxicity of essential oils against Sitophilus zeamais (Motschulsky)(Coleoptera: Curculionidae): A systematic review and meta-analysis. J. Pest Sci. 2021, 95, 1–20. [Google Scholar] [CrossRef]
  24. Achimón, F.; Peschiutta, M.L.; Brito, V.D.; Beato, M.; Pizzolitto, R.P.; Zygadlo, J.A.; Zunino, M.P. Exploring contact toxicity of essential oils against Sitophilus zeamais through a Meta-Analysis Approach. Plants 2022, 11, 3070. [Google Scholar] [CrossRef]
  25. Sifa, A.; Prijono, D.; Rauf, A. Keefektifan tiga jenis insektisida nabati terhadap kutu putih pepaya Paracoccus marginatus dan keamanannya terhadap larva kumbang predator Curinus coeruleus. JHPT Trop. 2013, 13, 124–132. [Google Scholar] [CrossRef]
  26. Peschiutta, M.; Pizzolitto, R.; Ordano, M.; Zaio, Y.; Zygadlo, J. Laboratory evaluation of insecticidal activity of plant essential oils against the vine mealybug, Planococcus ficus. Vitis 2017, 56, 79–83. [Google Scholar] [CrossRef]
  27. El-Ashram, D.; Abd El-Mageed, S.; Shaaban, A.R. Potential toxicity of some essential oils on mealybug, Maconellicoccus hirsutus (Hemiptera: Pseudococcidae). Egypt. J. Plant Prot. Res. Inst. 2020, 3, 794–803. [Google Scholar]
  28. Tak, J.-H.; Isman, M.B. Enhanced cuticular penetration as the mechanism for synergy of insecticidal constituents of rosemary essential oil in Trichoplusia ni. Sci. Rep. 2015, 5, 12690. [Google Scholar] [CrossRef] [PubMed]
  29. De Souza, M.; Da Silva, L.; Macêdo, M.; Lacerda-Neto, L.; dos Santos, M.; Coutinho, H.; Cunha, F. Adulticide and repellent activity of essential oils against Aedes aegypti (Diptera: Culicidae)—A review. S. Afr. J. Bot. 2019, 124, 160–165. [Google Scholar] [CrossRef]
  30. Ebadollahi, A.; Jalali Sendi, J. A review on recent research results on bio-effects of plant essential oils against major Coleopteran insect pests. Toxin Rev. 2015, 34, 76–91. [Google Scholar] [CrossRef]
  31. Ebadollahi, A.; Ziaee, M.; Palla, F. Essential oils extracted from different species of the Lamiaceae plant family as prospective bioagents against several detrimental pests. Molecules 2020, 25, 1556. [Google Scholar] [CrossRef]
  32. Pumnuan, J.; Insung, A. Fumigant toxicity of plant essential oils in controlling thrips, Frankliniella schultzei (Thysanoptera: Thripidae) and mealybug, Pseudococcus jackbeardsleyi (Hemiptera: Pseudococcidae). J. Entomol. Res. 2016, 40, 1–10. [Google Scholar] [CrossRef]
  33. Jain, S.; Sharma, M.P. Biodiesel production from Jatropha curcas oil. Renew. Sustain. Energy Rev. 2010, 14, 3140–3147. [Google Scholar] [CrossRef]
  34. Kobenan, K.C.; Bini, K.K.N.; Kouakou, M.; Kouadio, I.S.; Zengin, G.; Ochou, G.E.C.; Boka, N.R.K.; Menozzi, P.; Ochou, O.G.; Dick, A.E.J.C. Chemical composition and spectrum of insecticidal activity of the essential oils of Ocimum gratissimum L. and Cymbopogon citratus stapf on the main insects of the cotton entomofauna in Côte d’Ivoire. Chem. Biodivers 2021, 18, e2100497. [Google Scholar] [CrossRef]
  35. Brahmi, R.; Abdellaoui, K.; Harbi, A.; Abbes, K.; Rahmouni, R.; Tounsi, S.; Suma, P.; Chermiti, B.J.V. Toxicity and neurophysiological impacts of three plant-derived essential oils against the vineyard mealybug Planococcus ficus. Vitis 2022, 61, 1–10. [Google Scholar]
  36. Erdemir, T.; Erler, F. Fumigant toxicity of five plant essential oils against citrus mealybug, Planococcus citri Risso (Hemiptera: Pseudococcidae). Fresenius Environ. Bul.l 2018, 27, 3231–3235. [Google Scholar]
  37. Ghafoor, H.A.; Afzal, M.; Riaz, M.A.; Majeed, M.Z. In-Vitro toxicity evaluation of some phytoextracts against mealybug Drosicha mangiferae (Hemiptera: Pseudococcidae) infesting citrus orchards in Pakistan. Pak. J. Zool. 2019, 51, 1815. [Google Scholar] [CrossRef]
  38. Attia, S.; Mansour, R.; Abdennour, N.; Sahraoui, H.; Blel, A.; Rahmouni, R.; Grissa Lebdi, K.; Mazzeo, G. Toxicity of Mentha pulegium essential oil and chemical pesticides toward citrus pest scale insects and the coccinellid predator Cryptolaemus montrouzieri. Int. J. Trop. Insect Sci. 2022, 42, 3513–3523. [Google Scholar] [CrossRef]
  39. Karamaouna, F.; Mylonas, P.; Papachristos, D.; Kontodimas, D.; Michaelakis, A.; Kapaxidi, E. Integrated Management of Arthropod Pests and Insect Borne Diseases; Springer: Berlin/Heidelberg, Germany, 2010; pp. 29–59. [Google Scholar]
  40. Satar, G.; Ateş, H.F.; Satar, S. Effects of different insecticides on life stages of Planococcus citri Risso (Hemiptera: Pseudococcidae). IOBC-WPRS Bull. 2013, 95, 183–190. [Google Scholar]
  41. Vanaclocha, P.; Vidal-Quist, C.; Oheix, S.; Montón, H.; Planes, L.; Catalán, J.; Tena, A.; Verdú, M.J.; Urbaneja, A. Acute toxicity in laboratory tests of fresh and aged residues of pesticides used in citrus on the parasitoid Aphytis melinus. J. Pest Sci. 2013, 86, 329–336. [Google Scholar] [CrossRef]
  42. Urlacher, E.; Monchanin, C.; Rivière, C.; Richard, F.-J.; Lombardi, C.; Michelsen-Heath, S.; Hageman, K.J.; Mercer, A.R. Measurements of chlorpyrifos levels in forager bees and comparison with levels that disrupt honey bee odor-mediated learning under laboratory conditions. J. Chem. Ecol. 2016, 42, 127–138. [Google Scholar]
  43. Rattan, R.S. Mechanism of action of insecticidal secondary metabolites of plant origin. Crop Prot. 2010, 29, 913–920. [Google Scholar] [CrossRef]
  44. Colovic, M.B.; Krstic, D.Z.; Lazarevic-Pasti, T.D.; Bondzic, A.M.; Vasic, V.M. Acetylcholinesterase inhibitors: Pharmacology and toxicology. Curr. Neuropharmacol. 2013, 11, 315–335. [Google Scholar] [CrossRef]
  45. Dambolena, J.S.; Zunino, M.P.; Herrera, J.M.; Pizzolitto, R.P.; Areco, V.A.; Zygadlo, J.A. Terpenes: Natural products for controlling insects of importance to human health—A structure-activity relationship study. Psyche 2016, 47, 777–780. [Google Scholar] [CrossRef]
  46. Liu, T.-T.; Chao, L.K.-P.; Hong, K.-S.; Huang, Y.-J.; Yang, T.-S. Composition and insecticidal activity of essential oil of Bacopa caroliniana and interactive effects of individual compounds on the activity. Insects 2019, 11, 23. [Google Scholar] [CrossRef] [PubMed]
  47. Martins, G.d.S.O.; Zago, H.B.; Costa, A.V.; Araujo, L.M.D.; Carvalho, J.R. Chemical composition and toxicity of Citrus essential oils on Dysmicoccus brevipes (Hemiptera: Pseudococcidae). Rev. Caatinga 2017, 30, 811–817. [Google Scholar] [CrossRef]
  48. Dohi, S.; Terasaki, M.; Makino, M. Acetylcholinesterase inhibitory activity and chemical composition of commercial essential oils. J. Agric. Food Chem. 2009, 57, 4313–4318. [Google Scholar] [CrossRef] [PubMed]
  49. López, M.; Pascual-Villalobos, M. Mode of inhibition of acetylcholinesterase by monoterpenoids and implications for pest control. Ind. Crops Prod. 2010, 31, 284–288. [Google Scholar] [CrossRef]
  50. Askin, H.; Yildiz, M.; Ayar, A. Effects of thymol and carvacrol on acetylcholinesterase from Drosophila melanogaster. Acta Phys. Pol. 2017, 132, 720–722. [Google Scholar] [CrossRef]
  51. Gross, A.D.; Kimber, M.J.; Day, T.A.; Ribeiro, P.; Coats, J.R. Pest Management with Natural Products; ACS Publications: Washington, DC, USA, 2013; pp. 97–110. [Google Scholar]
  52. Jaber, A.; Edmond, C.; Ibrahim, G.; Lamis, A. Phytochemical study and antioxidant activity of extract from the leaves of lebanese Datura metel L. Eur. J. Pharm. Med. Res. 2019, 6, 65–71. [Google Scholar]
  53. Pavela, R. Acute, synergistic and antagonistic effects of some aromatic compounds on the Spodoptera littoralis Boisd.(Lep., Noctuidae) larvae. Ind. Crops Prod. 2014, 60, 247–258. [Google Scholar] [CrossRef]
  54. Aldosary, N.H.; Omar, D.; Awang, R.M.; Adam, N.A. Chemical profiling and insecticidal activity of Artemisia herba-alba essential oil against papaya mealybug Paracoccus marginatus (Hemiptera: Pseudococcidae). Res. J. Appl. Sci. Eng. Technol. 2018, 15, 261–269. [Google Scholar] [CrossRef]
  55. Abada, M.B.; Hamdi, S.H.; Masseoud, C.; Jroud, H.; Bousshih, E.; Jemâa, J.M. Variations in chemotypes patterns of Tunisian Rosmarinus officinalis essential oils and applications for controlling the date moth Ectomyelois ceratoniae (Pyralidae). S. Afr. J. Bot. 2020, 128, 18–27. [Google Scholar] [CrossRef]
  56. Stejskal, V.; Vendl, T.; Aulicky, R.; Athanassiou, C. Synthetic and natural insecticides: Gas, liquid, gel and solid formulations for stored-product and food-industry pest control. Insects 2021, 12, 590. [Google Scholar] [CrossRef]
  57. Bachrouch, O.; Ferjani, N.; Haouel, S.; Jemâa, J.M.B. Major compounds and insecticidal activities of two Tunisian Artemisia essential oils toward two major coleopteran pests. Ind. Crops Prod. 2015, 65, 127–133. [Google Scholar] [CrossRef]
  58. Page, M.J.; Moher, D. Evaluations of the uptake and impact of the Preferred Reporting Items for Systematic reviews and Meta-Analyses (PRISMA) Statement and extensions: A scoping review. Syst. Rev. 2017, 6, 1–14. [Google Scholar] [CrossRef] [PubMed]
  59. Ray, A.K.; Ramesh, D.J. Zotero: Open source citation management tool for researchers. J. Libr. Inf. Stud. 2017, 7, 238–245. [Google Scholar]
  60. Monsreal-Ceballos, R.; Ruiz-Sánchez, E.; Ballina-Gómez, H.; Reyes-Ramírez, A.; González-Moreno, A. Effects of botanical insecticides on hymenopteran parasitoids: A meta-analysis approach. Neotrop. Entomol. 2018, 47, 681–688. [Google Scholar] [CrossRef] [PubMed]
  61. Boughendjioua, H. Essential oil composition of Syzygium aromaticum (L.). Int. Res. J. Pharm. Med. Sci. 2018, 11, 26–28. [Google Scholar]
  62. Balfas, R. Potensi minyak daun cengkeh sebagai pengendali Planococcus minor (mask.) (Pseudococcidae; Homoptera) pada tanaman lada. Bul. Penelit. Tanam. Rempah Obat 2008, 19, 78–85. [Google Scholar]
  63. Bolou, B.; Kouakou, K.; Diby, L.; Bel, L.; Ben, Y.; Kouam, C. Biological control using essential oil of Ocimum gratissimum and four other biopesticides on Formicococcus njalensis, the most active mealybugs species in the transmission of CSSV (Cocoa swollen shoot virus). Afr. J. Agric. Res. 2022, 18, 276–280. [Google Scholar] [CrossRef]
  64. Dziri, S.; Casabianca, H.; Hanchi, B.; Hosni, K. Composition of garlic essential oil (Allium sativum L.) as influenced by drying method. J. Essent 2014, 26, 91–96. [Google Scholar] [CrossRef]
  65. Herrera-Calderon, O.; Chacaltana-Ramos, L.J.; Huayanca-Gutiérrez, I.C.; Algarni, M.A.; Alqarni, M.; Batiha, G.E.-S. Chemical constituents, in vitro antioxidant activity and in silico study on NADPH oxidase of Allium sativum L. (garlic) essential oil. Antioxidants 2021, 10, 1844. [Google Scholar] [CrossRef]
  66. Hussain, A.; Anwar, F.; Nigam, P.S.; Ashraf, M.; Gilani, A. Seasonal variation in content, chemical composition and antimicrobial and cytotoxic activities of essential oils from four Mentha species. J. Sci. Food Agric. 2010, 90, 1827–1836. [Google Scholar] [CrossRef]
  67. Tavallali, H.; Bahmanzadegan, A.; Rowshan, V.; Tavallali, V. Essential oil composition, antioxidant activity, phenolic compounds, total phenolic and flavonoid contents from pomace of Citrus aurantifolia. J. Med. Plants By-Prod. 2021, 10, 103–116. [Google Scholar]
  68. Drinić, Z.; Jovanović, M.; Pljevljakušić, D.; Ćujić-Nikolić, N.; Bigović, D.; Šavikin, K. Microwave-assisted extraction of essential oil from ginger (Zingiber officinale Rosc.). Lek. Sirovine 2021, 41, 22–27. [Google Scholar] [CrossRef]
  69. Boumahdi, Y.; Moghrani, H.; Nasrallah, N.; Ouarek, S.; Maachi, R. Microwave-assisted hydrodistillation of the essential oil from Algerian Pimpinella anisum seeds. Flavour Fragr. J. 2021, 36, 34–46. [Google Scholar] [CrossRef]
  70. Camele, I.; Gruľová, D.; Elshafie, H. Chemical composition and antimicrobial properties of Mentha× piperita cv.‘Kristinka’essential oil. Plants 2021, 10, 1567. [Google Scholar] [CrossRef]
  71. Spyridopoulou, K.; Fitsiou, E.; Bouloukosta, E.; Tiptiri-Kourpeti, A.; Vamvakias, M.; Oreopoulou, A.; Papavassilopoulou, E.; Pappa, A.; Chlichlia, K. Extraction, chemical composition, and anticancer potential of Origanum onites L. essential oil. Molecules 2019, 24, 2612. [Google Scholar] [CrossRef]
  72. Mohamed, J.; Ainane, T. Evaluation of the antibacterial activity of the essential oil of Rosmarinus officinalis L. from Khenifra (middle atlas of Morocco). PharmacologyOnLine 2021, 3, 847–856. [Google Scholar]
  73. Narayanankutty, A.; Kunnath, K.; Alfarhan, A.; Rajagopal, R.; Ramesh, V. Chemical composition of Cinnamomum verum leaf and flower essential oils and analysis of their antibacterial, insecticidal, and larvicidal properties. Molecules 2021, 26, 6303. [Google Scholar] [CrossRef]
  74. Ghada, A.-A.E.; Naglaa, Y.M. Efficacy of cinnamon oil and its active ingredient (cinnamaldehyde) on the cotton mealy bug Phenacoccus solenopsis Tinsley and the predator Chrysoperla carnea. Bull Natl. Res. Cent. 2020, 44, 1–4. [Google Scholar] [CrossRef]
  75. Babahmad, R.A.; Aghraz, A.; Boutafda, A.; Papazoglou, E.G.; Tarantilis, P.A.; Kanakis, C.; Hafidi, M.; Ouhdouch, Y.; Outzourhit, A.; Ouhammou, A. Chemical composition of essential oil of Jatropha curcas L. leaves and its antioxidant and antimicrobial activities. Ind. Crops Prod. 2018, 121, 405–410. [Google Scholar] [CrossRef]
  76. Holtz, A.M.; Piffer, A.B.M.; Holtz, F.G.; de Carvalho, J.R.; Aguiar, R.L.; Pratissoli, D. Can the interaction between castor and jatropha oils be efficient in the management of pink mealybug? Rev. Ifes Ciência 2020, 6, 132–139. [Google Scholar] [CrossRef]
  77. Kumar, M. A review on phytochemical constituents and pharmacological activities of Ricinus communis L. Plant. Int. J. Pharmacogn. Phytochem. Res. 2017, 9, 466–472. [Google Scholar] [CrossRef]
  78. Oyelese Olanrewaju, J.; Olawore Nureni, O.; Ololade Zacchaeus, S. Comparative study of the phytochemical and bio-activities of the essential oils from ripe and unripe seeds of Azadirachta indica. Int. J. Med. Res. 2020, 6, 219–224. [Google Scholar]
  79. Holtz, A.M.; Piffer, A.B.M.; Holtz, F.G.; de Carvalho, J.R.; Aguiar, R.L.; Andrade, F.P.; Pratissoli, D.; Neto, V.B. Toxicity of Jatropha and neem oil combination on pink hibiscus mealybug. J. Exp. Agric. Int. 2021, 43, 97–103. [Google Scholar] [CrossRef]
  80. Thapa, L.B.; Pathak, S.; Pal, K.B.; Miya, T.M.; Darji, T.B.; Pant, G.; Pant, R. Chemical constituents of the essential oil of invasive Chromolaena odorata leaves in Central Nepal. J. Nepal Chem. Soc. 2021, 42, 132–137. [Google Scholar] [CrossRef]
  81. Brandão, L.B.; Santos, L.L.; Martins, R.L.; Rodrigues, A.B.L.; da Costa, A.L.P.; Faustino, C.G.; de Almeida, S. The potential effects of species Ocimum basilicum L. on health: A review of the chemical and biological studies. Phcog. Rev. 2022, 16, 23. [Google Scholar] [CrossRef]
  82. Madhumita, M.; Guha, P.; Nag, A. Extraction of betel leaves (Piper betle L.) essential oil and its bio-actives identification: Process optimization, GC-MS analysis and anti-microbial activity. Ind. Crops Prod. 2019, 138, 111578. [Google Scholar] [CrossRef]
  83. Wanna, R. Potential of essential oils from Piper nigrum against cowpea weevil, Callosobruchus maculatus (Fabricius). Int. J. Agric. Technol. 2021, 17, 375–384. [Google Scholar]
  84. Sawadogo, I.; Paré, A.; Kaboré, D.; Montet, D.; Durand, N.; Bouajila, J.; Zida, E.P.; Sawadogo-Lingani, H.; Nikiéma, P.A.; Nebié, R. Antifungal and antiaflatoxinogenic effects of Cymbopogon citratus, Cymbopogon nardus, and Cymbopogon schoenanthus essential oils alone and in combination. J. Fungi 2022, 8, 117. [Google Scholar] [CrossRef]
  85. Sreepian, A.; Sreepian, P.; Chanthong, C.; Mingkhwancheep, T.; Prathit, P. Antibacterial activity of essential oil extracted from Citrus hystrix (kaffir lime) peels: An in vitro study. Trop. Biomed. 2019, 36, 531–541. [Google Scholar]
  86. Dao, P.T.; Tran, N.Y.; Tran, Q.N.; Bach, G.L.; Lam, T.V. Kinetics of pilot-scale essential oil extraction from pomelo (Citrus maxima) peels: Comparison between linear and nonlinear models. Alex. Eng. J. 2022, 61, 2564–2572. [Google Scholar] [CrossRef]
  87. Dias, A.; Sousa, W.; Batista, H.; Alves, C.; Souchie, E.; Silva, F.; Pereira, P.; Sperandio, E.; Cazal, C.; Forim, M. Chemical composition and in vitro inhibitory effects of essential oils from fruit peel of three Citrus species and limonene on mycelial growth of Sclerotinia sclerotiorum. Braz. J. Biol. 2019, 80, 460–464. [Google Scholar] [CrossRef] [PubMed]
  88. Karim, M. Potential Analgesic Activity of Alpinia nigra. Master’s Thesis, BRAC University, Dhaka, Bangladesh, 2016. [Google Scholar]
  89. Li, Q.; Zhang, L.-L.; Xu, J.-G. Antioxidant, DNA damage protective, antibacterial activities and nitrite scavenging ability of essential oil of Amomum kravanh from China. Nat. Prod. Res. 2021, 35, 5415–5419. [Google Scholar] [CrossRef] [PubMed]
  90. Setzer, W.N.; Duong, L.; Poudel, A.; Mentreddy, S. Variation in the chemical composition of five varieties of Curcuma longa rhizome essential oils cultivated in north alabama. Foods 2021, 10, 212. [Google Scholar] [CrossRef] [PubMed]
  91. Bhuiyan, N.I.; Chowdhury, J.U.; Begum, J. Volatile constituents of essential oils isolated from leaf and rhizome of Zingiber cassumunar Roxb. Bangladesh J. Pharmacol. 2008, 3, 69–73. [Google Scholar] [CrossRef]
  92. Abd El-Kareem, M.S.M.; Rabbih, M.A.; Elansary, H.O.; Al-Mana, F.A. Mass spectral fragmentation of Pelargonium graveolens essential oil using GC–MS semi-empirical calculations and biological potential. Processes 2020, 8, 128. [Google Scholar] [CrossRef]
  93. Abasse, A.A. Nano Bioinsecticides based on essential oils against Phenacoccus solenopsis. Egypt. Acad. J. Biol. Sci. 2018, 11, 1–12. [Google Scholar]
  94. Thantsin, K.; Zhang, Q.; Yang, J.; Wang, Q. Composition of semivolatile compounds of 10 Cinnamomum species from China and Myanmar. Nat. Prod. Res. 2008, 22, 576–583. [Google Scholar] [CrossRef]
  95. Van den Noortgate, W.; López-López, J.A.; Marín-Martínez, F.; Sánchez-Meca, J. Three-level meta-analysis of dependent effect sizes. Behav. Res. Methods 2013, 45, 576–594. [Google Scholar] [CrossRef]
  96. Viechtbauer, W. Conducting meta-analyses in R with the metafor package. J. Stat. Softw. 2010, 36, 1–48. [Google Scholar] [CrossRef]
  97. Garavan, T.; McCarthy, A.; Lai, Y.; Murphy, K.; Sheehan, M.; Carbery, R. Training and organisational performance: A meta-analysis of temporal, institutional and organisational context moderators. Hum. Resour. Manag. J. 2021, 31, 93–119. [Google Scholar] [CrossRef]
  98. IRAC (Insecticide Resistance Action Committee). Mode of Action Classification Scheme, v.9.4. 2020. Available online: https://irac-online.org/modes-of-action/ (accessed on 29 September 2022).
Figure 1. Flowchart for the selection of articles according to the criteria established for systematic reviews and meta-analysis (PRISMA). * Each trial for the meta-analysis was defined for a given plant EO/exposure time/max-min concentration of EO/mealybug species tested/development stage of insect/method of application.
Figure 1. Flowchart for the selection of articles according to the criteria established for systematic reviews and meta-analysis (PRISMA). * Each trial for the meta-analysis was defined for a given plant EO/exposure time/max-min concentration of EO/mealybug species tested/development stage of insect/method of application.
Plants 12 00109 g001
Figure 2. Meta-analysis of the insecticidal effect of EOs against mealybugs of the Pseudococcidae family using plant genera as a moderating variable. Spirotetramat and chlorpyrifos are synthetic insecticides (white squares) used to compare their activity with the EOs ones (black squares). Abbreviations are as follows: Amaryllidaceae (Ama), Apiaceae (Api), Asteraceae (Ast), Euphorbiaceae (Eup), Lamiaceae (Lam), Lauraceae (Lau), Myrtaceae (Myr), Poaceae (Poa), Rutaceae (Rut), Geraniaceae (Ger), Meliaceae (Mel), Piperaceae (Pip), Solanaceae (Sol), Zingiberaceae (Zin). SMD: standardized mean difference; CI: confidence interval. The EOs from plant genera with significant effects are shown in bold (their mean value is different from zero). *** p < 0.001, ** p < 0.01, and * p < 0.05.
Figure 2. Meta-analysis of the insecticidal effect of EOs against mealybugs of the Pseudococcidae family using plant genera as a moderating variable. Spirotetramat and chlorpyrifos are synthetic insecticides (white squares) used to compare their activity with the EOs ones (black squares). Abbreviations are as follows: Amaryllidaceae (Ama), Apiaceae (Api), Asteraceae (Ast), Euphorbiaceae (Eup), Lamiaceae (Lam), Lauraceae (Lau), Myrtaceae (Myr), Poaceae (Poa), Rutaceae (Rut), Geraniaceae (Ger), Meliaceae (Mel), Piperaceae (Pip), Solanaceae (Sol), Zingiberaceae (Zin). SMD: standardized mean difference; CI: confidence interval. The EOs from plant genera with significant effects are shown in bold (their mean value is different from zero). *** p < 0.001, ** p < 0.01, and * p < 0.05.
Plants 12 00109 g002
Figure 3. Meta-analysis of the insecticidal effect of EOs against mealybugs of the Pseudococcidae family using the plant species as a moderating variable. Spirotetramat and chlorpyrifos are synthetic insecticides (white squares) used to compare their activity with the EOs ones (black squares) Abbreviations as in Figure 2. SMD: standardized mean difference; CI: confidence interval. The EOs from plant species with significant effects are shown in bold. *** p < 0.001, ** p < 0.01, and * p < 0.05.
Figure 3. Meta-analysis of the insecticidal effect of EOs against mealybugs of the Pseudococcidae family using the plant species as a moderating variable. Spirotetramat and chlorpyrifos are synthetic insecticides (white squares) used to compare their activity with the EOs ones (black squares) Abbreviations as in Figure 2. SMD: standardized mean difference; CI: confidence interval. The EOs from plant species with significant effects are shown in bold. *** p < 0.001, ** p < 0.01, and * p < 0.05.
Plants 12 00109 g003
Figure 4. Meta-analysis of the insecticidal effect of EOs against mealybugs of the Pseudococcidae family using plant parts (A) and application method (B) as moderating variables. The EOs from plant parts and application method with significant effects are shown in bold. *** p < 0.001, ** p < 0.01, and * p < 0.05.
Figure 4. Meta-analysis of the insecticidal effect of EOs against mealybugs of the Pseudococcidae family using plant parts (A) and application method (B) as moderating variables. The EOs from plant parts and application method with significant effects are shown in bold. *** p < 0.001, ** p < 0.01, and * p < 0.05.
Plants 12 00109 g004
Table 1. Plant EOs evaluated for their toxicity against mealybugs from the Pseudococcidae family.
Table 1. Plant EOs evaluated for their toxicity against mealybugs from the Pseudococcidae family.
Mealybug SpeciesPlant SpeciesPlant GenusPlant FamilyEO Main Compounds (%)Ref.
Planococcus citriMentha pulegiumMenthaLamiaceaepulegone (40.5), menthone (26.3), isomenthone (5.0) [38][38]
Planococcus minorSyzygium aromaticumSyzygiumMyrtaceaeeugenol (80.0), eugenyl acetate (5.01), β-caryophyllene (2.27) [61][62]
Formicococcus njalensisOcimum gratissimumOcimumLamiaceaep-cymene (37.0), thymol (18.7), α-thujene (7.4) [34][63]
Maconellicoccus hirsutusAllium sativumAlliumAmaryllidaceaediallyl-trisulfide (37.3–45.9), diallyl-disulfude (17.5–29.1), methyl-allyl-trisulfide (7.7–10.4) [64,65][27]
Maconellicoccus hirsutusMentha sp.MenthaLamiaceaementhol (3.3–81.3), piperitenone-oxide (10.1–64.6), menthone (1.4–28.1) [66][27]
Maconellicoccus hirsutusCitrus aurantifoliaCitrusRutaceaelimonene (71.7), β-pinene (8.5), γ-terpinene (7.3) [67][27]
Maconellicoccus hirsutusZingiber officinaleZingiberZingiberaceaeα-zingiberene (29.9), β-sesquiphellandrene (11.2), camphene (8.6) [68][27]
Planococcus citriPimpinella anisumPimpinellaApiaceaetrans-anethole (91.3), trans- pseudoisoeugenyl-2-methylbutyrate (2.5), p-anisaldehyde (1.6) [69][36]
Planococcus citriThymus vulgarisThymusLamiaceaep-cymene (35.96), terpinen-4-ol (10.29), α-terpinene (8.85) [20][36]
Planococcus citriMentha piperitaMenthaLamiaceaementhol (70.08), menthone (14.49), limonene (4.32) [70][36]
Planococcus citriOriganum onitesOriganumLamiaceaecarvacrol (48.0), terpinen-4-ol (6.8), sabinene hydrate (6.1) [71][36]
Planococcus citriRosmarinus officinalisRosmarinusLamiaceae1,8-cineole (44.97), camphor (10.79), caryophyllene (9.43) [72][36]
Phenacoccus solenopsisCinnamomum verumCinnamomumLauraceae(E) cinnamaldehyde (35.6), linalool (18.92), eugenol (18.69) [73][74]
Drosicha mangiferaeSyzygium aromaticumSyzygiumMyrtaceaeeugenol (97.1), trans-caryophyllene (1.7) [32][37]
Drosicha mangiferaeCymbopogon citratusCymbopogonPoaceaetrans-citral (37.9), cis-citral (31,8), limonene (18.1) [32][37]
Drosicha mangiferaeDatura albaDaturaSolanaceaethymol (60.3), carvacrol (30.2), D-verbenone (1.0) (Datura genus) [52][37]
Maconellicoccus hirsutusJatropha curcasJatrophaEuphorbiaceaeδ-cadinene (9.6), α-epi-cadinol (7.4), pulegone (6.0) [75][76]
Maconellicoccus hirsutusRicinus communisRicinusEuphorbiaceaeα-thujone (31,71), 1,8- cineole (30,98), α-pinene (16,88) [77][76]
Maconellicoccus hirsutusAzadirachta indicaAzadirachtaMeliaceaeγ-elemene (20.8), germacrene-B (20.3), trans-caryophyllene (13.5) [78][79]
Dysmicoccus brevipesCitrus aurantiumCitrusRutaceaeD-limonene (78.5), γ-terpinene (12.7), α-pinene (2.1) [47][47]
Dysmicoccus brevipesCitrus limonCitrusRutaceaeD-limonene (59.8), β-pinene (14.7), γ-terpinene (10.2) [47]
Dysmicoccus brevipesCitrus sinensisCitrusRutaceaeD-limonene (83.3), linalool (8.9), myrcene (3.6) [47]
Planococcus ficusMinthostachys verticillataMinthostachysLamiaceaepulegone (57.0), menthone (36.3), isomenthone (1.7) [26]
Planococcus ficusEucalyptus globulusEucalyptusMyrtaceae1,8-cineole (76.7), limonene (18.9), β-phellandrene (1.7) [26]
Pseudococcus jackbeardsleyiEupatorium odoratumEupatoriumAsteraceaelinalool (21.64), β-pinene (9.43), 1,3-cycloheptadiene (8.92) [80][32]
Pseudococcus jackbeardsleyiCinnamomum bejolghotaCinnamomumLauraceaeeugenol (82.05), trans-caryophyllene (3.8), 2-methoxy-4-propenylphenyl acetate (3.5) [32][32]
Pseudococcus jackbeardsleyiOcimum basilicumOcimumLamiaceaelinalool (43.78), eugenol (13.66) 1,8- cineole (10.18) [81][32]
Pseudococcus jackbeardsleyiPiper betlePiperLauraceaesafrole (44.25%), eugenol (5.16%), β-caryophyllene (5.98%) [82][32]
Pseudococcus jackbeardsleyiEucalyptus globulusEucalyptusMyrtaceae1,8-cineole (76.7), limonene (18.9), β-phellandrene (1.7) [26][32]
Pseudococcus jackbeardsleyiSyzygium aromaticumSyzygiumMyrtaceaeeugenol (97.1), trans-caryophyllene (1.7) [32][32]
Pseudococcus jackbeardsleyiPiper nigrumPiperPiperaceaeα-bergamotene (14.57), caryophyllene (11.47), β-bourbonene (8.47) [83][32]
Pseudococcus jackbeardsleyiCymbopogon citratusCymbopogonPoaceaetrans-citral (37.9), cis-citral (31.8), limonene (18.1) [32][32]
Pseudococcus jackbeardsleyiCymbopogon nardusCymbopogonPoaceaecitronellal (41.7), geraniol (20.8), β-elemene (11.0) [84][32]
Pseudococcus jackbeardsleyiCitrus aurantifoliaCitrusRutaceaelimonene (71.7), β-pinene (8.5), γ-terpinene (7.3) [67][32]
Pseudococcus jackbeardsleyiCitrus hystrixCitrusRutaceaeD-limonene (25.28), β-pinene (21.10), sabinene (14.99) [85][32]
Pseudococcus jackbeardsleyiCitrus maximaCitrusRutaceaelimonene (97.4), β-mycrene (1.2), α-phellandrene (0.7) [86][32]
Pseudococcus jackbeardsleyiCitrus reticulateCitrusRutaceaelimonene (91.65), γ-terpinene (6,17), β-pinene (0.93) [87][32]
Pseudococcus jackbeardsleyiAlpinia nigraAlpiniaZingiberaceae1,8-cineole (34.0), α-fenchylacetate (13.1), α-terpineol (9.6%) [88][32]
Pseudococcus jackbeardsleyiAmomum krervanhAmomumZingiberaceae1,8-cineole (58.53), α-pinene (8.31), α-terpinyl acetate (4.68) [89][32]
Pseudococcus jackbeardsleyiCurcuma longaCurcumaZingiberaceaeα-turmerone (13.6–31.5), ar-turmerone (6.8–32.5), β-turmerone (4.8–18.4) [90][32]
Pseudococcus jackbeardsleyiZingiber cassumunarZingiberZingiberaceaetriquinacene,1,4-bis (methoxy) (26.5), (Z)-ocimene (22.0), terpinen-4-ol (18.5) [91][32]
Pseudococcus jackbeardsleyiZingiber officinaleZingiberZingiberaceaeα-zingiberene (29.9), β-sesquiphellandrene (11.2), camphene (8.6) [68][32]
Phenacoccus solenopsisPelargonium graveolensPelargoniumGeraniaceaecitronellol (27.67), cis-menthone (10.23), linalool (10.05) [92][93]
Phenacoccus solenopsisThymus vulgarisThymusLamiaceaep-cymene (35.96), terpinen-4-ol (10.29), α-terpinene (8.85) [20][93]
Phenacoccus solenopsisCymbopogon citratusCymbopogonPoaceaetrans-citral (37.9), cis-citral (31.8), limonene (18.1) [32][93]
Paracoccus marginatusCinnamomum multiflorumCinnamomumLauraceaeMethyleugenol (49.4), cinnamaldehyde (29.6), palmitic-acid (4.2), eugenol (3.0) [25,94][25]
The volatile content of each EO is expressed as relative percentage (%) by peak area normalization.
Disclaimer/Publisher’s Note: The statements, opinions and data contained in all publications are solely those of the individual author(s) and contributor(s) and not of MDPI and/or the editor(s). MDPI and/or the editor(s) disclaim responsibility for any injury to people or property resulting from any ideas, methods, instructions or products referred to in the content.

Share and Cite

MDPI and ACS Style

Avila, M.d.V.; Achimón, F.; Brito, V.D.; Aguilar, R.; Pizzolitto, R.P.; Zunino, M.P.; Peschiutta, M.L. Insecticidal Activity of Essential Oils against Mealybug Pests (Hemiptera: Pseudococcidae): A Systematic Review and Meta-Analysis. Plants 2023, 12, 109. https://doi.org/10.3390/plants12010109

AMA Style

Avila MdV, Achimón F, Brito VD, Aguilar R, Pizzolitto RP, Zunino MP, Peschiutta ML. Insecticidal Activity of Essential Oils against Mealybug Pests (Hemiptera: Pseudococcidae): A Systematic Review and Meta-Analysis. Plants. 2023; 12(1):109. https://doi.org/10.3390/plants12010109

Chicago/Turabian Style

Avila, Miriam del Valle, Fernanda Achimón, Vanessa Daniela Brito, Ramiro Aguilar, Romina Paola Pizzolitto, María Paula Zunino, and María Laura Peschiutta. 2023. "Insecticidal Activity of Essential Oils against Mealybug Pests (Hemiptera: Pseudococcidae): A Systematic Review and Meta-Analysis" Plants 12, no. 1: 109. https://doi.org/10.3390/plants12010109

APA Style

Avila, M. d. V., Achimón, F., Brito, V. D., Aguilar, R., Pizzolitto, R. P., Zunino, M. P., & Peschiutta, M. L. (2023). Insecticidal Activity of Essential Oils against Mealybug Pests (Hemiptera: Pseudococcidae): A Systematic Review and Meta-Analysis. Plants, 12(1), 109. https://doi.org/10.3390/plants12010109

Note that from the first issue of 2016, this journal uses article numbers instead of page numbers. See further details here.

Article Metrics

Back to TopTop