Origin, Maturity Group and Seed Coat Color Influence Carotenoid and Chlorophyll Concentrations in Soybean Seeds
Abstract
:1. Introduction
2. Results and Discussion
2.1. Comprehensive Natural Variation of Seed Carotenoid and Chlorophyll Contents in Soybean
2.2. Germplasm Origin Differently Affected Soybean Seed Carotenoid and Chlorophyll Concentrations
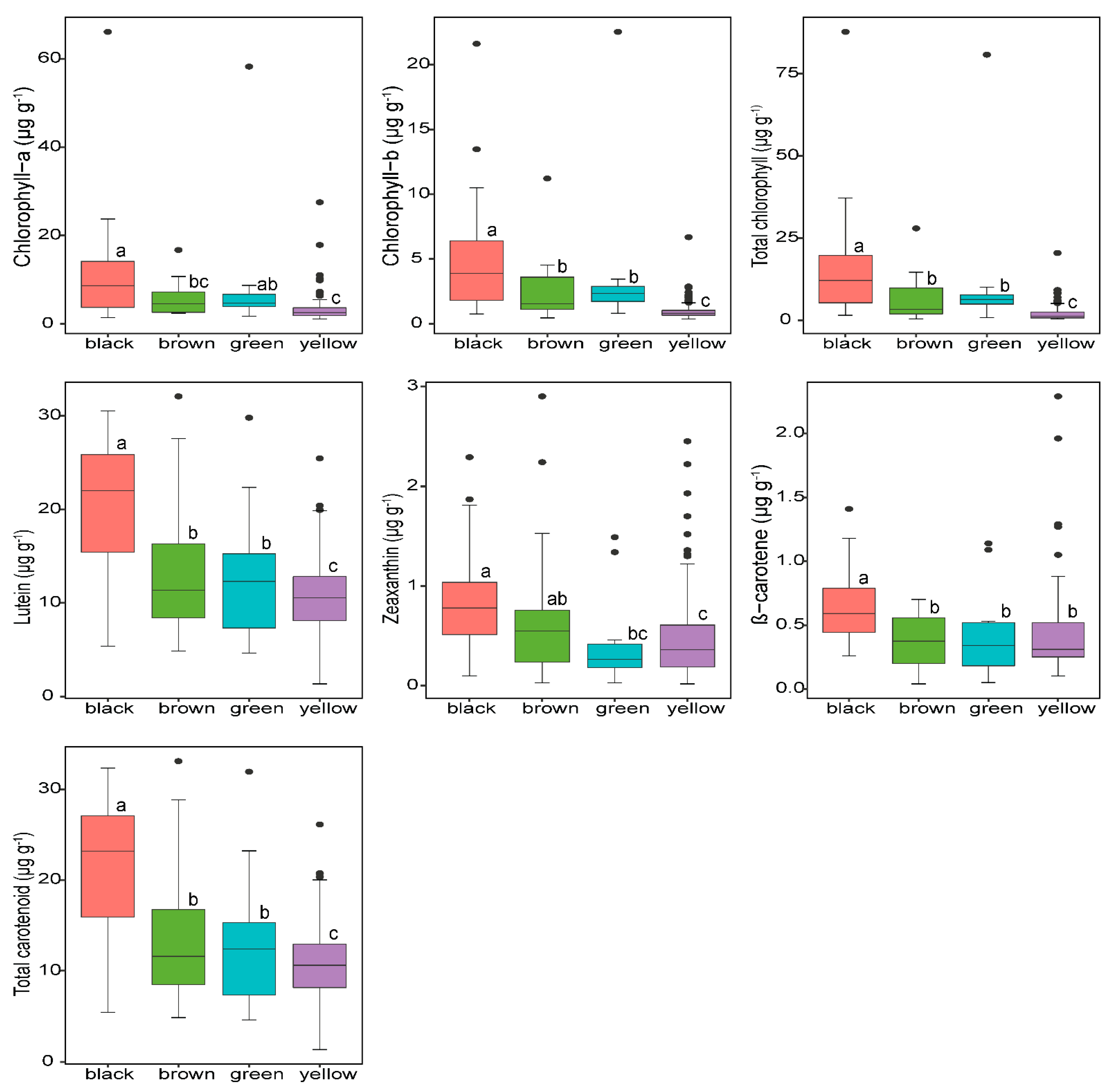
2.3. Seed Coat Colors Differently Affected Soybean Seed Carotenoid and Chlorophyll Concentrations
2.4. The Maturity Groups Differently Affected Soybean Seed Carotenoid and Chlorophyll Concentrations
2.5. Principal Component Analysis Based on Origin and Seed Coat Colors
2.6. Regression Analyses to Seed Coat Color and 100-Seed Weight
2.7. Soybean Accessions with Prominent Content of Lutein and Total Carotenoids
3. Materials and Methods
3.1. Plant Materials and Field Experiments
3.2. Chemicals and Reagents
3.3. Extraction and Determination of Carotenoids and Chlorophylls
3.4. Statistical Analysis
4. Conclusions
Supplementary Materials
Author Contributions
Funding
Institutional Review Board Statement
Informed Consent Statement
Data Availability Statement
Conflicts of Interest
References
- Maoka, T. Carotenoids as natural functional pigments. J. Nat. Med. 2020, 74, 1–16. [Google Scholar] [CrossRef] [PubMed] [Green Version]
- Mezzomo, N.; Ferreira, S.R.S. Carotenoids functionality, sources, and processing by supercritical technology: A review. J. Chem. 2016, 2016, 3164312. [Google Scholar] [CrossRef] [Green Version]
- Maiani, G.; Jesffls, M.; Castón, P.; Catasta, G.; Toti, E.; Cambrodón, I.G.; Bysted, A.; Granado-lorencio, F.; Olmedilla-alonso, B.; Knuthsen, P.; et al. Carotenoid: Actual knowledge on food sources, intakes, stability and bioavailability and their protective role in humans. Mol. Nutr. Food Res. 2009, 53, 194–218. [Google Scholar] [CrossRef] [PubMed]
- Brotosudarmo, T.H.P.; Limantara, L.; Chandra, R.D.; Heriyanto, H. Chloroplast pigments: Structure, function, assembly and characterization. In Plant Growth and Regulation—Alterations to Sustain Unfavorable Conditions; Ratnadewi, D., Hamim, Eds.; IntechOpen: London, UK, 2018; pp. 44–59. [Google Scholar]
- Eggersdorfer, M.; Wyss, A. Carotenoids in human nutrition and health. Arch. Biochem. Biophys. 2018, 652, 18–26. [Google Scholar] [CrossRef]
- Ferruzzi, M.G.; Blakeslee, J. Digestion, absorption, and cancer preventative activity of dietary chlorophyll derivatives. Nutr. Res. 2007, 27, 1–12. [Google Scholar] [CrossRef]
- Schoefs, B. Chlorophyll and carotenoid analysis in food products. Properties of the pigments and methods of analysis. Trends Food Sci. Technol. 2002, 13, 361–371. [Google Scholar] [CrossRef]
- Dwivedi, S.L.; Sahrawat, K.L.; Rai, K.N.; Blair, M.W.; Andersson, M.S.; Pfeiffer, W. Nutritionally enhanced staple food crops. Plant Breed. Rev. 2012, 36, 169–291. [Google Scholar]
- Kan, L.; Nie, S.; Hu, J.; Wang, S.; Bai, Z.; Wang, J.; Zhou, Y.; Jiang, J.; Zeng, Q.; Song, K. Comparative study on the chemical composition, anthocyanins, tocopherols and carotenoids of selected legumes. Food Chem. 2018, 260, 317–326. [Google Scholar] [CrossRef]
- Ku, Y.S.; Contador, C.A.; Ng, M.S.; Yu, J.; Chung, G.; Lam, H.M. The effects of domestication on secondary metabolite composition in legumes. Front. Genet. 2020, 11, 581357. [Google Scholar] [CrossRef] [PubMed]
- Palmer, R.G.; Hymowitz, T. Soybean: Germplasm, breeding, and genetics. In Encyclopedia of Food Grains, 2nd ed.; Wrigley, C., Corke, H., Seetharaman, K., Faubion, J., Eds.; Academic Press: Oxford, UK, 2016; pp. 333–342. [Google Scholar]
- Kim, E.H.; Ro, H.M.; Kim, S.L.; Kim, H.S.; Chung, I.M. Analysis of isoflavone, phenolic, soyasapogenol, and tocopherol compounds in soybean [Glycine max (L.) Merrill] germplasms of different seed weights and origins. J. Agric. Food Chem. 2012, 60, 6045–6055. [Google Scholar] [CrossRef]
- Azam, M.; Zhang, S.; Abdelghany, A.M.; Shaibu, S.A.; Feng, Y.; Li, Y.; Tian, Y.; Hong, H.; Li, B.; Sun, J. Seed isoflavone profiling of 1168 soybean accessions from major growing ecoregions in China. Food Res. Int. 2020, 130, 108957. [Google Scholar] [CrossRef] [PubMed]
- Assefa, Y.; Bajjalieh, N.; Archontoulis, S.; Casteel, S.; Davidson, D.; Kovács, P.; Naeve, S.; Ciampitti, I.A. Spatial characterization of soybean yield and quality (amino acids, oil, and protein) for United States. Sci. Rep. 2018, 8, 14653. [Google Scholar] [CrossRef] [PubMed] [Green Version]
- Mourtzinis, S.; Gaspar, A.P.; Naeve, S.L.; Conley, S.P. Planting date, maturity, and temperature effects on soybean seed yield and somposition. Agron. J. 2017, 109, 2040–2049. [Google Scholar] [CrossRef] [Green Version]
- Zhang, J.; Ge, Y.; Han, F.; Li, B.; Yan, S.; Sun, J.; Wang, L. Isoflavone content of soybean cultivars from maturity group 0 to VI grown in northern and southern China. J. Am. Oil Chem. 2014, 91, 1019–1028. [Google Scholar] [CrossRef] [PubMed] [Green Version]
- Lee, J.; Hwang, Y.S.; Kim, S.T.; Yoon, W.B.; Han, W.Y.; Kang, I.K.; Choung, M.G. Seed coat color and seed weight contribute differential responses of targeted metabolites in soybean seeds. Food Chem. 2017, 214, 248–258. [Google Scholar] [CrossRef]
- Ghosh, S.; Zhang, S.; Azam, M.; Qi, J.; Abdelghany, A.M.; Shaibu, A.S.; Gebregziabher, B.S.; Feng, Y.; Huai, Y.; Htway, H.; et al. Seed tocopherol assessment and geographical distribution of 1151 Chinese soybean accessions from diverse ecoregions. J. Food Compos. Anal. 2021, 100, 103932. [Google Scholar] [CrossRef]
- Kim, J.K.; Kim, E.H.; Park, I.; Yu, B.R.; Lim, J.D.; Lee, Y.S.; Lee, J.H.; Kim, S.H.; Chung, I.M. Isoflavones profiling of soybean [Glycine max (L.) Merrill] germplasms and their correlations with metabolic pathways. Food Chem. 2014, 153, 258–264. [Google Scholar] [CrossRef]
- Agyenim-Boateng, G.K.; Zhang, S.; Islam, S.; Gu, Y.; Li, B.; Azam, M.; Abdelghany, A.M.; Qi, J.; Ghosh, S.; Schaibu, A.S.; et al. Profiling of naturally occurring folates in a diverse soybean germplasm by HPLC-MS/MS. Food Chem. 2022, 384, 132520. [Google Scholar] [CrossRef] [PubMed]
- Azam, M.; Zhang, S.; Qi, J.; Abdelghany, A.M.; Shaibu, A.S.; Ghosh, S.; Feng, Y.; Huai, Y.; Gebregziabher, B.S.; Li, J.; et al. Profiling and associations of seed nutritional characteristics in Chinese and USA soybean cultivars. J. Food Compos. Anal. 2021, 98, 103803. [Google Scholar] [CrossRef]
- Abdelghany, A.M.; Zhang, S.; Azam, M.; Shaibu, A.S.; Feng, Y.; Qi, J.; Li, Y.; Tian, Y.; Hong, H.; Li, B.; et al. Natural variation in fatty acid composition of diverse world soybean germplasms grown in China. Agronomy 2020, 10, 1–18. [Google Scholar] [CrossRef] [Green Version]
- Ghosh, S.; Zhang, S.; Azam, M.; Gebregziabher, B.S.; Abdelghany, A.M.; Shaibu, A.S.; Qi, J.; Feng, Y.; Agyenim-Boateng, K.G.; Liu, Y.; et al. Natural variation of seed tocopherol composition in diverse world soybean accessions from maturity group 0 to VI grown in China. Plants 2022, 11, 206. [Google Scholar] [CrossRef] [PubMed]
- Monma, M.; Ito, M.; Saito, M.; Chikuni, K. Carotenoid components in soybean seeds varying with seed color and maturation stage. Biosci. Biotech. Biochem. 1994, 58, 926–930. [Google Scholar] [CrossRef]
- Byrne, P.F.; Volk, G.M.; Gardner, C.; Gore, M.A.; Simon, P.W.; Smith, S. Sustaining the future of plant breeding: The critical role of the USDA-ARS national plant germplasm system. Crop Sci. 2018, 58, 451–468. [Google Scholar] [CrossRef] [Green Version]
- Ashokkumar, K.; Tar, B.; Diapari, M. Effect of cultivar and environment on carotenoid profile of pea and chickpea. Crop Sci. 2014, 54, 2225–2235. [Google Scholar] [CrossRef]
- Zhang, B.; Deng, Z.; Tang, Y.; Chen, P.; Liu, R.; Ramdath, D.D.; Liu, Q.; Hernandez, M.; Tsao, R. Fatty acid, carotenoid and tocopherol compositions of 20 Canadian lentil cultivars and synergistic contribution to antioxidant activities. Food Chem. 2014, 161, 296–304. [Google Scholar] [CrossRef]
- Kim, M.; Kim, J.K.; Kim, H.J.; Pak, J.H.; Lee, J.; Kim, D.; Choi, K.; Jung, H.W.; Lee, J.; Chung, Y.; et al. Genetic modification of the soybean to enhance the β-carotene content through seed-specific expression. PLoS ONE 2012, 7, e48287. [Google Scholar] [CrossRef] [Green Version]
- Kanamaru, K.; Wang, S.; Yamada, T.; Abe, J.; Kitamura, K. Genetic analysis and biochemical characterization of the high lutein trait of wild soybean ( Glycine soja Sieb. et Zucc.). Breed. Sci. 2008, 58, 393–400. [Google Scholar] [CrossRef] [Green Version]
- Teng, W.L.; Feng, W.J.; Zhang, J.Y.; Xia, N.; Guo, J.; Li, W.; Wu, D.P.; Zhao, X.; Han, Y.P. Identification of quantitative trait loci underlying lutein content in soybean seeds across multiple environments. J. Agric. Sci. 2017, 155, 1263–1271. [Google Scholar] [CrossRef]
- Lee, J.; Hwang, Y.S.; Lee, J.D.; Chang, W.S.; Choung, M.G. Metabolic alterations of lutein, β-carotene and chlorophyll a during germination of two soybean sprout varieties. Food Chem. 2013, 141, 3177–3182. [Google Scholar] [CrossRef]
- Ashokkumar, K.; Diapari, M.; Jha, A.B.; Tar’an, B.; Arganosa, G.; Warkentin, T.D. Genetic diversity of nutritionally important carotenoids in 94 pea and 121 chickpea accessions. J. Food Compos. Anal. 2015, 43, 49–60. [Google Scholar] [CrossRef]
- Kanamaru, K.; Wang, S.; Abe, J.; Yamada, T.; Kitamura, K. Identification and characterization of wild soybean (Glycine soja Sieb. et Zecc.) strains with high lutein content. Breed. Sci. 2006, 56, 231–234. [Google Scholar] [CrossRef] [Green Version]
- Desta, K.T.; Hur, O.S.; Lee, S.; Yoon, H.; Shin, M.-J.; Yi, J.; Lee, Y.; Ro, N.Y.; Wang, X.; Choi, Y.-M. Origin and seed coat color differently affect the concentrations of metabolites and antioxidant activities in soybean [Glycine max (L.) Merrill] seeds. Food Chem. 2022, 381, 132249. [Google Scholar] [CrossRef]
- Song, J.Y.; Piao, X.; Choi, Y.-M.; Lee, G.-A.; Chung, J.-W.; Lee, J.-R.; Jung, Y.; Park, H.-J.; Lee, M.C. Evaluation of genetic diversity and comparison of biochemical traits of soybean ( Glycine max L.) germplasm collections. Plant Breed. Biotechnol. 2013, 1, 374–384. [Google Scholar] [CrossRef] [Green Version]
- Choi, Y.M.; Yoon, H.; Lee, S.; Ko, H.C.; Shin, M.J.; Lee, M.C.; Hur, O.S.; Ro, N.Y.; Desta, K.T. Isoflavones, anthocyanins, phenolic content, and antioxidant activities of black soybeans [Glycine max (L.) Merrill] as affected by seed weight. Sci. Rep. 2020, 10, 19960. [Google Scholar] [CrossRef]
- Dhungana, S.K.; Seo, J.H.; Kang, B.K.; Park, J.H.; Kim, J.H.; Sung, J.S.; Baek, I.Y.; Shin, S.O.; Jung, C.S. Protein, amino acid, oil, fatty acid, sugar, anthocyanin, isoflavone, lutein, and antioxidant variations in colored seed-coated soybeans. Plants 2021, 10, 1765. [Google Scholar] [CrossRef]
- Bursać, M.; Krstonošić, M.A.; Miladinović, J.; Malenčić, D.; Gvozdenović, L.; Cvejić, J.H. Isoflavone composition, total phenolic content and antioxidant capacity of soybeans with colored seed coat. Nat. Prod. Commun. 2017, 12, 527–532. [Google Scholar] [CrossRef] [Green Version]
- Slavin, M.; Kenworthy, W.; Yu, L. (LUCY) Antioxidant properties, phytochemical composition, and antiproliferative activity of Maryland-grown soybeans with colored seed coats. J. Agric. Food Chem. 2009, 57, 11174–11185. [Google Scholar] [CrossRef]
- Lee, S.J.; Kim, J.J.; Moon, H.I.; Ahn, J.K.; Chun, S.C.; Jung, W.S.; Lee, O.K.; Chung, I.M. Analysis of isoflavones and phenolic compounds in Korean soybean [Glycine max (L.) Merrill] seeds of different seed weights. J. Agric. Food Chem. 2008, 56, 2751–2758. [Google Scholar] [CrossRef]
- Yang, K.; Jeong, N.; Moon, J.K.; Lee, Y.H.; Lee, S.H.; Kim, H.M.; Hwang, C.H.; Back, K.; Palmer, R.G.; Jeong, S.C. Genetic analysis of genes controlling natural variation of seed coat and flower colors in soybean. J. Hered. 2010, 101, 757–768. [Google Scholar] [CrossRef] [Green Version]
- Gebregziabher, B.S.; Zhang, S.; Qi, J.; Azam, M.; Ghosh, S.; Feng, Y.; Huai, Y.; Li, J.; Li, B.; Sun, J. Simultaneous determination of carotenoids and chlorophylls by the HPLC-UV-VIS method in soybean seeds. Agronomy 2021, 11, 758. [Google Scholar] [CrossRef]
- Huang, G.; Cai, W.; Xu, B. Improvement in β-carotene, vitamin B2, GABA, free amino acids and isoflavones in yellow and black soybeans upon germination. LWT Food Sci. Technol. 2017, 75, 488–496. [Google Scholar] [CrossRef]
- Jo, H.; Lee, J.Y.; Cho, H.; Choi, H.J.; Son, C.K.; Bae, J.S.; Bilyeu, K.; Song, J.T.; Lee, J.D. Genetic diversity of soybeans [Glycine max (L.) merr.] with black seed coats and green cotyledons in Korean germplasm. Agronomy 2021, 11, 581. [Google Scholar] [CrossRef]
- Zhang, R.F.; Zhang, F.X.; Zhang, M.W.; Wei, Z.C.; Yang, C.Y.; Zhang, Y.; Tang, X.J.; Deng, Y.Y.; Chi, J.W. Phenolic composition and antioxidant activity in seed coats of 60 Chinese black soybean [Glycine max L. Merr.] varieties. J. Agric. Food Chem. 2011, 59, 5935–5944. [Google Scholar] [CrossRef]
- Dardanelli, J.L.; Jose, M.; Cuniberti, M.; Resnik, S.; Ramunda, S.F.; Herrero, R.; Baigorri, H. Soybean maturity groups, environments, and their interaction define mega- environments for seed composition in Argentina. Crop Sci. 2006, 46, 1939–1947. [Google Scholar] [CrossRef]
- Liu, X.; Wu, J.; Ren, H.; Qi, Y.; Li, C.; Cao, J.; Zhang, X.; Zhang, Z.; Cai, Z.; Gai, J. Genetic variation of world soybean maturity date and geographic distribution of maturity groups. Breed. Sci. 2017, 232, 221–232. [Google Scholar] [CrossRef] [Green Version]
- Ramadan, Z.; Jacobs, D.; Grigorov, M.; Kochhar, S. Metabolic profiling using principal component analysis, discriminant partial least squares, and genetic algorithms. Talanta 2006, 68, 1683–1691. [Google Scholar] [CrossRef]
- Gálvez, A.P.; Viera, I.; Roca, M. Carotenoids and chlorophylls as antioxidants. Antioxidants 2020, 9, 505. [Google Scholar] [CrossRef]
- Abbo, S.; Molina, C.; Jungmann, R.; Grusak, M.A.; Berkovitch, Z.; Reifen, R.; Kahl, G.; Winter, P.; Reifen, R. Quantitative trait loci governing carotenoid concentration and weight in seeds of chickpea (Cicer arietinum L.). Theor. Appl. Genet. 2005, 111, 185–195. [Google Scholar] [CrossRef]
- Whent, M.; Hao, J.; Slavin, M.; Zhou, M.; Song, J.; Kenworthy, W.I.; Yu, L.L. Effect of genotype, environment, and their interaction on chemical composition and antioxidant properties of low-linolenic soybeans grown in Maryland. J. Agric. Food Chem. 2009, 57, 10163–10174. [Google Scholar] [CrossRef]
- Mares, J. Lutein and zeaxanthin isomers in eye health and disease. Annu. Rev. Nutr. 2016, 36, 571–602. [Google Scholar] [CrossRef] [Green Version]
- Li, Y.; Guan, R.; Liu, Z.; Ma, Y.; Wang, L.; Li, L.; Lin, F.; Luan, W.; Chen, P.; Yan, Z.; et al. Genetic structure and diversity of cultivated soybean [Glycine max (L.) Merr.] landraces in China. Theor. Appl. Genet. 2008, 117, 857–871. [Google Scholar] [CrossRef]
- Zeb, A.; Ullah, F. Reversed phase HPLC-DAD profiling of carotenoids, chlorophylls and phenolic compounds in Adiantum capillus-veneris leaves. Front. Chem. 2017, 5, 29. [Google Scholar] [CrossRef] [Green Version]





| Traits | Min (µg g−1) | Max (µg g−1) | Range (µg g−1) | Mean (µg g−1) | SD | CV (%) | Kurtosis | Skewness |
|---|---|---|---|---|---|---|---|---|
| Lutein | 1.35 | 32.08 | 30.73 | 11.79 | 5.93 | 50.36 | 1.79 | 1.08 |
| Zeax | 0.02 | 2.90 | 2.88 | 0.49 | 0.51 | 107.38 | 4.71 | 1.23 |
| β-car | 0.04 | 2.29 | 2.25 | 0.52 | 0.35 | 67.07 | 3.27 | 1.11 |
| Totcar | 1.35 | 33.09 | 31.74 | 12.04 | 6.27 | 52.08 | 2.90 | 1.05 |
| chl-a | 1.10 | 66.07 | 64.97 | 5.06 | 8.45 | 139.12 | 6.86 | 2.44 |
| chl-b | 0.36 | 22.53 | 22.17 | 1.58 | 2.40 | 152.81 | 7.16 | 3.76 |
| Totchl | 0.36 | 87.68 | 87.32 | 4.05 | 8.52 | 213.26 | 9.96 | 3.03 |
| ID | MG | Seed Coat Color | Country of Origin | Lutein (µg g−1) | Total Carotenoid (µg g−1) § |
|---|---|---|---|---|---|
| WDD02708 | I | brown | Russia | 27.56 | 28.82 |
| WDD02989 | 0 | black | USA | 28.13 | 29.62 |
| ZDD08013 | V | black | China | 28.45 | 30.08 |
| ZDD10734 | VI | black | China | 28.71 | 30.52 |
| WDD02957 | I | black | Russia | 29.04 | 32.32 |
| ZDD06375 | IV | black | China | 29.58 | 31.37 |
| ZDD10248 | VI | green | China | 29.79 | 31.93 |
| P1438498 | IV | black | USA | 29.93 | 31.59 |
| WDD00475 | IV | black | USA | 30.54 | 31.95 |
| ZDD11183 | V | brown | China | 32.08 | 33.09 |
Publisher’s Note: MDPI stays neutral with regard to jurisdictional claims in published maps and institutional affiliations. |
© 2022 by the authors. Licensee MDPI, Basel, Switzerland. This article is an open access article distributed under the terms and conditions of the Creative Commons Attribution (CC BY) license (https://creativecommons.org/licenses/by/4.0/).
Share and Cite
Gebregziabher, B.S.; Zhang, S.; Ghosh, S.; Shaibu, A.S.; Azam, M.; Abdelghany, A.M.; Qi, J.; Agyenim-Boateng, K.G.; Htway, H.T.P.; Feng, Y.; et al. Origin, Maturity Group and Seed Coat Color Influence Carotenoid and Chlorophyll Concentrations in Soybean Seeds. Plants 2022, 11, 848. https://doi.org/10.3390/plants11070848
Gebregziabher BS, Zhang S, Ghosh S, Shaibu AS, Azam M, Abdelghany AM, Qi J, Agyenim-Boateng KG, Htway HTP, Feng Y, et al. Origin, Maturity Group and Seed Coat Color Influence Carotenoid and Chlorophyll Concentrations in Soybean Seeds. Plants. 2022; 11(7):848. https://doi.org/10.3390/plants11070848
Chicago/Turabian StyleGebregziabher, Berhane Sibhatu, Shengrui Zhang, Suprio Ghosh, Abdulwahab S. Shaibu, Muhammad Azam, Ahmed M. Abdelghany, Jie Qi, Kwadwo G. Agyenim-Boateng, Honey T. P. Htway, Yue Feng, and et al. 2022. "Origin, Maturity Group and Seed Coat Color Influence Carotenoid and Chlorophyll Concentrations in Soybean Seeds" Plants 11, no. 7: 848. https://doi.org/10.3390/plants11070848
APA StyleGebregziabher, B. S., Zhang, S., Ghosh, S., Shaibu, A. S., Azam, M., Abdelghany, A. M., Qi, J., Agyenim-Boateng, K. G., Htway, H. T. P., Feng, Y., Ma, C., Li, Y., Li, J., Li, B., Qiu, L., & Sun, J. (2022). Origin, Maturity Group and Seed Coat Color Influence Carotenoid and Chlorophyll Concentrations in Soybean Seeds. Plants, 11(7), 848. https://doi.org/10.3390/plants11070848

