Abstract
It is well known that the survival rate of cotton seedlings is low, and the growth and development status at this stage is crucial to improve productivity. Plant hormones are important factors that promote the growth and development of cotton seedlings. Growth regulators have the same function as plant hormones. The purpose of this research is to explore the effects of different concentrations of growth regulators on cotton root morphological parameters and enzyme activities, and to find suitable plant growth regulators and their optimal concentrations to improve the growth of the cotton seedling root system. Three cotton varieties, “Zhongmian 619” (Z619), “Xinluzao 27” (Z27), and “Xinluzao 39” (Z39), and three growth regulators, gibberellin (GA3), salicylic acid (SA), and paclobutrazol (PP333), at three concentrations were used in our experiment. In Z619 and Z27, 0.050 mg/L GA3 significantly increased the total root length. Similarly, 0.010 mmol/L SA significantly increased the root growth parameters of Z619 and Z39. In Z619, 0.1 mg/L PP333 significantly increased the total root length and total surface area and reduced the average root diameter. For all three cotton varieties, 0.050 mg/L GA3 increased peroxidase (POD) activity in the roots. In Z27 and Z39, 0.80 mg/L GA3 increased superoxide dismutase (SOD) activity in the roots. All SA concentrations increased SOD activity in roots of Z619 and Z27; 0.10 mg/L PP333 significantly increased SOD and POD activities in the roots of Z619 and significantly increased SOD activity in Z27. Principal component analysis indicated that 0.10 mmol/L SA was the optimal treatment for promoting the development of the roots of Z619 and 0.050 mmol/L SA was the optimal treatment for promoting the development of the roots of Z27 and Z39.
1. Introduction
The Tarim Basin is a typical oasis irrigation area with sufficient light and heat resources and is suitable for growing cotton. While adult cotton plants are resistant to stress, cotton seedlings are vulnerable. The low survival rate of seedlings is a serious problem in cotton cultivation [1]. In this area, improvements to the planting system may effectively increase the germination rate of cotton seeds, but there is a lack of related agricultural technology to improve the seedling survival rate. At the seedling stage of cotton plants, the nutrients used to maintain seedling growth are mainly absorbed and transported by the roots [2]. Root systems are significantly affected by adverse soil environments, which may weaken the growth and development of plants and even reduce the survival rate of cotton seedlings [3]. Improving the physiological parameters of the growth of cotton root systems to enhance their ability to absorb soil water and nutrients may promote the growth and development of cotton plants throughout the growth period and increase yield [4]. Therefore, improving the physiological parameters related to the growth of the cotton seedling root system is of great significance in guiding cotton production in the Tarim Basin.
Plant growth regulators can promote plant growth and development processes, such as cell division, rhizome elongation, flower and fruit development [5,6,7,8,9]. During cotton plant growth, the dramatic change in the soil environment may cause the production of a large amount of reactive oxygen species (ROS), which can damage the cell membrane systems or cause cell death. Plants have a defense system to cope with ROS [10]. Superoxide dismutase (SOD), peroxidase (POD), and catalase (CAT) are important enzymes that protect the cell membrane system. SOD first catalyzes the decomposition of intracellular ROS O2− into H2O2, which is then decomposed by intracellular CAT and POD. As a result, the destruction of the membrane system by ROS is minimized, and thus the damage and death of plant cells are reduced [11]. Growth regulators have the same function as plant hormones and can be applied in the soil to modulate the activities of related enzymes in plants to balance the metabolism of ROS, the roles of which differ in different growth stages, tissues, and environments [12,13,14]. Appropriate gibberellin (GA3) [15] and salicylic acid (SA) concentrations can significantly promote the elongation and growth of plant cells, while paclobutrazol (PP333) may restrict plant growth. Sponsel et al. [16] found that wheat seeds could effectively improve the antioxidant enzyme activity in seeds after gibberellin treatment. Martin et al. [17] showed that the yield of litchi trees treated with gibberellin could be increased without changing their quality. The alleviation of NaCl toxicity by SA was related to the activities of SOD and CAT, as well as the increase of the contents of ascorbase and glutathione [18]. The SA-treated thyme plants had greater shoot and root dry weights, photosynthetic rates, mesophyll efficiency, and water-use efficiency when exposed to salt stress [19]. Paclobutrazol can effectively improve the growth, physiological characteristics and stress resistance of crops by regulating their biomass distribution, water status, cell permeability, and oxidation resistance [20,21,22]. Choudhary et al. [23] found that soaking maize seeds in PP333 solution effectively reduced the height of maize seedlings, promoted root growth, and increased the root–shoot ratio and dry matter of plants. In addition, the activity of protective enzymes in leaves was significantly increased, and the stress resistance of seedlings was enhanced, which benefited the growth and development of the seedlings. PP333 increased the soluble protein and soluble sugar content, enhanced SOD, POD, and nitrate reductase activities, and reduced malondialdehyde (MDA) content. PP333 can also significantly increase peroxidase and indoleacetic acid oxidase activities in cotton roots and cotyledons, and the activity of the enzymes in taproots is higher than that in cotyledons. The effects of growth regulators on the growth of roots and the activities of key enzymes may vary with crop, species, growth regulator species, and growth regulator concentration. Previous studies have demonstrated that the application of growth regulators under salt stress conditions effectively promotes the growth of the seedling roots of crops.
A well-developed root system in cotton plants ensures a high yield. Growth regulators can promote seedling root growth. Thus far, the effect of different growth regulators on the root growth of cotton seedlings growing in the Tarim Basin has rarely been reported. Therefore, it is of great significance to study the effects of growth regulators on the growth and development of cotton seedling roots. Accordingly, the main goal of this study was to analyze the impact of GA3, SA and PP333 on cotton physiological growth indicators, explore the appropriate concentration of growth regulators to promote the growth of different cotton seedlings, and provide a reference for improving the growth of cotton seedlings in Xinjiang and increasing the yield of growth regulators.
2. Results
2.1. Effect of the Growth Regulator Concentrations on the Root Growth of the Seedlings
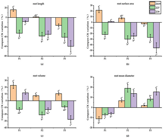
2.1.1. Effect of the GA3 Concentration on the Root Growth
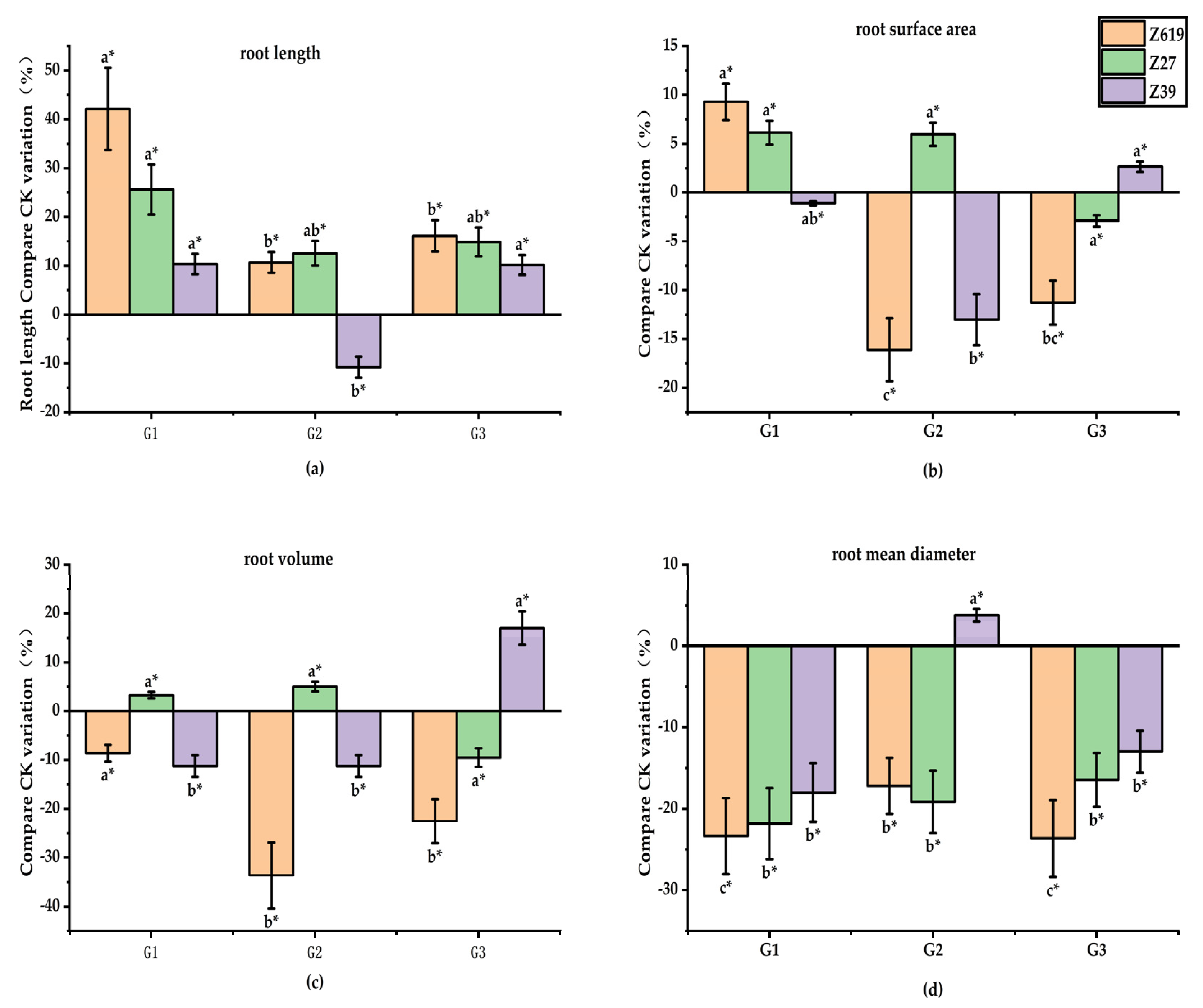
Figure 1 shows the effects of different GA3 concentrations on the root morphology of the three varieties, “Zhongmian 619” (Z619), “Xinluzao 27” (Z27), and “Xinluzao 39” (Z39). Data analysis indicated that the G1 (GA3 0.050 mg/L) concentration increased the total root length of Z619 by 42.2% compared with CK (control check), and the difference reached a significant level, indicating that the G1 concentration of GA3 significantly promoted root elongation. G2 (GA3 0.20 mg/L) and G3 (GA3 0.80 mg/L) had no significant effect on the total root length. The low GA3 concentration had no significant effect on the total root surface area or volume. There was no significant difference in the total root surface area and volume between G1 and CK, while G2 and G3 significantly reduced the total root surface area and volume compared with CK, indicating that an increase in the GA3 concentration restrained the increase in the total root surface area and volume. All GA3 concentrations significantly reduced the average root diameter of the seedling compared with CK, indicating that GA3 significantly inhibited the growth of root thickness.
Figure 1.
(a) Effects of different concentrations of gibberellin on root length; (b) Effects of different concentrations of gibberellin on root surface area; (c) Effects of different concentrations of gibberellin on root volume; (d) Effect of different concentrations of gibberellin on root mean diameter. * Different lowercase letters in the figure indicate that different treatments of the same variety have significant differences at p < 0.05.
There was no significant difference in the total root surface area and volume of Z27 between GA3 concentrations. The low GA3 concentration significantly increased the total root length by 25.6% compared with CK. All GA3 concentrations significantly reduced the average root diameter compared with CK.
The low GA3 concentration showed no significant effect on the total length, total surface area, or volume of Z39 roots. The G1 concentration reduced the average diameter by 18.0% compared with CK, and the difference was significant, indicating that the low GA3 concentration may have reduced the root diameter of Z39. There was no significant difference in the morphological parameters between G2 and CK, indicating that the G2 concentration of GA3 had no effect on the root morphology. The high GA3 concentration significantly increased the volume but significantly reduced the average root diameter.
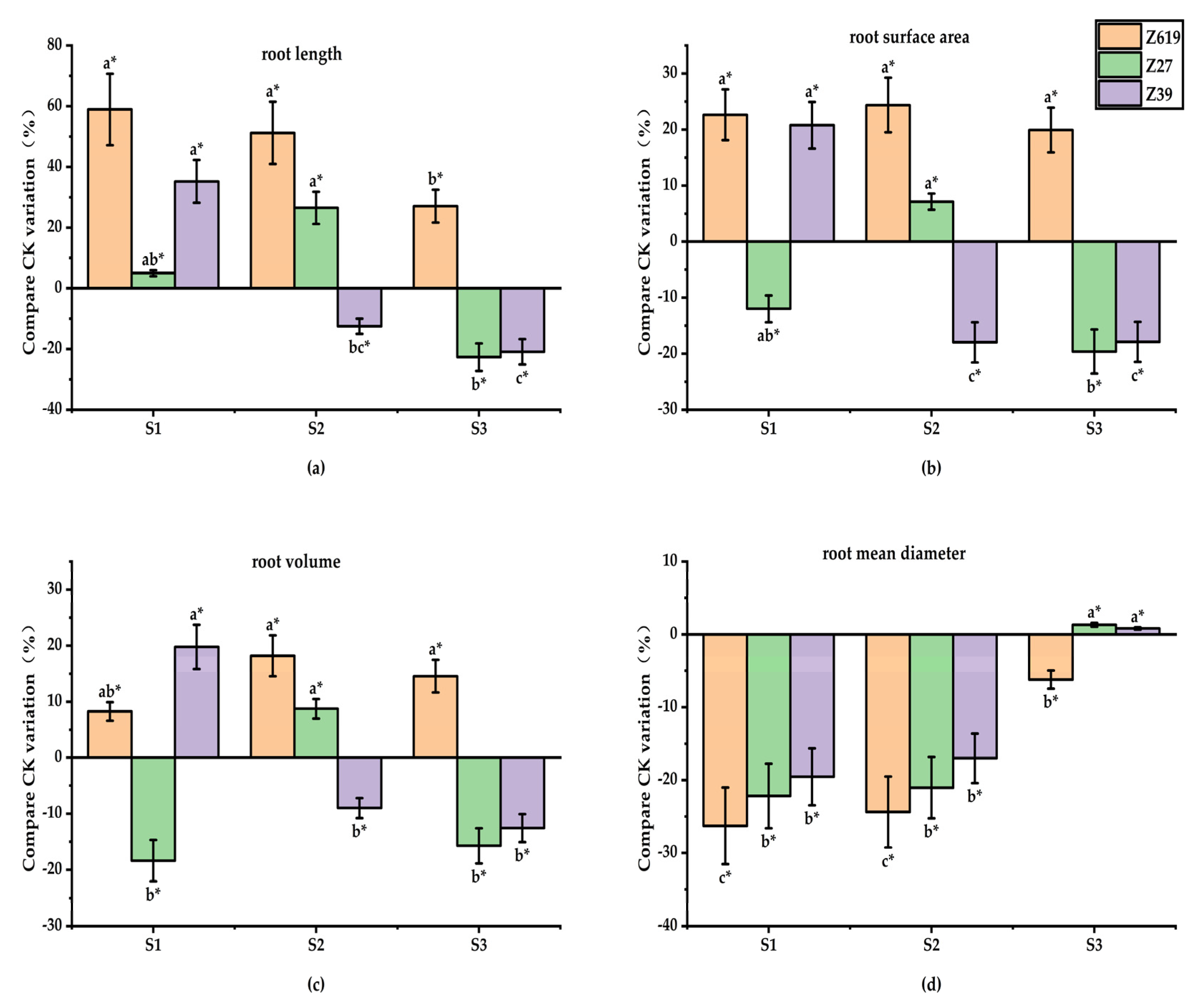
2.1.2. Effect of SA Concentration on the Root Growth
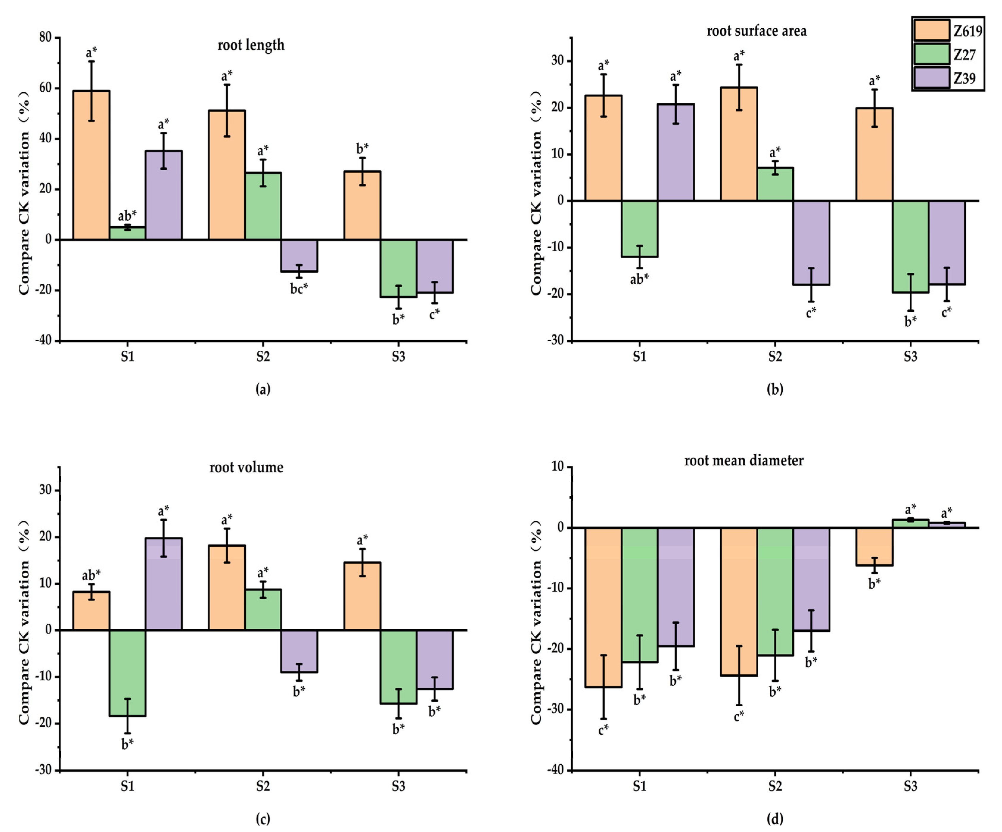
Figure 2 shows the effects of different concentrations of SA on the root morphology of three varieties: Z619, Z27, and Z39. Different SA concentrations significantly affected all root morphological parameters of Z619, which included the increase in total length, total surface area, and volume, and the reduction in average diameter of the roots.
Figure 2.
(a) Effects of different concentrations of salicylic acid on root length; (b) Effects of different concentrations of salicylic acid on root surface area; (c) Effects of different concentrations of salicylic acid on root volume; (d) Effect of different concentrations of salicylic acid on root mean diameter. * Different lowercase letters in the figure indicate that different treatments of the same variety have significant differences at p < 0.05.
While significantly reducing the root volume and average root diameter of Z27, the low SA concentration had no significant effect on the total length or total surface area. Compared with CK, the S1 (SA 0.010 mg/L) concentration of SA increased the root volume and average root diameter by 18.1% and 21.1%, respectively. In comparison with CK, the S2 (SA 0.050 mg/L) concentration of SA increased the total length, total surface area, and volume of the roots, but the differences were not significant; however, this concentration significantly reduced the average root diameter. The high SA concentration reduced the total length, total surface area, and volume of roots but had no significant effect on the average root diameter. While significantly reducing the root volume by 16.7% in comparison with CK, the S3 (SA 0.10 mg/L) concentration of SA showed no significant effect on the total length, total surface area, and average diameter of the roots.
The low SA concentration significantly increased the total length, total surface area, and volume, but reduced the average root diameter of Z39. Compared with CK, the S1 concentration of SA significantly increased the total length, total surface area, and volume of roots by 35.2%, 20.6%, and 19.5%, respectively, and significantly reduced the average root diameter by 18.9%. While the S2 concentration of SA had no significant effect on the total root length and root volume, it significantly reduced the total root surface area and average root diameter by 18.1% and 16.2%, respectively. The high SA concentration significantly reduced the total root length and surface area but had no significant effect on the root volume or average root diameter.
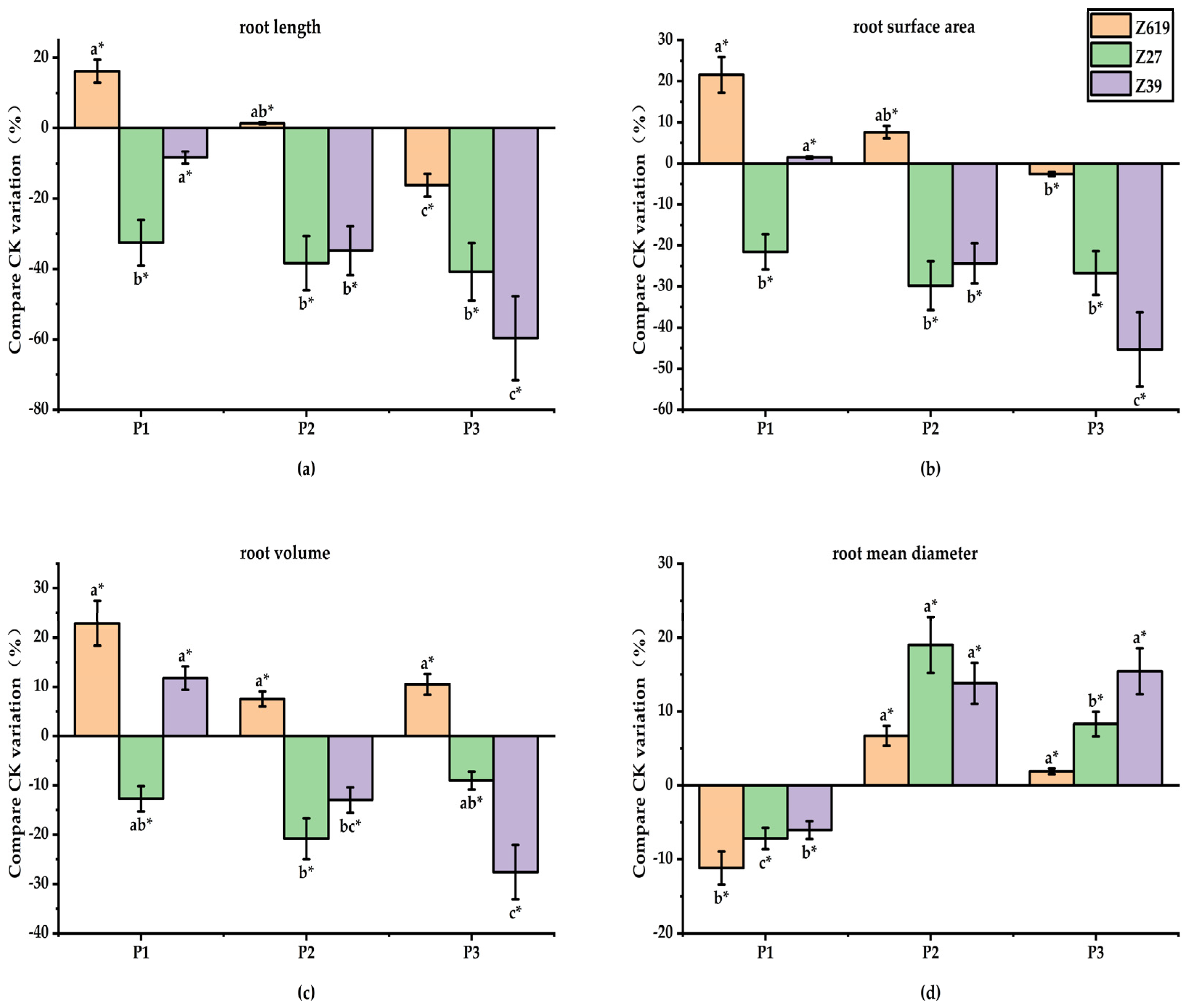
2.1.3. Effect of the PP333 Concentration on the Root Morphology
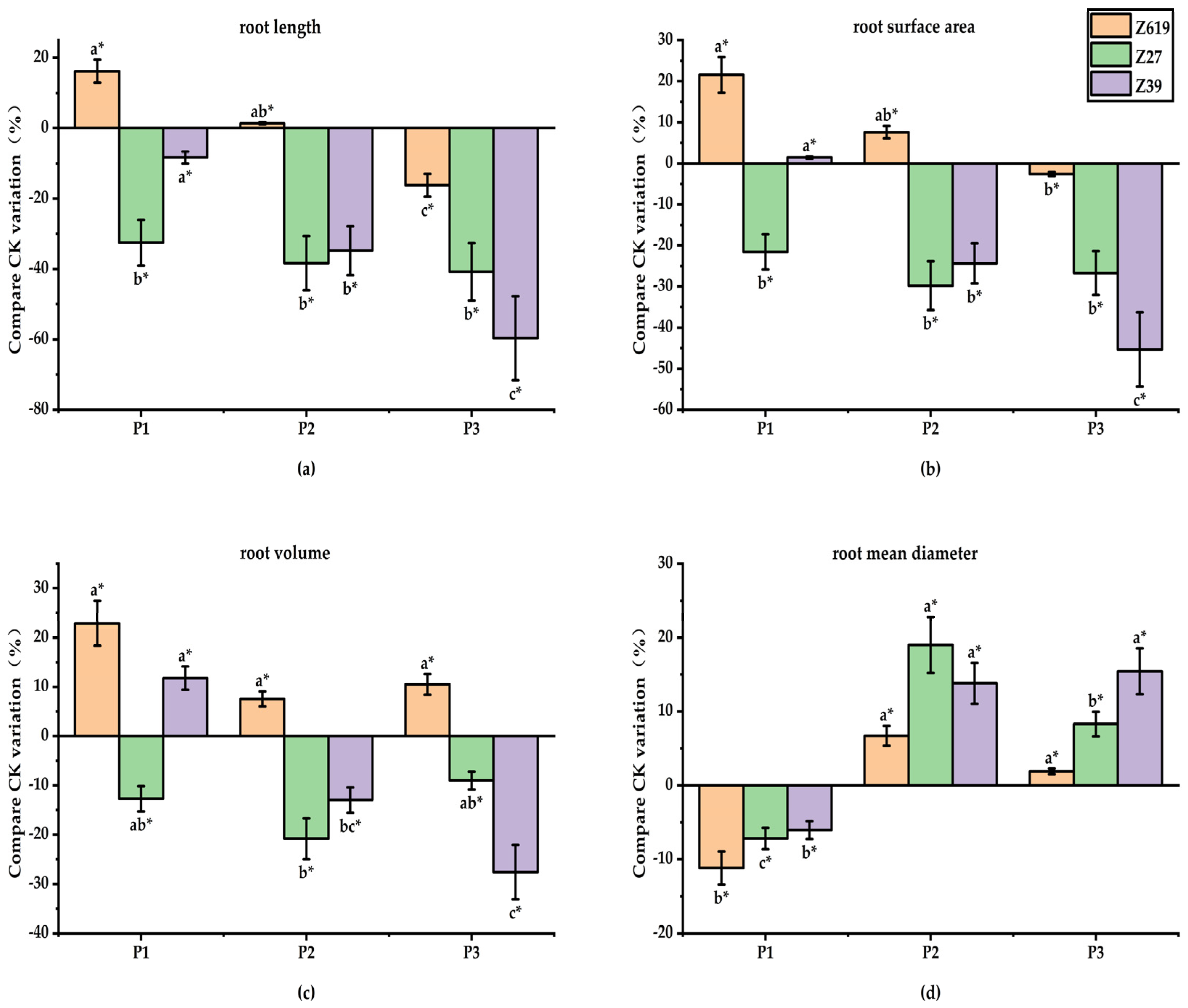
Figure 3 shows the effects of different PP333 concentrations on the root morphology of three varieties: Z619, Z27, and Z39. The effect of PP333 on the root morphological parameters varied depending on the concentration. The low PP333 concentration significantly increased the total root length and surface area but reduced the average root diameter of Z619. The P1 (PP333 0.10 mg/L) concentration of PP333 increased the total root length and surface area by 16.2% and 21.2%, respectively, and reduced the average root diameter by 12.8% compared with CK. There was no significant difference in the root morphological parameters between P2 (PP333 0.250 mg/L), P3 (PP333 0.50 mg/L), and CK, except for the significantly reduced total root length induced by the P3 concentration of PP333.
Figure 3.
(a) Effects of different concentrations of paclobutrazol on root length; (b) Effects of different concentrations of paclobutrazol on root surface area; (c) Effects of different concentrations of paclobutrazol on root volume; (d) Effect of different concentrations of paclobutrazol on root mean diameter. * Different lowercase letters in the figure indicate that different treatments of the same variety have significant differences at p < 0.05.
All PP333 concentrations showed inhibitory effects on the total length, total surface area, and volume of the roots of Z27. The P1, P2, and P3 concentrations of PP333 significantly reduced the total length, total surface area, and volume of the roots compared with CK. In terms of the average root diameter, while it was significantly increased by the P2 concentration of PP333, there was no significant difference between P1, P3, and CK, showing a first increasing and then decreasing trend with the increase in PP333 concentration.
The P1 concentration of PP333 had no significant effect on the root morphological parameters of Z39. As the concentration increased, PP333 showed inhibitory effects on the total length, total surface area, and volume but increased the average diameter of the roots. In comparison with CK, the P2 and P3 concentrations of PP333 significantly reduced the total length, total surface area, and volume but significantly increased the average diameter of the roots. With the increase in concentration, the inhibitory effect of PP333 on the total length, total surface area, and volume of the roots increased, and the promoting effect of PP333 on the average root diameter became stronger.
2.2. Effects of Different Concentrations of Growth Regulators on Root Enzyme Activities in the Seedling Stage
2.2.1. Effects of the GA3 Concentration on the Activities of Root-Related Enzymes
Most soluble proteins in a cotton plant are enzymes that are involved in various metabolic processes, the content of which is an important indicator of the overall metabolic level of a cotton plant. Figure 4 shows the effects of different GA3 concentrations on the activities of root-related enzymes of Z619, Z27, and Z39. GA3 had a significant effect on the soluble protein content of the roots of Z619. With an increase in the GA3 concentration, the soluble protein content significantly increased. The high GA3 concentration significantly promoted the formation of soluble proteins in the roots of Z27. Similar to the response of Z619, with the increase in GA3 concentration, the soluble protein content of the roots of Z39 gradually increased. Compared with CK, the G1 concentration significantly reduced the soluble protein content by 23.1%. The G2 and G3 concentrations of GA3 significantly increased the soluble protein content by 13.9% and 25.0%, respectively. The low GA3 concentration suppressed the formation of soluble proteins in the roots, but the high concentration promoted the synthesis of soluble proteins.
Figure 4.
(a) Effects of different concentrations of gibberellin on superoxide dismutase activity in root system; (b) Effects of different concentrations of gibberellin on peroxidase activity in roots; (c) Effect of different concentrations of gibberellin on soluble protein content in roots. * Different lowercase letters in the figure indicate that different treatments of the same variety have significant differences at p < 0.05.
While the low GA3 concentration had no significant effect on POD activity in the roots of Z619, as the GA3 concentration increased there was a significant inhibitory effect on POD activity. With the increase of GA3 concentration, POD activity in the Z27 roots was enhanced, but the G3 concentration inhibited POD activity. Similar to the response of Z619, POD activity in the Z39 roots decreased significantly with the increase in GA3 concentration, and the order of POD activity at the GA3 concentrations was G1 > G2 > G3. The low GA3 concentration significantly increased POD activity in the Z39 roots. However, with the increase in the concentration, the promoting effect of GA3 gradually decreased and a significant inhibitory effect on POD activity appeared.
GA3 showed an inhibitory effect on SOD activity in Z619 roots. In contrast to the effect on Z619, the low GA3 concentration had no significant effect on SOD activity in Z27 roots, while G2 and G3 increased the SOD activity by 18.9% compared with CK. Compared with CK, the low (G1) and high (G3) concentrations of GA3 significantly increased SOD activity in the Z39 roots by 32.9% and 31.1%, respectively.
2.2.2. Effect of SA Concentration on the Activity of Root-Related Enzymes
Figure 5 shows the effects of different SA concentrations on the activities of root-related enzymes in Z619, Z27, and Z39. Dissimilar to the effect of GA3, the S2 and S3 concentrations of SA significantly increased the soluble protein content of the Z619 roots by 22.2% and 25.0%, respectively, compared with CK. The low SA concentration significantly inhibited the formation of soluble proteins in the Z27 roots, and the increased SA concentrations had no significant effect on the soluble protein content. The response of Z39 to SA was different from that of Z619 and Z27. For Z39, while the S2 concentration of SA increased the root soluble protein content by 18.5% compared with CK, low and high concentrations of SA had no significant effects.
Figure 5.
(a) Effects of different concentrations of salicylic acid on superoxide dismutase activity in root system; (b) Effects of different concentrations of salicylic acid on peroxidase activity in roots; (c) Effect of different concentrations of salicylic acid on soluble protein content in roots. * Different lowercase letters in the figure indicate that different treatments of the same variety have significant differences at p < 0.05.
The effects of SA on POD activity in the Z619 roots varied with the concentration. There was no significant difference between S1 and CK. The S2 and S3 concentrations of SA significantly reduced the POD activity by 13.4% and 33.0%, respectively, compared with CK. With the increase in SA concentration, the POD activity in the Z27 roots showed a decreasing trend, and the order of POD activity between the SA concentrations was S1 > S2 > S3, indicating that the low SA concentration increased the POD activity in the Z27 roots. None of the concentrations (S1, S2, and S3) of SA showed significant effects on POD activity in the Z39 roots compared with CK.
In contrast to the effects of GA3, all SA concentrations increased SOD activity in the Z619 roots. SOD activity was significantly increased by 20.6%, 37.2%, and 29.4% at the S1, S2, and S3 concentrations of SA, respectively. All SA concentrations significantly increased SOD activity in the Z27 roots, and the effect was gradually weakened with the increase in SA concentration. The S1, S2, and S3 concentrations of SA increased SOD activity by 47.7%, 36.3%, and 24.1%, respectively. The S2 concentration of SA increased SOD activity in the Z39 roots by 22.8% compared with CK.
2.2.3. Effect of the PP333 Concentration on the Activities of Root-Related Enzymes
Figure 6 shows the effects of different PP333 concentrations on the activities of root-related enzymes in the Z619, Z27, and Z39 roots. Similar to the effects of SA, while the high PP333 concentration reduced the root soluble protein content of Z619, the low concentration had no significant effect. None of the PP333 concentrations had a significant effect on the soluble protein content of the Z27 and Z39 roots. There was no significant difference in soluble protein content between P1, P2, P3, and CK.
Figure 6.
(a) Effects of different concentrations of paclobutrazol on superoxide dismutase activity in root system; (b) Effects of different concentrations of paclobutrazol on peroxidase activity in roots; (c) Effect of different concentrations of paclobutrazol on soluble protein content in roots. * Different lowercase letters in the figure indicate that different treatments of the same variety have significant differences at p < 0.05.
Both the P1 and P3 concentrations of PP333 increased the POD activity in the Z619 roots. Compared with CK, the P1 and P3 concentrations of PP333 significantly increased the POD activity by 12.1% and 22.7%, respectively. The difference in POD activity between P2 and CK was not significant. With the increase in PP333 concentration, the POD activity in the Z27 roots first decreased and then increased. With the increase in PP333 concentration, the POD activity in the Z39 roots increased first and then decreased. The P2 concentration of PP333 significantly increased POD activity, while the P1 and P3 concentrations had no significant effects.
The low PP333 concentration promoted SOD activity in the Z619 roots. The P1 concentration of PP333 significantly increased SOD activity by 20.4% compared with CK. With an increase in concentration, the promoting effect of PP333 gradually decreased. Similar to the effect of SA, all PP333 concentrations increased SOD activity in the Z27 roots to a certain extent, and with the increase in the PP333 concentration, SOD activity showed a decreasing trend. Compared with CK, the P1, P2, and P3 concentrations of PP333 increased SOD activity by 70.7%, 42.0%, and 16.0%, respectively, and the increases caused by P1 and P2 were significant. All PP333 concentrations increased SOD activity in the Z39 roots. Compared with CK, the P1, P2, and P3 concentrations of PP333 increased SOD activity by 33.6%, 18.2%, and 22.9%, respectively, but the increases were not significant.
2.3. Single Factor ANOVA of Varieties and Growth Regulators
Single factor analysis of variance (ANOVA) of the root growth parameters was performed to clarify the influence of regulators and varieties. It was found that different varieties of cotton had no significant effect on physiological growth (p > 0.05). It shows that the difference of physiological growth indexes among different cotton varieties is not obvious. The indexes with obvious difference of different growth regulators on cotton physiological growth indexes are root length and average heel diameter, and their average values are shown in Figure 7. The effect of different growth regulators on cotton root length was significant (p < 0.001). It can be seen that there was a significant difference between SA treatment and PP333 treatment. According to the data, SA can promote the growth of cotton root length, and PP333 can inhibit the growth of root length to some extent. The effect of different growth regulators on the average diameter of cotton heel was significant (p < 0.01). It can be seen that there was a significant difference between GA3 treatment and PP333 treatment. According to the data, PP333 can promote the growth of cotton root length, and GA3 can inhibit the growth of cotton root length to some extent. In this study, the main indexes of root length and average root diameter were the effects of growth regulators on cotton physiological growth. These two indicators can be used as the main research indicators of growth regulators on cotton.
Figure 7.
(a) Root length with different growth regulators treatments; (b) Root mean diameter with different growth regulators treatments.
2.4. Principal Component Analysis of the Root Growth Parameters of Cotton under Treatment with Different Growth Regulators
After data standardization, the principal components were computed using SPSS 25 software. The principal component analysis diagram is shown in Figure 8. The main components of growth regulators affecting cotton physiological growth are the main components of morphological factors and protein factors. There was a certain degree of aggregation among the treatments, but the three growth regulators had obvious separation. The similarity of 27 treatments was not high, indicating that the three growth regulators had different effects on cotton physiological growth indicators. The eigenvectors and cumulative contributions of the sample correlation matrix are shown in Table S1. In terms of growth regulators, the contributions of the first three principal components were 44.55%, 28.19%, and 15.29%, respectively, indicating that PC1, PC2, and PC3 explained 88.03% of the variation in the seven original variables. The initial data of the seven original variables were transformed and three new independent comprehensive variables (principal components) were obtained, in which the eigenvalue of root surface area among morphological factors was the largest (0.976). The eigenvalue of soluble protein content among protein factors was the largest (−0.935), and the eigenvalue of SOD among enzyme activity factors was the largest (0.956). The results indicated that root surface area, soluble protein content, and SOD activity had the highest contributions and a high degree of influence, which could be used as major indicators for studying the physiological effects of growth regulators on cotton growth.
Figure 8.
Principal component analysis diagram of cotton variety and growth regulator.
Based on the principal component analysis of factors, the scores of the variety–growth regulator factors were ranked, as shown in Table S2. Among the ranked morphological factors, the top three were Z39-S3, Z619-S1, and Z619-S3, respectively; among the ranked protein content factors, the top three were Z619-S3, Z619-P3, and Z39-G1; among the ranked of enzyme activity factors, the top three were Z27-P1, Z619-S2, and Z27-P2; among the ranked comprehensive score of the principal components, the top three were Z619-S3, Z39-G1, and Z619-P1. The scores listed in the table indicated that the optimal concentration of the growth regulators varied by variety; the SA score calculated based on the three varieties was higher than that of the other two growth regulators; root surface area and soluble protein content were the main morphological and protein content factors, respectively. The results could be used as a basis for selecting the growth regulator concentration to promote the growth and development of seedlings of different cotton varieties.
3. Discussion
Plant hormones are important factors affecting the growth and development of the root system. Plant growth regulators can influence plant stress resistance by affecting the action of endogenous plant hormones [24]. In our study, the effects of three growth regulators on the root growth parameters of cotton seedlings and the activities of root-related enzymes were determined, and the response of the seedling root system to different concentrations of regulators was examined. By combining the observed data of morphological parameters and enzyme activities with principal component analysis under the treatment of growth regulators, there was a negative correlation between the elongation and thickening of the seedling root system.
GA is considered as an effective growth regulator in some studies, which can improve crop yield and economic income [25,26]. Aging and various environmental stresses may disrupt the balance between the generation and detoxification of reactive oxygen species [27]. Achard et al. showed that GA could promote the production of DELLA proteins, which promoted the expression of SOD, thereby reducing the ROS level [28]. In our study, the low GA3 concentration (0.050 mg/L) level promoted the elongation of root cells and thus increased the root length; however, the growth of average root diameter was inhibited, resulting in restrained growth of the root surface area and volume, which led to poor robustness of the root system. Therefore, high GA3 concentration levels may cause lodging. Varieties with higher GA3 sensitivity might exhibit restrained root elongation at different concentrations, and excessively high GA3 concentrations inhibited root growth [29]. An appropriate SA concentration increased all the growth parameters of the roots of all varieties. SA can induce cell differentiation and promote plant growth and development. Appropriate SA concentrations promoted both elongation and thickening of the cotton seedling roots and did not restrain either of them. Therefore, SA is a stable plant growth regulator. However, while low concentration of SA can promote root growth, high concentration of SA can inhibit root growth. The same results were obtained with chamomile testing [30]. In this study, through two-way interaction analysis and principal component analysis, the comprehensive score of SA was found to be higher than that of the other two growth regulators; the root surface area was the most important parameter of root morphology, and the soluble protein content was the most important index of protein content. Principal component analysis [31] indicated that SA application was beneficial to the seedling roots of the three varieties in terms of growth and enzyme activity [32]. The low PP333 concentration (0.10 mg/L) promoted root elongation. Similar results were obtained with geranium plants [33]. However, its promotion extent was lower in comparison to other growth regulators. With the increase in the PP333 concentration, the root length was reduced. Additionally, PP333 did not have a distinct effect on the thickness of seedling roots. It is possible that PP333 may inhibit GA3 synthesis [34], thereby inhibiting root elongation. The low PP333 concentration had no significant inhibitory effect on root elongation, and the root length still increased if the variety was not sensitive to PP333. The increased PP333 concentration inhibited the growth of root length. Moreover, PP333 could remain in the plants [35]. In follow-up studies, we will observe the duration of PP333 retention, compare the root growth in different growth stages of cotton plants, and examine the duration of the effect of PP333 residue in plants on the root growth, so as to promote the increase of flowering and fruiting of crops [36,37].
The sensitivity of the root-related enzymes to growth regulators varied with the cotton variety. Different SA concentrations increased the antioxidant enzyme activity and soluble protein content in the roots to varying degrees, which could effectively increase the vitality of the cotton roots. PP333 had no effect on the soluble protein content of the roots of any of the varieties. The SOD activity in the roots of the three varieties was not significantly affected by GA3. Furthermore, compared with the activity of the other two root-related enzymes, the POD activity was less affected by the three growth regulators, indicating that the POD activity was less sensitive to growth regulators. In a certain range of concentrations, the POD activity in the roots was highly stable.
Analysis of the effects of the interactions between growth regulators and varieties on root growth parameters showed that the growth parameters were not significantly affected by the variety, indicating that the changes in root growth parameters were unrelated to variety. Growth regulators had significant effects on the root length and average root diameter. Root volume and SOD activity were significantly affected by the interaction between growth regulators and varieties. The choice of growth regulator was the major contributing factor to the root growth parameters, and their effects on the parameters varied with variety.
To improve the growth of cotton seedlings in the Tarim Basin and ensure good growth of adult plants and high yield, 0.10 mmol/L SA can be applied to seedlings of variety Z619, and 0.050 mmol/L SA can be applied to seedlings of varieties Z27 and Z39. The results of this study provide a reference for the improvement of cotton seedling growth through chemical modulation in the Tarim Basin.
4. Materials and Methods
4.1. Materials and Experimental Design
As shown in Table 1, three cotton varieties (Z619, Z27 and Z39) and 3 growth regulators (GA3, SA and PP333) were used in the experiment. Three concentrations of each growth regulator and a control without any regulator were set for each variety. A total of 30 treatments were set, and each treatment had 3 replications. The experimental treatments are shown in Table 2.
Table 1.
Cotton varieties and growth regulators.
Table 2.
Treatments in the experiment.
The prepared GA3, SA, and PP333 solutions were added to the culture substrates with a 35% water content. Three sterilized seeds were planted in each replicate and then covered with the substrate to 3 cm in thickness. The compactness of the substrates was adjusted to a level suitable for seed germination. The culture was performed in a growth chamber with a 500 μmoles/(m2·s) light intensity, 50% relative air humidity, 14 h light/10 h dark, and 25 °C during the day and 20 °C at night. On the 10th whole day after sowing, in each replicate, only one cotton seedling was kept, and the other seedlings were removed. On the 15th whole day after sowing, the same amount of water was added to each replicate to maintain the moisture content. On the 25th whole day, GA3, SA, and PP333 solutions of different concentrations were applied. Irrigation was performed multiple times with a small amount of water each time to allow the plants to be fully irrigated.
4.2. Measurements and Methods
- (1)
- Determination of the root morphological parameters of the seedlings
On the 36th day after sowing, the cotton plants were removed individually from the culture substrate. The entire root system of each plant was removed from the substrate and washed with clean water to remove impurities. Subsequently, the root was placed without overlapping into a transparent glass dish filled with water and scanned as an image file with a root scanner (Epson V800, Seiko Epson Corporation, Nagano Prefecture, Japan), and Win Rhizo software (Regent Instruments, Québec, QC, Canada) was used in the quantitative analysis of the total length, surface area, volume, and diameter.
- (2)
- Determination of the activity of root-related enzymes
After the determination of morphological parameters, the cotton root system of each treatment was frozen in liquid nitrogen for 30 mins, and then stored in a −80 °C freezer before the determination of SP content and SOD and POD activities. The enzyme activity of the root system was determined using the superoxide dismutase assay kit (WST-1 method) to determine SOD activity, peroxidase assay kit (spectrophotometric colorimetry) to determine POD activity, and the total protein assay kit (with standard: BCA method) to determine SP content.
4.3. Data Processing and Analysis
Origin 2018 was used to generate figures, and SPSS 25.0 was used for the statistical analysis. Duncan’s new multiple range test (MRT) was used for single factor analysis of variance (ANOVA). The factor analysis in SPSS 25.0 was used for principal component analysis. Root length, root surface area, root volume and root mean diameter were set as morphological factors, soluble protein content was set as the protein content factor, and POD activity and SOD activity were set as enzyme activity factors. The data in the graphs represent the mean ± standard deviation.
5. Conclusions
- (1)
- The application of 0.050 mg/L GA3 significantly increased the total root length of Z619 and Z27; 0.010 mmol/L SA significantly increased the total root length, total root surface area, and root volume of Z39; and 0.10 mg/L PP333 significantly increased the total root length and total root surface area of Z619.
- (2)
- The application of 0.80 mg/L GA3 increased SOD activity in the roots of Z27 and Z39. All SA concentrations increased SOD activity in the roots of Z619 and Z27. In all varieties, 0.050 mg/L GA3 increased the POD activity in the roots, and with the increase of GA3 concentration, POD activity showed a decreasing trend. In Z619 and Z39, 0.050 mmol/L SA increased the soluble protein content of the roots. The low PP333 concentration increased the POD activity in the Z619 roots, and 0.250 mg/L PP333 significantly increased the POD activity in the Z39 roots.
- (3)
- Based on the comprehensive analysis of the effects of growth regulators on the root growth and the activities of root enzymes, as well as the results of principal component analysis, 0.10 mmol/L SA was the optimal treatment promoting the root development of Z619, and 0.050 mmol/L SA was the optimal treatment promoting the root development of Z27 and Z39.
Supplementary Materials
The following supporting information can be downloaded at: https://www.mdpi.com/article/10.3390/plants11212964/s1, Table S1: Eigenvalues and contributions of principal components. Table S2: Rank of the scores of principal components.
Author Contributions
Conceptualization, X.W. and Y.G.; methodology, Z.C.; software, Z.C.; validation, X.W. and Y.G.; formal analysis, Z.C.; resources, X.W.; data curation, Z.C.; writing—original draft preparation, Z.C.; writing—review and editing, Z.C.; supervision, Z.C.; project administration, Z.C. All authors have read and agreed to the published version of the manuscript.
Funding
This work was supported by the Research and Demonstration of Modern Irrigation District and Smart Agricultural Technology System in Arid Areas of the XPCC (2021AA003), the Innovation Team Project of the President Fund of Tarim University (TDZKCQ202002) and the President Fund Project of Tarim University (TDZKSS202248).
Acknowledgments
We are thankful to Weixiong Huang (orcid.org/0000-0002-1704-5550) for his help in English editing for the paper.
Conflicts of Interest
The authors declare no conflict of interest.
References
- Ashraf, M. Salt tolerance of cotton: Some new advances. Crit. Rev. Plant Sci. 2002, 21, 1–30. [Google Scholar] [CrossRef]
- Brian, F.; Helena, L. The nutritional control of root development. Plant Soil 2001, 232, 56–68. [Google Scholar]
- Forde, B.G.; Lorenzo, H. The nutritional control of root development. Plant Soil 2009, 232, 51–68. [Google Scholar] [CrossRef]
- Claus, B.P.J.; Kramer, J.S. Boyer water relations of plants and soils. J. Plant Physiol. 1997, 150, 483–494. [Google Scholar]
- Ahmad, I.; Kamran, M.; Ali, S.; Cai, T.; Bilegjargal, B.; Liu, T.L.; Han, Q.F. Seed filling in maize and hormones crosstalk regulated by exogenous application of uniconazole in semiarid regions. Environ. Sci. Pollut. Res. 2018, 25, 33225–33239. [Google Scholar] [CrossRef]
- Hedden, P. Gibberellin metabolism and its regulation. Plant Growth Regul. 2001, 20, 317–318. [Google Scholar] [CrossRef]
- Banerjee, A.; Roychoudhury, A. The regulatory signaling of gibberellin metabolism and its crosstalk with phytohormones in response to plant abiotic stresses. In Plant Signaling Molecules; Woodhead Publishing: Cambridge, UK, 2019; pp. 333–339. [Google Scholar]
- Magome, H.; Yamaguchi, S.; Hanada, A.; Kamiya, Y.; Oda, K. dwarf and delayed-flowering 1, a novel Arabidopsis mutant deficient in gibberellin biosynthesis because of overexpression of a putative AP2 transcription factor. Plant J. 2004, 37, 720–729. [Google Scholar] [CrossRef]
- Hauvermale, A.L.; Ariizumi, T.; Steber, C.M. Gibberellin signaling: A theme and variations on DELLA repression. Plant Physiol. 2012, 160, 83–92. [Google Scholar] [CrossRef]
- Shi, P.; Chen, G.C.; Huang, Z.W. Effects of La3+ on the active oxygen-scavenging enzyme activities in cucumber seedling leaves. Russ. J. Plant Physiol. 2005, 52, 294–297. [Google Scholar] [CrossRef]
- Mittler, R. Oxidative stress antioxidants and stress tolerance. Trends Plant Sci. 2002, 7, 405–410. [Google Scholar] [CrossRef]
- Ku, Y.S.; Sintaha, M.; Cheung, M. Plant Hormone Signaling Crosstalks between Biotic and Abiotic Stress Responses. Int. J. Mol. Sci. 2018, 19, 3206. [Google Scholar] [CrossRef]
- Yang, G.; Yu, Z.; Gao, L. SnRK2s at the Crossroads of Growth and Stress Responses. Trends Plant Sci. 2019, 24, 672–676. [Google Scholar] [CrossRef] [PubMed]
- Anne, C.; Jan, E.L.; Manuel, F. Cytokinin action in response to abiotic and biotic stresses in plants. Plant Cell Environ. 2019, 42, 998–1018. [Google Scholar]
- Hong, G.L.; Kyounghee, L.; Pil, J.S. The Arabidopsis MYB 96 transcription factor plays a role in seed dormancy. Plant Mol. Biol. 2015, 87, 371–381. [Google Scholar]
- Sponsel, V.; Hedden, P. Gibberellin biosynthesis and inactivation. Plant Horm. 2010, 34, 63–94. [Google Scholar]
- Martin, F.; David, A.; Jose, P.G. Transcriptional regulation ofgibberellin metabolism genes by auxin signaling in Arabidopsis. Plant Physiol. 2006, 14, 553–563. [Google Scholar]
- He, Y.; Zhu, Z. Exogenous salicylic acid alleviates NaCl toxicity and increases antioxidative enzyme activity in Lycopersicon esculentum. Biol. Plant. 2008, 52, 792. [Google Scholar] [CrossRef]
- Najafian, S.; Khoshkhui, M.; Tavallali, V.; Saharkhiz, M.J. Effect of salicylic acid and salinity in thyme (Thymus vulgaris L.): Investigation on changes in gas exchange, water relations, and membrane stabilization and biomass accumulation. Aust. J. Basic Appl. Sci. 2009, 3, 2620–2626. [Google Scholar]
- Kuai, J.; Yang, Y.; Sun, Y. Paclobutrazol increases canola seed yield by enhancing lodging and pod shatter resistance in Brassica napus L. Field Crops Res. 2015, 180, 10–20. [Google Scholar] [CrossRef]
- Kumar, S.; Ghatty, S.; Satyanarayana, J. Paclobutrazol treatment as a potential strategy for higher seed and oil yield in field-grown Camelina sativa L. Crantz. BMC Res. Notes 2012, 5, 137. [Google Scholar] [CrossRef]
- Xu, G.; Luo, R.; Yao, Y. Paclobutrazol improved the reproductive growth and the quality of seed oil of Jatropha curcas. J. Plant Growth Regul. 2013, 32, 875–883. [Google Scholar] [CrossRef]
- Choudhary, R.S.; Roshan, C. Paclobutrazol Enhances Seed Cotton Yield by Restricting Vegetative Growth and Shedding of Squares/bolls in Cotton (Gossypium spp.). Int. J. Bio-Resour. Stress Manag. 2016, 7, 369–372. [Google Scholar] [CrossRef]
- Seel, W.E.; Hendry, G.A.F.; Lee, J.A. Effects of desiccation on some activated oxygen processing enzymes and antioxidants inmosses. J. Exp. Bot. 1992, 43, 1031–1037. [Google Scholar] [CrossRef]
- Hedden, P.; Thomas, S.G. Gibberellin biosynthesis and its regulation. Biochem. J. 2012, 444, 11–25. [Google Scholar] [CrossRef] [PubMed]
- Qian, C.L.; Ren, N.N.; Wang, J.Y.; Xu, Q.; Chen, X.H.; Qi, X.H. Effects of exogenous application of CPPU, NAA and GA4+7 on parthenocarpy and fruit quality in cucumber (Cucumis sativus L.). Food Chem. 2018, 243, 410–413. [Google Scholar] [CrossRef]
- Zhang, L.J.; Yang, T.W.; Gao, Y.S.; Liu, Y.B.; Zhang, T.G.; Xu, S.J.; Zeng, F.L.; An, L.Z. Effect of lanthanum ions (La3+) on ferritin-regulated antioxidant process under PEG stress. Biol. Trace Elem. Res. 2006, 113, 193–208. [Google Scholar] [CrossRef]
- Li, Y.T. Plant Physiology; Higher Education Press: Beijing, China, 2002. [Google Scholar]
- El-Sharkawy, I.; El-Kayal, W.; Prasath, D. Identification and genetic characterization of a gibberellin 2-oxidase gene that controls tree stature and reproductive growth in plum. J. Exp. Bot. 2012, 63, 1225–1239. [Google Scholar] [CrossRef]
- Kováčik, J.; Grúz, J.; Bačkor, M.; Strnad, M.; Repčák, M. Salicylic acid-induced changes to growth and phenolic metabolism in Matricaria chamomilla plants. Plant Cell Rep. 2009, 28, 135–143. [Google Scholar] [CrossRef]
- Haritha, T.; Ahamed, M.L. Multivariate analysis in upland cotton (Gossypium hirsutum L.). Crop Res. 2013, 46, 217–222. [Google Scholar]
- Hayat, Q.; Hayat, S.; Irfan, M. Effect of exogenous salicylic acid under changing environment: A review. Environ. Exp. Bot. 2010, 68, 14–25. [Google Scholar] [CrossRef]
- Jujhar, S.; Dilta, B.S.; Gupta, Y.C.; Sharma, B.P.; Baweja, H.S. Effect of Growing Media and Paclobutrazol on Growth, Flowering and Pot Presentability of Geranium, Pelargonium x hortorum LH Bailey. Int. J. Farm Sci. 2016, 6, 128–136. [Google Scholar]
- Bausher, M.G.; Yelenosky, G. Sensitivity of potted citrus plants to spray and soil applications of paclobutrazol. Hortscience 1986, 21, 141–143. [Google Scholar] [CrossRef]
- Maximum Residue Limits (MRLs) List of Agricultural Chemicals in Foods. Available online: www.m5.ws001.squarestart.ne.jp/foundation/search.html (accessed on 12 January 2022).
- Darmawan, M.; Poerwanto, R.; Susanto, S. The Application of Piohexadion Ca, Paclobutrazol and Strangulation for off Season Flowering Induction of Mandarin Citrus plants (Citrus reticulate). J. Hortik. 2014, 24, 133–140. [Google Scholar] [CrossRef]
- Almeida, O.M.; De Melo, H.C.; Portes, T.D.A. Growth and Yield of the Common Bean in Response to Combined Application of Nitrogen and Paclobutrazol. Rev. Caatinga 2016, 29, 127–132. [Google Scholar] [CrossRef][Green Version]
Publisher’s Note: MDPI stays neutral with regard to jurisdictional claims in published maps and institutional affiliations. |
© 2022 by the authors. Licensee MDPI, Basel, Switzerland. This article is an open access article distributed under the terms and conditions of the Creative Commons Attribution (CC BY) license (https://creativecommons.org/licenses/by/4.0/).







