Seed Weight and Trade-Offs: An Experiment in False Rhodes Grasses under Different Aridity Conditions
Abstract
1. Introduction
2. Results
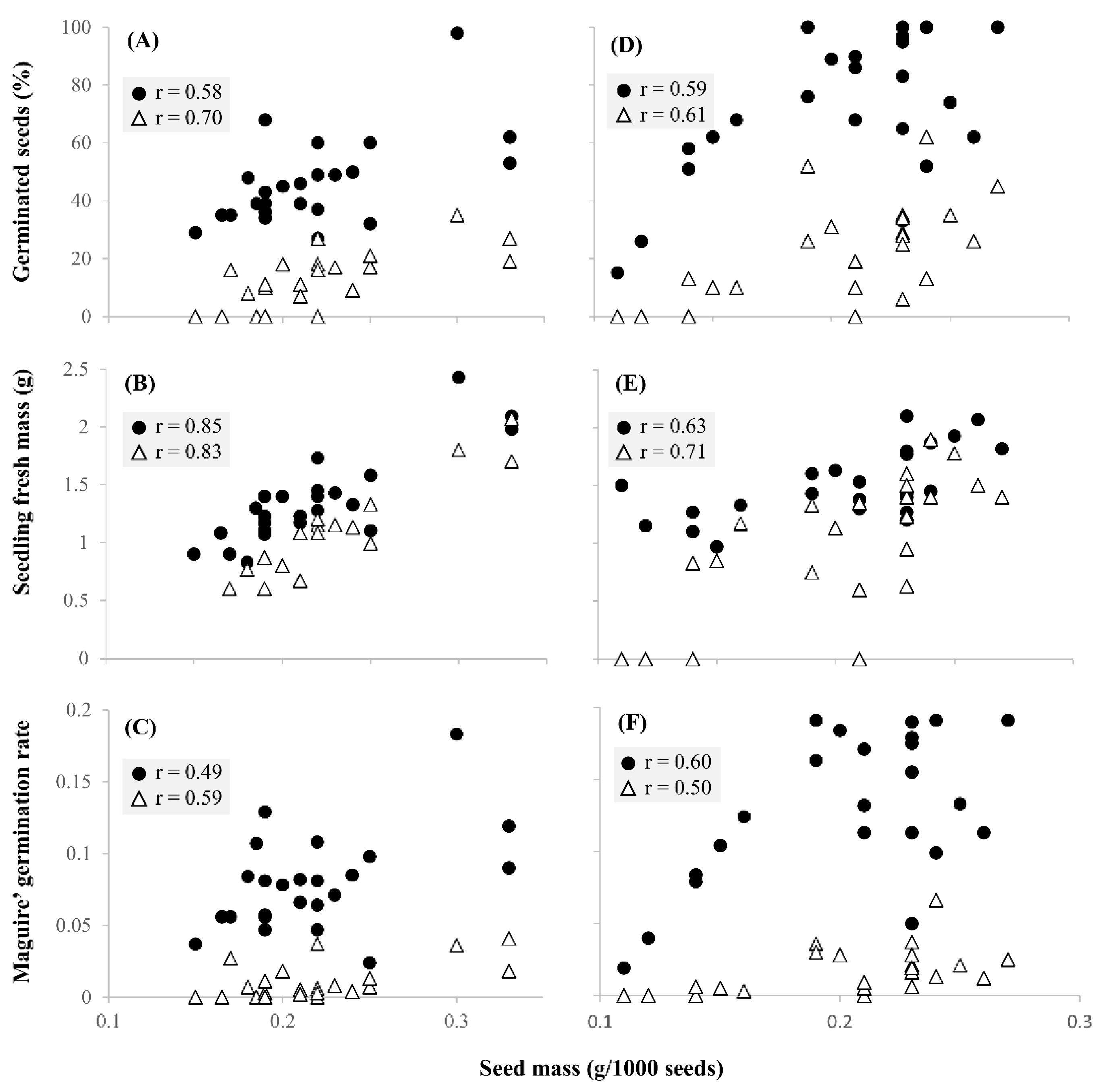
2.1. Trial 1. Seed Weight and Germination Analysis
2.2. Trial 2. Plant Functional Traits
3. Discussion
4. Materials and Methods
4.1. Trial 1. Seed Weight and Germination Analysis
4.1.1. Plant Material
4.1.2. Experimental Environments
4.1.3. Seed Weight Analysis
4.1.4. Germination Analysis
4.1.5. Data Analysis
4.2. Trial 2. Plant Functional Traits
4.2.1. Plant Material and Biometric Analyses
4.2.2. Data Analysis
5. Conclusions
Supplementary Materials
Author Contributions
Funding
Data Availability Statement
Conflicts of Interest
References
- Fernández, O.A.; Busso, C.A. Arid and semi-arid rangelands: Two thirds of Argentina. RALA Rep. 1997, 200, 41–60. [Google Scholar]
- Reynolds, J.F.; Smith, D.M.S.; Lambin, E.F.; Turner, B.L.; Mortimore, M.; Batterbury, S.P.; Downing, T.E.; Dowlatabadi, H.; Fernández, R.J.; Herrick, J.E.; et al. Global desertification: Building a science for dryland development. Science 2007, 316, 847–851. [Google Scholar] [CrossRef]
- Harlan, J.R. Genetic resources in wild relatives of crops. Crop Sci. 1976, 16, 329–332. [Google Scholar] [CrossRef]
- González, C.L.; Dodd, J.D. Production responses of native and introduced grasses to mechanical brush manipulation, seeding, and fertilization. J. Range Manag. 1979, 32, 305–309. [Google Scholar] [CrossRef]
- Aronson, J. Economic Halophytes. A global review. In Plants for Arid Lands; Wickens, G.E., Gooding, J.R., Field, D.V., Eds.; Allen and Unwin: London, UK, 1985; pp. 177–188. [Google Scholar]
- Quiroga, E.; Blanco, L.; Orionte, E. Evaluación de estrategias de rehabilitación de pastizales áridos. Ecol. Austral. 2009, 19, 107–117. [Google Scholar]
- Leimu, R.; Fischer, M.A. meta-analysis of local adaptation in plants. PLoS ONE 2008, 3, e4010. [Google Scholar] [CrossRef] [PubMed]
- Vesela, A.; Dostálek, T.; Rokaya, M.B.; Münzbergová, Z. Seed mass and plant home site environment interact to determine alpine species germination patterns along an elevation gradient. Alp. Bot. 2020, 130, 101–113. [Google Scholar] [CrossRef]
- Ramalho, M.A.P.; dos Santos, J.B.; Pinto, C.A.B. Capítulo 13. Genética de populações. In Genética na Agropecuária, 4th ed.; Editora Universidad Federal de Lavras: Lavras, Brasil, 2008; pp. 281–295. [Google Scholar]
- Westoby, M.A. leaf-height-seed (LHS) plant ecology strategy scheme. Plant Soil 1998, 199, 213–227. [Google Scholar] [CrossRef]
- Díaz, S.; Kattge, J.; Cornelissen, J.H.; Wright, I.J.; Lavorel, S.; Dray, S.; Reu, B.; Kleyer, M.; Wirth, C.; Colin Prentice, I.; et al. The global spectrum of plant form and function. Nature 2016, 529, 167–171. [Google Scholar] [CrossRef]
- Sleper, D.A. Chapter 6. Forage Grasses. In Principles of Cultivar Development; Fehr, W.R., Ed.; Macmillan Publishing Company: Ney York, NY, USA, 1987; Volume 2, pp. 161–208. [Google Scholar]
- Nock, C.A.; Vogt, R.J.; Beisner, B.E. Functional traits. eLS 2016, 1–8. [Google Scholar] [CrossRef]
- Greco, S.A.; Cavagnaro, J.B. Growth characteristics associated with biomass production in three varieties of Trichloris crinita (Poaceae), a forage grass native to the arid regions of Argentina. Rangel. J. 2005, 27, 135–142. [Google Scholar] [CrossRef]
- Quiroga, R.E.; Fernández, R.J.; Golluscio, R.A.; Blanco, L.J. Differential water-use strategies and drought resistance in Trichloris crinita plants from contrasting aridity origins. Plant Ecol. 2013, 214, 1027–1035. [Google Scholar] [CrossRef]
- Ehrlén, J.; Raabova, J.; Dahlgren, J.P. Flowering schedule in a perennial plant; life-history trade-offs, seed predation, and total offspring fitness. Ecology 2015, 96, 2280–2288. [Google Scholar] [CrossRef] [PubMed]
- Marinoni, L.D.R.; Zabala, J.M.; Taleisnik, E.L.; Schrauf, G.E.; Richard, G.A.; Tomas, P.A.; Giavedoni, G.A.; Pensiero, J.F. Wild halophytic species as forage sources: Key aspects for plant breeding. Grass Forage Sci. 2019, 74, 321–344. [Google Scholar] [CrossRef]
- Reynolds, M.P.; Trethowan, R.M. Physiological interventions in breeding for adaptation to abiotic stress. Frontis 2007, 121, 27–144. [Google Scholar]
- Dominguez, D.L.E.; Cavagnaro, J.B.; Pérez, M.B.; Cavagnaro, P.F. Plant dry weight and nutritive value of genetically diverse germplasm of false Rhodes grass [Leptochloa crinita (Lag.) PM Peterson and NW Snow], a native forage grass from arid regions of the Americas. Crop Sci. 2022, 62, 610–623. [Google Scholar] [CrossRef]
- Peterson, P.M.; Columbus, J.T.; Pennington, S.J. Classification and biogeography of New World grasses: Chloridoideae. Aliso 2007, 23, 580–594. [Google Scholar] [CrossRef]
- Kozub, P.C.; Barboza, K.; Galdeano, F.; Quarin, C.L.; Cavagnaro, J.B.; Cavagnaro, P.F. Reproductive biology of the native forage grass Trichloris crinita (Poaceae, Chloridoideae). Plant Biol. 2017, 19, 444–453. [Google Scholar] [CrossRef]
- Rúgolo, Z.E.; Molina, A. Trichloris. In Flora vascular de la República Argentina, Monocotyledoneae. Aristidoidea a Pharoidea; Zuloaga, F.O., Rúgolo, Z.E., Anton, A.M.R., Eds.; Gráficamente Ediciones: Córdoba, Argentina, 2012; Volume 3, Tomo 1; pp. 167–169. [Google Scholar]
- Villagra, P.E.; Giordano, C.; Alvarez, J.A.; Bruno Cavagnaro, J.; Guevara, A.; Sartor, C.; Passera, C.B.; Greco, S. Ser planta en el desierto: Estrategias de uso de agua y resistencia al estrés hídrico en el Monte Central de Argentina. Ecol. Austral 2011, 21, 29–42. [Google Scholar]
- Gil Báez, C.; Agüero, R.O.; Ernst, R.D.; Ruiz, M.A. Caracterización morfológica, biomasa aérea y calidad en distintas poblaciones de Trichloris crinita. Arch. Zootec. 2015, 64, 49–56. [Google Scholar] [CrossRef][Green Version]
- Marinoni, L.; Bortoluzzi, A.; Parra-Quijano, M.; Zabala, J.M.; Pensiero, J.F. Evaluation and improvement of the ecogeographical representativeness of a collection of the genus Trichloris in Argentina. Genet. Resour. Crop Evol. 2015, 62, 593–604. [Google Scholar] [CrossRef]
- Marinoni, L.; Zabala, J.M.; Parra-Quijano, M.; Fernández, R.J.; Pensiero, J.F. Genetic and environmental variation of seed weight in Trichloris species (Chloridoideae, Poaceae) and its association with seedling stress tolerance. Plant Ecol. Divers. 2018, 11, 173–184. [Google Scholar] [CrossRef]
- Marinoni, L.D.R.; Richard, G.A.; Bustos, D.; Taleisnik, E.L.; Pensiero, J.F.; Zabala, J.M. Differential response of Trichloris ecotypes from different habitats to drought and salt stress. Theor. Exp. Plant Phys. 2020, 32, 213–229. [Google Scholar] [CrossRef]
- Westoby, M.; Jurado, E.; Leishman, M. Comparative evolutionary ecology of seed size. Trends Ecol. Evol. 1992, 7, 368–372. [Google Scholar] [CrossRef]
- Leishman, M.R.; Wright, I.J.; Moles, A.T.; Westoby, M. Chapter 2. The evolutionary ecology of seed size. In Seeds: The Ecology of Regeneration in Plant Communities; Fenner, M., Ed.; CABI Publishing: Wallingford, UK, 2000; pp. 31–57. [Google Scholar]
- Rodríguez-Pérez, J.; Traveset, A. A multi-scale approach in the study of plant regeneration: Finding bottlenecks is not enough. Perspect. PlantEcol. Evol. Syst. 2007, 9, 1–13. [Google Scholar] [CrossRef]
- Metz, J.; Liancourt, P.; Kigel, J.; Harel, D.; Sternberg, M.; Tielbörger, K. Plant survival in relation to seed size along environmental gradients: A long-term study from semi-arid and Mediterranean annual plant communities. J. Ecol. 2010, 98, 697–704. [Google Scholar] [CrossRef]
- Alpert, P.; Simms, E.L. The relative advantages of plasticity and fixity in different environments: When is it good for a plant to adjust? Evol. Ecol. 2002, 16, 285–297. [Google Scholar] [CrossRef]
- Lambers, H.A.N.S.; Poorter, H. Inherent variation in growth rate between higher plants: A search for physiological causes and ecological consequences. Adv. Ecol. Res. 1992, 23, 187–261. [Google Scholar]
- Reich, P.B.; Walters, M.B.; Ellsworth, D.S. Leaf life-span in relation to leaf, plant, and stand characteristics among diverse ecosystems. Ecol. Monogr. 1992, 62, 365–392. [Google Scholar] [CrossRef]
- Chapin, F.S., III; Autumn, K.; Pugnaire, F. Evolution of suites of traits in response to environmental stress. Am. Nat. 1993, 142, S78–S92. [Google Scholar] [CrossRef]
- Diaz, S.; Cabido, M.; Casanoves, F. Plant functional traits and environmental filters at a regional scale. J. Veg. Sci. 1998, 9, 113–122. [Google Scholar] [CrossRef]
- Leishman, M.R.; Westoby, M. The role of seed size in seedling establishment in dry soil conditions–experimental evidence from semi-arid species. J. Ecol. 1994, 82, 249–258. [Google Scholar] [CrossRef]
- Milberg, P.; Lamont, B.B. Seed/cotyledon size and nutrient content play a major role in early performance of species on nutrient-poor soils. New Phytol. 1997, 137, 665–672. [Google Scholar] [CrossRef]
- Khan, M.A.; Ungar, I.A. Alleviation of salinity stress and the response to temperature in two seed morphs of Halopyrum mucronatum (Poaceae). Aust. J. Bot. 2001, 49, 777–783. [Google Scholar] [CrossRef]
- Daws, M.I.; Crabtree, L.M.; Dalling, J.W.; Mullins, C.E.; Burslem, D.F. Germination responses to water potential in neotropical pioneers suggest large-seeded species take more risks. Ann. Bot. 2008, 102, 945–951. [Google Scholar] [CrossRef]
- Zabala, J.M.; Widenhorn, P.; Pensiero, J.F. Germination patterns of species of the genus Trichloris in arid and semiarid environments. Seed Sci. Technol. 2011, 39, 338–353. [Google Scholar] [CrossRef]
- Martin, A.C. The comparative internal morphology of seeds. Am. Midl. Nat. 1946, 36, 513–660. [Google Scholar] [CrossRef]
- Casler, M.D.; Van Santen, E. Breeding Objectives in Forages. In Handbook of Plant Breeding. Fodder Crops and Amenity Grasses; Boller, B., Posselt, U.K., Veronesi, F., Eds.; Springer: New York, NY, USA, 2010; pp. 115–136. [Google Scholar]
- Fedorov, A.A. Chromosome Numbers of Flowering Plants; Academy of Sciences of the USSR, the Komarov V.L. Botanical Institute, Nauka: Leningrad, USSR, 1969; pp. 1–926. [Google Scholar]
- Adams, K.L.; Wendel, J.F. Polyploidy and genome evolution in plants. Curr. Opin. Plant Biol. 2005, 8, 135–141. [Google Scholar] [CrossRef]
- Moore, R.C.; Purugganan, M.D. The evolutionary dynamics of plant duplicate genes. Curr. Opin. Plant Biol. 2005, 8, 122–128. [Google Scholar] [CrossRef]
- Madlung, A. Polyploidy and its effect on evolutionary success: Old questions revisited with new tools. Heredity 2013, 110, 99–104. [Google Scholar] [CrossRef]
- McMaster, G.S.; Morgan, J.A.; Willis, W.O. Effects of Shading on Winter Wheat Yield, Spike Characteristics, and Carbohydrate Allocation 1. Crop Sci. 1987, 27, 967–973. [Google Scholar] [CrossRef]
- Greco, S.A.; Cavagnaro, J.B. Effects of drought in biomass production and allocation in three varieties of Trichloris crinita (Poaceae) a forage grass from the arid Monte region of Argentina. Plant Ecol. 2003, 164, 125–135. [Google Scholar] [CrossRef]
- Silvertown, J. The paradox of seed size and adaptation. Trends Ecol. Evol. 1989, 4, 24–26. [Google Scholar] [CrossRef]
- Gambín, B.L.; Borrás, L. Resource distribution and the trade-off between seed number and seed weight: A comparison across crop species. Ann. Appl. Biol. 2010, 156, 91–102. [Google Scholar] [CrossRef]
- Cochrane, A.; Yates, C.J.; Hoyle, G.L.; Nicotra, A.B. Will among-population variation in seed traits improve the chance of species persistence under climate change? Glob. Ecol. Biogeogr. 2015, 24, 12–24. [Google Scholar] [CrossRef]
- Chivers, I.H.; Jones, T.A.; Broadhurst, L.M.; Mott, I.W.; Larson, S.R. The merits of artificial selection for the development of restoration-ready plant materials of native perennial grasses. Restor. Ecol. 2016, 24, 174–183. [Google Scholar] [CrossRef]
- Gabutti, E.G.; Cozzarín, I.G.; Reynoso, M.; Privitello, M.J.L.; Pensiero, J.; Zabala, J.M. Caracterización agronómica de poblaciones nativas de Trichoris crinita y T. pluriflora. Rev. Argent. Prod. Anim. 2011, 31, 574. [Google Scholar]
- Lloyd-Reilley, J. Plant Guide for Multiflower False Rhodes Grass (Trichloris pluriflora); USDA-Natural Resources Conservation Service, E. “Kika” de la Garza Plant Materials Center: Kingsville, TX, USA, 2011. [Google Scholar]
- Martín, G.O.; Nicosia, M.G.; Fernández, M.M.; Olea, L.; Toll Vera, J.R.; Agüero, S.N. Disponibilidad de tallos y hojas en Trichloris pluriflora diferido, bajo diferentes condiciones ambientales en la Llanura Deprimida de Tucumán. Rev. Agron. Noroeste Argent. 2014, 34, 162–165. [Google Scholar]
- Olea, L.E.; Sosa, C.; Fernández, M.; Toll Vera, J.R.; Nicosia, M.G.; Agüero, S.N.; González Coletti, A.; Ojeda Férez, E. Valor proteico del rebrote de primavera de Trichloris pluriflora Fourn. en la Llanura Deprimida Salina Semiárida de Tucumán. Rev. Agron. Noroeste Argent. 2015, 35, 53–58. [Google Scholar]
- Munns, R. Comparative physiology of salt and water stress. Plant Cell Environ. 2002, 25, 239–250. [Google Scholar] [CrossRef]
- Mexal, J.; Fisher, J.T.; Osteryoung, J.; Reid, C.P. Oxygen availability in polyethylene glycol solutions and its implications in plant-water relations. Plant Physiol. 1975, 55, 20–24. [Google Scholar] [CrossRef] [PubMed]
- Cabeza, C.E.; Brevedan, R.E.; Fioretti, M.N.; Laborde, H.E. The influence of dehulling and seed storage on the germination of the range grasses of the Caldenal (Argentina). Seed Sci. Technol. 1999, 27, 359–363. [Google Scholar]
- Maguire, J.D. Speed of germination-aid in selection and evaluation for seedling emergence and vigor. Crop Sci. 1962, 2, 176–177. [Google Scholar] [CrossRef]
- R Core Team. R: A Language and Environment for Statistical Computing; R Foundation for Statistical Computing: Vienna, Austria, 2022; Available online: http://www.R-project.org/ (accessed on 1 March 2022).
- Wickham, H. ggplot2: Elegant Graphics for Data Analysis; Springer-Verlag: New York, NY, USA, 2016; Available online: https://ggplot2.tidyverse.org (accessed on 1 March 2022).
- Lê, S.; Josse, J.; Husson, F. FactoMineR: A Package for Multivariate Analysis. J. Stat. Softw. 2008, 25, 1–18. [Google Scholar] [CrossRef]




| Leptochloa crinita | ||||
| Cultivation site 1 | Original SW | E-2014 | C-2014 | E-2015 |
| S-2015 | 0.80 (<0.0001) | 0.76 (<0.0001) | 0.81 (<0.0001) | 0.88 (<0.0001) |
| E-2015 | 0.81 (<0.0001) | 0.81 (<0.0001) | 0.81 (<0.0001) | |
| S-2014 | 0.76 (<0.0001) | 0.82 (<0.0001) | ||
| E-2014 | 0.78 (<0.0001) | |||
| Leptochloa pluriflora | ||||
| Cultivation site 1 | Original SW | E-2014 | C-2014 | E-2015 |
| S-2015 | 0.73 (<0.0001) | 0.32 (0.0150) | 0.65 (<0.0001) | 0.14 (0.1400) |
| E-2015 | 0.09 (0.5200) | 0.27 (0.0430) | 0.11 (0.4300) | |
| S-2014 | 0.56 (<0.0001) | 0.43 (0.0010) | ||
| E-2014 | 0.48 (0.0002) | |||
| Control | Osmotic Stress | ||||||
|---|---|---|---|---|---|---|---|
| ID Pop 1 | ME | FEP | SFM | GR | FEP | SFM | GR |
| LWA | S-2014 | 27 ± 7 a | 1.3 ± 0.2 a | 5 ± 1 a | 0 ± 0 a | 0 ± 0 a | 0 ± 0 a |
| S-2015 | 34 ± 6 a | 1.2 ± 0.3 a | 5 ± 2 a | 0 ± 0 a | 0 ± 0 a | 0 ± 0 a | |
| E-2014 | 39 ± 9 a | 1.1 ± 0.3 a | 6 ± 2 a | 0 ± 0 a | 0 ± 0 a | 0 ± 0 a | |
| E-2015 | 38 ± 7 a | 1.2 ± 0.3 a | 7 ± 1 a | 7 ± 1 b | 1.1 ± 0.1 b | 0.2 ± 0.1 b | |
| HWA | S-2014 | 62 ± 9 a | 2 ± 0.2 ab | 12 ± 2 a | 19 ± 0 a | 1.7 ± 0.4 ab | 2 ± 0 a |
| S-2015 | 60 ± 11 a | 1.6 ± 0.3 a | 10 ± 1 a | 21 ± 7 a | 1.3 ± 0 a | 1 ± 0 a | |
| E-2014 | 98 ± 1 b | 2.4 ± 0.2 b | 18 ± 0.5 b | 34 ± 11 b | 1.8 ± 0.1 ab | 4 ± 0 a | |
| E-2015 | 53 ± 4 a | 2.1 ± 0.3 ab | 9 ± 0.5 a | 27 ± 2 ab | 2.1 ± 0.4 b | 4 ± 0 a | |
| LWS | S-2014 | 43 ± 1 ab | 1.1 ± 0.2 a | 8 ± 0 bc | 0 ± 0 a | 0 ± 0 a | 0 ± 0 a |
| S-2015 | 29 ± 0 a | 0.9 ± 0.3 a | 4 ± 1 a | 0 ± 0 a | 0 ± 0 a | 0 ± 0 a | |
| E-2014 | 45 ± 8 ab | 1.1 ± 0.1 a | 6 ± 2 ab | 0 ± 0 a | 0 ± 0 a | 0 ± 0 a | |
| E-2015 | 59 ± 11 b | 1.3 ± 0.2 a | 11 ± 2 c | 0 ± 0 a | 0 ± 0 a | 0 ± 0 a | |
| HWS | S-2014 | 50 ± 7 a | 1.3 ± 0.2 a | 8 ± 3 a | 9 ± 1 a | 1.5 ± 0.1 b | 0.4 ± 0 a |
| S-2015 | 68 ± 4 a | 1.2 ± 0.3 a | 13 ± 1 a | 10 ± 1 a | 0.9 ± 0.2 a | 1 ± 1 a | |
| E-2014 | 45 ± 11 a | 1.4 ± 0.1 a | 8 ± 2 a | 18 ± 2 b | 0.8 ± 0.1 a | 2 ± 1 ab | |
| E-2015 | 60 ± 4 a | 1.7 ± 0.2 a | 11 ± 0.5 a | 37 ± 2 c | 1.8 ± 0.1 b | 4 ± 1 b | |
| LWH | S-2014 | 46 ± 4 a | 1.2 ± 0.4 ab | 8 ± 1 a | 11 ± 1 a | 1.2 ± 0.1 ab | 1 ± 0 ab |
| S-2015 | 48 ± 5 a | 0.8 ± 0.3 a | 8 ± 1 a | 8 ± 0 a | 0.8 ± 0 a | 1 ± 0 ab | |
| E-2014 | 34 ± 5 a | 0.9 ± 0.1 ab | 6 ± 2 a | 26 ± 3 b | 1.6 ± 0.3 b | 3 ± 2 b | |
| E-2015 | 36 ± 5 a | 1.8 ± 0.1 b | 6 ± 3 a | 10 ± 0 a | 0.6 ± 0 a | 0.3 ± 0.1 a | |
| HWH | S-2014 | 12 ± 2 a | 1.1 ± 0.1 ab | 2 ± 0.5 a | 7 ± 0 a | 1 ± 0.1 a | 1 ± 0.3 b |
| S-2015 | 37 ± 4 b | 1.5 ± 0 b | 6 ± 1 b | 6 ± 0 a | 1.1 ± 0.1 a | 0.3 ± 0 a | |
| E-2014 | 49 ± 7 b | 1 ± 0.1 a | 8 ± 1 b | 12 ± 0 ab | 1.6 ± 0 b | 1 ± 0 b | |
| E-2015 | 49 ± 10 b | 1.4 ± 0.2 ab | 7 ± 1 b | 17 ± 3 b | 1.6 ± 0.4 b | 1 ± 0.1 b | |
| Control | Osmotic Stress | ||||||
|---|---|---|---|---|---|---|---|
| ID Pop 1 | ME | FEP | SFM | GR | FEP | SFM | GR |
| LWSa | S-2014 | 33 ± 6 a | 1.8 ± 0.2 b | 5 ± 0.5 a | 6 ± 0 b | 0.6 ± 0 b | 1 ± 0.4 b |
| S-2015 | 68 ± 7 b | 1.3 ± 0.1 a | 11 ± 1 b | 10 ± 1 c | 0.6 ± 0 b | 0.5 ± 0.3 ab | |
| E-2014 | 86 ± 2 c | 1.5 ± 0.1 ab | 13 ± 2 b | 0 ± 0 a | 0 ± 0 a | 0 ± 0 a | |
| E-2015 | 15 ± 0 a | 1.5 ± 0.1 ab | 2 ± 1 a | 0 ± 0 a | 0 ± 0 a | 0 ± 0 a | |
| HWSa | S-2014 | 95 ± 0 b | 1.4 ± 0.1 a | 18 ± 1 b | 28 ± 3 b | 1.2 ± 0.2 ab | 3 ± 2 ab |
| S-2015 | 97 ± 3 b | 1.2 ± 0.2 a | 18 ± 1 b | 34 ± 4 b | 1.4 ± 0 b | 2 ± 1 ab | |
| E-2014 | 65 ± 4 a | 1.3 ± 0.3 a | 11 ± 1 a | 34 ± 5 b | 1.3 ± 0.2 ab | 4 ± 2 b | |
| E-2015 | 51 ± 8 a | 1.1 ± 0.2 a | 8 ± 3 a | 13 ± 3 a | 0.8 ± 0.2 a | 1 ± 0.1 a | |
| LWSh | S-2014 | 52 ± 9 a | 1.5 ± 0.2 ab | 10 ± 2 ab | 13 ± 4 ab | 1.4 ± 0.2 b | 1 ± 1 a |
| S-2015 | 90 ± 4 b | 1.4 ± 0 ab | 17 ± 1 c | 19 ± 9 ab | 1.4 ± 0 b | 1 ± 0.4 a | |
| E-2014 | 83 ± 8 b | 2.1 ± 0.4 b | 15 ± 2 bc | 29 ± 8 b | 1.6 ± 0.2 b | 2 ± 1 a | |
| E-2015 | 58 ± 12 a | 1.3 ± 0.3 a | 8 ± 3 a | 0 ± 0 a | 0 ± 0 a | 0 ± 0 a | |
| HWSh | S-2014 | 62 ± 1 b | 2.1 ± 0.4 b | 11 ± 1 b | 26 ± 10 b | 1.5 ± 0 b | 1 ± 0.5 a |
| S-2015 | 100 ± 0 c | 1.8 ± 0.5 b | 19 ± 1 c | 45 ± 11 b | 1.4 ± 0.2 b | 2 ± 1 a | |
| E-2014 | 74 ± 9 b | 1.9 ± 0.2 b | 13 ± 3 b | 35 ± 8 b | 1.8 ± 0.3 b | 2 ± 1 a | |
| E-2015 | 26 ± 9 a | 1.2 ± 0.1 a | 4 ± 1 a | 0 ± 0 a | 0 ± 0 a | 0 ± 0 a | |
| LWH | S-2014 | 99 ± 1 b | 1.6 ± 0.1 b | 18 ± 1 b | 31 ± 8 ab | 1.1 ± 0.1 ab | 3 ± 2 ab |
| S-2015 | 100 ± 0 b | 1.4 ± 0.2 ab | 19 ± 1 b | 52 ± 8 b | 0.8 ± 0 a | 3 ± 2 ab | |
| E-2014 | 86 ± 13 b | 1.6 ± 0.4 b | 16 ± 3 b | 36 ± 6 ab | 1.3 ± 0.5 b | 4 ± 2 b | |
| E-2015 | 62 ± 9 a | 1 ± 0.2 a | 10 ± 3 a | 10 ± 0 a | 0.9 ± 0.2 a | 0.5 ± 0 a | |
| HWH | S-2014 | 100 ± 0 b | 1.9 ± 0.2 b | 19 ± 1 b | 62 ± 6 b | 1.9 ± 0.3 b | 7 ± 4 b |
| S-2015 | 100 ± 0 b | 1.8 ± 0.2 b | 19 ± 1 b | 34 ± 8 ab | 1.5 ± 0.1 ab | 2 ± 0.3 ab | |
| E-2014 | 83 ± 8 b | 1.4 ± 0.1 a | 15 ± 2 ab | 24 ± 0 ab | 1 ± 0.1 a | 2 ± 0.4 ab | |
| E-2015 | 68 ± 13 a | 1.3 ± 0.2 a | 12 ± 4 a | 10 ± 1 a | 1.2 ± 0.1 a | 0.3 ± 0.2 a | |
| Leptochloa crinita | Leptochloa pluriflora | |||||||||||
|---|---|---|---|---|---|---|---|---|---|---|---|---|
| Accession ID | 36 | 38 | 44 | 46 | 47 | 55 | 50 | 58 | 49 | 57 | 65 | 60 |
| Province | Formosa | Santa Fe | San Luis | Córdoba | San Juan | Mendoza | Catamarca | San Luis | Salta | San Luis | Chaco | Santa Fe |
| Altitude (meters above sea level) | 78 | 64 | 405 | 205 | 660 | 1173 | 426 | 590 | 736 | 466 | 104 | 84 |
| Annual mean temperature (°C) | 22.4 | 20.4 | 17.7 | 20.6 | 17.6 | 12.8 | 20.4 | 18 | 19.4 | 18.6 | 21.7 | 20.8 |
| Annual rainfall (mm) | 927 | 1140 | 452 | 515 | 178 | 318 | 388 | 504 | 638 | 607 | 968 | 847 |
| Soil salinity (dS·m−1) | 0.2 | 0.6 | 15.0 | 8.3 | 0.2 | 0.3 | 0.2 | 0.1 | 0.1 | 0.2 | 0.1 | 0.1 |
| Origin classification (OC) | humid | saline | arid | semiarid | subhumid | humid | ||||||
| Seed weight (SW, g/1000 seeds) 1 | 0.197 a | 0.242 b | 0.168 a | 0.205 b | 0.186 a | 0.353 b | 0.186 a | 0.250 b | 0.225 a | 0.250 b | 0.196 a | 0.244 b |
| ID population (SW-OC) | LWH | HWH | LWS | HWS | LWA | HWA | LWSa | HWSa | LWSh | HWSh | LWH | HWH |
Publisher’s Note: MDPI stays neutral with regard to jurisdictional claims in published maps and institutional affiliations. |
© 2022 by the authors. Licensee MDPI, Basel, Switzerland. This article is an open access article distributed under the terms and conditions of the Creative Commons Attribution (CC BY) license (https://creativecommons.org/licenses/by/4.0/).
Share and Cite
Marinoni, L.; Zabala, J.M.; Quiroga, R.E.; Richard, G.A.; Pensiero, J.F. Seed Weight and Trade-Offs: An Experiment in False Rhodes Grasses under Different Aridity Conditions. Plants 2022, 11, 2887. https://doi.org/10.3390/plants11212887
Marinoni L, Zabala JM, Quiroga RE, Richard GA, Pensiero JF. Seed Weight and Trade-Offs: An Experiment in False Rhodes Grasses under Different Aridity Conditions. Plants. 2022; 11(21):2887. https://doi.org/10.3390/plants11212887
Chicago/Turabian StyleMarinoni, Lorena, Juan M. Zabala, R. Emiliano Quiroga, Geraldina A. Richard, and José F. Pensiero. 2022. "Seed Weight and Trade-Offs: An Experiment in False Rhodes Grasses under Different Aridity Conditions" Plants 11, no. 21: 2887. https://doi.org/10.3390/plants11212887
APA StyleMarinoni, L., Zabala, J. M., Quiroga, R. E., Richard, G. A., & Pensiero, J. F. (2022). Seed Weight and Trade-Offs: An Experiment in False Rhodes Grasses under Different Aridity Conditions. Plants, 11(21), 2887. https://doi.org/10.3390/plants11212887

