Influence of Different Harvesting Stages and Cereals–Legume Mixture on Forage Biomass Yield, Nutritional Compositions, and Quality under Loess Plateau Region
Abstract
1. Introduction
2. Material and Methods
2.1. Experimental Site, Treatments, and Design
2.2. Crop Cultivation and Sample Preparation
2.3. Forage Quality Assessment
- Dry matter intake, DMI (% of BW) = 120/(NDF, % of DM);
- Digestible dry matter, DDM (% of DM) = 88.9 − 0.779 × ADF (% of DM);
- Total digestible nutrient, TDN = 111.8 − (0.95 × % CP) − (0.36 × % ADF) − (0.7 × % NDF);
- Relative feed value, RFV = [(120/NDF) × (88.9 − 0.779 × ADF)]/1.29;
- Relative forage quality, RFQ = (DMI, % of BW) × (TDN, % of DM)/1.23;
- Quality index, QI = 0.0125 × RFQ + 0.097.
2.4. Data Analysis
3. Results and Discussion
3.1. Analysis of Variance, Fresh Biomass Yield, and Dry Matter Yield
3.2. Nutrient Compositions
3.3. Scatterplot Matrix Analysis of the Forage of Cereal Mono-Cropping and Cereal−Legume Mixed Cropping
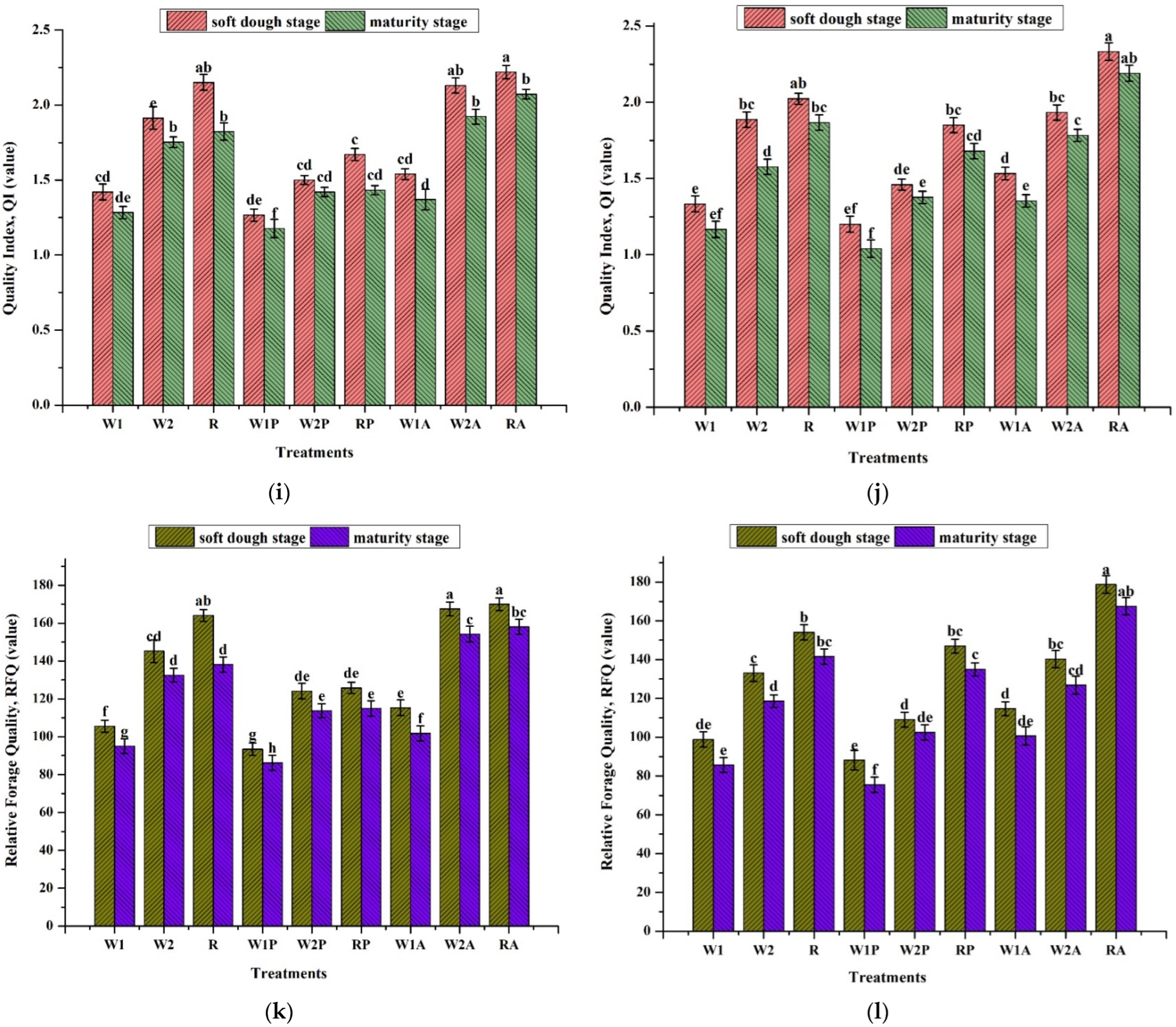
3.4. Mineral Compositions, and Forage Quality Analysis
4. Conclusions
Author Contributions
Funding
Data Availability Statement
Acknowledgments
Conflicts of Interest
References
- Qingping, Z.; Lindsay, W.B.; Yuying, S.; Jeremy, P.M.W. Indices of forage nutritional yield and water use efficiency amongst spring sown annual forage crops in north-west China. Eur. J. Agronomy 2018, 93, 1–10. [Google Scholar]
- Brown, C.; Waldron, S.; Yuman, L.; Longworth, J. Forage-livestock policies designed to improve livelihoods in Western China: A critical review. China Agric. Econ. Rev. 2009, 1, 367–381. [Google Scholar] [CrossRef]
- Komarek, A.M.; McDonald, C.K.; Bell, L.W.; Whish, J.P.; Robertson, M.J.; MacLeod, N.D.; Bellotti, W.D. Whole-farm effects of livestock intensification in smallholder systems in Gansu, China. Agric. Syst. 2012, 109, 16–24. [Google Scholar] [CrossRef]
- Ahmad, A.H.; Ahmad, R.; Mahmood, N. Production potential and quality of mixed sorghum forage under different intercropping systems and planting patterns. Pakistan J. Agric. Sci. 2007, 44, 87–93. [Google Scholar]
- Mut, Z.; Ayan, I.; Mut, H. Evaluation of forage yield and quality at two phenological stages of triticale genotypes and other cereals grown under rainfed conditions. Bang. J. Bot. 2006, 35, 45–53. [Google Scholar]
- Rakeih, N.; Kayyal, H.; Larbi, A.; Habib, N. Forage yield and competition indices of triticale and barley mixed intercropping with common vetch and grass pea in the Mediterranean region. Jordan J. Agric. Sci. 2010, 6, 194. [Google Scholar]
- Eskandari, H.; Ghanbari, A.; Javanmard, A. Intercropping of cereals and legumes for forage production. Not. Sci. Biol. 2009, 1, 7–13. [Google Scholar] [CrossRef]
- Kocer, A.; Albayrak, S. Determination of forage yield and quality of pea (Pisum sativum L.) mixtures with oat and barley. Turkish J. Field Crops. 2012, 17, 96–99. [Google Scholar]
- Kamalongo, D.M.; Cannon, N.D. Advantages of bicropping field beans (Vicia faba) and wheat (Triticum aestivum) on cereal forage yield and quality. Biol. Agric. Hortic. 2020, 36, 213–229. [Google Scholar] [CrossRef]
- Lithourgidis, A.S.; Dhima, K.V.; Vasilakoglou, I.B.; Dordas, C.A.; Yiakoulaki, M.D. Sustainable production of barley and wheat by intercropping common vetch. Agron. Sustain. Dev. 2007, 27, 95–99. [Google Scholar] [CrossRef]
- Carr, P.M.; Horsley, R.D.; Poland, W.W. Barley, oat, and cereal-pea mixtures as dryland forages in the northern great plains. Agron. J. 2004, 96, 677–684. [Google Scholar] [CrossRef]
- Neugschwandtner, R.W.; Kaul, H.P. Nitrogen uptake, use and utilization efficiency by oat–pea intercrops. Field Crops Res. 2015, 179, 113–119. [Google Scholar] [CrossRef]
- Sohail, S.; Ansar, M.; Skalicky, M.; Wasaya, A.; Soufan, W.; Yasir, T.A.; El-Shehawi, A.M.; Brestic, M.; Islam, M.S.; Raza, M.A.; et al. Influence of Tillage Systems and Cereals–Legume Mixture on Fodder Yield, Quality, and Net Returns under Rainfed Conditions. Sustainability 2021, 13, 2172. [Google Scholar] [CrossRef]
- Soe Htet, M.N.; Wang, H.; Yadav, V.; Sompouviseth, T.; Feng, B. Legume Integration Augments the Forage Productivity and Quality in Maize-Based System in the Loess Plateau Region. Sustainability 2022, 14, 6022. [Google Scholar] [CrossRef]
- Bo, P.T.; Dong, D.; Zhang, R.; Soe Htet, M.N.; Hai, J.B. Optimization of Alfalfa-Based Mixed Cropping with Winter Wheat and Ryegrass in Terms of Forage Yield and Quality Traits. Plants 2022, 11, 1752. [Google Scholar] [CrossRef]
- Contreras-Govea, F.E.; Albrecht, K.A.; Muck, R.E. Spring Yield and Silage Characteristics of Kura Clover, Winter Wheat, and in Mixtures. Agron. J. 2006, 98, 781–787. [Google Scholar] [CrossRef]
- Kim, W.H.; Kim, K.Y.; Jung, M.W. Dry Matter Yield and Forage Quality at Mixture of Annual Legumes and Italian ryegrass on Paddy Field. J. Korean Soc. Grassl. Forage Sci. 2011, 31, 33–38. [Google Scholar] [CrossRef][Green Version]
- Lanyasunya, T.P.; Rong, W.H.; Mukisira, E.A.; Abdulrazak, S.A.; Ayako, W.O. Influence of manure and inorganic fertilizer on yield and quality of Vicia villosa intercropped with Sorghum almum in Ol-joro-orok, Kenya. Livest. Res. Rural Dev. 2006, 18, 10. [Google Scholar]
- Iqbal, M.A.; Iqbal, A.; Ahmad, Z.; Raza, A.; Rahim, J.; Imran, M.; Sheikh, U.A.; Maqsood, Q.; Soufan, W.; Sahloul, N.M.; et al. Cowpea [Vigna unguiculata (L.) Walp] herbage yield and nutritional quality in cowpea-sorghum mixed strip intercropping systems. Rev. Mex. De Cienc. Pecu. 2021, 12, 402–418. [Google Scholar] [CrossRef]
- Bacchi, M.; Monti, M.; Calvi, A.; Presti, E.L.; Pellicanò, A.; Preiti, G. Forage Potential of Cereal/Legume Intercrops: Agronomic Performances, Yield, Quality Forage, and LER in Two Harvesting Times in a Mediterranean Environment. Agronomy 2021, 11, 121. [Google Scholar] [CrossRef]
- Muck, R.E.; Moser, L.E.; Pitt, R.E. Postharvest factors affecting ensiling. In Agronomy Monographs; Buxton, D.R., Muck, R.E., Harrison, J.H., Eds.; American Society of Agronomy; Crop Science Society of America; Soil Science Society of America: Madison, WI, USA, 2015; pp. 251–304. [Google Scholar]
- Piper, C.S. Soil and Plant Analysis; Scientific Publishers: Jodhpur, India, 2017. [Google Scholar]
- AOAC. Official Methods of Analysis, 17th ed.; Association of Official Analytical Chemists: Gaithersburg, MD, USA, 2000. [Google Scholar]
- Murphy, R.P. A method for the extraction of plant samples and the determination of total soluble carbohydrates. J. Sci. Food Agric. 1958, 9, 714–717. [Google Scholar] [CrossRef]
- Matsoukis, A.D.; Chronopoulou-Sereli, G. Environmental conditions and drenched-applied paclobutrazol effects on lantana specific leaf area and N, P, K, and Mg content. Chil. J. Agric. Res. 2014, 74, 117–122. [Google Scholar] [CrossRef][Green Version]
- Van Soest, P.J.; Robertson, J.B.; Lewis, B.A. Methods for dietary fiber, neutral detergent fiber, and nonstarch polysaccharides in relation to animal nutrition. J. Dairy. Sci. 1991, 74, 3583–3597. [Google Scholar] [CrossRef]
- Moore, J.; Undersander, D. Relative forage quality: An alternative to relative feed value and quality index, Department of Animal Sciences. In Proceedings of the 13th Annual Florida Ruminant Nutrition Symposium, Best Western, Gainesville, FL, USA, 10–11 January 2002. [Google Scholar]
- Grabber, J.H. Prohexadione—Calcium Improves Stand Density and Yield of Alfalfa Interseeded into Silage Corn. Agron. J. 2016, 108, 726–735. [Google Scholar] [CrossRef]
- Amraei, S.; Jafari, A.; Nouri, F. The effect of intercropping and pure cropping of alfalfa with 3 rangeland grass species on forage dry matter and crude protein yield in dry land farming conditions. Int. J. Agric. Crop Sci. 2012, 4, 1307–1310. [Google Scholar]
- Ma, K.Z.; Hao, S.G.; Zhao, H.Y.; Kang, L. Strip cropping wheat and alfalfa to improve the biological control of the wheat aphid Macrosiphum avenae by the mite Allothrombium ovatum. Agric. Ecosyst. Environ. 2007, 119, 49–52. [Google Scholar] [CrossRef]
- Bélanger, G.; Castonguay, Y.; Lajeunesse, J. Benefits of mixing timothy with alfalfa for forage yield, nutritive value, and weed suppression in northern environments. Can. J. Plant Sci. 2014, 94, 51–60. [Google Scholar] [CrossRef]
- Thompson, D. Yield and nutritive value of irrigated tall fescue compared with orchardgrass: In monocultures or mixed with alfalfa. Can. J. Plant Sci. 2013, 93, 799–807. [Google Scholar] [CrossRef][Green Version]
- Berti, M.T.; Lukaschewsky, J.; Samarappuli, D.P. Intercropping Alfalfa into Silage Maize Can Be More Profitable Than Maize Silage Followed by Spring-Seeded Alfalfa. Agronomy 2021, 11, 1196. [Google Scholar] [CrossRef]
- Sultan, B.; Sangamesh, A.; Abdel, M.; Mathada, R.; Michael, S. Forage Yield and Quality of Winter Canola–Pea Mixed Cropping System. Sustainability 2021, 13, 2122. [Google Scholar]
- Soufan, W.; Al-Suhaibani, N.A. Optimizing Yield and Quality of Silage and Hay for Pea–Barley Mixtures Ratio under Irrigated Arid Environments. Sustainability 2021, 13, 13621. [Google Scholar] [CrossRef]
- Francia, E.; Pecchioni, N.; Destri Nicosia, O.L. Dual-purpose barley and oat in a Mediterranean environment. Field Crops Res. 2006, 99, 158–166. [Google Scholar] [CrossRef]
- Parvin, S.; Wang, C.; Li, Y.; Nishino, N. Effects of inoculation with lactic acid bacteria on the bacterial communities of Italian ryegrass, whole crop maize, guinea grass, and Rhodes grass silages. Anim. Feed Sci. Technol. 2010, 160, 160–166. [Google Scholar] [CrossRef]
- Giacomini, S.J.; Vendruseolo, E.R.O.; Cubilla, M.; Nicoloso, R.S.; Fries, M.R. Dry matter, C/N ratio, and nitrogen, phosphorus, and potassium accumulation in mixed soil cover crops in Southern Brazil. Rev. Bras. De Cienc. Do Solo 2003, 27, 325–334. [Google Scholar] [CrossRef]
- Zhang, J.; Yin, B.; Xie, Y. Legume-Cereal Intercropping Improves Forage Yield, Quality and Degradability. PLoS ONE 2015, 10, 0144813. [Google Scholar] [CrossRef] [PubMed]
- Sleugh, B.; Moore, K.J.; George, J.R.; Brummer, E.C. Binary Legume—Grass Mixtures Improve Forage Yield, Quality, and Seasonal Distribution. Agron. J. 2000, 92, 24–29. [Google Scholar] [CrossRef]
- Kunelius, H.T.; Durr, G.H.; McRae, K.B.; Fillmore, S.A.E. Performance of Timothy-based Grass/Legume Mixtures in Cold Winter Region. J. Agron. Crop Sci. 2006, 192, 159–167. [Google Scholar] [CrossRef]
- Borreani, G.; Cavallarin, L.; Antoniazzi, S.; Tabacco, E. Effect of the stage of growth, wilting and inoculation in field pea (Pisum sativum L.) silages. I. Herbage composition and silage fermentation. J. Sci. Food Agric. 2006, 86, 1377–1382. [Google Scholar] [CrossRef]
- Kaiser, A.G.; Dear, B.S.; Morris, S.G. An evaluation of the yield and quality of oat-legume and ryegrass-legume mixtures and legume monocultures harvested at three stages of growth for silage. Aust. J. Exp. Agric. 2007, 47, 25–38. [Google Scholar] [CrossRef]
- Karagic, D.; Vasiljevic, S.; Katic, S.; Mikic, A.; Milic, D.; Milosevic, B.; Dusanic, N. Yield and quality of winter common vetch (Vicia sativa L.) haylage depending on sowing method. Biotechnol. Anim. Husb. 2011, 27, 1585–1594. [Google Scholar] [CrossRef]
- Wilkinson, J.M.; Davies, D.R. The aerobic stability of silage: Key findings and recent developments. Grass Forage Sci. 2013, 68, 1–19. [Google Scholar] [CrossRef]
- Filya, I. Nutritive value of whole crop wheat silage harvested at three stages of maturity. Anim. Feed. Sci. Technol. 2003, 103, 85–95. [Google Scholar] [CrossRef]
- Chaudhary, D.; Kumar, A.; Kumar, R. Evaluation of normal and specialty corn for fodder yield and quality traits. Range Manag. Agrofor. 2016, 37, 79–83. [Google Scholar]
- Pirhofer-Walzl, K.; Søegaard, K.; Høgh-Jensen, H. Forage herbs improve the mineral composition of grassland herbage: Forage herbs improve the mineral composition of grassland herbage. Grass Forage Sci. 2011, 66, 415–423. [Google Scholar] [CrossRef]





| Month | Monthly Precipitation (mm) | Monthly Average Temperature (°C) | ||
|---|---|---|---|---|
| 2020–2021 | 2021–2022 | 2020–2021 | 2021–2022 | |
| October | 19.3 | 16.96 | 17.31 | 16.38 |
| November | 19.47 | 13.34 | 6.85 | 5.75 |
| December | 0.41 | 0.56 | 2.56 | 1.65 |
| January | 0.73 | 0.64 | 8.34 | 1.39 |
| February | 2.65 | 6.96 | 14.30 | 3.5 |
| March | 6.74 | 9.06 | 16.12 | 13.28 |
| April | 42.59 | 46.68 | 18.68 | 17.48 |
| May | 34.3 | 44.46 | 27.52 | 27.71 |
| Parameters | Value |
|---|---|
| Total Nitrogen (N) | 1.56 g kg−1 |
| Phosphorus (P) | 16.69 mg kg−1 |
| Available Potassium (K) | 182.2 mg kg−1 |
| Organic Matter (OM) | 18.02 g kg−1 |
| pH | 7.9 |
| Fertility | Medium-fertility |
| (a) | |||||||||||
|---|---|---|---|---|---|---|---|---|---|---|---|
| Source of Variation | Agronomic Parameters | Nutritional Compositions | |||||||||
| FBY | DMY | DM | WSC | CP | EE | CF | Ash | NDF | ADF | ||
| Tr | 2.76 ** | 4.14 ** | 15.7 ** | 1.67 | 7.20 ** | 5.33 ** | 4.98 ** | 4.74 ** | 13.17 ** | 12.54 ** | |
| HS | 9.14 ** | 0.26 | 23.02 ** | 21.83 ** | 14.14 ** | 12.90 ** | 16.40 ** | 8.51 ** | 4.24 ** | 8.36 ** | |
| Y | 0.89 | 1.51 | 1.30 | 1.41 | 1.07 | 0.02 | 1.43 | 0.05 | 5.79 * | 1.13 | |
| Tr*HS | 1.94 | 0.92 | 14.56 ** | 4.10 ** | 8.82 ** | 12.23 ** | 18.90 ** | 12.91 ** | 0.10 | 0.80 | |
| Tr*Y | 0.850 | 2.71 ** | 0.479 | 1.83 | 1.69 | 0.120 | 18.67 ** | 11.22 ** | 12.58 ** | 23.87 ** | |
| HS*Y | 36.94 ** | 45.26 ** | 0.45 | 3.21 | 2.20 | 0.11 | 0.88 ** | 10.19 ** | 0.98 | 0.72 | |
| Tr*HS*Y | 0.43 | 0.34 | 0.94 | 1.57 | 2.47 * | 0.93 | 53.98 ** | 7.35 ** | 0.92 | 0.57 | |
| (b) | |||||||||||
| Source of Variation | Mineral Compositions | Forage Quality Index | |||||||||
| Ca | Na | K | P | Mg | DMI | DDM | RFV | TDN | RFQ | QI | |
| Tr | 13.14 ** | 15.75 ** | 19.46 ** | 4.87 ** | 15.23 ** | 6.10 ** | 5.64 ** | 7.63 ** | 12.37 ** | 7.74 ** | 7.53 ** |
| HS | 4.2 ** | 0.17 | 7.01 ** | 0.91 | 8.04 ** | 11.00 ** | 14.4 ** | 4.51 ** | 8.15 ** | 18.9 ** | 13.50 ** |
| Y | 0.36 | 6.02 ** | 0.98 | 0.45 | 0.43 | 5.42 * | 5.30 * | 1.67 | 4.51 * | 4.24 * | 4.37 * |
| Tr*HS | 10.07 ** | 13.66 ** | 16.25 ** | 4.11 ** | 11.90 ** | 0.66 | 0.33 | 0.67 | 2.24 * | 0.60 | 0.61 |
| Tr*Y | 14.49 ** | 18.99 ** | 6.64 ** | 1.35 | 15.32 ** | 7.10 ** | 23.82 ** | 8.78 ** | 12.16 ** | 7.74 ** | 7.75 ** |
| HS*Y | 2.64 | 14.16 ** | 0.50 | 0.42 | 0.43 | 0.92 | 0.83 | 0.72 | 0.57 | 0.61 | 0.93 |
| Tr*HS*Y | 0.21 | 12.42 ** | 4.48 ** | 1.2 | 17.10 ** | 0.03 | 0.59 | 0.02 | 0.50 | 0.05 | 0.05 |
| Treatment a | Harvesting Stages b | Parameters (%) c | |||
|---|---|---|---|---|---|
| FBY | DMY | FBY | DMY | ||
| 2020−2021 | 2021−2022 | ||||
| W1 | SDS | 42.72 b | 15.14 ab | 38.93 abc | 15.19 bc |
| MS | 24.23 e | 14.13 bc | 25.67 f | 14.92 c | |
| W2 | SDS | 46.38 ab | 15.63 ab | 42.27 ab | 18.45 ab |
| MS | 24.42 e | 14.24 bc | 29.07 ef | 16.23 b | |
| R | SDS | 46.57 ab | 12.38 d | 42.73 ab | 11.69 de |
| MS | 31.57 cd | 11.67 de | 34.13 cde | 10.89 de | |
| W1P | SDS | 42.35 b | 13.33 cd | 32.73 cde | 13.57 cd |
| MS | 24.05 e | 12.59 d | 22.93 g | 12.85 d | |
| W2P | SDS | 46.20 ab | 15.58 ab | 37.53 abc | 15.73 bc |
| MS | 24.05 e | 14.84 bc | 26.27 ef | 14.88 c | |
| RP | SDS | 44.92 ab | 12.66 d | 43.87 ab | 12.58 d |
| MS | 29.00 cd | 11.20 de | 27.27 ef | 10.57 e | |
| W1A | SDS | 43.83 ab | 16.57 ab | 38.07 abc | 15.46 bc |
| MS | 26.25 de | 16.27 ab | 23.33 g | 15.11 c | |
| W2A | SDS | 49.83 a | 18.78 a | 48.87 a | 19.77 a |
| MS | 27.35 de | 16.48 ab | 24.87 g | 16.34 b | |
| RA | SDS | 51.88 a | 14.88 bc | 49.67 a | 14.56 c |
| MS | 35.05 c | 10.40 e | 33.07 cde | 11.01 de | |
| SEM | 4.24 | 1.46 | 4.4 | 2.7 | |
| LOS | ** | ** | ** | * | |
| (a) | |||||||||
|---|---|---|---|---|---|---|---|---|---|
| Treatment a | Harvesting Stages b | Parameters (%) c | |||||||
| DM | WSC | CP | EE | CF | Ash | NDF | ADF | ||
| 2020−2021 | |||||||||
| W1 | SDS | 36.64 c | 11.38 b | 8.49 bc | 0.36 e | 27.25 bc | 7.11 cd | 42.04 de | 23.69 cd |
| MS | 81.67 b | 4.57 d | 6.95 d | 0.46 de | 18.32 e | 5.65 e | 36.93 e | 19.49 de | |
| W2 | SDS | 40.19 c | 12.00 b | 9.10 ab | 1.56 c | 28.66 ab | 7.64 c | 45.56 d | 25.97 c |
| MS | 84.33 b | 6.23 d | 7.91 cd | 0.89 d | 25.25 cd | 5.74 e | 39.36 de | 19.15 de | |
| R | SDS | 28.14 d | 15.35 a | 9.38 ab | 2.10 ab | 27.56 bc | 10.05 a | 51.81 b | 31.23 ab |
| MS | 42.71 c | 10.03 b | 8.60 bc | 1.84 bc | 25.61 cd | 7.77 c | 47.61 c | 28.85 b | |
| W1P | SDS | 30.30 d | 9.00 c | 6.83 d | 0.29 e | 26.02 c | 7.27 c | 49.13 bc | 29.34 b |
| MS | 80.60 b | 4.53 d | 6.32 d | 0.25 e | 17.55 e | 5.56 e | 38.84 e | 24.28 c | |
| W2P | SDS | 39.30 c | 10.90 b | 8.61 bc | 1.40 c | 27.71 bc | 7.48 c | 57.28 a | 33.74 a |
| MS | 81.07 b | 5.00 d | 7.49 cd | 0.66 de | 23.28 d | 5.65 e | 40.62 de | 25.14 c | |
| RP | SDS | 27.29 d | 13.29 ab | 9.80 ab | 1.94 ab | 26.06 c | 8.62 b | 54.12 b | 33.05 a |
| MS | 37.38 c | 8.87 c | 7.37 cd | 1.25 c | 25.06 cd | 7.51 c | 49.92 bc | 29.54 b | |
| W1A | SDS | 40.64 c | 14.68 ab | 9.49 ab | 0.69 d | 28.47 ab | 6.76 d | 41.96 de | 21.53 d |
| MS | 83.27 b | 5.30 d | 9.17 ab | 0.58 de | 24.34 d | 6.04 d | 34.76 f | 17.33 e | |
| W2A | SDS | 40.73 c | 15.37 a | 9.20 ab | 2.18 a | 29.27 ab | 9.91 ab | 42.82 de | 23.35 cd |
| MS | 88.60 a | 9.67 c | 8.90 bc | 1.07 cd | 24.65 d | 7.59 c | 37.60 e | 21.77 d | |
| RA | SDS | 29.36 d | 15.82 a | 10.78 a | 2.30 a | 32.06 a | 10.68 a | 49.80 bc | 28.48 b |
| MS | 45.28 c | 11.27 b | 8.93 bc | 1.78 bc | 27.05 bc | 8.84 b | 45.08 d | 27.03 bc | |
| SEM | 2.61 | 2.86 | 0.57 | 0.03 | 0.33 | 0.23 | 0.50 | 0.37 | |
| LOS | ** | * | * | ** | ** | ** | ** | ** | |
| (b) | |||||||||
| Treatment a | Harvesting Stages b | Parameters (%) c | |||||||
| DM | WSC | CP | EE | CF | Ash | NDF | ADF | ||
| 2021−2022 | |||||||||
| W1 | SDS | 38.37 c | 8.20 c | 8.63 bc | 1.46 cd | 28.37 bc | 6.74 de | 41.75 ef | 23.22 de |
| MS | 82.47 ab | 4.50 d | 7.69 cd | 0.56 e | 19.81 f | 5.25 e | 41.11 ef | 19.02 f | |
| W2 | SDS | 39.11 b | 10.97 bc | 9.14 bc | 1.89 cd | 29.05 b | 7.27 d | 46.64 c | 25.41 d |
| MS | 85.53 a | 8.45 c | 8.91 bc | 1.10 d | 26.05 de | 5.41 e | 44.44 e | 21.21 ef | |
| R | SDS | 39.49 b | 14.33 a | 11.16 a | 2.84 b | 30.63 a | 10.43 b | 53.66 bc | 30.98 b |
| MS | 42.70 b | 13.13 ab | 7.99 cd | 1.29 d | 28.43 bc | 8.52 c | 54.87 b | 27.65 c | |
| W1P | SDS | 26.06 d | 7.50 cd | 8.41 c | 1.36 d | 28.06 bc | 6.74 de | 46.15 d | 24.08 de |
| MS | 80.40 ab | 3.60 d | 6.74 d | 0.40 e | 19.67 f | 4.37 f | 43.95 e | 20.88 ef | |
| W2P | SDS | 26.49 d | 9.77 bc | 9.36 bc | 1.66 cd | 28.51 bc | 7.04 de | 60.02 a | 34.10 a |
| MS | 81.07 ab | 6.25 cd | 8.76 bc | 0.94 e | 20.48 ef | 5.32 e | 49.81 c | 25.11 d | |
| RP | SDS | 34.74 c | 11.45 ab | 10.85 ab | 2.25 c | 27.53 cd | 10.26 b | 57.07 ab | 31.85 b |
| MS | 40.45 b | 9.53 bc | 7.55 cd | 1.25 d | 25.39 de | 7.25 d | 57.82 ab | 29.90 bc | |
| W1A | SDS | 28.79 d | 10.37 bc | 8.95 bc | 1.58 cd | 26.87 de | 6.55 de | 43.95 e | 21.74 e |
| MS | 86.67 a | 4.93 d | 8.37 c | 0.78 e | 24.31 e | 5.37 e | 38.91 f | 17.54 g | |
| W2A | SDS | 37.43 c | 12.38 ab | 9.93 b | 2.07 bc | 29.11 b | 8.57 c | 45.61 de | 24.61 de |
| MS | 89.40 a | 9.83 bc | 9.55 bc | 1.18 d | 28.58 bc | 5.56 e | 43.41 e | 20.41 e | |
| RA | SDS | 41.58 b | 15.03 a | 11.68 a | 3.30 a | 32.92 a | 11.07 a | 52.01 bc | 29.31 bc |
| MS | 44.10 b | 14.08 a | 8.43 c | 1.69 cd | 29.45 b | 8.56 c | 51.46 c | 26.78 cd | |
| SEM | 2.37 | 1.69 | 0.40 | 0.03 | 0.27 | 0.18 | 1.31 | 0.74 | |
| LOS | ** | ** | ** | ** | ** | ** | ** | ** | |
| Treatment a | Harvesting Stages b | Parameters (%) c | |||||||||
|---|---|---|---|---|---|---|---|---|---|---|---|
| Ca | Na | K | P | Mg | Ca | Na | K | P | Mg | ||
| 2020−2021 | 2021−2022 | ||||||||||
| W1 | SDS | 0.18 c | 0.02 c | 1.71 bc | 0.23 ab | 0.06 c | 0.18 d | 0.02 c | 1.72 c | 0.23 ab | 0.05 d |
| MS | 0.17 c | 0.02 c | 1.65 c | 0.22 bc | 0.05 c | 0.16 d | 0.02 c | 1.58 cd | 0.21 bc | 0.04 d | |
| W2 | SDS | 0.18 c | 0.03 c | 1.73 bc | 0.24 ab | 0.08 c | 0.18 d | 0.03 c | 1.81 bc | 0.24 ab | 0.07 d |
| MS | 0.17 c | 0.02 c | 1.63 c | 0.22 bc | 0.05 c | 0.17 d | 0.03 c | 1.73 c | 0.24 ab | 0.05 d | |
| R | SDS | 0.28 b | 0.19 a | 1.92 ab | 0.25 a | 0.43 a | 0.27 b | 0.16 ab | 1.94 a | 0.25 a | 0.43 a |
| MS | 0.23 bc | 0.11 b | 1.85 ab | 0.22 bc | 0.37 a | 0.27 b | 0.12 b | 1.92 a | 0.25 a | 0.37 b | |
| W1P | SDS | 0.16 c | 0.01 c | 1.63 c | 0.22 bc | 0.05 c | 0.17 d | 0.01 c | 1.63 cd | 0.22 bc | 0.05 d |
| MS | 0.16 c | 0.01 c | 1.58 c | 0.19 c | 0.04 c | 0.16 d | 0.01 c | 1.58 cd | 0.19 c | 0.02 d | |
| W2P | SDS | 0.18 c | 0.03 c | 1.58 c | 0.25 a | 0.07 c | 0.17 d | 0.02 c | 1.65 cd | 0.22 bc | 0.07 d |
| MS | 0.17 c | 0.01 c | 0.98 d | 0.20 c | 0.02 c | 0.17 d | 0.01 c | 1.63 cd | 0.20 bc | 0.04 d | |
| RP | SDS | 0.26 b | 0.12 b | 1.81 ab | 0.24 ab | 0.24 b | 0.38 a | 0.20 a | 0.98 d | 0.23 bc | 0.24 c |
| MS | 0.23 bc | 0.10 b | 1.80 ab | 0.23 ab | 0.22 b | 0.35 a | 0.11 b | 1.80 bc | 0.14 d | 0.22 c | |
| W1A | SDS | 0.18 c | 0.02 c | 1.72 bc | 0.24 ab | 0.06 c | 0.19 c | 0.03 c | 1.85 bc | 0.25 ab | 0.06 d |
| MS | 0.17 c | 0.02 c | 1.65 c | 0.23 ab | 0.05 c | 0.17 d | 0.02 c | 1.65 cd | 0.22 ab | 0.05 d | |
| W2A | SDS | 0.19 c | 0.03 c | 1.91 ab | 0.25 a | 0.08 c | 0.20 c | 0.04 c | 1.93 a | 0.26 ab | 0.08 d |
| MS | 0.17 c | 0.03 c | 1.65 c | 0.25 a | 0.07 c | 0.18 d | 0.04 c | 1.83 bc | 0.25 ab | 0.07 d | |
| RA | SDS | 0.37 a | 0.20 a | 2.32 a | 0.27 a | 0.46 a | 0.35 a | 0.19 a | 2.02 a | 0.31 a | 0.47 a |
| MS | 0.35 a | 0.14 b | 2.20 a | 0.25 a | 0.39 a | 0.32 a | 0.14 ab | 1.95 a | 0.24 ab | 0.38 b | |
| SEM | 0.001 | 0.008 | 0.05 | 0.01 | 0.001 | 0.006 | 0.001 | 0.04 | 0.01 | 0.001 | |
| LOS | ** | ** | ** | * | ** | ** | ** | ** | ** | ** | |
Publisher’s Note: MDPI stays neutral with regard to jurisdictional claims in published maps and institutional affiliations. |
© 2022 by the authors. Licensee MDPI, Basel, Switzerland. This article is an open access article distributed under the terms and conditions of the Creative Commons Attribution (CC BY) license (https://creativecommons.org/licenses/by/4.0/).
Share and Cite
Bo, P.T.; Bai, Y.; Dong, Y.; Shi, H.; Soe Htet, M.N.; Samoon, H.A.; Zhang, R.; Tanveer, S.K.; Hai, J. Influence of Different Harvesting Stages and Cereals–Legume Mixture on Forage Biomass Yield, Nutritional Compositions, and Quality under Loess Plateau Region. Plants 2022, 11, 2801. https://doi.org/10.3390/plants11202801
Bo PT, Bai Y, Dong Y, Shi H, Soe Htet MN, Samoon HA, Zhang R, Tanveer SK, Hai J. Influence of Different Harvesting Stages and Cereals–Legume Mixture on Forage Biomass Yield, Nutritional Compositions, and Quality under Loess Plateau Region. Plants. 2022; 11(20):2801. https://doi.org/10.3390/plants11202801
Chicago/Turabian StyleBo, Poe Thinzar, Yinping Bai, Yongli Dong, Hongxia Shi, Maw Ni Soe Htet, Hamz Ali Samoon, Ruifang Zhang, Sikander Khan Tanveer, and Jiangbo Hai. 2022. "Influence of Different Harvesting Stages and Cereals–Legume Mixture on Forage Biomass Yield, Nutritional Compositions, and Quality under Loess Plateau Region" Plants 11, no. 20: 2801. https://doi.org/10.3390/plants11202801
APA StyleBo, P. T., Bai, Y., Dong, Y., Shi, H., Soe Htet, M. N., Samoon, H. A., Zhang, R., Tanveer, S. K., & Hai, J. (2022). Influence of Different Harvesting Stages and Cereals–Legume Mixture on Forage Biomass Yield, Nutritional Compositions, and Quality under Loess Plateau Region. Plants, 11(20), 2801. https://doi.org/10.3390/plants11202801

