Volatiles of Capparis cartilaginea Decne. from Saudi Arabia
Abstract
1. Introduction
2. Results
| Taxon | Plant Part | Origin | Designation | Reference |
|---|---|---|---|---|
| Capparis cartilaginea Decne. * | Leaves | Saudi Arabia | CC | Present Study |
| Capparis spinosa var. aegyptiaca * | Aerial parts | Egypt | CA | [18] |
| Capparis spinosa L. * | Buds and Leaves | Croatia | CL1 | [19] |
| Capparis tomentosa * | Leaves and Fruits | Kenya | CT | [20] |
| Capparis spinosa var. mucronifolia * | Fruit | Iran | CM | [21] |
| Capparis ovata Desf. var. palaestina * | Aerial parts | Jordan | CP | [22] |
| Capparis spinosa L. var. aravensis * | Aerial parts | Jordan | CA2 | [22] |
| Capparis spinosa L. * | Leaves | Syria | CL10 | [23] |
| Capparis spinosa L. * | Leaves | Italy | CL11a | [17] |
| Capparis spinosa L. * | Buds | Italy | CL11b | [17] |
| Capparis spinosa L. * | Flowers | Italy | CL11c | [17] |
| Capparis spinosa L. | Buds | Italy | CL2 | [24] |
| Capparis spinosa L. | Seeds | Tunisia | CL3 | [25] |
| Capparis spinosa L. | Buds | Morocco | CL4 | [26] |
| Capparis spinosa L. | Buds | Turkey | CL5 | [27] |
| Capparis spinosa L. | Buds | Italy | CL6 | [27] |
| Capparis spinosa L. * | Seeds | Iran | CL7 | [27] |
| Capparis spinosa L. | Aerial parts | Egypt | CL8 | [28] |
| Capparis spinosa L. | Aerial parts | Algeria | CL9 | [29] |
| Capparis sepiaria Linn. | Seeds | India | CS | [30] |
3. Discussion
4. Materials and Methods
4.1. Plant Material
4.2. Extraction of the Essential Oil
4.3. GC–MS and GC–FID Analyses
4.4. Compound Identification
4.5. Multivariate Statistical Analyses (MVA)
5. Conclusions
Supplementary Materials
Author Contributions
Funding
Institutional Review Board Statement
Informed Consent Statement
Data Availability Statement
Acknowledgments
Conflicts of Interest
Sample Availability
References
- Lansky, E.P.; Paavilainen, H.M. Caper: The Genus Capparis, 1st ed.; CRC Press: Boca Raton, FL, USA, 2013; pp. 7–10, 35, 119. [Google Scholar]
- Capparis Cartilaginea Decne. Available online: https://powo.science.kew.org/taxon/327918-2 (accessed on 19 April 2022).
- Capparis Cartilaginea (PROTA). Available online: https://uses.plantnet-project.org/e/index.php?title=Capparis_cartilaginea(PROTA)&oldid=197313 (accessed on 10 April 2022).
- Phondani, P.C.; Bhatt, A. Ethnobotanical magnitude towards sustainable utilization of wild foliage in Arabian Desert. J. Tradit. Complementary Med. 2016, 6, 209–218. [Google Scholar] [CrossRef] [PubMed]
- Nadkarni, K. Indian Materia Medica: With Ayurvedic, Unani-Tibbi, Siddha, Allopathic, Homeopathic, Naturopathic and Home Remedies; Popular Prakashan Private Ltd.: Bombay, India, 1976; pp. 265–267. [Google Scholar]
- Moharram, B.A.; Al-Mahbashi, F. Phytochemical, anti-inflammatory, antioxidant, cytotoxic and antibacterial study of Capparis cartilaginea decne fromyemen. Int. J. Pharm. Pharm. Sci. 2018, 10, 38–44. [Google Scholar] [CrossRef]
- Tlili, N.; Elfalleh, W.; Saadaoui, E.; Khaldi, A.; Triki, S.; Nasri, N. The caper (Capparis L.): Ethnopharmacology, phytochemical and pharmacological properties. Fitoterapia 2011, 82, 93–101. [Google Scholar] [CrossRef]
- Sharaf, M.; El-Ansari, M.A.; Saleh, N.A. Flavonoids of four Cleome and three Capparis species. Biochem. Syst. Ecol. 1997, 25, 161–166. [Google Scholar] [CrossRef]
- Hamed, A.R.; Abdel-Shafeek, K.A. Chemical investigation of some Capparis species growing in Egypt and their antioxidant activity. Evid. -Based Complement. Altern. Med. 2007, 4, 25–28. [Google Scholar] [CrossRef] [PubMed]
- Galib, N.A.; Algfri, S.K. Phytochemical screening and antioxidant evaluation by DPPH of Capparis cartilaginea Decne leaves. J. Med. Plants 2016, 4, 280–286. [Google Scholar]
- Abdul, L.; Haitham, M.A. Medicinal plants from Saudi Arabia and Indonesia: In vitro cytotoxicity evaluation on Vero and Hep-2 cells. J. Med. Plants Res. 2014, 8, 1065–1073. [Google Scholar] [CrossRef]
- Rahimifard, N.; Shojaii, A. Evaluation of antibacterial activity and flavonoid content of two Capparis species from Iran. J. Med. Plants 2015, 14, 89–94. [Google Scholar]
- Al-Balwi, Z.S. The Role of Capparis Cartilaginea in Animal Models of Osteoporosis: Potential Antiosteoporotic Effect of Capparis Cartilaginea in Rodent Model. Int. J. Pharm. Phytopharm. Res. 2018, 8, 59–67. [Google Scholar]
- Abutaha, N.; Al-Mekhlafi, A. Evaluation of the safe use of the larvicidal fraction of Capparis cartilaginea Decne. against Aedes caspius (Pallas) (Diptera: Culicidae) larvae. Afr. Entomol. 2014, 22, 838–846. [Google Scholar] [CrossRef]
- Gilani, A.U.H.; Aftab, K. Hypotensive and spasmolytic activities of ethanolic extract of Capparis cartilaginea. Phytother. Res. 1994, 8, 145–148. [Google Scholar] [CrossRef]
- Kulisic-Bilusic, T.; Blažević, I. Evaluation of the antioxidant activity of essential oils from caper (Capparis spinosa) and sea fennel (Crithmum maritimum) by different methods. J. Food Biochem. 2010, 34, 286–302. [Google Scholar] [CrossRef]
- Ascrizzi, R.; Cioni, P.L. Patterns in volatile emission of different aerial parts of caper (Capparis spinosa L.). Chem. Biodivers. 2016, 13, 904–912. [Google Scholar] [CrossRef] [PubMed]
- Bakr, R.O.; Bishbishy, E. Profile of bioactive compounds of Capparis spinosa var. aegyptiaca growing in Egypt. Rev. Bras. De Farmacogn. 2016, 26, 514–520. [Google Scholar] [CrossRef]
- Kulisic-Bilusic, T.; Schmöller, I. The anticarcinogenic potential of essential oil and aqueous infusion from caper (Capparis spinosa L.). Food Chem. 2012, 132, 261–267. [Google Scholar] [CrossRef]
- Kabugi Mwangi, J.; Ndung’u, M. Repellent activity of the essential oil from Capparis tomentosa against maize weevil Sitophilus zeamais. J. Resour. Dev. Manag. -Open Access Int. J. 2013, 1, 9–13. [Google Scholar]
- Afsharypuor, S.; Jeiran, K. First investigation of the flavour profiles of the leaf, ripe fruit and root of Capparis spinosa var. mucronifolia from Iran. Pharm. Acta Helv. 1998, 72, 307–309. [Google Scholar] [CrossRef]
- Muhaidat, R.; Al-Qudah, M.A. Chemical profile and antibacterial activity of crude fractions and essential oils of Capparis ovata Desf. and Capparis spinosa L. (Capparaceae). Int. J. Integr. Biol. 2013, 14, 39. [Google Scholar]
- El-Naser, Z. Analysis of essential oil of Capparis spinosa L. leaves and interaction between Pieris brassicae L. (Lepidopteran) which attack caper and natural enemy Cotesia glomerata (L.). Int. J. ChemTech Res. 2016, 9, 477–485. [Google Scholar]
- Mollica, A.; Stefanucci, A. Chemical composition and biological activity of Capparis spinosa L. from Lipari Island. S. Afr. J. Bot. 2019, 120, 135–140. [Google Scholar] [CrossRef]
- Tlili, N.; El Guizani, T. Protein, lipid, aliphatic and triterpenic alcohol content of caper seeds “Capparis spinosa”. J. Am. Oil Chem. Soc. 2011, 88, 265–270. [Google Scholar] [CrossRef]
- Stefanucci, A.; Zengin, G. Impact of different geographical locations on varying profile of bioactives and associated functionalities of caper (Capparis spinosa L.). Food Chem. Toxicol. 2018, 118, 181–189. [Google Scholar] [CrossRef] [PubMed]
- Ara, K.M.; Karami, M. Application of response surface methodology for the optimization of supercritical carbon dioxide extraction and ultrasound-assisted extraction of Capparis spinosa seed oil. J. Supercrit. Fluids 2014, 85, 173–182. [Google Scholar] [CrossRef]
- El-Shahaby, O.A.; El-Zayat, M. Evaluation of the biological activity of Capparis spinosa var. aegyptiaca essential oils and fatty constituents as Anticipated Antioxidant and Antimicrobial Agents. Prog. Chem. Biochem. Res. 2019, 2, 211–221. [Google Scholar]
- Babushok, V.; Linstrom, P. Retention indices for frequently reported compounds of plant essential oils. J. Phys. Chem. Ref. Data 2011, 40, 043101. [Google Scholar] [CrossRef]
- Rajesh, P.; Latha, S. Capparis sepiaria Linn-Pharmacognostical standardization and toxicity profile with chemical compounds identification (GC-MS). Int. J. Phytomed. 2010, 2, 71–79. [Google Scholar]
- Blažević, I.; Montaut, S. Glucosinolate structural diversity, identification, chemical synthesis and metabolism in plants. Phytochemistry 2020, 169, 112100. [Google Scholar] [CrossRef]
- Wu, X.; Zhou, Q.-h. Are isothiocyanates potential anti-cancer drugs? Acta Pharmacol. Sin. 2009, 30, 501–512. [Google Scholar] [CrossRef]
- Morse, M.A.; Zu, H. Dose-related inhibition by dietary phenethyl isothiocyanate of esophageal tumorigenesis and DNA methylation induced by N-nitrosomethylbenzylamine in rats. Cancer Lett. 1993, 72, 103–110. [Google Scholar] [CrossRef]
- Morse, M.A.; Eklind, K.I. Structure-activity relationships for inhibition of 4-(methylnitrosamino)-1-(3-pyridyl)-1-butanone lung tumorigenesis by arylalkyl isothiocyanates in A/J mice. Cancer Res. 1991, 51, 1846–1850. [Google Scholar]
- Morse, M.A.; Amin, S.G. Effects of aromatic isothiocyanates on tumorigenicity, O6-methylguanine formation, and metabolism of the tobacco-specific nitrosamine 4-(methylnitrosamino)-1-(3-pyridyl)-1-butanone in A/J mouse lung. Cancer Res. 1989, 49, 2894–2897. [Google Scholar] [PubMed]
- Akopyan, G.; Bonavida, B. Understanding tobacco smoke carcinogen NNK and lung tumorigenesis. Int. J. Oncol. 2006, 29, 745–752. [Google Scholar] [CrossRef] [PubMed]
- Wattenberg, L.W. Inhibition of carcinogenic effects of polycyclic hydrocarbons by benzyl isothiocyanate and related compounds. J. Natl. Cancer Inst. 1977, 58, 395–398. [Google Scholar] [CrossRef] [PubMed]
- Fimognari, C.; Lenzi, M. Interaction of the isothiocyanate sulforaphane with drug disposition and metabolism: Pharmacological and toxicological implications. Curr. Drug Metab. 2008, 9, 668–678. [Google Scholar] [CrossRef] [PubMed]
- Zhang, Y.; Talalay, P. Anticarcinogenic activities of organic isothiocyanates: Chemistry and mechanisms. Cancer Res. 1994, 54, 1976s–1981s. [Google Scholar] [PubMed]
- Jang, M.; Hong, E. Evaluation of antibacterial activity of 3-butenyl, 4-pentenyl, 2-phenylethyl, and benzyl isothiocyanate in Brassica vegetables. J. Food Sci. 2010, 75, M412–M416. [Google Scholar] [CrossRef]
- Fleming, F.F.; Yao, L. Nitrile-containing pharmaceuticals: Efficacious roles of the nitrile pharmacophore. J. Med. Chem. 2010, 53, 7902–7917. [Google Scholar] [CrossRef]
- Le Questel, J.Y.; Berthelot, M. Hydrogen-bond acceptor properties of nitriles: A combined crystallographic and ab initio theoretical investigation. J. Phys. Org. Chem. 2000, 13, 347–358. [Google Scholar] [CrossRef]
- Wit, J.; Van Genderen, H. Metabolism of the herbicide 2, 6-dichlorobenzonitrile in rabbits and rats. Biochem. J. 1966, 101, 698–706. [Google Scholar] [CrossRef]
- Sittig, M. Pharmaceutical Manufacturing Encyclopedia; William Andrew Pub: New York, NY, USA, 2007; pp. 182, 936, 1362. [Google Scholar]
- Furniss, B.S. Vogel’s Textbook of Practical Organic Chemistry; Pearson Education India: Delhi, India, 1989; pp. 1174–1179. [Google Scholar]
- De Sousa, D.P.; Quintans, L., Jr. Evolution of the anticonvulsant activity of α-terpineol. Pharm. Biol. 2007, 45, 69–70. [Google Scholar] [CrossRef]
- Hassan, S.B.; Gali-Muhtasib, H. Alpha terpineol: A potential anticancer agent which acts through suppressing NF-κB signalling. Anticancer. Res. 2010, 30, 1911–1919. [Google Scholar] [PubMed]
- Russo, E.B. Taming THC: Potential cannabis synergy and phytocannabinoid-terpenoid entourage effects. Br. J. Pharmacol. 2011, 163, 1344–1364. [Google Scholar] [CrossRef] [PubMed]
- Kim, J.T.; Ren, C.J. Treatment with lavender aromatherapy in the post-anesthesia care unit reduces opioid requirements of morbidly obese patients undergoing laparoscopic adjustable gastric banding. Obes. Surg. 2007, 17, 920–925. [Google Scholar] [CrossRef] [PubMed]
- Juergens, U.R.; Engelen, T. Inhibitory activity of 1, 8-cineol (eucalyptol) on cytokine production in cultured human lymphocytes and monocytes. Pulm. Pharmacol. Ther. 2004, 17, 281–287. [Google Scholar] [CrossRef] [PubMed]
- Köppen Climate Classification. Encyclopedia Britannica. Available online: https://www.britannica.com/science/Koppen-climate-classification (accessed on 11 April 2022).





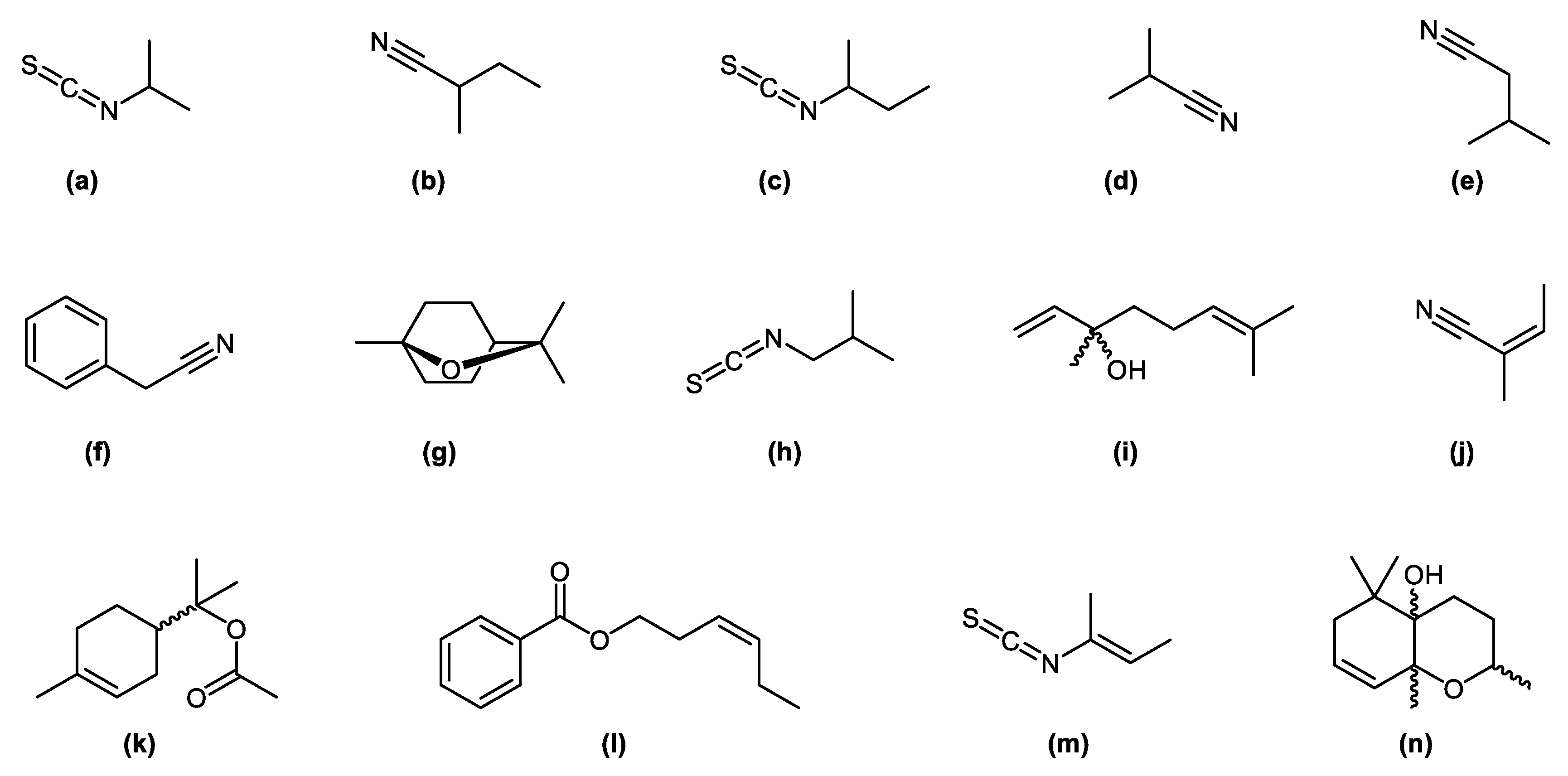
| Compounds | Peak Area% | Retention Time | Retention Index a | Class | Identification b |
|---|---|---|---|---|---|
| Isobutyronitrile (d) | 15.4 | 2.124 | 625 | Nitriles | RI, MS |
| (Z)-2-Methyl-3-butenenitrile (j) | 0.5 | 2.371 | 705 | Nitriles | RI, MS |
| 2-Methylbutanenitrile (b) | 21.4 | 2.491 | 717 | Nitriles | RI, MS |
| 3-Methylbutanenitrile (e) | 8.2 | 2.528 | 731 | Nitriles | RI, MS |
| (E)-2-Methyl-3-butenenitrile | tr c | 2.603 | 741 | Nitriles | RI, MS |
| Isopropyl isothiocyanate (a) | 31.0 | 3.321 | 837 | Sulphur containing compounds | RI, MS |
| (E)-2-Hexenal | tr | 3.523 | 837 | Other | RI, MS |
| Methyl isopropylcarbamate | tr | 3.798 | 846 | Other | RI, MS |
| (E)-1-Isothiocyanato-2-butene (m) | 0.2 | 4.167 | 872 | Sulphur containing compounds | RI, MS |
| 2-Butyl isothiocyanate (c) | 18.1 | 4.571 | 909 | Sulphur containing compounds | RI, MS |
| Isobutyl isothiocyanate (h) | 0.7 | 4.937 | 931 | Sulphur containing compounds | RI, MS |
| Benzaldehyde | tr | 5.169 | 952 | Other | RI, MS |
| 6-Methyl-5-hepten-2-one | tr | 5.440 | 981 | Other | RI, MS |
| Myrcene | tr | 5.496 | 988 | Monoterpene | RI, MS |
| p-Cymene | tr | 6.343 | 1020 | Monoterpene | RI, MS |
| Limonene | tr | 6.461 | 1024 | Monoterpene | RI, MS |
| Eucalyptol (g) | 0.8 | 6.554 | 1026 | Monoterpene | RI, MS |
| γ-Terpinene | tr | 7.064 | 1054 | Monoterpene | RI, MS |
| cis-Linalool oxide (furanoid) | tr | 7.339 | 1067 | Monoterpene | RI, MS |
| trans-Linalool oxide (furanoid) | tr | 7.706 | 1084 | Monoterpene | RI, MS |
| Linalool (i) | 0.6 | 7.938 | 1095 | Monoterpene | RI, MS |
| Nonanal | tr | 8.050 | 1100 | Other | RI, MS |
| Benzyl cyanide (f) | 1.9 | 8.918 | 1124 | Nitriles | RI, MS |
| Camphor | tr | 9.281 | 1141 | Monoterpene | RI, MS |
| Terpinen-4-ol | tr | 10.066 | 1174 | Monoterpene | RI, MS |
| p-Cymen-9-ol | tr | 10.167 | 1186 | Monoterpene | RI, MS |
| α-Terpineol | tr | 10.407 | 1204 | Monoterpene | RI, MS |
| O-Methylthymol | tr | 11.474 | 1232 | Monoterpene | RI, MS |
| Cumin aldehyde | tr | 11.644 | 1238 | Monoterpene | RI, MS |
| Piperitone | tr | 11.949 | 1249 | Monoterpene | RI, MS |
| Vitispirane A | tr | 12.651 | 1281 | Other | RI, MS |
| Dihydroedulane IIA | tr | 12.883 | 1289 | Other | RI, MS |
| Thymol | tr | 13.010 | 1291 | Monoterpene | RI, MS |
| Theaspirane A | tr | 13.552 | 1319 | Other | RI, MS |
| α-Terpinyl acetate (k) | 0.5 | 14.267 | 1346 | Monoterpene | RI, MS |
| Hydroxydihydroedulan (n) | 0.3 | 16.744 | 1453 | Other | RI, MS |
| β-(E)-Ionone | tr | 17.611 | 1486 | Other | RI, MS |
| Dodecanoic acid | tr | 19.426 | 1565 | Other | RI, MS |
| (Z)-3-Hexen-1-yl benzoate (l) | 0.3 | 19.789 | 1565 | Other | RI, MS |
| Cyclooctasulfur | tr | 30.110 | 2014 | Sulphur containing compound | RI, MS |
Publisher’s Note: MDPI stays neutral with regard to jurisdictional claims in published maps and institutional affiliations. |
© 2022 by the authors. Licensee MDPI, Basel, Switzerland. This article is an open access article distributed under the terms and conditions of the Creative Commons Attribution (CC BY) license (https://creativecommons.org/licenses/by/4.0/).
Share and Cite
Alsharif, B.; Babington, G.A.; Radulović, N.; Boylan, F. Volatiles of Capparis cartilaginea Decne. from Saudi Arabia. Plants 2022, 11, 2518. https://doi.org/10.3390/plants11192518
Alsharif B, Babington GA, Radulović N, Boylan F. Volatiles of Capparis cartilaginea Decne. from Saudi Arabia. Plants. 2022; 11(19):2518. https://doi.org/10.3390/plants11192518
Chicago/Turabian StyleAlsharif, Bashaer, Grace Adebusola Babington, Niko Radulović, and Fabio Boylan. 2022. "Volatiles of Capparis cartilaginea Decne. from Saudi Arabia" Plants 11, no. 19: 2518. https://doi.org/10.3390/plants11192518
APA StyleAlsharif, B., Babington, G. A., Radulović, N., & Boylan, F. (2022). Volatiles of Capparis cartilaginea Decne. from Saudi Arabia. Plants, 11(19), 2518. https://doi.org/10.3390/plants11192518

