Mining the Roles of Cucumber DUF966 Genes in Fruit Development and Stress Response
Abstract
:1. Introduction
2. Results
2.1. Identification of CsDUF966 Genes from Cucumber
2.2. Chromosomal Distribution and Ka/Ks Analysis of CsDUF966
2.3. Gene Structure and Motif Composition of CsDUF966s
2.4. Cis-Acting Element Analysis of CsDUF966s
2.5. Transcriptomic Profiling of CsDUF966 Genes
2.6. Post-Transcription Regulation of miRNA to CsDUF966
2.7. Experimental Validation the Subcellular Localization of CsDUF966s
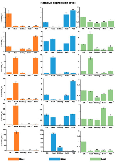
2.8. Expression Analysis of CsDUF966
3. Discussion
4. Materials and Methods
4.1. Identification of CsDUF966 Family Members
4.2. Phylogenetic, Chromosomal Distribution, and Ka/Ks Analysis
4.3. Protein Characteristics, Gene Structure, and Domain Analysis
4.4. GO Annotation and Expression Pattern Profiling
4.5. Prediction the miRNA Targeting to CsDUF966
4.6. Subcellular Localization Analysis Assays
4.7. qRT-PCR Analysis
5. Conclusions
Supplementary Materials
Author Contributions
Funding
Data Availability Statement
Conflicts of Interest
Abbreviations
References
- Bateman, A.; Coggill, P.; Finn, R.D. Dufs: Families in search of function. Acta Crystallogr. Sect. F 2010, 66, 1148–1152. [Google Scholar] [CrossRef]
- Zhou, X.; Zhu, X.; Shao, W.; Song, J.; Jiang, W.; He, Y.; Yin, J.; Ma, D.; Qiao, Y. Genome-wide mining of wheat DUF966 gene family provides new insights into salt stress responses. Front. Plant Sci. 2020, 11, 569838. [Google Scholar] [CrossRef]
- Yang, S.-Q.; Li, W.-Q.; Miao, H.; Gan, P.-F.; Qiao, L.; Chang, Y.-L.; Shi, C.-H.; Chen, K.-M. Rel2, a gene encoding an unknown function protein which contains DUF630 and DUF632 domains controls leaf rolling in rice. Rice 2016, 9, 37. [Google Scholar] [CrossRef]
- Li, W.-C.; Zhao, S.-Q. Specific gene silencing of At1g13770 and At2g23470 by artificial microRNAs in arabidopsis. Yi Chuan 2012, 34, 348–355. [Google Scholar] [CrossRef]
- Yang, Y.; Yoo, C.G.; Winkeler, K.A.; Collins, C.M.; Hinchee, M.A.W.; Jawdy, S.S.; Gunter, L.E.; Engle, N.L.; Pu, Y.; Yang, X.; et al. Overexpression of a domain of unknown function 231-containing protein increases o-xylan acetylation and cellulose biosynthesis in populus. Biotechnol. Biofuels 2017, 10, 311. [Google Scholar] [CrossRef]
- Qin, D.; Xie, S.; Liu, G.; Ni, Z.; Yao, Y.; Sun, Q.; Peng, H. Isolation and functional characterization of heat-stressresponsive gene tawtf1 from wheat. Chin. Bull. Bot. 2013, 48, 34–41. [Google Scholar]
- Li, L.; Ye, T.; Guan, Y.; Lv, M.; Xie, C.; Xu, J.; Gao, X.; Zhu, J.; Cai, L.; Xu, Z. Genome-wide identification and analyses of the rice OsDUF936 family. Biotechnol. Biotechnol. Equip. 2018, 32, 309–315. [Google Scholar] [CrossRef]
- Luo, C.; Guo, C.; Wang, W.; Wang, L.; Chen, L. Overexpression of a new stress-repressive gene OsDSR2 encoding a protein with a DUF966 domain increases salt and simulated drought stress sensitivities and reduces aba sensitivity in rice. Plant Cell Rep. 2014, 33, 323–336. [Google Scholar] [CrossRef]
- Zhu, Y.; Jia, J.; Yang, L.; Xia, Y.; Zhang, H.-L.; Jia, J.-B.; Zhou, R.; Nie, P.; Yin, J.; Ma, D.; et al. Identification of cucumber circular RNAs responsive to salt stress. BMC Plant Biol. 2019, 19, 164. [Google Scholar] [CrossRef]
- Zhu, Y.-X.; Gong, H.-J.; Yin, J.-L. Role of silicon in mediating salt tolerance in plants: A review. Plants 2019, 8, 147. [Google Scholar] [CrossRef] [PubMed]
- Yin, J.; Wang, L.; Zhao, J.; Li, Y.; Huang, R.; Jiang, X.; Zhou, X.; Zhu, X.; He, Y.; He, Y.; et al. Genome-wide characterization of the C2H2 zinc-finger genes in cucumis sativus and functional analyses of four CsZFPs in response to stresses. BMC Plant Biol. 2020, 20, 359. [Google Scholar] [CrossRef]
- Sytar, O.; Kosyan, A.; Taran, N.; Smetanska, I.; Pflanzen, G. Anthocyanin’s as marker for selection of buckwheat plants with high rutin content. Gesunde Pflanz. 2014, 66, 165–169. [Google Scholar] [CrossRef]
- Villagómez-Aranda, A.L.; Feregrino-Pérez, A.A.; García-Ortega, L.F.; González-Chavira, M.M.; Torres-Pacheco, I.; Guevara-González, R.G. Activating stress memory: Eustressors as potential tools for plant breeding. Plant Cell Rep. 2022, 41, 1481–1498. [Google Scholar] [CrossRef]
- Haroon, M.; Wang, X.; Afzal, R.; Zafar, M.M.; Idrees, F.; Batool, M.; Khan, A.S.; Imran, M. Novel plant breeding techniques shake hands with cereals to increase production. Plants 2022, 11, 1052. [Google Scholar] [CrossRef]
- Witcombe, J.R.; Hollington, P.A.; Howarth, C.J.; Reader, S.; Steele, K.A. Breeding for abiotic stresses for sustainable agriculture. Philos. Trans. R. Soc. B Biol. Sci. 2008, 363, 703–716. [Google Scholar] [CrossRef]
- Zhu, Y.-X.; Yang, L.; Liu, N.; Yang, J.; Zhou, X.-K.; Xia, Y.-C.; He, Y.; He, Y.-Q.; Gong, H.-J.; Ma, D.-F.; et al. Genome-wide identification, structure characterization, and expression pattern profiling of aquaporin gene family in cucumber. BMC Plant Biol. 2019, 19, 345. [Google Scholar] [CrossRef]
- Huang, S.; Li, R.; Zhang, Z.; Li, L.; Gu, X.; Fan, W.; Lucas, W.J.; Wang, X.; Xie, B.; Ni, P.; et al. The genome of the cucumber, Cucumis sativus L. Nat. Genet. 2009, 41, 1275–1281. [Google Scholar] [CrossRef] [PubMed]
- Yin, J.L.; Liu, M.Y.; Ma, D.F.; Wu, J.W.; Li, S.L.; Zhu, Y.X.; Han, B. Identification of circular RNAs and their targets during tomato fruit ripening. Postharvest Biol. Technol. 2018, 136, 90–98. [Google Scholar] [CrossRef]
- Zhu, Y.; Jiang, X.; Han, X.; Han, S.; Chen, Z.; Yin, J.; Liu, Y. Characterization the coding and non-coding RNA components in the transcriptome of invasion weed Alternanthera philoxeroides. Not. Bot. Horti Agrobot. 2021, 49, 12242. [Google Scholar] [CrossRef]
- Zheng, L.; Zhang, X.; Zhang, H.; Gu, Y.; Huang, X.; Huang, H.; Liu, H.; Zhang, J.; Hu, Y.; Li, Y.; et al. The miR164-dependent regulatory pathway in developing maize seed. Mol. Genet. Genom. 2019, 294, 501–517. [Google Scholar] [CrossRef]
- Zhan, J.; Chu, Y.; Wang, Y.; Diao, Y.; Zhao, Y.; Liu, L.; Wei, X.; Meng, Y.; Li, F.; Ge, X. The miR164-GhCUC2-GhBRC1 module regulates plant architecture through abscisic acid in cotton. Plant Biotechnol. J. 2021, 19, 1839–1851. [Google Scholar] [CrossRef] [PubMed]
- Wang, W.-Q.; Wang, J.; Wu, Y.-Y.; Li, D.-W.; Allan, A.C.; Yin, X.-R. Genome-wide analysis of coding and non-coding RNA reveals a conserved miR164-nac regulatory pathway for fruit ripening. New Phytol. 2020, 225, 1618–1634. [Google Scholar] [CrossRef]
- Zhao, C.; Ma, J.; Zhang, Y.; Yang, S.; Feng, X.; Yan, J. The miR166 mediated regulatory module controls plant height by regulating gibberellic acid biosynthesis and catabolism in soybean. J. Integr. Plant Biol. 2022, 64, 995–1006. [Google Scholar] [CrossRef] [PubMed]
- Burkhardt, A.; Day, B. Transcriptome and small RNAome dynamics during a resistant and susceptible interaction between cucumber and downy mildew. Plant Genome 2016, 9, e0069. [Google Scholar] [CrossRef] [PubMed]
- Zhu, H.; Hu, F.; Wang, R.; Zhou, X.; Sze, S.-H.; Liou, L.W.; Barefoot, A.; Dickman, M.; Zhang, X. Arabidopsis argonaute10 specifically sequesters miR166/165 to regulate shoot apical meristem development. Cell 2011, 145, 242–256. [Google Scholar] [CrossRef]
- Jung, J.-H.; Park, C.-M. miR166/165 genes exhibit dynamic expression patterns in regulating shoot apical meristem and floral development in arabidopsis. Planta 2007, 225, 1327–1338. [Google Scholar] [CrossRef]
- Singh, A.; Roy, S.; Singh, S.; Das, S.S.; Gautam, V.; Yadav, S.; Kumar, A.; Singh, A.; Samantha, S.; Sarkar, A.K. Phytohormonal crosstalk modulates the expression of miR166/165s, target class III HD-ZIPs, and kanadi genes during root growth in Arabidopsis thaliana. Sci. Rep. 2017, 7, 3408. [Google Scholar] [CrossRef]
- Prasad, A.; Sharma, N.; Chirom, O.; Prasad, M. The Sly-miR166-SlyHB module acts as a susceptibility factor during TOLCNDV infection. Theor. Appl. Genet. 2022, 135, 233–242. [Google Scholar] [CrossRef] [PubMed]
- Clepet, C.; Devani, R.S.; Boumlik, R.; Hao, Y.; Morin, H.; Marcel, F.; Verdenaud, M.; Mania, B.; Brisou, G.; Citerne, S.; et al. The miR166–SlHB15a regulatory module controls ovule development and parthenocarpic fruit set under adverse temperatures in tomato. Mol. Plant 2021, 14, 1185–1198. [Google Scholar] [CrossRef] [PubMed]
- Li, X.; Xie, X.; Li, J.; Cui, Y.; Hou, Y.; Zhai, L.; Wang, X.; Fu, Y.; Liu, R.; Bian, S. Conservation and diversification of the miR166 family in soybean and potential roles of newly identified miR166s. BMC Plant Biol. 2017, 17, 32. [Google Scholar] [CrossRef] [PubMed]
- Kitazumi, A.; Kawahara, Y.; Onda, T.S.; De Koeyer, D.; de los Reyes, B.G. Implications of miR166 and miR159 induction to the basal response mechanisms of an andigena potato (Solanum tuberosum subsp. Andigena) to salinity stress, predicted from network models in arabidopsis. Genome 2015, 58, 13–24. [Google Scholar] [CrossRef] [PubMed]
- Lin, W.-Y.; Lin, Y.-Y.; Chiang, S.-F.; Syu, C.; Hsieh, L.-C.; Chiou, T.-J. Evolution of microRNA827 targeting in the plant kingdom. New Phytol. 2018, 217, 1712–1725. [Google Scholar] [CrossRef]
- Márquez Gutiérrez, R.; Cherubino Ribeiro, T.H.; de Oliveira, R.R.; Benedito, V.A.; Chalfun-Junior, A. Genome-wide analyses of MADs-box genes in Humulus lupulus L. reveal potential participation in plant development, floral architecture, and lupulin gland metabolism. Plants 2022, 11, 1237. [Google Scholar] [CrossRef] [PubMed]
- Li, Z.; Wang, C.; Wang, K.; Zhao, J.; Shao, J.; Chen, H.; Zhou, M.; Zhu, X. Metal tolerance protein encoding gene family in Fagopyrum tartaricum: Genome-wide identification, characterization and expression under multiple metal stresses. Plants 2022, 11, 850. [Google Scholar] [CrossRef]
- Thompson, J.D.; Higgins, D.G.; Gibson, T.J. Clustal w: Improving the sensitivity of progressive multiple sequence alignment through sequence weighting, position-specific gap penalties and weight matrix choice. Nucleic Acids Res. 1994, 22, 4673–4680. [Google Scholar] [CrossRef]
- Yang, Y.; Miao, Y.; Zhong, S.; Fang, Q.; Wang, Y.; Dong, B.; Zhao, H. Genome-wide identification and expression analysis of XTH gene family during flower-opening stages in osmanthus fragrans. Plants 2022, 11, 1015. [Google Scholar] [CrossRef]
- Song, J.H.; Ma, D.F.; Yin, J.L.; Yang, L.; He, Y.Q.; Zhu, Z.W.; Tong, H.W.; Chen, L.; Zhu, G.; Liu, Y.K.; et al. Genome-wide characterization and expression profiling of squamosa promoter binding protein-like (SBP) transcription factors in wheat (Triticum aestivum L.). Agronomy 2019, 9, 527. [Google Scholar] [CrossRef]
- He, Y.Q.; Huang, W.D.; Yang, L.; Li, Y.T.; Lu, C.; Zhu, Y.X.; Ma, D.F.; Yin, J.L. Genome-wide analysis of ethylene-insensitive3 (EIN3/EIL) in Triticum aestivum. Crop Sci. 2020, 60, 2019–2037. [Google Scholar]
- Chen, C.; Chen, H.; Zhang, Y.; Thomas, H.R.; Frank, M.H.; He, Y.; Xia, R. Tbtools: An integrative toolkit developed for interactive analyses of big biological data. Mol. Plant 2020, 13, 1194–1202. [Google Scholar] [CrossRef]
- Sharma, H.; Sharma, A.; Rajput, R.; Sidhu, S.; Dhillon, H.; Verma, P.C.; Pandey, A.; Upadhyay, S.K. Molecular characterization, evolutionary analysis, and expression profiling of BOR genes in important cereals. Plants 2022, 11, 911. [Google Scholar] [CrossRef]
- Xiong, J.; Chen, D.; Su, T.; Shen, Q.; Wu, D.; Zhang, G. Genome-wide identification, expression pattern and sequence variation analysis of SnRK family genes in barley. Plants 2022, 11, 975. [Google Scholar] [CrossRef] [PubMed]
- Ma, S.; Zhang, Z.; Long, Y.; Huo, W.; Zhang, Y.; Yang, X.; Zhang, J.; Li, X.; Du, Q.; Liu, W.; et al. Evolutionary history and functional diversification of the jmjc domain-containing histone demethylase gene family in plants. Plants 2022, 11, 1041. [Google Scholar] [CrossRef] [PubMed]
- Huang, W.D.; He, Y.Q.; Yang, L.; Lu, C.; Zhu, Y.X.; Sun, C.; Ma, D.F.; Yin, J.L. Genome-wide analysis of growth-regulating factors (GRFs) in Triticum aestivum. PeerJ 2021, 9, e10701. [Google Scholar] [CrossRef]
- Conesa, A.; Gotz, S.; Garcia-Gomez, J.M.; Terol, J.; Talon, M.; Robles, M. Blast2GO: A universal tool for annotation, visualization and analysis in functional genomics research. Bioinformatics 2005, 21, 3674–3676. [Google Scholar] [CrossRef]
- Fang, Z.; Jiang, W.; He, Y.; Ma, D.; Liu, Y.; Wang, S.; Zhang, Y.; Yin, J. Genome-wide identification, structure characterization, and expression profiling of DOF transcription factor gene family in wheat (Triticum aestivum L.). Agronomy 2020, 10, 294. [Google Scholar] [CrossRef]
- Wang, W.; Cui, H.; Xiao, X.; Wu, B.; Sun, J.; Zhang, Y.; Yang, Q.; Zhao, Y.; Liu, G.; Qin, T. Genome-wide identification of cotton (Gossypium spp.) trehalose-6-phosphate phosphatase (TPP) gene family members and the role of GhTPP22 in the response to drought stress. Plants 2022, 11, 1079. [Google Scholar] [CrossRef]
- Yin, J.; Yan, J.; Hou, L.; Jiang, L.; Xian, W.; Guo, Q. Identification and functional deciphering suggested the regulatory roles of long intergenic ncRNAs (lincRNAs) in increasing grafting pepper resistance to Phytophthora capsici. BMC Genom. 2021, 22, 868. [Google Scholar] [CrossRef]
- Xiao, Y.; Zhang, J.; Li, Y.; Hsiang, T.; Zhang, X.; Zhu, Y.; Du, X.; Yin, J.; Li, J. An efficient overexpression method for studying genes in Ricinus that transport vectorized agrochemicals. Plant Methods 2022, 18, 11. [Google Scholar] [CrossRef]
- Li, Y.; Liu, X.; Xiao, Y.; Wen, Y.; Li, K.; Ma, Z.; Yang, L.; Zhu, Y.; Yin, J. Genome-wide characterization and function analysis uncovered roles of wheat LIMs in responding to adverse stresses and TaLIM8-4D function as a susceptible gene. Plant Genome 2022, 15, e20246. [Google Scholar] [CrossRef]








| Name | Gene ID | Sub. Loc. | Len. | MW | pI | Stab. | Ali. | GRAVY |
|---|---|---|---|---|---|---|---|---|
| CsDUF966_1.b | CsaV3_1G033680.1 | Nucleus | 512 | 57.0 | 8.78 | 60.62 | 78.48 | −0.554 |
| CsDUF966_4.c | CsaV3_4G004680.1 | Nucleus | 291 | 33.0 | 5.31 | 55.48 | 56.56 | −1.102 |
| CsDUF966_5.b | CsaV3_5G006900.1 | Nucleus | 279 | 31.4 | 8.21 | 59.77 | 66.67 | −0.78 |
| CsDUF966_6.a | CsaV3_6G014330.1 | Nucleus | 520 | 58.0 | 7.95 | 64.91 | 62.62 | −0.803 |
| CsDUF966_7.c | CsaV3_7G031560.1 | Nucleus | 406 | 45.1 | 8.3 | 43.11 | 60.74 | −0.865 |
| CsDUF966_Un1.c | CsaV3_UNG146140.1 | Nucleus | 199 | 23.3 | 6.3 | 60.35 | 71.01 | −1.048 |
| CsDUF966_Un2.c | CsaV3_UNG137030.1 | Nucleus | 199 | 23.3 | 6.3 | 60.35 | 71.01 | −1.048 |
| CsDUF966_Un3.c | CsaV3_UNG218500.1 | Nucleus | 284 | 33.0 | 7.74 | 57.42 | 65.49 | −1.035 |
Publisher’s Note: MDPI stays neutral with regard to jurisdictional claims in published maps and institutional affiliations. |
© 2022 by the authors. Licensee MDPI, Basel, Switzerland. This article is an open access article distributed under the terms and conditions of the Creative Commons Attribution (CC BY) license (https://creativecommons.org/licenses/by/4.0/).
Share and Cite
Tian, J.; Li, Y.; Hu, Y.; Zhong, Q.; Yin, J.; Zhu, Y. Mining the Roles of Cucumber DUF966 Genes in Fruit Development and Stress Response. Plants 2022, 11, 2497. https://doi.org/10.3390/plants11192497
Tian J, Li Y, Hu Y, Zhong Q, Yin J, Zhu Y. Mining the Roles of Cucumber DUF966 Genes in Fruit Development and Stress Response. Plants. 2022; 11(19):2497. https://doi.org/10.3390/plants11192497
Chicago/Turabian StyleTian, Jie, Yiting Li, Yifeng Hu, Qiwen Zhong, Junliang Yin, and Yongxing Zhu. 2022. "Mining the Roles of Cucumber DUF966 Genes in Fruit Development and Stress Response" Plants 11, no. 19: 2497. https://doi.org/10.3390/plants11192497
APA StyleTian, J., Li, Y., Hu, Y., Zhong, Q., Yin, J., & Zhu, Y. (2022). Mining the Roles of Cucumber DUF966 Genes in Fruit Development and Stress Response. Plants, 11(19), 2497. https://doi.org/10.3390/plants11192497

