Nature-Based Solutions for Restoring an Agricultural Area Contaminated by an Oil Spill
Abstract
:1. Introduction
2. Materials and Methods
2.1. Site Description and Sampling
2.2. Soil Characterization
2.3. Selection of the Hydrocarbon-Oxidizing Bacteria
2.4. Characterization of the Selected Hydrocarbon-Oxidizing Bacteria
2.5. Setting Up the Biodegradation Experimentation
- NA (natural attenuation): weekly moistening.
- L (landfarming): weekly moistening + mixing.
- LB (landfarming + bioaugmentation): weekly moistening + mixing + microbial inoculation at the initial time.
2.6. GC-MS Analysis of Samples
2.7. In Vitro Assessment of PGP Properties and Inoculum Preparation
2.8. Phytoremediation Trials: Micro- and Mesocosm Tests
2.9. Next-Generation Sequencing (NGS) Analysis_Ion Torrent Sequencing
2.10. Statistical Analysis
3. Results and Discussion
3.1. Assessment of the Soil Biodegradation Potential
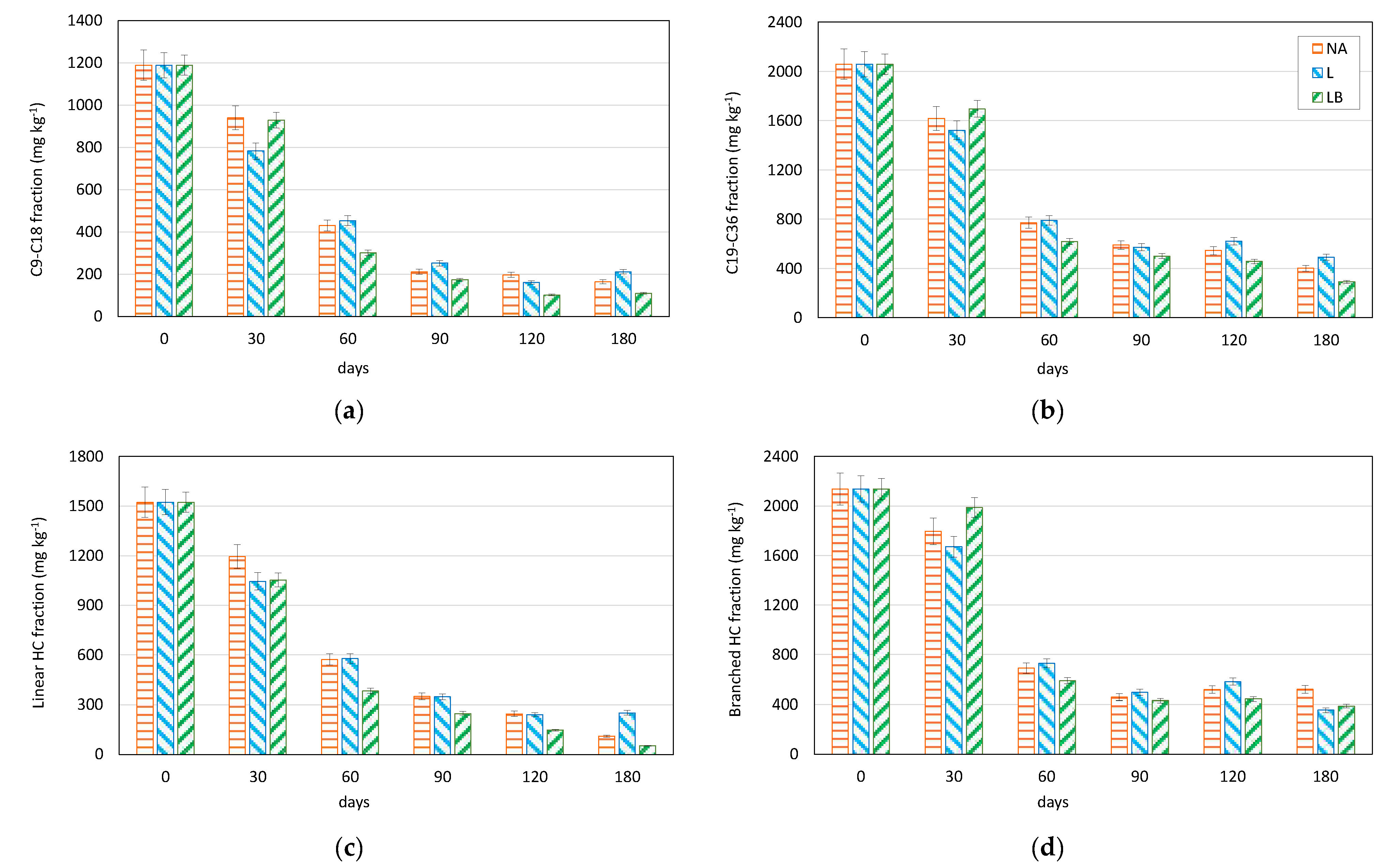
3.2. Evaluation of the Biodegradation Effectiveness
3.3. Metagenomic Analysis
3.4. PGPB Inoculum Features
3.5. Effect of PGPB on Biomass
3.6. Effect of Plants on Biodegradation
4. Conclusions
Author Contributions
Funding
Institutional Review Board Statement
Informed Consent Statement
Data Availability Statement
Acknowledgments
Conflicts of Interest
References
- Bhardwaj, N.; Bhaskarwar, A.N. A review on sorbent devices for oil-spill control. Environ. Pollut. 2018, 243, 1758–1771. [Google Scholar] [CrossRef] [PubMed]
- Vocciante, M.; Reverberi, A.P.; Dovì, V.G. Approximate solution of the inverse Richards’ problem. Appl. Math. Model. 2016, 40, 5364–5376. [Google Scholar] [CrossRef]
- Vocciante, M.; Reverberi, A.P.; Pietrelli, L.; Dovì, V.G. Improved Remediation Processes through Cost-effective Estimation of Soil Properties from Surface Measurements. J. Clean. Prod. 2017, 167, 680–686. [Google Scholar] [CrossRef]
- Vairo, T.; Magrì, S.; Qualgliati, M.; Reverberi, A.P.; Fabiano, B. An oil pipeline catastrophic failure: Accident scenario modelling and emergency response development. Chem. Eng. Trans. 2017, 57, 373–378. [Google Scholar]
- Vocciante, M.; Finocchi, A.; De Folly D’Auris, A.; Conte, A.; Tonziello, J.; Pola, A.; Reverberi, A.P. Enhanced oil spill remediation by adsorption with interlinked multilayered graphene. Materials 2019, 12, 2231. [Google Scholar] [CrossRef]
- Carmody, O.; Frost, R.; Xi, Y.; Kokot, S. Adsorption of hydrocarbons on organo-clays—Implications for oil spill remediation. J. Colloid Interface Sci. 2007, 305, 17–24. [Google Scholar] [CrossRef]
- Kyriakopoulos, G.; Doulia, D. Morphology of polymeric resins in adsorption of organic pesticides. Fresen. Environ. Bull. 2007, 16, 731–734. [Google Scholar]
- Pietrelli, L.; Ferro, S.; Reverberi, A.P.; Vocciante, M. Removal of polyethylene glycols from wastewater: A comparison of different approaches. Chemosphere 2021, 273, 129725. [Google Scholar] [CrossRef]
- Vocciante, M.; De Folly D’Auris, A.; Reverberi, A.P. A novel graphene-based sorbent for oil spill cleanup. Materials 2022, 5, 609. [Google Scholar] [CrossRef]
- Vocciante, M.; D’Auris, A.D.F.; Finocchi, A.; Tagliabue, M.; Bellettato, M.; Ferrucci, A.; Reverberi, A.P.; Ferro, S. Adsorption of ammonium on clinoptilolite in presence of competing cations: Investigation on groundwater remediation. J. Clean. Prod. 2018, 198, 480–487. [Google Scholar] [CrossRef]
- Pietrelli, L.; Francolini, I.; Piozzi, A.; Sighicelli, M.; Vocciante, M. Chromium (III) Removal from Wastewater by Chitosan Flakes. Appl. Sci. 2020, 10, 1925. [Google Scholar] [CrossRef]
- Pietrelli, L.; Ippolito, N.M.; Ferro, S.; Dovì, V.G.; Vocciante, M. Removal of Mn and As from drinking water by red mud and pyrolusite. J. Environ. Manag. 2019, 237, 526–533. [Google Scholar] [CrossRef]
- Pietrelli, L.; Ferro, S.; Vocciante, M. Raw materials recovery from spent hydrochloric acid-based galvanizing wastewater. Chem. Eng. J. 2018, 341, 539–546. [Google Scholar] [CrossRef]
- Pietrelli, L.; Ferro, S.; Vocciante, M. Eco-friendly and cost-effective strategies for metals recovery from Printed Circuit Boards. Renew. Sust. Energ. Rev. 2019, 112, 317–323. [Google Scholar] [CrossRef]
- Yati, I.; Aydin, G.O.; Sonmez, H.B. Cross-linked poly (tetrahydrofuran) as promising sorbent for organic solvent/oil spill. J. Hazard. Mater. 2016, 309, 210–218. [Google Scholar] [CrossRef]
- Pavel, L.V.; Gavrilescu, M. Overview of ex situ decontamination techniques for soil cleanup. Environ. Eng. Manage. J. 2008, 7, 815–834. [Google Scholar] [CrossRef]
- Liu, J.W.; Wei, K.H.; Xu, S.W.; Cui, J.; Ma, J.; Xiao, X.L.; Xi, B.D.; He, X.S. Surfactant-enhanced remediation of oil-contaminated soil and groundwater: A review. Sci. Total Environ. 2021, 756, 144142. [Google Scholar] [CrossRef]
- Vocciante, M.; Dovì, V.G.; Ferro, S. Sustainability in ElectroKinetic Remediation processes: A critical analysis. Sustainability 2021, 13, 770. [Google Scholar] [CrossRef]
- Pietrelli, L.; Ferro, S.; Reverberi, A.P.; Vocciante, M. Removal and recovery of heavy metals from tannery sludge subjected to plasma pyro-gasification process. J. Clean. Prod. 2020, 273, 123166. [Google Scholar] [CrossRef]
- Hou, D.; Bolan, N.S.; Tsang, D.C.W.; Kirkham, M.B.; O’Connor, D. Sustainable soil use and management: An interdisciplinary and systematic approach. Sci. Total Environ. 2020, 729, 138961. [Google Scholar] [CrossRef]
- Grifoni, M.; Franchi, E.; Fusini, D.; Vocciante, M.; Barbafieri, M.; Pedron, F.; Rosellini, I.; Petruzzelli, G. Soil remediation: Towards a resilient and adaptive approach to deal with the ever-changing environmental challenges. Environments 2022, 9, 18. [Google Scholar] [CrossRef]
- Vocciante, M.; Caretta, A.; Bua, L.; Bagatin, R.; Franchi, E.; Petruzzelli, G.; Ferro, S. Enhancements in phytoremediation technology: Environmental assessment including different options of biomass disposal and comparison with a consolidated approach. J. Environ. Manag. 2019, 237, 560–568. [Google Scholar] [CrossRef] [PubMed]
- Vocciante, M.; De Follis D’Auris, A.; Franchi, E.; Petruzzelli, G.; Ferro, S. CO2 footprint analysis of consolidated and innovative technologies in remediation activities. J. Clean. Prod. 2021, 297, 126723. [Google Scholar] [CrossRef]
- Pedron, F.; Grifoni, M.; Barbafieri, M.; Petruzzelli, G.; Franchi, E.; Samà, C.; Gila, L.; Zanardi, S.; Palmery, S.; Proto, A.; et al. New light on phytoremediation: The use of luminescent solar concentrators. Appl. Sci. 2021, 11, 1923. [Google Scholar] [CrossRef]
- Conte, A.; Chiaberge, S.; Pedron, F.; Barbafieri, M.; Petruzzelli, G.; Vocciante, M.; Franchi, E.; Pietrini, I. Dealing with complex contamination: A novel approach with a combined bio-phytoremediation strategy and effective analytical techniques. J. Environ. Manag. 2021, 288, 112381. [Google Scholar] [CrossRef]
- Cirrincione, L.; Marvuglia, A.; Scaccianoce, G. Assessing the effectiveness of green roofs in enhancing the energy and indoor comfort resilience of urban buildings to climate change: Methodology proposal and application. Build. Environ. 2021, 205, 108198. [Google Scholar] [CrossRef]
- Pandey, V.C.; Gajic, G.; Sharma, P.; Roy, M. Adaptive phytoremediation practices for sustaining ecosystem services. In Adaptive Phytoremediation Practices: Resilience to Climate Change; Elsevier: Amsterdam, The Netherlands, 2022; pp. 181–225. [Google Scholar] [CrossRef]
- Cirrincione, L.; Di Dio, S.; Peri, G.; Scaccianoce, G.; Schillaci, D.; Rizzo, G. A Win-Win Scheme for Improving the Environmental Sustainability of University Commuters’ Mobility and Getting Environmental Credits. Energies 2022, 15, 396. [Google Scholar] [CrossRef]
- Ashraf, S.S.; Ali, Q.; Zahir, Z.A.; Ashraf, S.S.; Asghar, H.N. Phytoremediation: Environmentally sustainable way for reclamation of heavy metal polluted soils. Ecotoxicol. Environ. Saf. 2019, 174, 714–727. [Google Scholar] [CrossRef]
- Pedron, F.; Grifoni, M.; Barbafieri, M.; Petruzzelli, G.; Rosellini, I.; Franchi, E.; Bagatin, R.; Vocciante, M. Applicability of a Freundlich-like model for plant uptake at an industrial contaminated site with a high variable arsenic concentration. Environments 2017, 4, 67. [Google Scholar] [CrossRef]
- Petruzzelli, G.; Grifoni, M.; Barbafieri, M.; Rosellini, I.; Pedron, F. Sorption: Release processes in soil-the basis of phytoremediation efficiency. In Phytoremediation; Ansari, A.A., Gill, S.S., Gill, R., Lanza, G.R., Newman, L., Eds.; Springer: Cham, Switzerland, 2018; pp. 91–112. [Google Scholar] [CrossRef]
- Evangelou, M.W.H.; Ebel, M.; Schaeffer, A. Chelate assisted phytoextraction of heavy metals from soil. Effect, mechanism, toxicity, and fate of chelating agents. Chemosphere 2007, 68, 989–1003. [Google Scholar] [CrossRef]
- Sheoran, V.; Singh Sheoran, A.; Poonia, P. Factors affecting phytoextraction: A review. Pedosphere 2016, 26, 148–166. [Google Scholar] [CrossRef]
- Barbafieri, M.; Pedron, F.; Petruzzelli, G.; Rosellini, I.; Franchi, E.; Bagatin, R.; Vocciante, M. Assisted Phytoremediation of a Multi-Contaminated Soil: Investigation on Arsenic and Lead Combined Mobilization and Removal. J. Environ. Manag. 2017, 203, 316–329. [Google Scholar] [CrossRef] [PubMed]
- Manoj, S.R.; Karthik, C.; Kadirvelu, K.; Arulselvi, P.I.; Shanmugasundaram, T.; Bruno, B.; Rajkumar, M. Understanding the molecular mechanisms for the enhanced phytoremediation of heavy metals through plant growth promoting rhizobacteria: A review. J. Environ. Manag. 2020, 254, 109779. [Google Scholar] [CrossRef] [PubMed]
- Vocciante, M.; Grifoni, M.; Fusini, D.; Petruzzelli, G.; Franchi, E. The role of plant growth-promoting rhizobacteria (PGPR) in mitigating plant’s environmental stresses. Appl. Sci. 2022, 12, 1231. [Google Scholar] [CrossRef]
- Abbaszadeh-Dahaji, P.; Omidvari, M.; Ghorbanpour, M. Increasing phytoremediation efficiency of heavy metal-contaminated soil using PGPR for sustainable agriculture. In Plant-Microbe Interaction: An Approach to Sustainable Agriculture; Choudhary, D.K., Varma, A., Narendra, T., Eds.; Springer: Singapore, 2017; pp. 187–204. [Google Scholar] [CrossRef]
- Pietrini, I.; Grifoni, M.; Franchi, E.; Cardaci, A.; Pedron, F.; Barbafieri, M.; Petruzzelli, G.; Vocciante, M. Enhanced lead phytoextraction by endophytes from indigenous plants. Soil Syst. 2021, 5, 55. [Google Scholar] [CrossRef]
- Franchi, E.; Barbafieri, M.; Petruzzelli, G.; Ferro, S.; Vocciante, M. Screening of plants and indigenous bacteria to improve arsenic phytoextraction. Appl. Sci. 2022, 12, 7267. [Google Scholar] [CrossRef]
- Truskewycz, A.; Gundry, T.D.; Khudur, L.S.; Kolobaric, A.; Taha, M.; Aburto-Medina, A.; Ball, A.S.; Shahsavari, E. Petroleum Hydrocarbon Contamination in Terrestrial Ecosystems-Fate and Microbial Responses. Molecules 2019, 24, 3400. [Google Scholar] [CrossRef]
- Ławniczak, Ł.; Woźniak-Karczewska, M.; Loibner, A.P.; Heipieper, H.J.; Chrzanowski, Ł. Microbial Degradation of Hydrocarbons-Basic Principles for Bioremediation: A Review. Molecules 2020, 25, 856. [Google Scholar] [CrossRef]
- Hidalgo, K.J.; Sierra-Garcia, I.N.; Dellagnezze, B.M.; de Oliveira, V.M. Metagenomic Insights Into the Mechanisms for Biodegradation of Polycyclic Aromatic Hydrocarbons in the Oil Supply Chain. Front. Microbiol. 2020, 18, 561506. [Google Scholar] [CrossRef]
- Omrani, R.; Spini, G.; Puglisi, E.; Saidane, D. Modulation of microbial consortia enriched from different polluted environments during petroleum biodegradation. Biodegradation 2018, 29, 187–209. [Google Scholar] [CrossRef]
- Ben Said, S.; Tecon, R.; Borer, B.; Or, D. The engineering of spatially linked microbial consortia—Potential and perspectives. Curr. Opin. Biotechnol. 2020, 62, 137–145. [Google Scholar] [CrossRef]
- Allamin, I.A.; Halmi, M.I.E.; Yasid, N.A.; Ahmad, S.A.; Abdullah, S.R.S.; Shukor, Y. Rhizodegradation of Petroleum Oily Sludge-contaminated Soil Using Cajanus cajan Increases the Diversity of Soil Microbial Community. Sci. Rep. 2020, 10, 4094. [Google Scholar] [CrossRef]
- McIntosh, P.; Schulthess, C.P.; Kuzovkina, Y.A.; Guillard, K. Bioremediation and phytoremediation of total petroleum hydrocarbons (TPH) under various conditions. Int. J. Phytoremediation 2017, 19, 755–764. [Google Scholar] [CrossRef]
- Gee, G.W.; Bauder, J.W. Particle-size analysis. In Methods of Soil Analysis. Part 1. Physical and Mineralogical Methods. Agronomy Monograph No. 9, 2nd ed.; Klute, A., Ed.; American Society of Agronomy/Soil Science Society of America: Madison, WI, USA, 1986; pp. 383–411. [Google Scholar]
- Franchi, E.; Rolli, E.; Marasco, R.; Agazzi, G.; Borin, S.; Cosmina, P.; Pedron, F.; Rosellini, I.; Barbafieri, M.; Petruzzelli, G. Phytoremediation of a multi contaminated soil: Mercury and arsenic phytoextraction assisted by mobilizing agent and plant growth promoting bacteria. J. Soils Sediments 2017, 17, 1224–1236. [Google Scholar] [CrossRef]
- Franchi, E.; Cosmina, P.; Pedron, F.; Rosellini, I.; Barbafieri, M.; Petruzzelli, G.; Vocciante, M. Improved Arsenic Phytoextraction by Combined Use of Mobilizing Chemicals and Autochtonous Soil Bacteria. Sci. Total Environ. 2019, 655, 328–336. [Google Scholar] [CrossRef]
- Franchi, E.; Agazzi, G.; Rolli, E.; Borin, S.; Marasco, R.; Chiaberge, S.; Conte, A.; Filtri, P.; Pedron, F.; Rosellini, I.; et al. Exploiting Hydrocarbon-Degrading Indigenous Bacteria for Bioremediation and Phytoremediation of a Multicontaminated Soil. Chem. Eng. Technol. 2016, 39, 1676–1684. [Google Scholar] [CrossRef]
- Shahab, S.; Ahmed, N.; Khan, N.S. Indole acetic acid production and enhanced plant growth promotion by indigenous PSBs. J. Plant Pathol. 2009, 91, 61–63. [Google Scholar]
- Nautiyal, C.S. An efficient microbiological growth medium for screening phosphate solubilizing microorganisms. FEMS Microbiol. Lett. 1999, 170, 265–270. [Google Scholar] [CrossRef]
- Milagres, A.M.; Machuca, A.; Napoleão, D. Detection of siderophore production from several fungi and bacteria by a modification of chrome azurol S (CAS) agar plate assay. J. Microbiol. Methods 1999, 37, 1–6. [Google Scholar] [CrossRef]
- Santaella, C.; Schue, M.; Berge, O.; Heulin, T.; Achouak, W. The exopolysaccharide of Rhizobium sp. YAS34 is not necessary for biofilm formation on Arabidopsis thaliana and Brassica napus roots but contributes to root colonization. Environ. Microbiol. 2008, 10, 2150–2163. [Google Scholar] [CrossRef] [Green Version]
- Nielsen, R.; Jan Sørensen, J. Multi-target and medium-independent fungal antagonism by hydrolytic enzymes in Paenibacillus polymyxa and Bacillus pumilus strains from barley rhizosphere. FEMS Microbiol. Ecol. 1997, 22, 183–192. [Google Scholar] [CrossRef]
- Bacosa, H.P.; Mabuhay-Omar, J.A.; Balisco, R.A.T.; Omar, D.M., Jr.; Inoue, C. Biodegradation of binary mixtures of octane with benzene, toluene, ethylbenzene or xylene (BTEX): Insights on the potential of Burkholderia, Pseudomonas and Cupriavidus isolates. World J. Microbiol. Biotechnol. 2021, 37, 122. [Google Scholar] [CrossRef] [PubMed]
- Deng, Z.; Jiang, Y.; Chen, K.; Gao, F.; Liu, X. Petroleum Depletion Property and Microbial Community Shift After Bioremediation Using Bacillus halotolerans T-04 and Bacillus cereus 1-1. Front. Microbiol. 2020, 5, 353. [Google Scholar] [CrossRef] [PubMed]
- Gran-Scheuch, A.; Ramos-Zuñiga, J.; Fuentes, E.; Bravo, D.; Pérez-Donoso, J.M. Effect of Co-contamination by PAHs and Heavy Metals on Bacterial Communities of Diesel Contaminated Soils of South Shetland Islands, Antarctica. Microorganisms 2020, 8, 1749. [Google Scholar] [CrossRef]
- Rizzo, C.; Malavenda, R.; Gerçe, B.; Papale, M.; Syldatk, C.; Hausmann, R.; Bruni, V.; Michaud, L.; Lo Giudice, A.; Amalfitano, S. Effects of a Simulated Acute Oil Spillage on Bacterial Communities from Arctic and Antarctic Marine Sediments. Microorganisms 2019, 7, 632. [Google Scholar] [CrossRef]
- Huang, L.; Ye, J.; Jiang, K.; Wang, Y.; Lia, Y. Oil contamination drives the transformation of soil microbial communities: Co-occurrence pattern, metabolic enzymes and culturable hydrocarbon-degrading bacteria. Ecotox. Environ. Saf. 2021, 225, 112740. [Google Scholar] [CrossRef]
- Abbasian, F.; Lockington, R.; Mallavarapu, M.; Naidu, R.A. Comprehensive Review of Aliphatic Hydrocarbon Biodegradation by Bacteria. Appl. Biochem. Biotechnol. 2015, 176, 670–699. [Google Scholar] [CrossRef]
- Brzeszcz, J.; Kaszycki, P. Aerobic bacteria degrading both n-alkanes and aromatic hydrocarbons: An undervalued strategy for metabolic diversity and flexibility. Biodegradation 2018, 29, 359–407. [Google Scholar] [CrossRef]
- Rocha, C.A.; Pedregosa, A.M.; Laborda, F. Biosurfactant-mediated biodegradation of straight and methyl-branched alkanes by Pseudomonas aeruginosa ATCC 55925. AMB Express 2011, 1, 9. [Google Scholar] [CrossRef]
- Chebbi, A.; Hentati, D.; Zaghden, H.; Baccar, N.; Rezgui, F.; Chalbi, M.; Sayadi, S.; Chamkha, M. Polycyclic aromatic hydrocarbon degradation and biosurfactant production by a newly isolated Pseudomonas sp. strain from used motor oil-contaminated soil. Int. Biodeterior. Biodegr. 2017, 122, 128–140. [Google Scholar] [CrossRef]
- Correa-García, S.; Pande, P.; Séguin, A.; St-Arnaud, M.; Yergeau, E. Rhizoremediation of petroleum hydrocarbons: A model system for plant microbiome manipulation. Microb. Biotechnol. 2018, 11, 819–832. [Google Scholar] [CrossRef]
- Ghosal, D.; Ghosh, S.; Dutta, T.K.; Ahn, Y. Current state of knowledge in microbial degradation of polycyclic aromatic hydrocarbons (PAHs): A review. Front. Microbiol. 2016, 7, 1369. [Google Scholar] [CrossRef]
- Uyttebroek, M.; Ortega-Calvo, J.J.; Breugelmans, P.; Springael, D. Comparison of mineralization of soil-sorbed phenanthrene by polycyclic aromatic hydrocarbon (PAH)-degrading Mycobacterium spp. and Sphingomonas spp. Appl. Microbiol. Biotechnol. 2006, 72, 829–836. [Google Scholar] [CrossRef]
- Hussain, A.; Amna; Kamran, M.; Javed, M.T.; Hayat, K.; Farooq, M.A.; Ali, N.; Ali, M.; Manghwar, H.; Jan, F.; et al. Individual and combinatorial application of Kocuria rhizophila and citric acid on phytoextraction of multi-metal contaminated soils by Glycine max L. Environ. Exp. Bot. 2019, 159, 23–33. [Google Scholar] [CrossRef]
- Li, X.; Sun, P.; Zhang, Y.; Jin, C.; Guan, C. A novel PGPR strain Kocuria rhizophila Y1 enhances salt stress tolerance in maize by regulating phytohormone levels, nutrient acquisition, redox potential, ion homeostasis, photosynthetic capacity and stress-responsive genes expression. Environ. Exp. Bot. 2020, 174, 104023. [Google Scholar] [CrossRef]
- Saran, A.; Imperato, V.; Fernandez, L.; Gkorezis, P.; d’Haen, J.; Merini, L.J.; Vangronsveld, J.; Thijs, S. Phytostabilization of Polluted Military Soil Supported by Bioaugmentation with PGP-Trace Element Tolerant Bacteria Isolated from Helianthus petiolaris. Agronomy 2020, 10, 204. [Google Scholar] [CrossRef]
- Gupta, A.; Patel, A.K.; Gupta, D.; Singh, G.; Mishra, V.K. Rhizospheric remediation of organic pollutants from the soil; A green and sustainable technology for soil clean up. In Abatement of Environmental Pollutants; Singh, P., Kumar, A., Borthakur, A., Eds.; Elsevier: Amsterdam, The Netherlands, 2020; pp. 263–286. [Google Scholar] [CrossRef]
- Dettenmaier, E.M.; Doucette, W.J.; Bugbee, B. Chemical hydrophobicity and uptake by plant roots. Environ. Sci. Technol. 2009, 43, 324–329. [Google Scholar] [CrossRef]







| Sample | Depth (m) | VOCs (mg kg−1) | C ≤ 12 (mg kg−1) | C > 12 (mg kg−1) |
|---|---|---|---|---|
| BH3 | 0–1 | 100 | 76 | 4500 |
| 1–2 | 133 | 80 | 3800 | |
| C05 | 0–1 | 85 | 60 | 2200 |
| 1–2 | 156 | 95 | 4900 | |
| PZ7 | 0–1 | 152 | 61 | 1900 |
| 1–2 | 149 | 100 | 3600 | |
| C08 | 0–1 | 152 | 80 | 3900 |
| 1–2 | 175 | 130 | 5200 | |
| C41 | 0–1 | 99 | 14 | 1200 |
| 1–2 | 131 | 66 | 3100 | |
| PZ9 | 0–1 | 82 | 47 | 2300 |
| 1–2 | 140 | 120 | 5100 | |
| C13 | 0–1 | 115 | 71 | 1500 |
| 1–2 | 168 | 72 | 3400 | |
| PZ8 | 0–1 | 196 | 82 | 3000 |
| 1–2 | 191 | 110 | 4000 | |
| S3 | 0–1 | 60 | 38 | 5100 |
| 1–2 | 101 | 120 | 7000 | |
| 2–2.5 | 190 | 72 | 3200 |
| Sample | Depth | % Sand | % Clay | % Silt | Sample | Depth | % Sand | % Clay | % Silt |
|---|---|---|---|---|---|---|---|---|---|
| BH3 | 0–1 | 86.1 | 4.81 | 9.10 | C41 | 0–1 | 77.7 | 7.89 | 14.4 |
| 1–2 | 89.8 | 3.74 | 6.51 | 1–2 | 85.0 | 5.53 | 9.43 | ||
| C05 | 0–1 | 85.4 | 6.87 | 7.72 | PZ9 | 0–1 | 94.7 | 1.56 | 3.73 |
| 1–2 | 93.7 | 1.47 | 4.85 | 1–2 | 89.6 | 2.73 | 7.63 | ||
| PZ7 | 0–1 | 90.8 | 3.23 | 6.01 | C13 | 0–1 | 94.3 | 1.71 | 4.03 |
| 1–2 | 86.0 | 5.18 | 8.78 | 1–2 | 91.9 | 2.08 | 6.03 | ||
| C08 | 0–1 | 87.2 | 4.25 | 8.56 | PZ8 | 0–1 | 87.8 | 6.28 | 5.92 |
| 1–2 | 92.7 | 1.72 | 5.61 | 1–2 | 94.7 | 1.42 | 3.90 |
| Composite Soils | Depth (m) | C > 12 (mg kg−1) |
|---|---|---|
| B1 (BH3+CO8+PZ8) | 0–1 | 3800 |
| B2 (CO5+PZ9+ PZ7+C13+C41) | 0–1 | 1820 |
| B3 (BH3+PZ7+C13+C41) | 1–2 | 3475 |
| B4 (CO5+PZ9+CO8+PZ8) | 1–2 | 4800 |
| Point | Depth | CFU g−1 | Point | Depth | CFU g−1 |
|---|---|---|---|---|---|
| BH3 | 0–1 | 4.0 × 106 | C41 | 0–1 | 1.0 × 108 |
| 1–2 | 4.0 × 106 | 1–2 | 1.2 × 107 | ||
| C05 | 0–1 | 1.6 × 107 | PZ9 | 0–1 | 3.2 × 107 |
| 1–2 | 4.0 × 106 | 1–2 | 1.6 × 107 | ||
| PZ7 | 0–1 | 4.0 × 107 | C13 | 0–1 | 8.0 × 106 |
| 1–2 | 1.6 × 107 | 1–2 | 2.8 × 107 | ||
| C08 | 0–1 | 3.2 × 107 | PZ8 | 0–1 | 6.0 × 107 |
| 1–2 | 1.2 × 108 | 1–2 | 6.0 × 107 | ||
| S3 | 0–2.5 | 4.0 × 107 |
| Corn | Alfalfa | Lupine | ||||
|---|---|---|---|---|---|---|
| shoots | roots | shoots | roots | shoots | Roots | |
| B1 | 4.12 ± 0.42 | 4.93 ± 0.65 | 2.99 ± 0.61 | 2.29 ± 1.00 | 9.39 ± 2.55 | 3.07 ± 0.50 |
| B2 | 4.43 ± 0.19 | 4.48 ± 0.59 | 2.61 ± 0.52 | 1.90 ± 0.50 | 8.95 ± 1.06 | 3.88 ± 1.08 |
| B3 | 3.89 ± 0.46 | 3.60 ± 0.35 | 2.43 ± 1.39 | 0.57 ± 0.24 | 7.42 ± 1.64 | 2.64 ± 0.45 |
| B4 | 3.34 ± 0.15 | 3.53 ± 0.26 | 2.63 ± 1.48 | 0.68 ± 0.06 | 6.71 ± 0.40 | 3.00 ± 0.48 |
| CT | 5.51 ± 0.63 | 7.02 ± 1.01 | 3.60 ± 0.43 | 2.84 ± 0.70 | 10.76 ± 0.85 | 3.64 ± 0.12 |
Publisher’s Note: MDPI stays neutral with regard to jurisdictional claims in published maps and institutional affiliations. |
© 2022 by the authors. Licensee MDPI, Basel, Switzerland. This article is an open access article distributed under the terms and conditions of the Creative Commons Attribution (CC BY) license (https://creativecommons.org/licenses/by/4.0/).
Share and Cite
Franchi, E.; Cardaci, A.; Pietrini, I.; Fusini, D.; Conte, A.; De Folly D’Auris, A.; Grifoni, M.; Pedron, F.; Barbafieri, M.; Petruzzelli, G.; et al. Nature-Based Solutions for Restoring an Agricultural Area Contaminated by an Oil Spill. Plants 2022, 11, 2250. https://doi.org/10.3390/plants11172250
Franchi E, Cardaci A, Pietrini I, Fusini D, Conte A, De Folly D’Auris A, Grifoni M, Pedron F, Barbafieri M, Petruzzelli G, et al. Nature-Based Solutions for Restoring an Agricultural Area Contaminated by an Oil Spill. Plants. 2022; 11(17):2250. https://doi.org/10.3390/plants11172250
Chicago/Turabian StyleFranchi, Elisabetta, Anna Cardaci, Ilaria Pietrini, Danilo Fusini, Alessandro Conte, Alessandra De Folly D’Auris, Martina Grifoni, Francesca Pedron, Meri Barbafieri, Gianniantonio Petruzzelli, and et al. 2022. "Nature-Based Solutions for Restoring an Agricultural Area Contaminated by an Oil Spill" Plants 11, no. 17: 2250. https://doi.org/10.3390/plants11172250
APA StyleFranchi, E., Cardaci, A., Pietrini, I., Fusini, D., Conte, A., De Folly D’Auris, A., Grifoni, M., Pedron, F., Barbafieri, M., Petruzzelli, G., & Vocciante, M. (2022). Nature-Based Solutions for Restoring an Agricultural Area Contaminated by an Oil Spill. Plants, 11(17), 2250. https://doi.org/10.3390/plants11172250

