Bonactin and Feigrisolide C Inhibit Magnaporthe oryzae Triticum Fungus and Control Wheat Blast Disease
Abstract
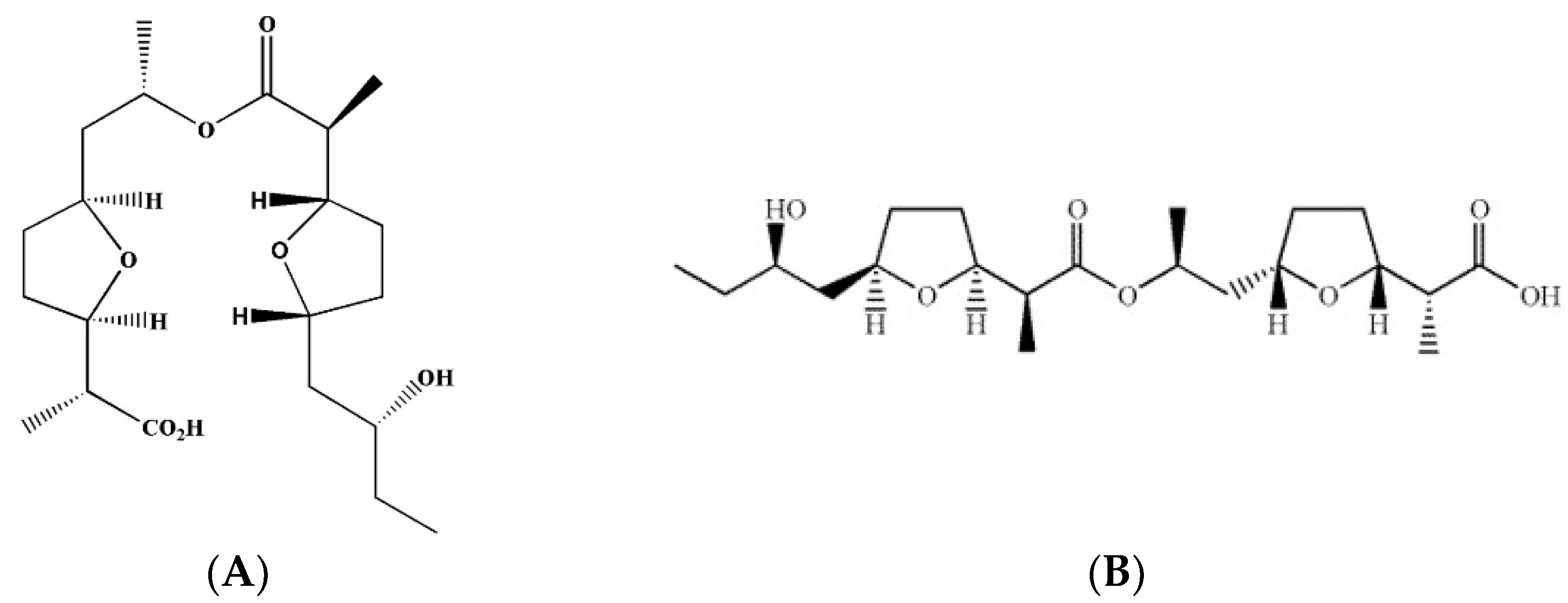
1. Introduction
2. Results
2.1. Mycelial Growth Inhibition and Morphological Alteration of Hyphae
2.2. Conidiogenesis Inhibition
2.3. Inhibition of Conidia Germination and Morphological Aberrations in Germinated Conidia
2.4. Wheat Blast Progression on Excised Wheat Leaves
2.5. Wheat Blast Disease Suppression in the Field at the Heading Stage
3. Discussion
4. Materials and Methods
4.1. Fungal Isolate, the Revival of a Synthetic Medium, and Host Plant Materials
4.2. Chemicals
4.3. Suppression of Mycelial Growth and Hyphal Morphological Alteration
| RGIP % = | Control plate radial growth − Treated plate radial growth | × 100 |
![]() | ||
| Control plate radial growth |
4.4. Suppression of Conidiogenesis
4.5. Suppression of Conidial Germination and Morphological Changes in Germinated Conidia
4.6. Wheat Blast Progression on Detached Wheat Leaves
4.7. Determination of Wheat Blast Control Efficacy of Bonactin and Feigrisolide C under Field Conditions
4.7.1. Soil Preparation and Seed Sowing
4.7.2. Infection Assay in the Wheat Reproductive Phase
4.7.3. Data Collection and Analysis for Disease Severity
| DI = | Total infected plants | × 100 |
![]() | ||
| Total plants observed |
| DS = | n × v | × 100% |
![]() | ||
| N × V |
- where DS = disease severity
- n = number of blast-infected leaves
- v = value score for blast severity
- N = number of observed leaves
- V = value of highest score.
4.8. Statistical Analysis, Experimental Design, and Replications
5. Conclusions
Author Contributions
Funding
Institutional Review Board Statement
Informed Consent Statement
Data Availability Statement
Conflicts of Interest
References
- Igarashi, S.; Utiamada, C.M.; Igarashi, L.C.; Kazuma, A.H.; Lopes, R.S. Pyricularia emtrigo. 1. Ocorrência de Pyricularia sp. no estado do Paraná. Phytopathol. Bras. 1986, 11, 351–352. [Google Scholar]
- Kohli, M.M.; Mehta, Y.R.; Guzman, E.; Viedma, L.; Cubilla, L.E. Pyricularia blast-a threat to wheat cultivation. Czech. J. Genet. Plant Breed. 2011, 47, 130–134. [Google Scholar] [CrossRef]
- Callaway, E. Devastating wheat fungus appears in Asia for first time. Nature 2016, 532, 421–422. [Google Scholar] [CrossRef] [PubMed]
- Islam, M.T.; Croll, D.; Gladieux, P.; Soanes, D.M.; Persoons, A.; Bhattacharjee, P.; Hossain, M.; Gupta, D.R.; Rahman, M.; Mahboob, M.G.; et al. Emergence of wheat blast in Bangladesh was caused by a South American lineage of Magnaporthe oryzae. BMC Biol. 2016, 14, 84. [Google Scholar] [CrossRef] [PubMed]
- CIMMYT. Wheat Blast Disease: A Deadly and Baffling Fungal Foe. International Maize and Wheat Improvement Center; CIMMYT: Texcoco, Mexico, 2016. [Google Scholar]
- Mundi. Agricultural Production, Supply, and Distribution: Wheat Production by Country in 1000 MT. 2016. Available online: https://www.indexmundi.com/agriculture/?country=bd&commodity=wheat&graph=production (accessed on 16 May 2022).
- Islam, M.T.; Kim, K.H.; Choi, J. Wheat blast in Bangladesh: The current situation and future impacts. Plant Pathol. J. 2019, 35, 1–10. [Google Scholar] [CrossRef] [PubMed]
- Kamoun, S.; Talbot, N.J.; Islam, M.T. Plant health emergencies demand open science: Tackling a cereal killer on the run. PLoS Biol. 2019, 17, e3000302. [Google Scholar] [CrossRef]
- Chakraborty, M.; Mahmud, N.U.; Ullah, C.; Rahman, M.; Islam, T. Biological and biorational management of blast diseases in cereals caused by Magnaporthe oryzae. Crit. Rev. Biotechnol. 2021, 41, 994–1022. [Google Scholar] [CrossRef]
- Eseola, A.B.; Ryder, L.S.; Osés-Ruiz, M.; Findlay, K.; Yan, X.; Cruz-Mireles, N.; Molinari, C.; Garduño-Rosales, M.; Talbot, N.J. Investigating the cell and developmental biology of plant infection by the rice blast fungus Magnaporthe oryzae. Fungal. Gen. Biol. 2021, 18, 103562. [Google Scholar] [CrossRef]
- Wilson, R.A.; Talbot, N.J. Under pressure: Investigating the biology of plant infection by Magnaporthe oryzae. Nat. Rev. Microbiol. 2009, 7, 185–195. [Google Scholar] [CrossRef]
- Tufan, H.A.; McGrann, G.R.D.; Magusin, A.; Morel, J.B.; Miche, L.; Boyd, L.A. Wheat blast: Histopathology and transcriptome reprogramming in response to adapted and nonadapted Magnaporthe isolates. New Phytol. 2009, 184, 473–484. [Google Scholar] [CrossRef]
- Inoue, K.; Suzuki, T.; Ikeda, K.; Jiang, S.; Hosogi, N.; Hyon, G.S.; Hida, S.; Yamada, T.; Park, P. Extracellular matrix of Magnaporthe oryzae may have a role in host adhesion during fungal penetration and is digested by matrix metalloproteinases. J. Gen. Plant Pathol. 2007, 73, 388–398. [Google Scholar] [CrossRef]
- Islam, M.T.; Gupta, D.R.; Hossain, A.; Roy, K.K.; He, X.; Kabir, M.R.; Singh, P.K.; Khan, M.; Rahman, A.; Rahman, M.; et al. Wheat blast: A new threat to food security. Phytopathol. Res. 2020, 2, 28. [Google Scholar] [CrossRef]
- Surovy, M.Z.; Mahmud, N.U.; Bhattacharjee, P.; Hossain, M.; Mehebub, M.; Rahman, M.; Majumdar, B.C.; Gupta, D.R.; Islam, T. Modulation of nutritional and biochemical properties of wheat grains infected by blast fungus Magnaporthe oryzae Triticum pathotype. Front. Microbiol. 2020, 11, 1174. [Google Scholar] [CrossRef]
- Igarashi, S. Update on wheat blast (Pyricularia oryzae) in Brazil. In Proceedings of the International Conference—Wheat for the Nontraditional Warm Areas, Foz do Iguaçu, Brazil, 29 July–3 August 1990; CIMMYT: Mexico, Mexico, 1990; pp. 480–483. [Google Scholar]
- Urashima, A.S.; Hashimoto, Y.; Le Don, D.; Kusaba, M.; Tosa, Y.; Nakayashiki, H.; Mayama, S. Molecular analysis of the wheat blast population in Brazil with a homolog of retrotransposon MGR583. Jpn. J. Phytopathol. 1999, 65, 429–436. [Google Scholar] [CrossRef]
- Knight, S.C.; Anthony, V.M.; Brady, A.M.; Greenland, A.J.; Heaney, S.P.; Murray, D.C.; Powell, K.A.; Schulz, M.A.; Sinks, C.A.; Worthington, P.A.; et al. Rationale and perspectives on the development of fungicides. Annu. Rev. Phytopathol. 1997, 35, 349–372. [Google Scholar] [CrossRef]
- Dorigan, A.F.; Carvalho, G.D.; Poloni, N.M.; Negrisoli, M.M.; Maciel, J.L.N.; Ceresini, P.C. Resistance to triazole fungicides in Pyricularia species associated with invasive plants from wheat fields in Brazil. Acta Sci. Agron. 2019, 41, 39332. [Google Scholar] [CrossRef]
- Cook, R.J.; Baker, K.F. The Nature and Practice of Biological Control of Plant Pathogens; American Phytopathological Society: St. Paul, MN, USA, 1983; p. 1. [Google Scholar]
- Lugtenberg, B.; Leveau, J. Biocontrol of plant pathogens: Principles, promises, and pitfalls. In The Rhizosphere: Biochemistry and Organic Substances at the Soil–Plant Interface, 2nd ed.; Pinton, R., Varanini, Z., Nannipieri, P., Eds.; CRC Press: Boca Raton, FL, USA, 2007; pp. 267–296. [Google Scholar]
- Sundin, G.W.; Werner, N.A.; Yoder, K.S.; Aldwinckle, H.S. Field evaluation of biological control of fire blight in the eastern United States. Plant Dis. 2009, 93, 386–394. [Google Scholar] [CrossRef]
- Porter, N. Physicochemical and biophysical panel symposium biologically active secondary metabolites. Pestic. Sci. 1985, 16, 422–427. [Google Scholar]
- Vining, L.C. Function of secondary metabolites. Annu. Rev. Microbiol. 1990, 44, 395–427. [Google Scholar] [CrossRef]
- Tanaka, Y.T.; Omura, S. Agroactive compounds of microbial origin. Annu. Rev. Microbiol. 1993, 47, 57–87. [Google Scholar] [CrossRef]
- Verma, C.; Jandaik, S.; Gupta, B.K.; Kashyap, N.; Suryaprakash, V.S.; Kashyap, S.; Kerketta, A. Microbial metabolites in plant disease management: Review on biological approach. Int. J. Chem. Stud. 2020, 8, 2570–2581. [Google Scholar] [CrossRef]
- Õmura, S.; Ikeda, H.; Ishikawa, J.; Hanamoto, A.; Takahashi, C.; Shinose, M.; Takahashi, Y.; Horikawa, H.; Nakazawa, H.; Osonoe, T.; et al. Genome sequence of an industrial microorganism Streptomyces avermitilis: Deducing the ability of producing secondary metabolites. Proc. Natl. Acad. Sci. USA 2001, 98, 12215–12220. [Google Scholar] [CrossRef] [PubMed]
- Islam, M.T.; von Tiedemann, A.; Laatsch, H. Protein kinase C is likely to be involved in zoosporogenesis and maintenance of flagellar motility in the Peronosporomycete zoospores. Mol. Plant-Microbe Interact. 2011, 24, 938–947. [Google Scholar] [CrossRef] [PubMed]
- Islam, M.T.; Laatsch, H.; von Tiedemann, A. Inhibitory effects of macrotetrolides from Streptomyces spp. on zoosporogenesis and motility of Peronosporomycete zoospores are likely linked with enhanced ATPase activity in mitochondria. Front. Microbiol. 2016, 7, 1824. [Google Scholar] [CrossRef]
- Islam, M.T.; von Tiedemann, A. 2,4-Diacetylphloroglucinol suppresses zoosporogenesis and impairs motility of Peronosporomycete zoospores. World J. Microb. Biot. 2011, 27, 2071–2079. [Google Scholar] [CrossRef]
- Chakraborty, M.; Mahmud, N.; Muzahid, A.N.M.; Rabby, S.M.F.; Islam, T. Oligomycins inhibit Magnaporthe oryzae Triticum and suppress wheat blast disease. PLoS ONE 2020, 15, e0233665. [Google Scholar] [CrossRef]
- Tang, Y.-Q.; Sattler, I.; Thiericke, R.; Grabley, S.; Feng, X.-Z. Feigrisolides A, B, C and D, new lactones with antibacterial activities from Streptomyces griseus. J. Antibiot. 2000, 53, 934–943. [Google Scholar] [CrossRef][Green Version]
- Schumacher, R.W.; Talmage, S.C.; Miller, S.A.; Sarris, K.E.; Davidson, B.S.; Goldberg, A. Isolation and structure determination of an antimicrobial ester from a marine sediment-derived bacterium. J. Nat. Prod. 2003, 66, 1291–1293. [Google Scholar] [CrossRef]
- Kim, W.H.; Jung, J.H.; Sung, L.T.; Lim, S.M.; Lee, E. Synthesis of the Proposed Structure of Feigrisolide C. Org. Lett. 2005, 7, 1085–1087. [Google Scholar] [CrossRef]
- Zizka, Z. Biological effects of macrotetrolide antibiotics and nonactic acids. Folia Microbiol. 1998, 43, 7–14. [Google Scholar] [CrossRef]
- Thiyagarajamoorthy, D.K.; Arulanandam, C.D.; Dahms, H.U.; Murugaiah, S.G.; Krishnan, M.; Rathinam, A.J. Marine bacterial compounds evaluated by in silico studies as antipsychotic drugs against schizophrenia. Mar. Biotechnol. 2018, 20, 639–653. [Google Scholar] [CrossRef] [PubMed]
- Latorre, S.M.; Were, V.M.; Foster, A.J.; Langner, T.; Malmgren, A.; Harant, A.; Asuke, S.; Reyes-Avila, S.; Gupta, D.R.; Jensen, C.; et al. A pandemic clonal lineage of the wheat blast fungus. bioRxiv 2022. bioRxiv:2022.06.06.494979. [Google Scholar]
- Urashima, A.S.; Igarashi, S.; Kato, H. Host range, mating type, and fertility of Pyricularia grisea from wheat in Brazil. Plant Dis. 1993, 77, 1211–1216. [Google Scholar] [CrossRef]
- Gupta, D.R.; Surovy, M.Z.; Mahmud, N.U.; Chakraborty, M.; Paul, S.K.; Hossain, M.; Bhattacharjee, P.; Mehebub, M.; Rani, K.; Yeasmin, R.; et al. Suitable methods for isolation, culture, storage, and identification of wheat blast fungus Magnaporthe oryzae Triticum pathotype. Phytopathol. Res. 2020, 2, 30. [Google Scholar] [CrossRef]
- Paul, S.K.; Mahmud, N.U.; Gupta, D.R.; Rani, K.; Kang, H.; Wang, G.L.; Jankuloski, L.; Islam, T. Oryzae pathotype of Magnaporthe oryzae can cause typical blast disease symptoms on both leaves and spikes of wheat under a growth room condition. Phytopathol. Res. 2022, 4, 9. [Google Scholar] [CrossRef]
- Sobolevskaya, M.P.; Fotso, S.; Havash, U.; Denisenko, V.A.; Helmke, E.; Prokofeva, N.G.; Kuznetsova, T.A.; Laatsch, H.; Elyakov, G.B. Metabolites of the sea isolate of bacteria Streptomyces sp. 6167. Chem. Nat. Comp. 2004, 40, 282–285. [Google Scholar] [CrossRef]
- Prokofeva, N.G.; Kalinovskaya, N.I.; Lukyanov, P.A.; Kuznetsova, T.A. Membranotropic effects of cyclic lipopeptides produced by a marine isolate of the bacteria Bacillus pumilus. Rus. J. Mar. Biol. 1996, 22, 167–170. [Google Scholar]
- He, Y.; Zhu, M.; Huang, J.; Hsiang, T.; Zheng, L. Biocontrol potential of a Bacillus subtilis strain BJ-1 against the rice blast fungus Magnaporthe oryzae. Can. J. Plant Pathol. 2019, 41, 47–59. [Google Scholar] [CrossRef]
- Chakraborty, M.; Mahmud, N.U.; Gupta, D.R.; Tareq, F.S.; Shin, H.J.; Islam, T. Inhibitory effects of linear lipopeptides from a marine Bacillus subtilis on the wheat blast fungus Magnaporthe oryzae Triticum. Front. Microbiol. 2020, 11, 665. [Google Scholar] [CrossRef]
- Riungu, G.M.; Muthorni, J.W.; Narla, R.D.; Wagacha, J.M.; Gathumbi, J.K. Management of Fusarium head blight of wheat and deoxynivalenol accumulation using antagonistic microorganisms. Plant Pathol. J. 2008, 7, 13–19. [Google Scholar] [CrossRef]
- Meyers, E.; Pansy, F.E.; Perlman, D.; Smith, D.A.; Weisenborn, F.L. The in vitro activity of nonactin and its homologs: Monactin, dinactin, and trinactin. J. Antibiot. 1965, 18, 128–129. [Google Scholar]
- Borrel, M.N.; Pereira, E.; Fiallo, M.; Garnier-Suillerot, A. Mobile ionophores are a novel class of P-glycoprotein inhibitors. The effects of ionophores on 49-O-tetrahydropyranyl- adriamycin incorporation in K562 drug-resistant cells. Eur. J. Biochem. 1994, 223, 125–133. [Google Scholar] [CrossRef] [PubMed]
- Kusche, B.R.; Smith, A.E.; McGuirl, M.A.; Priestley, N.D. Alternating pattern of stereochemistry in the nonactin macrocycle is required for antibacterial activity and efficient ion binding. J. Am. Chem. Soc. 2009, 131, 17155–17165. [Google Scholar] [CrossRef] [PubMed]
- Nielsen, T.H.; Thrane, C.; Christophersen, C.; Anthoni, U.; Sørensen, J. Structure, production characteristics and fungal antagonism of tensin–A new antifungal cyclic lipopeptide from Pseudomonas fluorescens strain 96.578. J. Appl. Microbiol. 2000, 89, 992–1001. [Google Scholar] [CrossRef] [PubMed]
- Zhang, L.; Sun, C. Fengycins, cyclic lipopeptides from marine Bacillus subtilis strains, kill the plant-pathogenic fungus Magnaporthe grisea by inducing reactive oxygen species production and chromatin condensation. Appl. Environ. Microbiol. 2018, 84, e00445-18. [Google Scholar] [CrossRef]
- Islam, M.T.; Hashidoko, Y.; Deora, A.; Ito, T.; Tahara, S. Suppression of damping-off disease in host plants by the rhizoplane bacterium Lysobacter sp. strain SB-K88 is linked to plant colonization and antibiosis against soilborne Peronosporomycetes. Appl. Environ. Microb. 2005, 71, 3786–3796. [Google Scholar] [CrossRef]
- Islam, M.T. Disruption of ultrastructure and cytoskeletal network is involved with biocontrol of damping-off pathogen Aphanomyces cochlioides by Lysobacter sp. strain SB-K88. Biol. Control 2008, 46, 312–321. [Google Scholar] [CrossRef]
- Islam, M.T. Mode of antagonism of a biocontrol bacterium Lysobacter sp. SB-K88 toward a damping-off pathogen Aphanomyces cochlioides. World J. Microb. Biot. 2010, 26, 629–637. [Google Scholar] [CrossRef]
- Islam, M.T.; Fukushi, Y. Growth inhibition and excessive branching in Aphanomyces cochlioides induced by 2,4-diacetylphloroglucinol is linked to disruption of filamentous actin cytoskeleton in the hyphae. World J. Microb. Biot. 2010, 26, 1163–1170. [Google Scholar] [CrossRef]
- Paul, S.K.; Chakraborty, M.; Rahman, M.; Gupta, D.R.; Mahmud, N.U.; Rahat, A.A.M.; Sarker, A.; Hannan, M.A.; Rahman, M.M.; Akanda, A.M.; et al. Marine natural product antimycin A suppresses wheat blast disease caused by Magnaporthe oryzae Triticum. J. Fungi 2022, 8, 618. [Google Scholar] [CrossRef]
- Chakraborty, M.; Rabby, S.M.F.; Gupta, D.R.; Rahman, M.; Paul, S.K.; Mahmud, N.U.; Rahat, A.A.M.; Jankuloski, L.; Islam, T. Natural protein kinase inhibitors, staurosporine, and chelerythrine suppress wheat blast disease caused by Magnaporthe oryzae Triticum. Microorganisms 2022, 10, 1186. [Google Scholar] [CrossRef] [PubMed]
- Dame, Z.T.; Islam, M.T.; Helmke, E.; von Tiedemann, A.; Laatsch, H. Oligomycins and pamamycin homologs impair motility and induce lysis of zoospores of the grapevine downy mildew pathogen, Plasmopara viticola. FEMS Microbiol. Lett. 2016, 363, fnw167. [Google Scholar] [CrossRef] [PubMed]
- Homma, Y.; Takahashi, H.; Arimoto, Y. Studies on the Mode of Action of Soybean Lecithin Part 3. Effects on the Infection Process of Rice Blast Fungus, Pyricularia oryzae. Jpn. J. Phytopathol. 1992, 58, 514–521. [Google Scholar] [CrossRef]
- Sasaki, H.; Suzuki, K.; Ichikawa, T.; Sawada, M.; Iwane, Y.; Ando, K. Microbial degradation of a macrotetrolide miticide in soil. Appl. Environ. Microbiol. 1980, 40, 264–268. [Google Scholar] [CrossRef]
- Jizba, J.; Přikrylová, V.; Ujhelyiová, L.; Varkonda, Š. Insecticidal properties of nonactic acid homononactic acid, the precursors of macrotetrolide antibiotics. Folia Microbiol. 1992, 37, 299–303. [Google Scholar] [CrossRef]
- Kilbourn, B.T.; Dunitz, J.D.; Pioda, A.R.; Simon, W. Structure of the K+ complex with nonactin, a macrotetrolide antibiotic possessing highly specific K+ transport properties. J. Mol. Biol. 1967, 30, 559. [Google Scholar] [CrossRef]
- Sauter, H.; Steglich, W.; Anke, T. Strobilurins: Evolution of a new class of active substances. Angew. Chem. Int. Ed. Engl. 1999, 38, 1328–1349. [Google Scholar] [CrossRef]
- Fertilizer Recommendation Guide (FRG); Bangladesh Agricultural Research Council (BARC): Farmgate, Dhaka, 2012; pp. 1–265.








| Compound | Time (h) | Effects of Secondary Metabolites on the Developmental Alterations of Conidia of a MoT Isolate | |
|---|---|---|---|
| Germinated Conidia (% ± SE a) | Major Morphological Changes Occurred in the Treated Conidia | ||
| Water | 0 | 0 ± 0 e | No germination |
| 6 | 100 ± 0 a | Normal germ tube and development of normal appressoria | |
| 12 | 100 ± 0 a | Hyphal growth was observed | |
| 24 | 100 ± 0 a | Huge hyphal growth occurred | |
| Bonactin | 0 | 0 ± 0 e | Zero germination |
| 6 | 79.1 ± 0.6 b | Germinated conidia had short germ tube | |
| 12 | 79.1 ± 0.6 b | 12.7 ± 0.4% Normal germ tube and 66.5 ± 0.5% of germ tube formed unusually elongated branches | |
| 24 | 69.6 ± 0.5 b | 9.5 ± 0.2% Normal appressoria and 60.1 ± 0.3% abnormal appressoria (low melanization) but no hyphal growth | |
| Feigrisolide C | 0 | 0 ± 0 e | No germination |
| 6 | 7.4 ± 0.5 d | 7.4 ± 0.5% conidia lysed; No germination took place | |
| 12 | 0 ± 0 d | No germination took place | |
| 24 | 0 ± 0 c | No germination took place | |
| Nativo® WG75 | 0 | 0 ± 0 e | Zero germination |
| 6 | 49.7 ± 0.6 c | Germinated, but germ tube was very short | |
| 12 | 49.7 ± 0.6 c | Normal germ tube formed | |
| 24 | 0 ± 0 c | Zero appressoria formed; zero hyphal growth | |
| Treatment | Yield/1 m2 Plot (gm) * | 1000-Grain Weight (gm) * | Blast Incidence (%) * | Blast Severity (%) * |
|---|---|---|---|---|
| Healthy control | 133.07 ± 2.33a | 46.63 ± 1.57a | 0.00 ± 0.00e | 0.00 ± 0.00d |
| Untreated control | 64.60 ± 1.71c | 31.77 ± 1.29c | 87.33 ± 3.18a | 82.67 ± 3.53a |
| Bonactin | 112.97 ± 2.26b | 40.09 ± 1.72ab | 41.00 ± 1.15c | 32.33 ± 2.40b |
| Feigrisolide C | 106.40 ± 2.58b | 38.78 ± 3.16b | 51.33 ± 3.53b | 38.67 ± 1.20b |
| Nativo® 75WG | 126.10 ± 2.70a | 43.28 ± 2.52ab | 24.00 ± 4.04d | 14.33 ± 2.33c |
Publisher’s Note: MDPI stays neutral with regard to jurisdictional claims in published maps and institutional affiliations. |
© 2022 by the authors. Licensee MDPI, Basel, Switzerland. This article is an open access article distributed under the terms and conditions of the Creative Commons Attribution (CC BY) license (https://creativecommons.org/licenses/by/4.0/).
Share and Cite
Rabby, S.M.F.; Chakraborty, M.; Gupta, D.R.; Rahman, M.; Paul, S.K.; Mahmud, N.U.; Rahat, A.A.M.; Jankuloski, L.; Islam, T. Bonactin and Feigrisolide C Inhibit Magnaporthe oryzae Triticum Fungus and Control Wheat Blast Disease. Plants 2022, 11, 2108. https://doi.org/10.3390/plants11162108
Rabby SMF, Chakraborty M, Gupta DR, Rahman M, Paul SK, Mahmud NU, Rahat AAM, Jankuloski L, Islam T. Bonactin and Feigrisolide C Inhibit Magnaporthe oryzae Triticum Fungus and Control Wheat Blast Disease. Plants. 2022; 11(16):2108. https://doi.org/10.3390/plants11162108
Chicago/Turabian StyleRabby, S. M. Fajle, Moutoshi Chakraborty, Dipali Rani Gupta, Mahfuzur Rahman, Sanjoy Kumar Paul, Nur Uddin Mahmud, Abdullah Al Mahbub Rahat, Ljupcho Jankuloski, and Tofazzal Islam. 2022. "Bonactin and Feigrisolide C Inhibit Magnaporthe oryzae Triticum Fungus and Control Wheat Blast Disease" Plants 11, no. 16: 2108. https://doi.org/10.3390/plants11162108
APA StyleRabby, S. M. F., Chakraborty, M., Gupta, D. R., Rahman, M., Paul, S. K., Mahmud, N. U., Rahat, A. A. M., Jankuloski, L., & Islam, T. (2022). Bonactin and Feigrisolide C Inhibit Magnaporthe oryzae Triticum Fungus and Control Wheat Blast Disease. Plants, 11(16), 2108. https://doi.org/10.3390/plants11162108


