Comparative Transcriptome Analysis of Deep-Rooting and Shallow-Rooting Potato (Solanum tuberosum L.) Genotypes under Drought Stress
Abstract
1. Introduction
2. Results
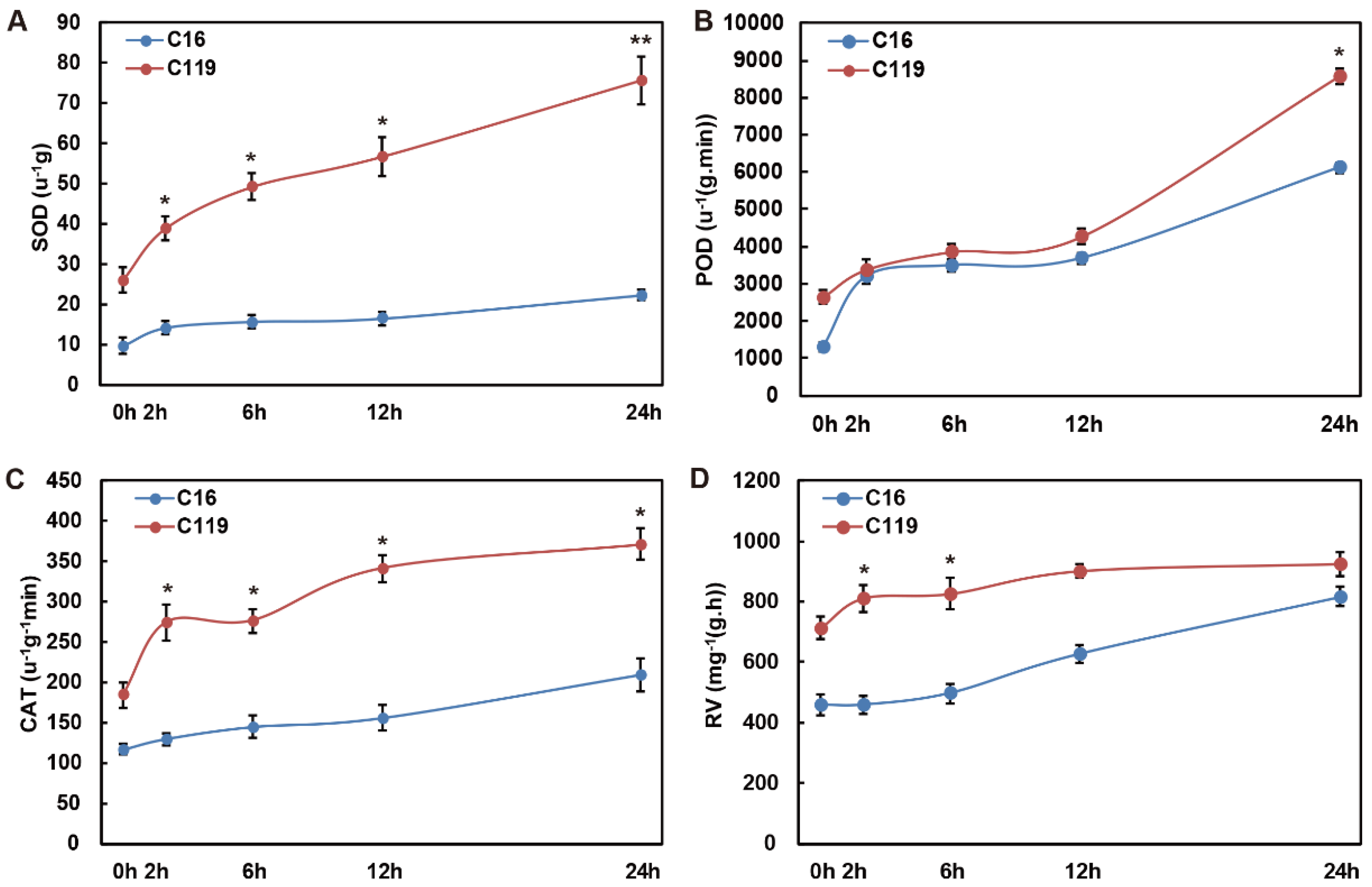
2.1. Differences in Physiological and Biochemical Indexes between the Two Genotypes
2.2. Validation of RNA-seq Data
2.3. Expression Pattern and Functional Enrichment Analyses of Drought-Responsive Genes
2.4. Deep-Rooting Genotypes Respond Faster to Drought Stress than Shallow-Rooting Genotypes
2.5. KEGG Enrichment Analysis of DEGs
2.6. Comparison of MAPK Signaling Pathway Related Gene Expression between Shallow and Deep-Rooting Potato Genotypes
2.7. Plant Hormone Signaling Pathways Exhibit Differential Responses to Drought Stress between Shallow and Deep-Rooting Genotypes
2.8. Subcellular Localization of StJAZ and StTF Proteins
3. Discussion
3.1. Changes in Growth Parameters and Physiological Indicators
3.2. MAPK Signaling Pathway in C119 and C16 Response to Drought Stress
3.3. Phytohormone Signaling Pathways Are Involved in the Drought Stress Response in C119 and C16
3.4. Proposed Molecular Model of the Drought Stress Response in Potato
4. Materials and Methods
4.1. Plant Material
4.2. Experiment Design
4.3. Acquisition and Analysis of Transcriptome Data
4.4. RNA-seq Data Validation
4.5. Functional Annotation and GO and KEGG Classification of Genes
5. Conclusions
Supplementary Materials
Author Contributions
Funding
Data Availability Statement
Acknowledgments
Conflicts of Interest
References
- Su, F.; Li, Y.; Liu, S.; Liu, Z.; Xu, H.-L. Application of Xerophytophysiology and Signal Transduction in Plant Production: Partial Root-Zone Drying in Potato Crops. Potato Res. 2020, 63, 41–56. [Google Scholar] [CrossRef]
- Barnaby, J.Y.; Fleisher, D.H.; Singh, S.K.; Sicher, R.C.; Reddy, V.R. Combined effects of drought and CO2 enrichment on foliar metabolites of potato (Solanum tuberosum L.) cultivars. J. Plant Interact. 2019, 14, 110–118. [Google Scholar] [CrossRef]
- Fernie, A.R.; Willmitzer, L. Molecular and Biochemical Triggers of Potato Tuber Development. Plant Physiol. 2002, 127, 1459–1465. [Google Scholar] [CrossRef]
- Zhu, H.; Zhou, Y.Y.; Zhai, H.; He, S.Z.; Zhao, N.; Liu, Q.C. Transcriptome profiling reveals insights into the molecular mechanism of drought tolerance in sweetpotato. J. Agric. Sci. Engl. Ed. 2019, 18, 9–23. [Google Scholar]
- Luo, R.; Wei, H.; Ye, L.; Wang, K.; Chen, F.; Luo, L.; Liu, L.; Li, Y.; Crabbe, M.J.C.; Jin, L. Photosynthetic metabolism of C3 plants shows highly cooperative regulation under changing environments: A systems biological analysis. Proc. Natl. Acad. Sci. USA 2009, 106, 847–852. [Google Scholar] [CrossRef] [PubMed]
- Nada, R.M.; Abo-Hegazy, S.E.; Budran, E.G.; Abogadallah, G.M. The interaction of genes controlling root traits is required for the developmental acquisition of deep and thick root traits and improving root architecture in response to low water or nitrogen content in rice (Oryza sativa L.) cultivars. Plant Physiol. Biochem. 2019, 141, 122–132. [Google Scholar] [CrossRef]
- Farooq, M.; Wahid, A.; Kobayashi, N.; Fujita, D.; Basra, S.M.A. Plant drought stress: Effects, mechanisms and management. Agron. Sustain. Dev. 2009, 29, 185–212. [Google Scholar] [CrossRef]
- Duque, L.O.; Villordon, A. Root Branching and Nutrient Efficiency: Status and Way forward in Root and Tuber Crops. Front. Plant Sci. 2019, 10, 237. [Google Scholar] [CrossRef] [PubMed]
- Chen, H.H.; Li, P.H.; Brenner, M.L. Involvement of Abscisic Acid in Potato Cold Acclimation. Plant Physiol. 1983, 71, 362–365. [Google Scholar] [CrossRef]
- Almohanna, T.; Ahsan, N.; Bokros, N.T.; Dimlioglu, G.; Popescu, S.C. Proteomics and Proteogenomics Analysis of Sweetpotato (Ipomoea batatas) Leaf and Root. J. Proteome Res. 2019, 18, 2719–2734. [Google Scholar] [CrossRef] [PubMed]
- Xun, X.; Pan, S.; Cheng, S.; Bo, Z.; Visser, R.G.F. Genome sequence and analysis of tuber crop potato. Nature 2011, 475, 189–195. [Google Scholar]
- Massa, A.N.; Childs, K.L.; Lin, H.; Bryan, G.J.; Giuliano, G.; Buell, C.R. The Transcriptome of the Reference Potato Genome Solanum tuberosum Group Phureja Clone DM1-3 516R44. PLoS ONE 2011, 6, e26801. [Google Scholar] [CrossRef] [PubMed]
- Dinakar, C.; Bartels, D. Desiccation tolerance in resurrection plants: New insights from transcriptome, proteome, and metabolome analysis. Front. Plant Sci. 2013, 4, 482. [Google Scholar] [CrossRef] [PubMed]
- Plischke, A.; Choi, Y.H.; Brakefield, P.M.; Klinkhamer, P.G.L.; Bruinsma, M. Metabolomic Plasticity in GM and Non-GM Potato Leaves in Response to Aphid Herbivory and Virus Infection. J. Agric. Food Chem. 2012, 60, 1488–1493. [Google Scholar] [CrossRef] [PubMed]
- Van Dijk, J.P.; Cankar, K.; Scheffer, S.J.; Beenen, H.G.; Shepherd, L.V.; Stewart, D.; Davies, H.V.; Wilkockson, S.J.; Leifert, C.; Gruden, K.; et al. Transcriptome analysis of potato tubers–effects of different agricultural practices. J. Agric Food Chem. 2009, 57, 1612–1623. [Google Scholar] [CrossRef] [PubMed]
- Remmers, I.M.; D’Adamo, S.; Martens, D.E.; de Vos, R.C.; Mumm, R.; America, A.H.; Cordewener, J.H.; Bakker, L.V.; Peters, S.A.; Wijffels, R.H.; et al. Orchestration of transcriptome, proteome and metabolome in the diatom Phaeodactylum tricornutum during nitrogen limitation. Algal Res. 2018, 35, 33–49. [Google Scholar] [CrossRef]
- Tai, H.H.; Lagüe, M.; Thomson, S.; Aurousseau, F.; Neilson, J.; Murphy, A.; Bizimungu, B.; Davidson, C.; Deveaux, V.; Bègue, Y.; et al. Tuber transcriptome profiling of eight potato cultivars with different cold-induced sweetening responses to cold storage. Plant Physiol. Biochem. 2020, 146, 163–176. [Google Scholar] [CrossRef] [PubMed]
- Koobaz, P.; Ghaffari, M.R.; Heidari, M.; Mirzaei, M.; Ghanati, F.; Amirkhani, A.; Mortazavi, S.E.; Moradi, F.; Hajirezaei, M.R.; Salekdeh, G.H. Proteomic and metabolomic analysis of desiccation tolerance in wheat young seedlings. Plant Physiol. Biochem. 2020, 146, 349–362. [Google Scholar] [CrossRef] [PubMed]
- Zhong, C.; Wang, Y.; Ding, J.L. Effects of UV-B radiation on SOD, POD and CAT activity in tobacco (Nicotiana tabacum L.) leaves. Acta Tabacaria Sinica. 2010, 16, 49–52. [Google Scholar]
- Li, X.; Li, G.; Li, Y.; Kong, X.; Zhang, L.; Wang, J.; Li, X.; Yang, Y. ABA Receptor Subfamily III Enhances Abscisic Acid Sensitivity and Improves the Drought Tolerance of Arabidopsis. Int. J. Mol. Sci. 2018, 19, 1938. [Google Scholar] [CrossRef]
- Fröhlich, H.; Fellmann, M.; Sültmann, H.; Poustka, A.; Beissbarth, T. Predicting pathway membership via domain signatures. Bioinformatics 2008, 24, 2137–2142. [Google Scholar] [CrossRef]
- Kong, W.; Chen, N.; Liu, T.; Zhu, J.; Wang, J.; He, X.; Jin, Y. Large-Scale Transcriptome Analysis of Cucumber and Botrytis cinerea during Infection. PLoS ONE 2015, 10, e0142221. [Google Scholar] [CrossRef]
- Zhang, X.; Mi, X.; Chen, C.; Wang, H.; Guo, W. Identification on mitogen-activated protein kinase signaling cascades by integrating protein interaction with transcriptional profiling analysis in cotton. Sci. Rep. 2018, 8, 8178. [Google Scholar] [CrossRef] [PubMed]
- Miller, G.A.D.; Suzuki, N.; Ciftci-Yilmaz, S.; Mittler, R.O.N. Reactive oxygen species homeostasis and signalling during drought and salinity stresses. Plant Cell Environ. 2010, 33, 453–467. [Google Scholar] [CrossRef] [PubMed]
- Moussa, H.R.; Abdel-Aziz, S.M.; Mans, B.J.; Andersen, J.F.; Francischetti, I.M.; Valenzuela, J.G.; Schwan, T.G.; Pham, V.M.; Garfield, M.K.; Hammer, C.H.; et al. Comparative response of drought tolerant and drought sensitive maize genotypes to water stress. Aust. J. Crop Sci. 2008, 1, 31–36. [Google Scholar]
- Jonak, C.; Heberle-Bors, E.; Hirt, H. MAP kinases: Universal multi-purpose signaling tools. Plant Mol. Biol. 1994, 24, 407–416. [Google Scholar] [CrossRef]
- Krzywińska, E.; Kulik, A.; Bucholc, M.; Fernandez, M.A.; Rodriguez, P.L.; Dobrowolska, G.Y. Protein phosphatase type 2C PP2CA together with ABI1 inhibits SnRK2.4 activity and regulates plant responses to salinity. Plant Signal. Behav. 2016, 11, e1253647. [Google Scholar] [CrossRef] [PubMed]
- Fujita, Y.; Yoshida, T.; Yamaguchi-Shinozaki, K. Pivotal role of the AREB/ABF-SnRK2 pathway in ABRE-mediated transcription in response to osmotic stress in plants. Physiol. Plantarum. 2012, 147, 15–27. [Google Scholar] [CrossRef] [PubMed]
- Ju, C.; Chang, C. Mechanistic Insights in Ethylene Perception and Signal Transduction1. Plant Physiol. 2015, 169, 85–95. [Google Scholar] [CrossRef] [PubMed]
- Lee, H.Y.; Back, K. Melatonin is required for H2O2- and NO-mediated defense signaling through MAPKKK3 and OXI1 in Arabidopsis thaliana. J. Pineal Res. 2017, 62, 2. [Google Scholar] [CrossRef]
- Moser, M.J.; Geiser, J.R.; Davis, T.N. Ca2+-calmodulin promotes survival of pheromone-induced growth arrest by activation of calcineurin and Ca2+-calmodulin-dependent protein kinase. Mol. Cell. Biol. 1996, 16, 4824–4831. [Google Scholar] [CrossRef] [PubMed]
- Forest, A.; Swulius, M.T.; Tse, J.K.Y.; Bradshaw, J.M.; Gaertner, T.; Waxham, M.N. Role of the N- and C-Lobes of Calmodulin in the Activation of Ca2+/Calmodulin-Dependent Protein Kinase II†. Biochemistry 2008, 47, 10587–10599. [Google Scholar] [CrossRef] [PubMed]
- Jama, A.; Gabriel, J.; Alnagar, A.; Martin, S.; Baig, S.; Soleymani, H.; Chowdhury, Z.; Beesley, P.; Török, K. Lobe-specific Functions of Ca2+ center dot Calmodulin in alpha Ca2+ center dot Calmodulin-dependent Protein Kinase II Activation. J. Biol. Chem. 2011, 286, 12308–12316. [Google Scholar] [CrossRef] [PubMed]
- Sakon, S.; Xue, X.; Takekawa, M.; Sasazuki, T.; Nakano, H. NF-kappaB inhibits TNF-induced accumulation of ROS that mediate prolonged MAPK activation and necrotic cell death. Embo J. 2003, 22, 3898–3909. [Google Scholar] [CrossRef] [PubMed]
- Peleg, Z.; Blumwald, E. Hormone balance and abiotic stress tolerance in crop plants. Curr. Opin. Plant Biol. 2011, 14, 290–295. [Google Scholar] [CrossRef]
- Kurepin, L.V.; Dahal, K.P.; Savitch, L.V.; Singh, J.; Bode, R.; Ivanov, A.G.; Hurry, V.; Hüner, N.P. Role of CBFs as integrators of chloroplast redox, phytochrome and plant hormone signaling during cold acclimation. Int. J. Mol. Sci. 2013, 14, 12729–12763. [Google Scholar] [CrossRef]
- Reed, J.W. Roles and activities of Aux/IAA proteins in Arabidopsis. Trends Plant Sci. 2001, 6, 420–425. [Google Scholar] [CrossRef]
- Worley, C.K.; Zenser, N.; Ramos, J.; Rouse, D.; Callis, J. Degradation of Aux/IAA proteins is essential for normal auxin signalling. Plant J. 2000, 21, 553–562. [Google Scholar] [CrossRef] [PubMed]
- Weijers, D.; Benkova, E.; Jger, K.E.; Schlereth, A.; Hamann, T.; Kientz, M.; Wilmoth, J.C.; Reed, J.W.; Jürgens, G. Developmental specificity of auxin response by pairs of ARF and Aux/IAA transcriptional regulators. EMBO J. 2005, 24, 1874–1885. [Google Scholar] [CrossRef] [PubMed]
- Meesters, C.; Mönig, T.; Oeljeklaus, J.; Krahn, D.; Westfall, C.S.; Hause, B.; Jez, J.M.; Kaiser, M.; Kombrink, E. A chemical inhibitor of jasmonate signaling targets JAR1 in Arabidopsis thaliana. Nat. Chem. Biol. 2014, 10, 830–836. [Google Scholar] [CrossRef]
- Staswick, S.P.E. The role of JAR1 in Jasmonoyl-L-isoleucine production during Arabidopsis wound response. Planta 2008, 227, 1221–1232. [Google Scholar]
- Fukumoto, K.; Alamgir, K.M.; Yamashita, Y.; Mori, I.C.; Matsuura, H.; Galis, I. Response of Rice to Insect Elicitors and the Role of OsJAR1 in Wound and Herbivory-Induced JA-Ile Accumulation. J. Integr. Plant Biol. 2013, 55, 775–784. [Google Scholar] [CrossRef]
- Vescovi, M.; Riefler, M.; Gessuti, M.; Novák, O.; Schmülling, T.; Lo Schiavo, F. Programmed cell death induced by high levels of cytokinin in Arabidopsis cultured cells is mediated by the cytokinin receptor CRE1/AHK4. J. Exp. Bot. 2012, 63, 2825–2832. [Google Scholar] [CrossRef]
- Veerabagu, M.; Elgass, K.; Kirchler, T.; Huppenberger, P.; Harter, K.; Chaban, C.; Mira-Rodado, V. The Arabidopsis B-type response regulator 18 homomerizes and positively regulates cytokinin responses. Plant J. 2012, 72, 721–731. [Google Scholar] [CrossRef] [PubMed]
- Inoue, T.; Higuchi, M.; Hashimoto, Y.; Seki, M.; Kobayashi, M.; Kato, T.; Tabata, S.; Shinozaki, K.; Kakimoto, T. Identification of CRE1 as a cytokinin receptor from Arabidopsis. Nature 2001, 409, 1060–1063. [Google Scholar] [CrossRef] [PubMed]
- Shi, Y.; Tian, S.; Hou, L.; Huang, X.; Zhang, X.; Guo, H.; Yang, S. Ethylene Signaling Negatively Regulates Freezing Tolerance by Repressing Expression of CBF and Type-A ARR Genes in Arabidopsis. Plant Cell 2012, 24, 2578–2595. [Google Scholar] [CrossRef] [PubMed]
- Maheswari, J.; Jayakumar, B.; Olga, B.; Sergey, S.; Amandine, M.; Charlotte, P.; Zed, R. The NPR1-dependent salicylic acid signalling pathway is pivotal for enhanced salt and oxidative stress tolerance in Arabidopsis. J. Exp. Bot. 2015, 7, 1865–1875. [Google Scholar]
- Spoel, H.S.; Koornneef, A.; Claessens, S.M.; Korzelius, J.P.; Van Pelt, J.A.; Mueller, M.J.; Buchala, A.J.; Métraux, J.P.; Brown, R.; Kazan, K.; et al. NPR1 Modulates Cross-Talk between Salicylate- and Jasmonate-Dependent Defense Pathways through a Novel Function in the Cytosol. Plant Cell 2003, 15, 760–770. [Google Scholar] [CrossRef]
- Ueguchi-Tanaka, M.; Nakajima, M.; Katoh, E.; Ohmiya, H.; Matsuoka, M. Molecular Interactions of a Soluble Gibberellin Receptor, GID1, with a Rice DELLA Protein, SLR1, and Gibberellin. Plant Cell 2007, 19, 2140–2155. [Google Scholar] [CrossRef]
- Hirano, K.; Ueguchi-Tanaka, M.; Matsuoka, M. GID1-mediated gibberellin signaling in plants. Trends Plant Sci. 2008, 13, 192–199. [Google Scholar] [CrossRef]
- Murase, K.; Hirano, Y.; Sun, T.-p.; Hakoshima, T. Gibberellin-induced DELLA recognition by the gibberellin receptor GID1. Nature 2008, 456, 459–463. [Google Scholar] [CrossRef] [PubMed]
- Purugganan, M.M.; Braam, J.; Fry, S.C. The Arabidopsis TCH4 Xyloglucan Endotransglycosylase (Substrate Specificity, pH Optimum, and Cold Tolerance). Plant Physiol. 1997, 115, 181–190. [Google Scholar] [CrossRef] [PubMed]
- Xu, W.; Purugganan, M.M.; Polisensky, D.H.; Antosiewicz, D.M.; Fry, S.C.; Braam, J. Arabidopsis TCH4, Regulated by Hormones and the Environment, Encodes a Xyloglucan Endotransglycosylase. Plant Cell 1995, 7, 1555–1567. [Google Scholar] [PubMed]
- Bai, Y.; Kinne, J.; Donham, B.; Jiang, F.; Ding, L.; Hassler, J.R.; Kaufman, R.J. Read-Split-Run: An improved bioinformatics pipeline for identification of genome-wide non-canonical spliced regions using RNA-Seq data. BMC Genomics. 2016, 17 (Suppl. S7), 503. [Google Scholar] [CrossRef] [PubMed]
- Goldstein, L.D.; Cao, Y.; Pau, G.; Lawrence, M.; Wu, T.D.; Seshagiri, S.; Gentleman, R. Prediction and Quantification of Splice Events from RNA-Seq Data. PLoS ONE 2016, 11, e0156132. [Google Scholar] [CrossRef]
- Ramirez-Gonzalez, R.H.; Bonnal, R.; Caccamo, M.; MacLean, D. Bio-samtools: Ruby bindings for SAMtools, a library for accessing BAM files containing high-throughput sequence alignments. Source Code Biol. Med. 2012, 7, 6. [Google Scholar] [CrossRef] [PubMed]
- Weeks, N.T.; Luecke, G.R. Optimization of SAMtools sorting using OpenMP tasks. Clust. Comput. 2017, 20, 1869–1880. [Google Scholar] [CrossRef]
- Ghosh, S.; Chan, C.K. Analysis of RNA-Seq Data Using TopHat and Cufflinks. Methods Mol. Biol. 2016, 1374, 339–361. [Google Scholar] [PubMed]
- Trapnell, C.; Roberts, A.; Goff, L.; Pertea, G.; Kim, D.; Kelley, D.R.; Pimentel, H.; Salzberg, S.L.; Rinn, J.L.; Pachter, L. Differential gene and transcript expression analysis of RNA-seq experiments with TopHat and Cufflinks. Nat. Protoc. 2014, 9, 2513. [Google Scholar] [CrossRef]
- Planet, E.; Attolini, C.S.-O.; Reina, O.; Flores, O.; Rossell, D. htSeqTools: High-throughput sequencing quality control, processing and visualization in R. Bioinformatics 2012, 28, 589–590. [Google Scholar] [CrossRef]
- Putri, G.H.; Anders, S.; Pyl, P.T.; Pimanda, J.E.; Zanini, F. Analysing high-throughput sequencing data in Python with HTSeq 2.0. Bioinformatics 2022, 21, btac166. [Google Scholar] [CrossRef] [PubMed]
- Elie, M. In Papyro Comparison of TMM (edgeR), RLE (DESeq2), and MRN Normalization Methods for a Simple Two-Conditions-without-Replicates RNA-Seq Experimental Design. Front. Genet. 2016, 7, 164. [Google Scholar]
- Varet, H.; Brillet-Guéguen, L.; Coppée, J.Y.; Dillies, M.A. SARTools: A DESeq2- and EdgeR-Based R Pipeline for Comprehensive Differential Analysis of RNA-Seq Data. PLoS ONE 2016, 11, e0157022. [Google Scholar] [CrossRef] [PubMed]
- Chen, J.; Li, C.; Zhu, Y.; Sun, L.; Sun, H.; Liu, Y.; Zhang, Z.; Wang, C. Integrating GO and KEGG terms to characterize and predict acute myeloid leukemia-related genes. Hematology 2015, 20, 336–342. [Google Scholar] [CrossRef]
- Zhang, T.; Jiang, M.; Chen, L.; Niu, B.; Cai, Y. Prediction of Gene Phenotypes Based on GO and KEGG Pathway Enrichment Scores. BioMed Res. Int. 2013, 2013, 870795. [Google Scholar] [CrossRef] [PubMed]
- Mabuchi, I. An actin-depolymerizing protein (depactin) from starfish oocytes: Properties and interaction with actin. J. Cell Biol. 1983, 97, 1612–1621. [Google Scholar] [CrossRef] [PubMed]
- Conesa, A.; Gotz, S.; Garcia-Gomez, J.M.; Terol, J.; Talon, M.; Robles, M. Blast2GO: A universal tool for annotation, visualization and analysis in functional genomics research. Bioinformatics 2005, 21, 3674–3676. [Google Scholar] [CrossRef] [PubMed]
- Ye, J.; Zhang, Y.; Cui, H.; Liu, J.; Wu, Y.; Cheng, Y.; Xu, H.; Huang, X.; Li, S.; Zhou, A.; et al. WEGO 2.0: A web tool for analyzing and plotting GO annotations, 2018 update. Nucleic Acids Res. 2018, 46, W71–W75. [Google Scholar] [CrossRef]









| Variety | CIP Number | Maternal Parent | Paternal Parent | Total Root Length (cm) | No. of Branches | Root Area (cm2) | Root Volume (cm3) |
|---|---|---|---|---|---|---|---|
| C16 | CIP397077.16 | 392025.7 (=LR93.221) | 392820.1 (=C93.154) | 83.92 | 75.23 | 11.35 | 107.33 |
| C119 | CIP398098.119 | 393371.58 | 392639.31 | 121.07 | 119.67 | 12.77 | 122.45 |
Publisher’s Note: MDPI stays neutral with regard to jurisdictional claims in published maps and institutional affiliations. |
© 2022 by the authors. Licensee MDPI, Basel, Switzerland. This article is an open access article distributed under the terms and conditions of the Creative Commons Attribution (CC BY) license (https://creativecommons.org/licenses/by/4.0/).
Share and Cite
Qin, T.; Sun, C.; Kazim, A.; Cui, S.; Wang, Y.; Richard, D.; Yao, P.; Bi, Z.; Liu, Y.; Bai, J. Comparative Transcriptome Analysis of Deep-Rooting and Shallow-Rooting Potato (Solanum tuberosum L.) Genotypes under Drought Stress. Plants 2022, 11, 2024. https://doi.org/10.3390/plants11152024
Qin T, Sun C, Kazim A, Cui S, Wang Y, Richard D, Yao P, Bi Z, Liu Y, Bai J. Comparative Transcriptome Analysis of Deep-Rooting and Shallow-Rooting Potato (Solanum tuberosum L.) Genotypes under Drought Stress. Plants. 2022; 11(15):2024. https://doi.org/10.3390/plants11152024
Chicago/Turabian StyleQin, Tianyuan, Chao Sun, Ali Kazim, Song Cui, Yihao Wang, Dormatey Richard, Panfeng Yao, Zhenzhen Bi, Yuhui Liu, and Jiangping Bai. 2022. "Comparative Transcriptome Analysis of Deep-Rooting and Shallow-Rooting Potato (Solanum tuberosum L.) Genotypes under Drought Stress" Plants 11, no. 15: 2024. https://doi.org/10.3390/plants11152024
APA StyleQin, T., Sun, C., Kazim, A., Cui, S., Wang, Y., Richard, D., Yao, P., Bi, Z., Liu, Y., & Bai, J. (2022). Comparative Transcriptome Analysis of Deep-Rooting and Shallow-Rooting Potato (Solanum tuberosum L.) Genotypes under Drought Stress. Plants, 11(15), 2024. https://doi.org/10.3390/plants11152024

