Different Cell Types Affect the Transition from Juvenile to Mature Phase in Citrus Plants Regenerated through Somatic Embryogenesis
Abstract
1. Introduction
2. Materials and Methods
2.1. Plant Regeneration
2.2. Assessment of Ploidy by Flow Cytometric Analysis
2.3. Assessment of Genetic Stability in Regenerants by ISSR and RAPD Markers
2.4. Grafting Conditions
2.5. Growth and Flowering Assessment of Plants Maintained in Greenhouse
2.6. Morphological Analyses on Plants Transplanted in the Field
2.7. Estimation of Leaf Area Using Linear Leaf Measurements
3. Results
3.1. Somatic Embryogenesis
3.2. Genetic Fidelity Analysis of the Regenerated Plants
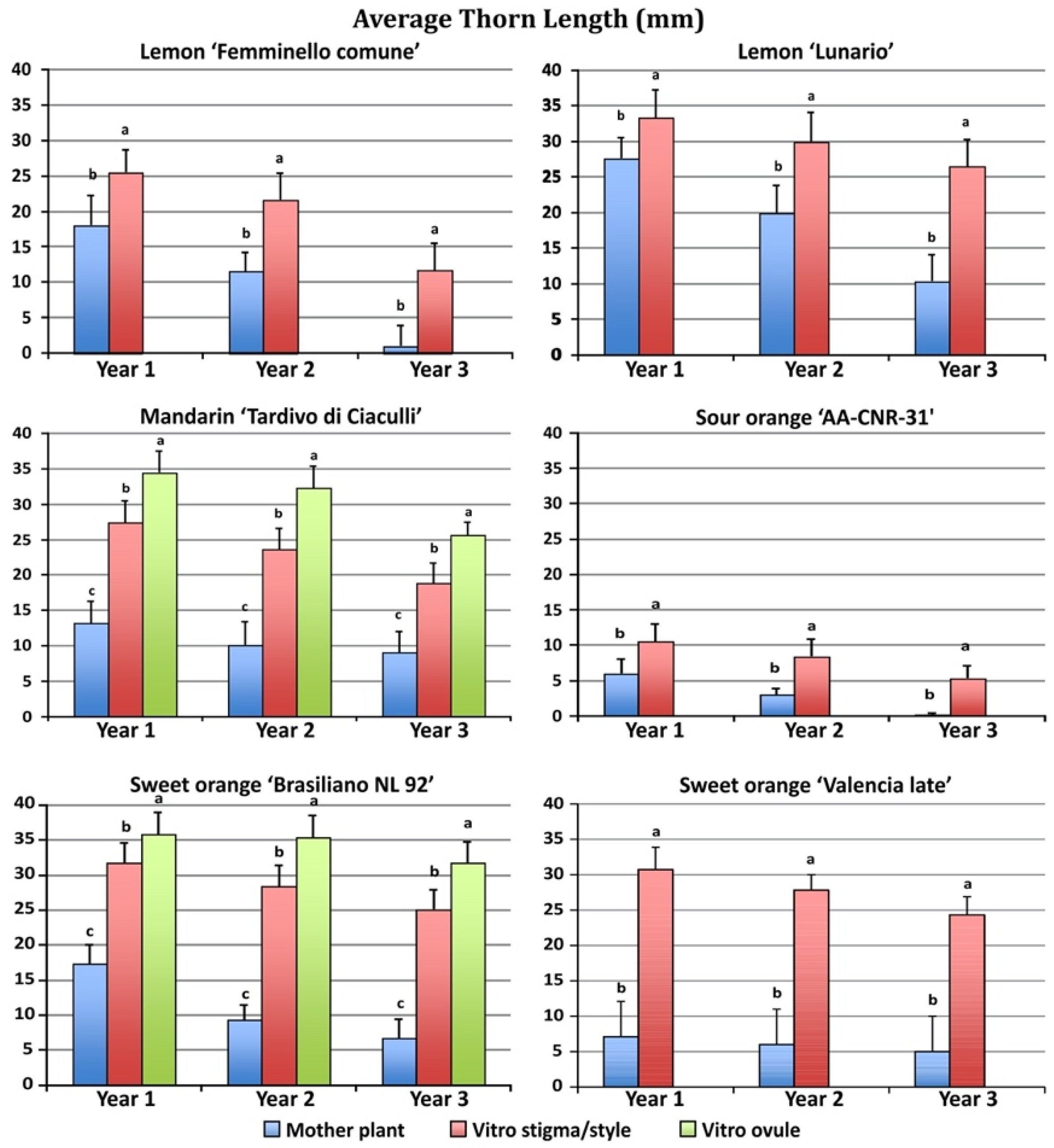
3.3. Growth and Flowering Assessment of Plants Maintained in Greenhouse
3.4. Observations of Juvenility Mature and Regenerated Plants Maintained in the Field
4. Discussion
Supplementary Materials
Author Contributions
Funding
Institutional Review Board Statement
Informed Consent Statement
Data Availability Statement
Conflicts of Interest
References
- Bednarek, P.T.; Orłowska, R. Plant tissue culture environment as a switch-key of (epi) genetic changes. Plant Cell Tissue Organ Cult. 2020, 140, 245–257. [Google Scholar] [CrossRef]
- Larkin, P.J.; Scowcroft, W.R. Somaclonal variation—A novel source of variability from cell cultures for plant improvement. Appl. Genet. 1981, 60, 197–214. [Google Scholar] [CrossRef] [PubMed]
- Kumar, K.; Gill, M.I.S.; Gosal, S.S. Somatic embryogenesis, in vitro selection and plantlet regeneration for citrus improvement. In Biotechnologies of Crop Improvement; Springer: Cham, Switzerland, 2018; Volume 1, pp. 373–406. [Google Scholar]
- Catalano, C.; Abbate, L.; Motisi, A.; Crucitti, D.; Cangelosi, V.; Pisciotta, A.; Di Lorenzo, R.; Carimi, F.; Carra, A. Autotetraploid Emergence via Somatic Embryogenesis in Vitis vinifera Induces Marked Morphological Changes in Shoots, Mature Leaves, and Stomata. Cells 2021, 10, 1336. [Google Scholar] [CrossRef]
- Bairu, M.W.; Aremu, A.O.; Van Staden, J. Somaclonal variation in plants: Causes and detection methods. Plant Growth Regul. 2011, 63, 147–173. [Google Scholar] [CrossRef]
- Omar, A.A.; Dutt, M.; Gmitter, F.G.; Grosser, J.W. Somatic embryogenesis: Still a relevant technique in citrus improvement. In In Vitro Embryogenesis in Higher Plants; Humana Press: New York, NY, USA, 2016; pp. 289–327. [Google Scholar]
- Zhang, S.; Liang, M.; Wang, N.; Xu, Q.; Deng, X.; Chai, L. Reproduction in woody perennial Citrus: An update on nucellar embryony and self-incompatibility. Plant Reprod. 2018, 31, 43–57. [Google Scholar] [CrossRef]
- Furr, J.R.; Cooper, W.C.; Reece, P.C. An investigation on flower formation in adult and juvenile citrus trees. Am. J. Bot. 1947, 34, 1–8. [Google Scholar] [CrossRef]
- Hackett, W.P. Juvenility, maturation, and rejuvenation in woody plants. Hortic. Rev. 1985, 7, 109–155. [Google Scholar]
- Huijser, P.; Schmid, M. The control of developmental phase transitions in plants. Development 2011, 138, 4117–4129. [Google Scholar] [CrossRef]
- Wang, J.W.; Park, M.Y.; Wang, L.J.; Koo, Y.; Chen, X.Y.; Weigel, D.; Poethig, R.S. MiRNA control of vegetative phase change in trees. PLoS Genet. 2011, 7, e1002012. [Google Scholar] [CrossRef]
- Snowball, A.M.; Warrington, I.J.; Halligan, E.A.; Mullins, M.G. Phase change in citrus: The effects of main stem node number, branch habit and paclobutrazol application on flowering in citrus seedlings. J. Hortic. Sci. 1994, 69, 149–160. [Google Scholar] [CrossRef]
- Snowball, A.M.; Halligan, E.A.; Warrington, I.J.; Mullins, M.G. Phase change in citrus: Growth and flowering of citrus seedlings from thirteen genetically diverse seedling families. J. Hortic. Sci. 1994, 69, 141–148. [Google Scholar] [CrossRef]
- Krajewski, A.J.; Rabe, E. Citrus flowering: A critical evaluation. J. Hortic. Sci. 1995, 70, 357–374. [Google Scholar] [CrossRef]
- Mitani, N.; Matsumoto, R.; Yoshioka, T.; Kuniga, T. Citrus hybrid seedlings reduce initial time to flower when grafted onto shiikuwasha rootstock. Sci. Hortic. 2008, 116, 452–455. [Google Scholar] [CrossRef]
- Nishikawa, F. Regulation of floral induction in citrus. J. Jpn. Soc. Hortic. Sci. 2013, 82, 283–292. [Google Scholar] [CrossRef]
- Caruso, M.; Smith, M.W.; Froelicher, Y.; Russo, G.; Gmitter, F.G., Jr. Traditional breeding. In The Genus Citrus; Woodhead Publishing: Sawston, UK, 2020; pp. 129–148. [Google Scholar]
- Cervera, M.; Juárez, J.; Navarro, L.; Peña, L. Genetic transformation of mature Citrus plants. In Transgenic Plants: Methods and Protocols. Methods in Molecular Biology; Peña, L., Ed.; Humana Press: Totowa, NJ, USA, 2005; Volume 286. [Google Scholar]
- Endo, T.; Shimada, T.; Fujii, H.; Kobayashi, Y.; Araki, T.; Omura, M. Ectopic expression of an FT homolog from Citrus confers an early flowering phenotype on trifoliate orange (Poncirus trifoliata L. Raf.). Transgenic Res. 2005, 14, 703–712. [Google Scholar] [CrossRef]
- Pena, L.; Cervera, M.; Fagoaga, C.; Romero, J.; Juarez, J.; Pina, J.A.; Navarro, L. Citrus. In Biotechnology in Agriculture and Forestry, Transgenic Crops; Pua, E.C., Davey, M.R., Eds.; Springer: Berlin/Heidelberg, Germany; New York, NY, USA, 2007; Volume 60, pp. 35–50. [Google Scholar]
- Velázquez, K.; Agüero, J.; Vives, M.C.; Aleza, P.; Pina, J.A.; Moreno, P.; Navarro, L.; Guerri, J. Precocious flowering of juvenile citrus induced by a viral vector based on Citrus leaf blotch virus: A new tool for genetics and breeding. Plant Biotechnol. J. 2016, 14, 1976–1985. [Google Scholar] [CrossRef]
- Salonia, F.; Ciacciulli, A.; Poles, L.; Pappalardo, H.D.; La Malfa, S.; Licciardello, C. New Plant Breeding Techniques in Citrus for the Improvement of Important Agronomic Traits. A Review. Front. Plant Sci. 2020, 11, 1234. [Google Scholar] [CrossRef]
- Sim, G.E.; Goh, C.J.; Loh, C.S. Micropropagation of Citrus mitis Blanco- multiple bud formation from shoot and root explants in the presence of 6-benzylaminopurine. Plant Sci. 1989, 59, 203–210. [Google Scholar] [CrossRef]
- Cervera, M.; Juárez, J.; Navarro, A.; Pina, J.A.; Duran-Vila, N.; Navarro, L.; Peña, L. Genetic transformation and regeneration n of mature tissues of woody fruit plants bypassing the juvenile stage. Transgenic Res. 1998, 7, 51–59. [Google Scholar] [CrossRef]
- Bassan, M.M.; Mourão Filho, F.A.A.; Miyata, L.Y.; Mendes, B.M.J. In vitro organogenesis from internodal segments of adult sweet orange plants. Pesqui. Agropecuária Bras. 2011, 46, 672–674. [Google Scholar] [CrossRef][Green Version]
- Cardoso, J.C.; Curtolo, M.; Latado, R.R.; Martinelli, A.P. Somatic embryogenesis of a seedless sweet orange (Citrus sinensis (L.) Osbeck). Vitr. Cell. Dev. Biol. Plant 2017, 53, 619–623. [Google Scholar] [CrossRef]
- Carimi, F.; Tortorici, M.C.; De Pasquale, F.; Crescimanno, F.G. Somatic embryogenesis and plant regeneration from undeveloped ovules and stigma/style explants of sweet orange navel group [Citrus sinensis (L.) Osb.]. Plant Cell Tissue Organ Cult. 1998, 54, 183–189. [Google Scholar] [CrossRef]
- Hidaka, T.; Yamada, Y.; Shichijo, T. Plantlet formation from anthers of C. aurantium L. Proc. Intl. Soc. Citric. 1981, 1, 153–155. [Google Scholar]
- Nito, N.; Iwamasa, M. In vitro plantlet formation from juice vesicle callus of satsuma (Citrus unshiu Marc.). Plant Cell Tissue Organ Cult. 1990, 20, 137–140. [Google Scholar] [CrossRef]
- Carimi, F.; De Pasquale, F.; Crescimanno, F.G. Somatic embryogenesis in Citrus from styles culture. Plant Sci. 1995, 105, 81–86. [Google Scholar] [CrossRef]
- Murashige, T.; Skoog, F. A revised medium for rapid growth and bioassays with tobacco tissue cultures. Physiol Plant 1962, 15, 473–497. [Google Scholar] [CrossRef]
- De Pasquale, F.; Giuffrida, S.; Carimi, F. Minigrafting of shoots, roots, inverted roots, and somatic embryos for rescue of in vitro Citrus regenerants. J. Am. Soc. Hort. Sci. 1999, 124, 152–157. [Google Scholar] [CrossRef]
- Doyle, J.J.; Doyle, J.L. A rapid DNA isolation procedure from small quantities of fresh leaf tissue. Phytochem. Bull. 1987, 19, 11–15. [Google Scholar]
- Sambrook, J.; Fritsch, E.F.; Maniatis, T. Molecular Cloning. A Laboratory Manual, 2nd ed.; Cold Spring Harbor Laboratory Press: Cold Spring Harbor, NY, USA, 1989. [Google Scholar]
- Carra, A.; Sajeva, M.; Abbate, L.; Siragusa, M.; Pathirana, R.; Carimi, F. Factors affecting somatic embryogenesis in eight Italian grapevine cultivars and the genetic stability of embryo-derived regenerants as assessed by molecular markers. Sci. Hortic. 2016, 204, 123–127. [Google Scholar] [CrossRef]
- Fang, D.Q.; Roose, M.L. Identification of closely related citrus cultivars with inter-simple sequence repeat markers. Theor. Appl. Genet. 1997, 95, 408–417. [Google Scholar] [CrossRef]
- Coletta Filho, H.D.; Machado, M.A.; Targon, M.L.P.N.; Moreira, M.C.P.Q.D.G.; Pompeu, J., Jr. Analysis of the genetic diversity among mandarins (Citrus spp.) using RAPD markers. Euphytica 1998, 102, 133–139. [Google Scholar] [CrossRef]
- Ascenso, J.C.; Soost, R.K. Relationships between leaf surface area and linear dimension in seedling Citrus populations. J. Am. Soc. Hort. Sci. 1976, 101, 696–698. [Google Scholar]
- Ikeuchi, M.; Ogawa, Y.; Iwase, A.; Sugimoto, K. Plant regeneration: Cellular origins and molecular mechanisms. Development 2016, 143, 1442–1451. [Google Scholar] [CrossRef] [PubMed]
- Su, Y.H.; Tang, L.P.; Zhao, X.Y.; Zhang, X.S. Plant cell totipotency: Insights into cellular reprogramming. J. Integr. Plant Biol. 2021, 63, 228–243. [Google Scholar] [CrossRef]
- Fehér, A. Callus, dedifferentiation, totipotency, somatic embryogenesis: What these terms mean in the era of molecular plant biology? Front. Plant Sci. 2019, 10, 536. [Google Scholar] [CrossRef]
- Rangan, S.; Murashige, T.; Bitters, W.P. In vitro initiation of nucellar embryons in monoembryonic citrus. HortScience 1968, 3, 226–227. [Google Scholar]
- Carimi, F.; De Pasquale, F.; Crescimanno, F.G. Somatic embryogenesis from styles of lemon (Citrus limon). Plant Cell Tissue Organ Cult. 1994, 37, 209–211. [Google Scholar] [CrossRef]
- D’Onghia, A.M.; De Pasquale, F.; Carimi, F.; Savino, V.; Crescimanno, F.G. Somatic embryogenesis from style culture as possible means for virus elimination in Citrus. J. Phytopath. 1997, 145, 77–79. [Google Scholar] [CrossRef]
- D’Onghia, A.M.; Carimi, F.; De Pasquale, F.; Djelouah, K.; Martelli, G.P. Somatic embryogenesis from style culture: A new technique for the sanitization, conservation and safe exchange of citrus germplasm. In Proceedings of the Int. Soc. Citric., ‘IXth International Citrus Congress’, Orlando, FL, USA, 3–7 December 2000; Volume 1, pp. 147–149. [Google Scholar]
- D’Onghia, A.M.; Carimi, F.; De Pasquale, F.; Djelouah, K.; Martelli, G.P. Elimination of Citrus psorosis virus by somatic embryogenesis from stigma and style cultures. Plant Pathol. 2001, 50, 266–269. [Google Scholar] [CrossRef]
- Meziane, M.; Frasheri, D.; Carra, A.; Boudjeniba, M.; D’Onghia, A.M.; Mercati, F.; Djelouah, K.; Carimi, F. Attempts to eradicate graft-transmissible infections through somatic embryogenesis in Citrus ssp. and analysis of genetic stability of regenerated plants. Eur. J. Plant Pathol. 2017, 148, 85–95. [Google Scholar] [CrossRef]
- El-Sawy, A.; Gomaa, A.; Abd-El-Zaher, M.H.; Reda, A.; Danial, N. Production of somatic embryogenesis via in vitro culture of stigma and style for elimination of Citrus psorosis virus (CPsV) from some citrus genotypes. J. Hort. Sci. Ornam. Plants 2013, 5, 110–117. [Google Scholar]
- Mahmoud, K.B.; Najar, A.; JedidI, E.; HamdI, I.; Jemmali, A. Detection of two viroids in the Tunisian sweet orange (Citrus sinensis L.) cv. Maltese and sanitation via somatic embryogenesis. J. Chem. Pharm. Res. 2017, 9, 154–159. [Google Scholar]
- Ballester, A.; Vieitez, A.M. Partial rejuvenation of mature hardwood trees through somatic embryogenesis: The example of pedunculate oak. In Proceedings of the IUFRO Working Party 2.09.02 Conference on “Integrating Vegetative Propagation, Biotechnologies and Genetic Improvement for Tree Production and Sustainable Forest Management”, Brno, Czech Republic, 25–28 June 2012. [Google Scholar]
- Heide, O.M. Juvenility, maturation and rejuvenation in plants: Adventitious bud formation as a novel rejuvenation process. J. Hortic. Sci. Biotechnol. 2019, 94, 2–11. [Google Scholar] [CrossRef]
- Devy, N.F.; Yenni, Y.; Hardiyanto, H. The growth performance of citrus derived from somatic embryogenesis plantlet and scion stock. Indones. J. Agric. Sci. 2014, 15, 71–78. [Google Scholar] [CrossRef]
- Carimi, F. Somatic embryogenesis and organogenesis in citrus for sanitation and in vitro conservation. In Improvement of the Citrus Sector by the Setting up of the Common Conservation Strategies for the Free Exchange of Healthy Citrus Genetic Resources; D’Onghia, A.M., Menini, U., Martelli, G.P., Eds.; Options Méditerranéennes: Série B; CIHEAM publications: Rome, Italy, 2001; Volume 33, pp. 115–128. [Google Scholar]
- Button, J.; Kochba, J. Tissue culture in the citrus industry. In Applied and Fundamental Aspects of Plant Cell, Tissue, and Organ Culture; Reinert, J., Bajaj, Y.P.S., Eds.; Springer: Berlin/Heidelberg, Germany, 1977; pp. 70–92. [Google Scholar]




| Species | Leaf Area Estimation Equation | r2 |
|---|---|---|
| Lemon | LA = 1.477 + 0.652 (L × W) | 0.982 |
| Mandarin | LA = 0.784 + 0.618 (L × W) | 0.974 |
| Sour Orange | LA = −0.442 + 0.690 (L × W) | 0.968 |
| Sweet Orange | LA = 1.506 + 0.632 (L × W) | 0.990 |
| Genotype | Origin | Presence of Flowers | Flowering Plants | Fruiting Plants | ||
|---|---|---|---|---|---|---|
| Year 1 | Year 2 | Year 3 | Year 3 (%) | Year 3 | ||
| Lemon ‘Femminello comune’ | Mother plant | No | Yes | Yes | 100 | Yes |
| Vitro stigma/style | No | No | Yes | 50 | Yes | |
| Lemon ‘Lunario’ | Mother plant | No | Yes | Yes | 100 | Yes |
| Vitro stigma/style | No | No | Yes | 50 | No | |
| Mandarin ‘Tardivo di Ciaculli’ | Mother plant | No | Yes | Yes | 100 | Yes |
| Vitro stigma/style | No | No | Yes | 33 | Yes | |
| Vitro ovule | No | No | No | 0 | No | |
| Sour orange ‘AA-CNR-31’ | Mother plant | No | Yes | Yes | 100 | Yes |
| Vitro stigma/style | No | No | Yes | 66 | Yes | |
| Sweet orange ‘Brasiliano NL 92’ | Mother plant | No | Yes | Yes | 100 | Yes |
| Vitro stigma/style | No | No | Yes | 50 | Yes | |
| Vitro ovule | No | No | No | 0 | No | |
| Sweet orange ‘Valencia late’ | Mother plant | No | Yes | Yes | 100 | Yes |
| Vitro stigma/style | No | No | Yes | 33 | Yes | |
Publisher’s Note: MDPI stays neutral with regard to jurisdictional claims in published maps and institutional affiliations. |
© 2022 by the authors. Licensee MDPI, Basel, Switzerland. This article is an open access article distributed under the terms and conditions of the Creative Commons Attribution (CC BY) license (https://creativecommons.org/licenses/by/4.0/).
Share and Cite
Catalano, C.; Abbate, L.; Fatta Del Bosco, S.; Motisi, A.; Carimi, F.; De Michele, R.; Mercati, F.; D’Onghia, A.M.; Carra, A. Different Cell Types Affect the Transition from Juvenile to Mature Phase in Citrus Plants Regenerated through Somatic Embryogenesis. Plants 2022, 11, 1811. https://doi.org/10.3390/plants11141811
Catalano C, Abbate L, Fatta Del Bosco S, Motisi A, Carimi F, De Michele R, Mercati F, D’Onghia AM, Carra A. Different Cell Types Affect the Transition from Juvenile to Mature Phase in Citrus Plants Regenerated through Somatic Embryogenesis. Plants. 2022; 11(14):1811. https://doi.org/10.3390/plants11141811
Chicago/Turabian StyleCatalano, Caterina, Loredana Abbate, Sergio Fatta Del Bosco, Antonio Motisi, Francesco Carimi, Roberto De Michele, Francesco Mercati, Anna Maria D’Onghia, and Angela Carra. 2022. "Different Cell Types Affect the Transition from Juvenile to Mature Phase in Citrus Plants Regenerated through Somatic Embryogenesis" Plants 11, no. 14: 1811. https://doi.org/10.3390/plants11141811
APA StyleCatalano, C., Abbate, L., Fatta Del Bosco, S., Motisi, A., Carimi, F., De Michele, R., Mercati, F., D’Onghia, A. M., & Carra, A. (2022). Different Cell Types Affect the Transition from Juvenile to Mature Phase in Citrus Plants Regenerated through Somatic Embryogenesis. Plants, 11(14), 1811. https://doi.org/10.3390/plants11141811

