Hybrid Nanoparticles of Proanthocyanidins from Uncaria tomentosa Leaves: QTOF-ESI MS Characterization, Antioxidant Activity and Immune Cellular Response
Abstract
1. Introduction
2. Results
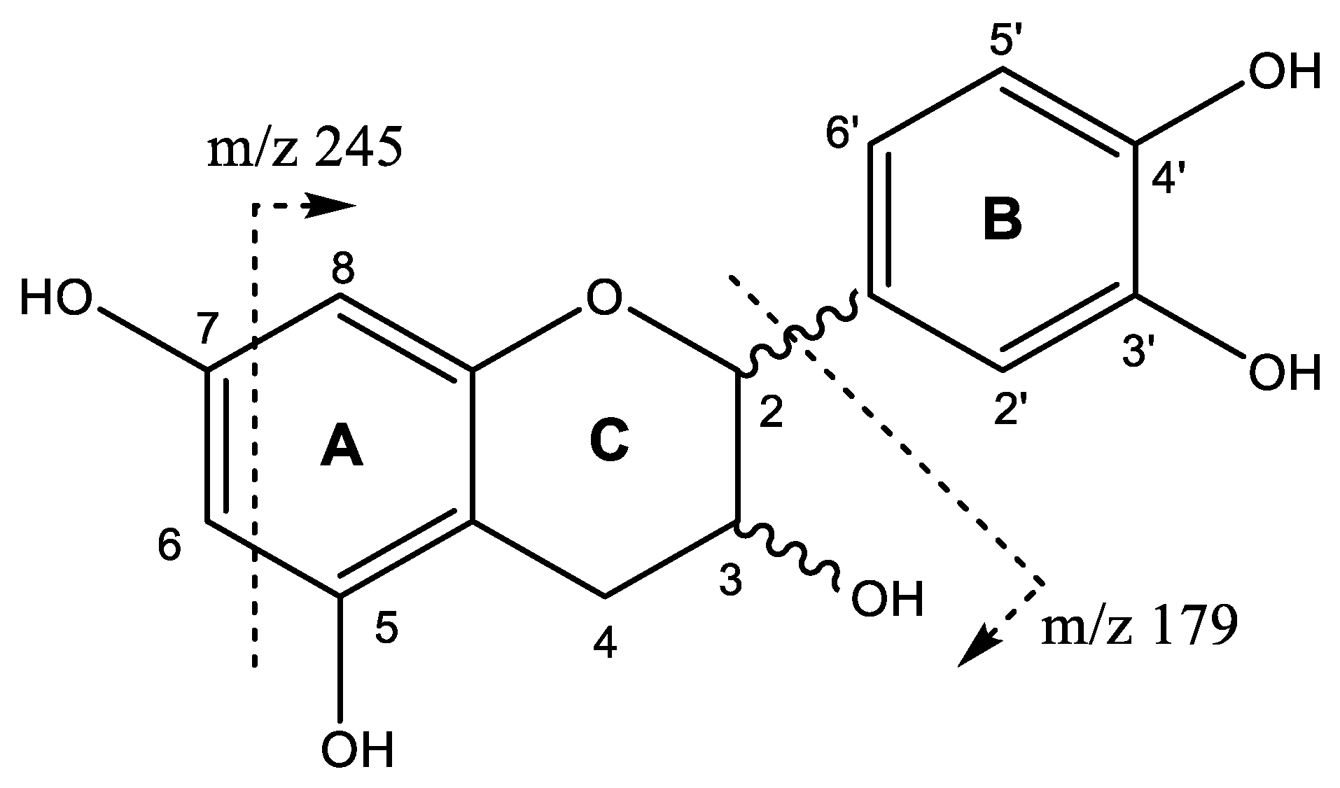
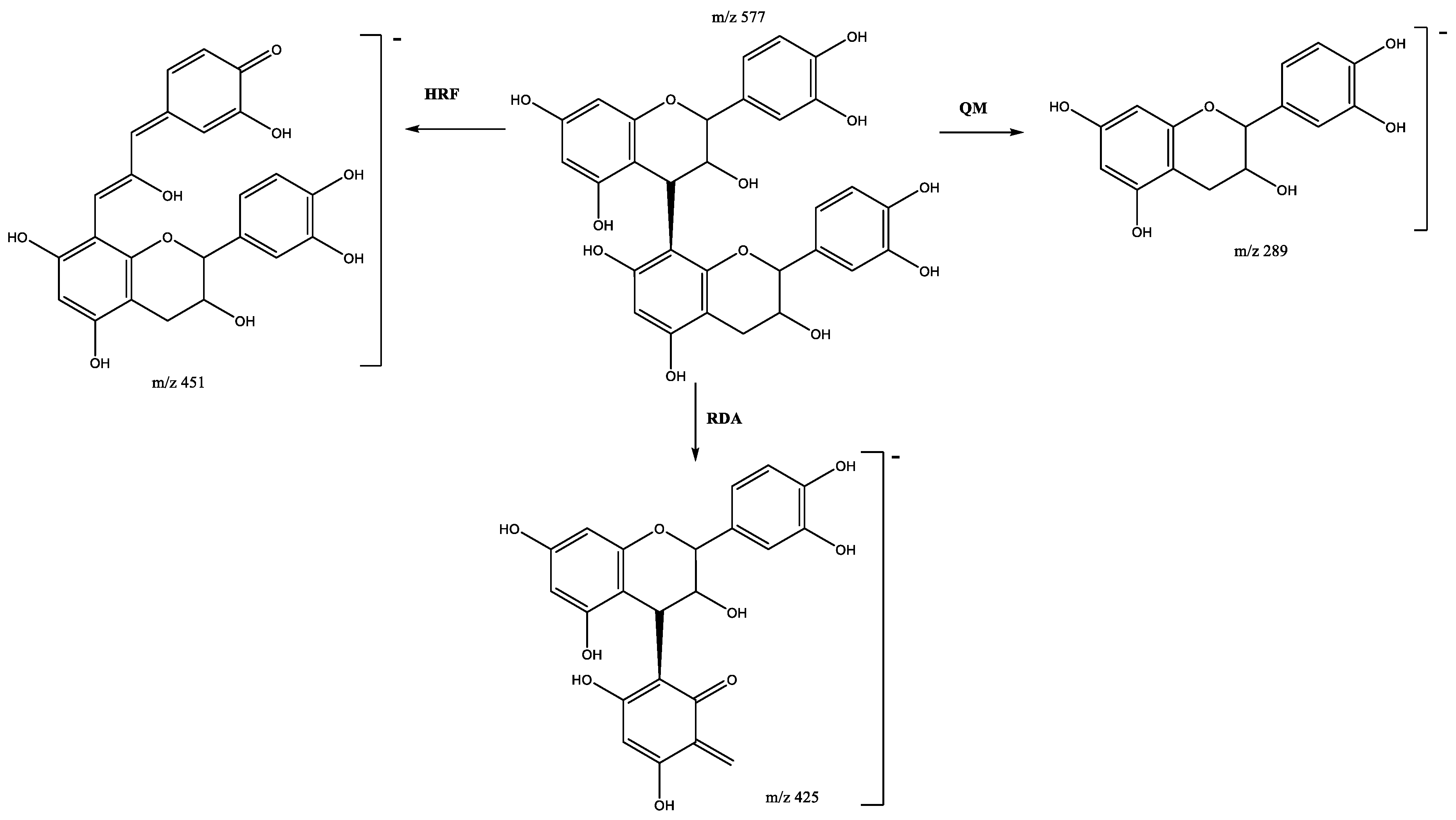
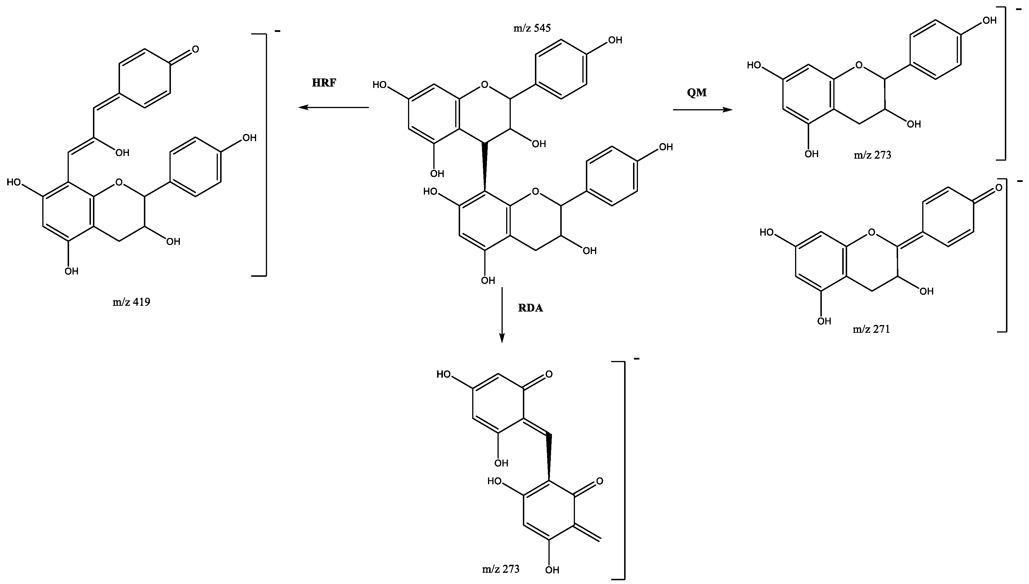
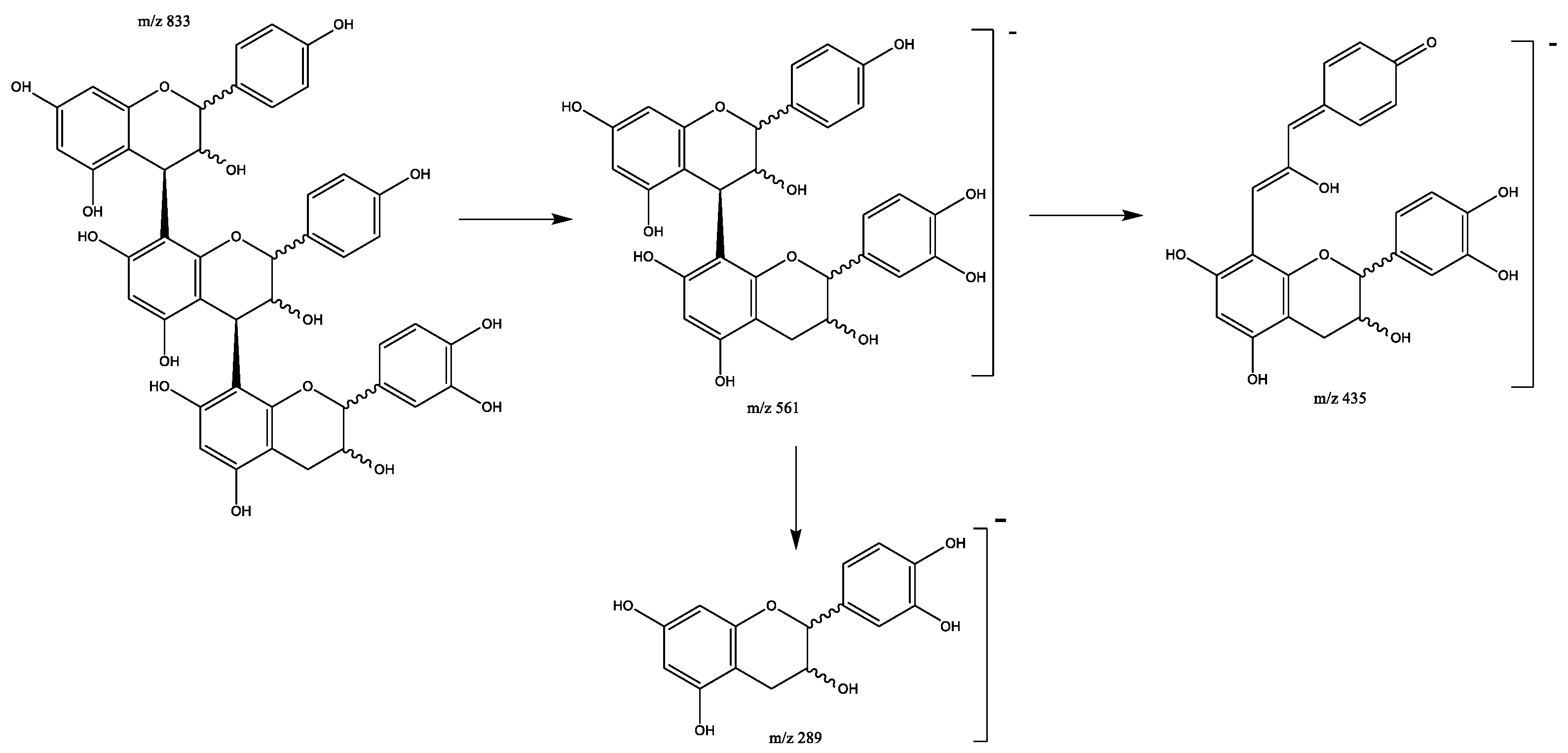
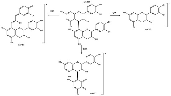
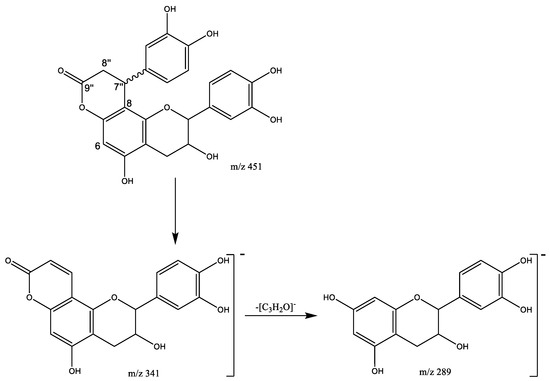
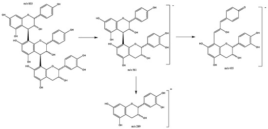
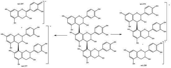
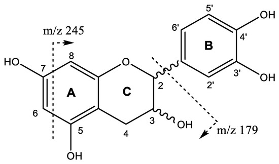
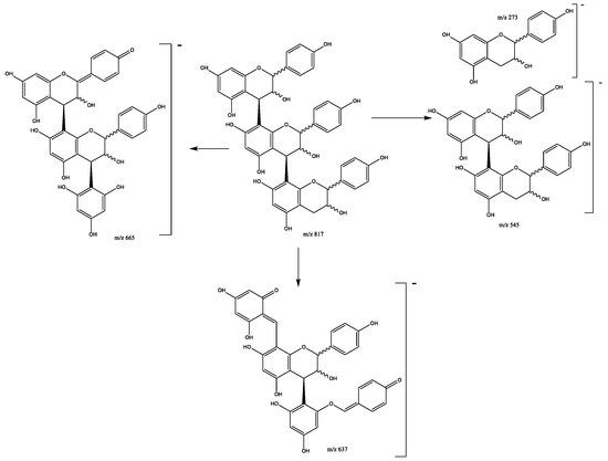
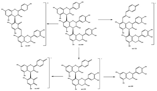
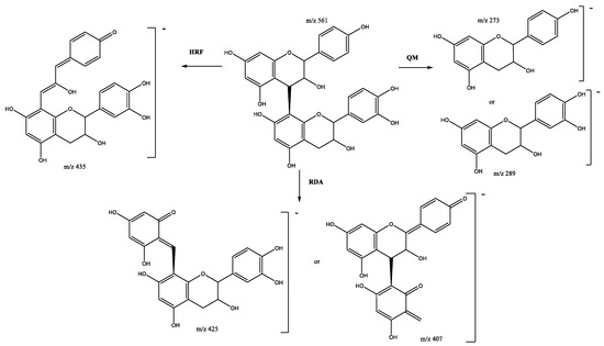
2.1. Profile by UPLC-DAD-ESI-MS/MS Analysis
2.2. 13C-NMR Analysis of U. tomentosa Leaves Polyphenolic Extract
2.3. Physicochemical Characterization of PA-E Loaded Nanoparticles
2.3.1. Particle Size and Morphology
2.3.2. %EE and Encapsulation
2.4. PA-E Loaded Nanoparticles In Vitro and In Vivo Evaluation
2.4.1. In Vitro Release Evaluation of PA-E Loaded Nanoparticles and Dissolution Profile of Free PA-E
2.4.2. Antioxidant Activity Evaluation of Free and Nanoencapsulated PA-E from U. tomentosa
2.4.3. Evaluation of the Cellular Immune Response of Mice through DTH
3. Materials and Methods
3.1. Materials and Reagents
3.2. Proanthocyanidins Extract from U. tomentosa Leaves
3.3. UPLC-QTOF-ESI-MS Analysis
3.4. NMR 13C Analysis of U. tomentosa Polyphenolic Extract
3.5. Preparation and Characterization of PA-E Loaded Nanoparticles
3.5.1. High-Resolution Transmission Electron Microscopy (HR-TEM)
3.5.2. Dynamic Light Scattering (DLS)
3.5.3. Total Attenuate Fourier Transform Infrared Spectroscopy (ATR-FT-IR)
3.5.4. Encapsulation Efficiency (EE)
3.5.5. In Vitro PA-E Release Evaluation
3.5.6. DPPH Radical-Scavenging Activity
3.5.7. Evaluation of the Cellular Immune Response of Mice through the Delayed-Type Hypersensitivity
3.6. Statistical Analysis
4. Conclusions
Author Contributions
Funding
Institutional Review Board Statement
Informed Consent Statement
Data Availability Statement
Acknowledgments
Conflicts of Interest
References
- Heitzman, M.E.; Neto, C.C.; Winiarz, E.; Vaisberg, A.J.; Hammond, G.B. Ethnobotany, phytochemistry and pharmacology of Uncaria (Rubiaceae). Phytochemistry 2005, 66, 5–29. [Google Scholar] [CrossRef] [PubMed]
- Potawale, S.E.; Mehta, U.K.; Sadiq, M.W.; Dhalawat, H.J.; Luniya, K.P.; Mantri, R.A.; Vetal, Y.D. Phytopharmacology of Uncaria tomentosa: A review. Pharmacologyonline 2 2008, 2, 197–214. [Google Scholar]
- Batiha, G.E.S.; Beshbishy, A.M.; Tayebwa, D.S.; Shaheen, H.M.; Yokoyama, N.; Igarashi, I. Inhibitory effects of Syzygium aromaticum and Camellia sinensis methanolic extracts on the growth of Babesia and Theileria parasites. Ticks Tick-Borne Dis. 2019, 10, 949–958. [Google Scholar] [CrossRef]
- Navarro Hoyos, M.; Sánchez-Patán, F.; Murillo Masis, R.; Martín-Álvarez, P.; Zamora Ramirez, W.; Monagas, M.; Bartolomé, B. Phenolic Assesment of Uncaria tomentosa L. (Cat’s Claw): Leaves, Stem, Bark and Wood Extracts. Molecules 2015, 20, 22703–22717. [Google Scholar] [CrossRef] [PubMed]
- Navarro, M.; Arnaez, E.; Moreira, I.; Hurtado, A.; Monge, D.; Monagas, M. Polyphenolic composition and antioxidant activity of Uncaria tomentosa commercial bark products. Antioxidants 2019, 8, 339. [Google Scholar] [CrossRef]
- Navarro, M.; Zamora, W.; Quesada, S.; Azofeifa, G.; Alvarado, D.; Monagas, M. Fractioning of Proanthocyanidins of Uncaria tomentosa. Composition and Structure-Bioactivity Relationship. Antioxidants 2017, 6, 60. [Google Scholar] [CrossRef]
- Navarro-Hoyos, M.; Lebrón-Aguilar, R.; Quintanilla-López, J.; Cueva, C.; Hevia, D.; Quesada, S.; Azofeifa, G.; Moreno-Arribas, M.; Monagas, M.; Bartolomé, B. Proanthocyanidin Characterization and Bioactivity of Extracts from Different Parts of Uncaria tomentosa L. (Cat’s Claw). Antioxidants 2017, 6, 12. [Google Scholar] [CrossRef] [PubMed]
- Navarro-Hoyos, M.; Alvarado-Corella, D.; Moreira-Gonzalez, I.; Arnaez-Serrano, E.; Monagas-Juan, M. Polyphenolic composition and antioxidant activity of aqueous and ethanolic extracts from uncaria tomentosa bark and leaves. Antioxidants 2018, 7, 65. [Google Scholar] [CrossRef]
- Falkiewicz, B.; Łukasiak, J. Vilcacora [Uncaria tomentosa (Willd.) DC. and Uncaria guianensis (Aublet) Gmell.]—A review of published scientific literature. Am. J. Case Rep. 2001, 2, 305–316. [Google Scholar]
- Aron, P.M.; Kennedy, J.A. Flavan-3-ols: Nature, occurrence and biological activity. Mol. Nutr. Food Res. 2008, 52, 79–104. [Google Scholar] [CrossRef]
- Cassidy, A.; Kay, C. Encyclopedia of Human Nutrition: Phytochemicals: Classification and Occurrence. Encycl. Hum. Nutr. 2013, 1, 490–497. [Google Scholar] [CrossRef]
- Leve, S.; Banga, H.; Shankar, P.; Dixit, R. An experimental study of a novel combination of a herbal drug with an allopathic drug to evaluate the antihyperglycemic effect of irbesartan plus curcumin and comparison with glibenclamide. Int. J. Basic Clin. Pharmacol. 2013, 2, 182. [Google Scholar] [CrossRef][Green Version]
- Iglesias, J.; Medina, I.; Pazos, M. Galloylation and Polymerization: Polyphenols in Human Health and Disease; Academic Press-Elsevier Inc.: Amsterdam, The Netherlands, 2018; Volume 1, p. 1488. [Google Scholar]
- Murkovic, M. Phenolic Compounds. In Encyclopedia of Food Sciences and Nutrition; Elsevier: Amsterdam, The Netherlands, 2003; pp. 4507–4514. [Google Scholar]
- Mena, P.; Calani, L.; Bruni, R.; Del Rio, D. Bioactivation of High-Molecular-Weight Polyphenols by the Gut Microbiome. In Diet-Microbe Interactions in the Gut Effects on Human Health and Disease; Academic Press: New York, NY, USA, 2015; pp. 73–101. [Google Scholar] [CrossRef]
- Márquez Campos, E.; Stehle, P.; Simon, M.C. Simon Microbial Metabolites of Flavan-3-Ols and Their Biological Activity. Nutrients 2019, 11, 2260. [Google Scholar] [CrossRef] [PubMed]
- Tai, B.H.; Trung, T.N.; Nhiem, N.X.; Ha, D.T.; Van Men, C.; Duong, V.B.; Van Luong, H.; Song, S.; Bae, K.; Kim, Y.H. A new flavan-3-ol and the anti-inflammatory effect of flavonoids from the fruit peels of Wisteria floribunda. J. Asian Nat. Prod. Res. 2011, 13, 1061–1068. [Google Scholar] [CrossRef]
- Luthfika Dewi, M.; Muhammad Fakih, T.; Imfyani Sofyan, R. The Discovery of Tyrosinase Enzyme Inhibitors Activity from Polyphenolic Compounds in Red Grape Seeds through in Silico Study. J. Pure Appl. Chem. Res. 2021, 10, 104–112. [Google Scholar] [CrossRef]
- Zolghadri, S.; Bahrami, A.; Hassan Khan, M.T.; Munoz-Munoz, J.; Garcia-Molina, F.; Garcia-Canovas, F.; Saboury, A.A. A comprehensive review on tyrosinase inhibitors. J. Enzyme Inhib. Med. Chem. 2019, 34, 279–309. [Google Scholar] [CrossRef] [PubMed]
- Pizzolatti, M.G.; Venson, A.F.; Júnior, A.S.; de FA Smânia, E.; Braz-Filho, R. Two Epimeric Flavalignans from Trichilia catigua (Meliaceae) with Antimicrobial Activity. Z. Für Nat. C 2002, 57, 483–488. [Google Scholar] [CrossRef]
- Resende, F.O.; Rodrigues-Filho, E.; Luftmann, H.; Petereit, F.; Mello, J.C. Phenylpropanoid substituted flavan-3-ols from Trichilia catigua and their in vitro antioxidative activity. J. Braz. Chem. Soc. 2011, 22, 2087–2093. [Google Scholar] [CrossRef]
- Qa’dan, F.; Verspohl, E.J.; Nahrstedt, A.; Petereit, F.; Matalka, K.Z. Cinchonain Ib isolated from Eriobotrya japonica induces insulin secretion in vitro and in vivo. J. Ethnopharmacol. 2009, 124, 224–227. [Google Scholar] [CrossRef]
- Murthy, K.N.C.; Monika, P.; Jayaprakasha, G.K.; Patil, B.S. Nanoencapsulation: An advanced nanotechnological approach to enhance the biological efficacy of curcumin. In ACS Symposium Series; ACS Publications: Washington, DC, USA, 2018; ISBN 9780841232969. [Google Scholar]
- Chaudhary, Z.; Ahmed, N.; Rehman, A.; Khan, G.M. Lipid polymer hybrid carrier systems for cancer targeting: A review. Int. J. Polym. Mater. Polym. Biomater. 2018, 67, 86–100. [Google Scholar] [CrossRef]
- Hadinoto, K.; Sundaresan, A.; Cheow, W.S. Lipid–polymer hybrid nanoparticles as a new generation therapeutic delivery platform: A review. Eur. J. Pharm. Biopharm. 2013, 85, 427–443. [Google Scholar] [CrossRef] [PubMed]
- Hamed, A.I.; Al-Ayed, A.S.; Moldoch, J.; Piacente, S.; Oleszek, W.; Stochmal, A. Profiles analysis of proanthocyanidins in the argun nut (Medemia argun—An ancient Egyptian palm) by LC-ESI-MS/MS. J. Mass Spectrom. 2014, 49, 306–315. [Google Scholar] [CrossRef] [PubMed]
- Gu, L.; Kelm, M.A.; Hammerstone, J.F.; Zhang, Z.; Beecher, G.; Holden, J.; Haytowitz, D.; Prior, R.L. Liquid chromatographic/electrospray ionization mass spectrometric studies of proanthocyanidins in foods. J. Mass Spectrom. 2003, 38, 1272–1280. [Google Scholar] [CrossRef]
- Lin, L.-Z.; Sun, J.; Chen, P.; Monagas, M.J.; Harnly, J.M. UHPLC-PDA-ESI/HRMS n Profiling Method To Identify and Quantify Oligomeric Proanthocyanidins in Plant Products. J. Agric. Food Chem. 2014, 62, 9387–9400. [Google Scholar] [CrossRef] [PubMed]
- Karonen, M.; Loponen, J.; Ossipov, V.; Pihlaja, K. Analysis of procyanidins in pine bark with reversed-phase and normal-phase high-performance liquid chromatography–electrospray ionization mass spectrometry. Anal. Chim. Acta 2004, 522, 105–112. [Google Scholar] [CrossRef]
- Enomoto, H.; Takahashi, S.; Takeda, S.; Hatta, H. Distribution of Flavan-3-ol Species in Ripe Strawberry Fruit Revealed by Matrix-Assisted Laser Desorption/Ionization-Mass Spectrometry Imaging. Molecules 2019, 25, 103. [Google Scholar] [CrossRef] [PubMed]
- Sobeh, M.; Mahmoud, M.; Sabry, O.; Adel, R.; Dmirieh, M.; El-Shazly, A.; Wink, M. HPLC-PDA-MS/MS Characterization of Bioactive Secondary Metabolites from Turraea fischeri Bark Extract and Its Antioxidant and Hepatoprotective Activities In Vivo. Molecules 2017, 22, 2089. [Google Scholar] [CrossRef]
- Czochanska, Z.; Foo, L.Y.; Newman, R.H.; Porter, L.J. Polymeric proanthocyanidins. Stereochemistry, structural units, and molecular weight. J. Chem. Soc. Perkin Trans. 1 1980, 1, 2278–2286. [Google Scholar] [CrossRef]
- Fu, C.; Wang, H.; Ng, W.; Song, L.; Huang, D. Antioxidant Activity and Proanthocyanidin Profile of Selliguea feei Rhizomes. Molecules 2013, 18, 4282–4292. [Google Scholar] [CrossRef]
- Tang, W.; Hioki, H.; Harada, K.; Kubo, M.; Fukuyama, Y. Antioxidant Phenylpropanoid-Substituted Epicatechins from Trichilia catigua. J. Nat. Prod. 2007, 70, 2010–2013. [Google Scholar] [CrossRef]
- Valencia, M.S.; da Silva Júnior, M.F.; Xavier-Júnior, F.H.; de Oliveira Veras, B.; de Albuquerque, P.B.S.; de Oliveira Borba, E.F.; da Silva, T.G.; Xavier, V.L.; de Souza, M.P.; das Graças Carneiro-da-Cunha, M. Characterization of curcumin-loaded lecithin-chitosan bioactive nanoparticles. Carbohydr. Polym. Technol. Appl. 2021, 2, 100119. [Google Scholar] [CrossRef]
- Saedi, A.; Rostamizadeh, K.; Parsa, M.; Dalali, N.; Ahmadi, N. Preparation and characterization of nanostructured lipid carriers as drug delivery system: Influence of liquid lipid types on loading and cytotoxicity. Chem. Phys. Lipids 2018, 216, 65–72. [Google Scholar] [CrossRef] [PubMed]
- Souza, M.P.; Vaz, A.F.M.; Correia, M.T.S.; Cerqueira, M.A.; Vicente, A.A.; Carneiro-da-Cunha, M.G. Quercetin-Loaded Lecithin/Chitosan Nanoparticles for Functional Food Applications. Food Bioprocess Technol. 2014, 7, 1149–1159. [Google Scholar] [CrossRef]
- Kaasalainen, M.; Aseyev, V.; von Haartman, E.; Karaman, D.Ş.; Mäkilä, E.; Tenhu, H.; Rosenholm, J.; Salonen, J. Size, Stability, and Porosity of Mesoporous Nanoparticles Characterized with Light Scattering. Nanoscale Res. Lett. 2017, 12, 74. [Google Scholar] [CrossRef]
- Gaumet, M.; Vargas, A.; Gurny, R.; Delie, F. Nanoparticles for drug delivery: The need for precision in reporting particle size parameters. Eur. J. Pharm. Biopharm. 2008, 69, 1–9. [Google Scholar] [CrossRef]
- Behzadi, S.; Serpooshan, V.; Tao, W.; Hamaly, M.A.; Alkawareek, M.Y.; Dreaden, E.C.; Brown, D.; Alkilany, A.M.; Farokhzad, O.C.; Mahmoudi, M. Cellular uptake of nanoparticles: Journey inside the cell. Chem. Soc. Rev. 2017, 46, 4218–4244. [Google Scholar] [CrossRef]
- Son, H.Y.; Lee, D.J.; Lee, J.B.; Park, C.H.; Seo, M.; Jang, J.; Kim, S.J.; Yoon, M.S.; Nam, Y.S. In situ functionalization of highly porous polymer microspheres with silver nanoparticles via bio-inspired chemistry. RSC Adv. 2014, 4, 55604–55609. [Google Scholar] [CrossRef]
- Çalış, S.; Öztürk Atar, K.; Arslan, F.B.; Eroğlu, H.; Çapan, Y. Nanopharmaceuticals as Drug-Delivery Systems. In Nanocarriers for Drug Delivery; Elsevier: Amsterdam, The Netherlands, 2019; pp. 133–154. [Google Scholar] [CrossRef]
- Gaikwad, V.L.; Choudhari, P.B.; Bhatia, N.M.; Bhatia, M.S. Characterization of pharmaceutical nanocarriers: In vitro and in vivo studies. In Nanomaterials for Drug Delivery and Therapy; Elsevier: Amsterdam, The Netherlands, 2019; pp. 33–58. [Google Scholar]
- Kim, S.; Elgegren, M.; Donayre, A.; Galaretta, B.; Nakamatsu, J. Bioactive Membranes of Polymeric Micro and Nanocomposites Prepared with the Natural Anionic Marine Polysaccharide (Alginate) Functionalized with Extracts of Cat’s Claw (Uncaria tomentosa) and Aloe vera. Mater. Sci. Forum 2020, 1007, 131–136. [Google Scholar] [CrossRef]
- Mohamed, H.R.S.A.K.; Ebrahim, T.T.C.; Sridhar, K.; Siram, K.; Elumalai, M.; Ranganathan, H.; Muthusamy, S. Development and Validation of a Discriminative Dissolution Medium for a Poorly Soluble Nutraceutical Tetrahydrocurcumin. Turkish J. Pharm. Sci. 2021, 18, 565–573. [Google Scholar] [CrossRef]
- Phillips, D.J.; Pygall, S.R.; Cooper, V.B.; Mann, J.C. Overcoming sink limitations in dissolution testing: A review of traditional methods and the potential utility of biphasic systems. J. Pharm. Pharmacol. 2012, 64, 1549–1559. [Google Scholar] [CrossRef]
- Anand, O.; Yu, L.X.; Conner, D.P.; Davit, B.M. Dissolution Testing for Generic Drugs: An FDA Perspective. AAPS J. 2011, 13, 328. [Google Scholar] [CrossRef] [PubMed]
- Chethan, S.; Malleshi, N.G. Finger millet polyphenols: Optimization of extraction and the effect of pH on their stability. Food Chem. 2007, 105, 862–870. [Google Scholar] [CrossRef]
- Ching, Y.C.; Gunathilake, T.M.S.U.; Chuah, C.H.; Ching, K.Y.; Singh, R.; Liou, N.-S. Curcumin/Tween 20-incorporated cellulose nanoparticles with enhanced curcumin solubility for nano-drug delivery: Characterization and in vitro evaluation. Cellulose 2019, 26, 5467–5481. [Google Scholar] [CrossRef]
- Rompicharla, S.V.K.; Bhatt, H.; Shah, A.; Komanduri, N.; Vijayasarathy, D.; Ghosh, B.; Biswas, S. Formulation optimization, characterization, and evaluation of in vitro cytotoxic potential of curcumin loaded solid lipid nanoparticles for improved anticancer activity. Chem. Phys. Lipids 2017, 208, 10–18. [Google Scholar] [CrossRef]
- Ribeiro, A.F.; Santos, J.F.; Mattos, R.R.; Barros, E.G.; Nasciutti, L.E.; Cabral, L.M.; Sousa, V.P. Characterization and in vitro antitumor activity of polymeric nanoparticles loaded with Uncaria tomentosa extract. An. Da Acad. Bras. De Ciências 2020, 92, 3–16. [Google Scholar] [CrossRef] [PubMed]
- Godara, S.; Lather, V.; Kirthanashri, S.V.; Awasthi, R.; Pandita, D. Lipid-PLGA hybrid nanoparticles of paclitaxel: Preparation, characterization, in vitro and in vivo evaluation. Mater. Sci. Eng. C 2020, 109, 110576. [Google Scholar] [CrossRef]
- Baby, T.; Liu, Y.; Yang, G.; Chen, D.; Zhao, C.-X. Microfluidic synthesis of curcumin loaded polymer nanoparticles with tunable drug loading and pH-triggered release. J. Colloid Interface Sci. 2021, 594, 474–484. [Google Scholar] [CrossRef] [PubMed]
- Baek, J.-S.; Cho, C.-W. Surface modification of solid lipid nanoparticles for oral delivery of curcumin: Improvement of bioavailability through enhanced cellular uptake, and lymphatic uptake. Eur. J. Pharm. Biopharm. 2017, 117, 132–140. [Google Scholar] [CrossRef] [PubMed]
- Xiong, X.Y.; Tam, K.C.; Gan, L.H. Release kinetics of hydrophobic and hydrophilic model drugs from pluronic F127/poly(lactic acid) nanoparticles. J. Control. Release 2005, 103, 73–82. [Google Scholar] [CrossRef]
- Vandenhaute, M.; Snoeck, D.; Vanderleyden, E.; De Belie, N.; Van Vlierberghe, S.; Dubruel, P. Stability of Pluronic® F127 bismethacrylate hydrogels: Reality or utopia? Polym. Degrad. Stab. 2017, 146, 201–211. [Google Scholar] [CrossRef]
- Craig, D.Q. The mechanisms of drug release from solid dispersions in water-soluble polymers. Int. J. Pharm. 2002, 231, 131–144. [Google Scholar] [CrossRef]
- Castellani, S.; Trapani, A.; Spagnoletta, A.; di Toma, L.; Magrone, T.; Di Gioia, S.; Mandracchia, D.; Trapani, G.; Jirillo, E.; Conese, M. Nanoparticle delivery of grape seed-derived proanthocyanidins to airway epithelial cells dampens oxidative stress and inflammation. J. Transl. Med. 2018, 16, 140. [Google Scholar] [CrossRef]
- Orlandi, G.; Bari, E.; Catenacci, L.; Sorrenti, M.; Segale, L.; Farag, S.; Sorlini, M.; Arciola, C.R.; Torre, M.L.; Perteghella, S. Polyphenols-Loaded Sericin Self-Assembling Nanoparticles: A Slow-Release for Regeneration by Tissue-Resident Mesenchymal Stem/Stromal Cells. Pharmaceutics 2020, 12, 381. [Google Scholar] [CrossRef]
- Katiyar, S.K. Proanthocyanidins from Grape Seeds Inhibit UV-Radiation-Induced Immune Suppression in Mice: Detection and Analysis of Molecular and Cellular Targets. Photochem. Photobiol. 2015, 91, 156–162. [Google Scholar] [CrossRef]
- Staite, N.; Justen, J.; Sly, L.; Beaudet, A.; Bullard, D. Inhibition of delayed-type contact hypersensitivity in mice deficient in both E-selectin and P-selectin. Blood 1996, 88, 2973–2979. [Google Scholar] [CrossRef]
- Hacini-Rachinel, F.; Gheit, H.; Le Luduec, J.-B.; Dif, F.; Nancey, S.; Kaiserlian, D. Oral Probiotic Control Skin Inflammation by Acting on Both Effector and Regulatory T Cells. PLoS ONE 2009, 4, e4903. [Google Scholar] [CrossRef]
- Scott, P.; Kaufmann, S.H.E. The role of T-cell subsets and cytokines in the regulation of infection. Immunol. Today 1991, 12, 346–348. [Google Scholar] [CrossRef]
- Ahmed, A.R. Delayed-type hypersensitivity skin testing. A review. Arch. Dermatol. 1983, 119, 934–945. [Google Scholar] [CrossRef] [PubMed]
- Disis, M.L.; Schiffman, K.; Gooley, T.A.; McNeel, D.G.; Rinn, K.; Knutson, K.L. Delayed-type hypersensitivity response is a predictor of peripheral blood T-cell immunity after HER-2/neu peptide immunization. Clin. Cancer Res. 2000, 6, 1347–1350. [Google Scholar] [PubMed]
- Rosenberg, S.A.; Yang, J.C.; Restifo, N.P. Cancer immunotherapy: Moving beyond current vaccines. Nat. Med. 2004, 10, 909–915. [Google Scholar] [CrossRef]
- Xue, S.A.; Stauss, H.J. Enhancing immune responses for cancer therapy. Cell. Mol. Immunol. 2007, 4, 173–184. [Google Scholar] [PubMed]
- Eze, C.O.; Nworu, C.S.; Esimone, C.O.; Okore, V.C. Immunomodulatory activities of methanol extract of the whole aerial part of Phyllantus niruri L. J. Pharmacogn. Phyther. 2014, 6, 41–46. [Google Scholar] [CrossRef]
- Gokhale, A.; Damre, A.; Saraf, M. Investigations into the immunomodulatory activity of Argyreia speciosa. J. Ethnopharmacol. 2003, 84, 109–114. [Google Scholar] [CrossRef]
- Mediratta, P.; Sharma, K.; Singh, S. Evaluation of immunomodulatory potential of Ocimum sanctum seed oil and its possible mechanism of action. J. Ethnopharmacol. 2002, 80, 15–20. [Google Scholar] [CrossRef]
- Yunis-Aguinaga, J.; Claudiano, G.S.; Marcusso, P.F.; Manrique, W.G.; de Moraes, J.R.E.; de Moraes, F.R.; Fernandes, J.B.K. Uncaria tomentosa increases growth and immune activity in Oreochromis niloticus challenged with Streptococcus agalactiae. Fish Shellfish Immunol. 2015, 47, 630–638. [Google Scholar] [CrossRef]
- Yunis Aguinaga, J.; Claudiano, G.S.; Marcusso, P.F.; Ikefuti, C.; Ortega, G.G.; Eto, S.F.; da Cruz, C.; Moraes, J.R.E.; Moraes, F.R.; Fernandes, J.B.K. Acute Toxicity and Determination of the Active Constituents of Aqueous Extract of Uncaria tomentosa Bark in Hyphessobrycon eques. J. Toxicol. 2014, 2014, 412437. [Google Scholar] [CrossRef]
- Collier, J.L.; Weiss, S.A.; Pauken, K.E.; Sen, D.R.; Sharpe, A.H. Not-so-opposite ends of the spectrum: CD8+ T cell dysfunction across chronic infection, cancer and autoimmunity. Nat. Immunol. 2021, 22, 809–819. [Google Scholar] [CrossRef]
- Wilhelm Romero, K.; Quirós, M.I.; Vargas, H.F.; Vega-Baudrit, J.R.; Navarro-Hoyos, M.; Araya-Sibaja, A.M. Design of Hybrid Polymeric-Lipid Nanoparticles Using Curcumin as a Model: Preparation, Characterization, and In Vitro Evaluation of Demethoxycurcumin and Bisdemethoxycurcumin-Loaded Nanoparticles. Polymers 2021, 13, 4207. [Google Scholar] [CrossRef]
- Mora Román, J.J.; Del Campo, M.; Villar, J.; Paolini, F.; Curzio, G.; Venuti, A.; Jara, L.; Ferreira, J.; Murgas, P.; Lladser, A.; et al. Immunotherapeutic Potential of Mollusk Hemocyanins in Combination with Human Vaccine Adjuvants in Murine Models of Oral Cancer. J. Immunol. Res. 2019, 2019, 7076942. [Google Scholar] [CrossRef]
















| No. | Rt (min) | Tentative Identification | Formula | [M-H]− | Error (ppm) | MS2 Fragments |
|---|---|---|---|---|---|---|
| 1 | 5.09 | Procynidin B trimer [(epi)cat-(epi)cat-(epi)cat] (I of VII) | C45H37O18 | 865.2084 | −4.966 | 577, 575, 425, 407, 289, 287, 175, 137 |
| 2 | 6.04 | Propelargonidin trimer [(epi)afz-(epi)cat-(epi)cat] (I of VIII) | C45H37O17 | 849.2089 | 7.506 | 723, 697, 679, 561, 559, 407, 289 |
| 3 | 7.33 | Properlargonidin trimer [(epi)afz-(epi)afz-(epi)cat]] (I of VIII) | C45H37O16 | 833.2141 | 2.356 | 711, 707, 561, 543, 435, 289, 273, 271, 174 |
| 4 | 9.58 | Pocyanidin B dimer [(epi)cat-(epi)cat] (I of IV) | C30H25O12 | 577.1382 | 7.186 | 559, 451, 435, 425, 407, 289 |
| 5 | 10.01 | Propelargonidin trimer [(epi)afz-(epi)afz-(epi)afz] (I of VI) | C45H37O15 | 817.2179 | 6.367 | 779, 775, 665, 637, 578, 527, 273, 237 |
| 6 | 10.35 | Procynidin B trimer [(epi)cat-(epi)cat-(epi)cat] (II of VII) | C45H37O18 | 865.2084 | −4.966 | 577, 575, 425, 407, 289, 287, 175, 137 |
| 7 | 10.38 | Pocyanidin B dimer [(epi)cat-(epi)cat] (II of IV) | C30H25O12 | 577.1382 | 7.186 | 559, 451, 435, 425, 407, 289 |
| 8 | 10.77 | Procynidin B trimer [(epi)cat-(epi)cat-(epi)cat] (III of VII) | C45H37O18 | 865.2084 | −4.966 | 577, 575, 425, 407, 289, 287, 175, 137 |
| 9 | 11.55 | Procynidin B trimer [(epi)cat-(epi)cat-(epi)cat] (IV of VII) | C45H37O18 | 865.2084 | −4.966 | 577, 575, 425, 407, 289, 287, 175, 137 |
| 10 | 12.29 | Propelargonidin trimer [(epi)afz-(epi)cat-(epi)cat] (II of VIII) | C45H37O17 | 849.2089 | 7.506 | 723, 697, 679, 561, 559, 407, 289 |
| 11 | 12.62 | Propelargonidin dimer [(epi)afz-(epi)cat] (I of IV) | C30H25O11 | 561.1416 | 4.388 | 435, 425, 407, 289, 273, 271, 245 |
| 12 | 12.67 | Procynidin B trimer [(epi)cat-(epi)cat-(epi)cat] (V of VII) | C45H37O18 | 865.2084 | −4.966 | 577, 575, 425, 407, 289, 287, 175, 137 |
| 13 | 12.70 | Pocyanidin B dimer [(epi)cat-(epi)cat] (III of IV) | C30H25O12 | 577.1382 | 7.186 | 559, 451, 435, 425, 407, 289 |
| 14 | 12.83 | Catechin | C15H13O6 | 289.0729 | 7.733 | 245, 179 |
| 15 | 13.63 | Propelargonidin trimer [(epi)afz-(epi)cat-(epi)cat] (III of VIII) | C45H37O17 | 849.2089 | 7.506 | 723, 697, 679, 561, 559, 407, 289 |
| 16 | 13.68 | Propelargonidin dimer [(epi)afz-(epi)cat] (II of IV) | C30H25O11 | 561.1416 | 4.388 | 435, 425, 407, 289, 273, 271, 245 |
| 17 | 13.84 | Pocyanidin B dimer [(epi)cat-(epi)cat] (IV of IV) | C30H25O12 | 577.1382 | 7.186 | 559, 451, 435, 425, 407, 289 |
| 18 | 14.39 | Procynidin B trimer [(epi)cat-(epi)cat-(epi)cat] (VI of VII) | C45H37O18 | 865.2084 | −4.966 | 577, 575, 425, 407, 289, 287, 175, 137 |
| 19 | 14.56 | Properlargonidin trimer [(epi)afz-(epi)afz-(epi)cat]] (II of VIII) | C45H37O16 | 833.2141 | 2.356 | 711, 707, 561, 543, 435, 289, 273, 271, 174 |
| 20 | 15.02 | Propelargonidin trimer [(epi)afz-(epi)cat-(epi)cat] (IV of VIII) | C45H37O17 | 849.2089 | 7.506 | 723, 697, 679, 561, 559, 407, 289 |
| 21 | 15.57 | Properlargonidin trimer [(epi)afz-(epi)afz-(epi)cat]] (III of VIII) | C45H37O16 | 833.2141 | 2.356 | 711, 707, 561, 543, 435, 289, 273, 271, 174 |
| 22 | 15.63 | Propelargonidin dimer [(epi)afz-(epi)cat] (III of IV) | C30H25O11 | 561.1416 | 4.388 | 435, 425, 407, 289, 273, 271, 245 |
| 23 | 15.79 | Propelargonidin dimer [(epi)afz-(epi)afz] (I of IV) | C30H25O10 | 545.1473 | 5.644 | 419, 409, 287, 273, 271 |
| 24 | 15.89 | Propelargonidin trimer [(epi)afz-(epi)cat-(epi)cat] (V of VIII) | C45H37O17 | 849.2089 | 7.506 | 723, 697, 679, 561, 559, 407, 289 |
| 25 | 16.18 | Propelargonidin dimer [(epi)afz-(epi)afz] (II of IV) | C30H25O10 | 545.1473 | 5.644 | 419, 409, 287, 273, 271 |
| 26 | 16.30 | Procynidin B trimer [(epi)cat-(epi)cat-(epi)cat] (VII of VII) | C45H37O18 | 865.2084 | −4.966 | 577, 575, 425, 407, 289, 287, 175, 137 |
| 27 | 16.36 | Properlargonidin trimer [(epi)afz-(epi)afz-(epi)cat]] (IV of VIII) | C45H37O16 | 833.2141 | 2.356 | 711, 707, 561, 543, 435, 289, 273, 271, 174 |
| 28 | 16.58 | Properlargonidin trimer [(epi)afz-(epi)afz-(epi)cat]] (V of VIII) | C45H37O16 | 833.2141 | 2.356 | 711, 707, 561, 543, 435, 289, 273, 271, 174 |
| 29 | 17.15 | Propelargonidin trimer [(epi)afz-(epi)afz-(epi)afz] (II of VI) | C45H37O15 | 817.2179 | 6.367 | 779, 775, 665, 637, 578, 527, 273, 237 |
| 30 | 17.24 | Epicatechin | C15H13O6 | 289.0729 | 7.733 | 245, 179 |
| 31 | 17.45 | Propelargonidin trimer [(epi)afz-(epi)cat-(epi)cat] (VI of VIII) | C45H37O17 | 849.2089 | 7.506 | 723, 697, 679, 561, 559, 407, 289 |
| 32 | 17.50 | Propelargonidin dimer [(epi)afz-(epi)cat] (IV of IV) | C30H25O11 | 561.1416 | 4.388 | 435, 425, 407, 289, 273, 271, 245 |
| 33 | 17.56 | Properlargonidin trimer [(epi)afz-(epi)afz-(epi)cat]] (VI of VIII) | C45H37O16 | 833.2141 | 2.356 | 711, 707, 561, 543, 435, 289, 273, 271, 174 |
| 34 | 18.13 | Properlargonidin trimer [(epi)afz-(epi)afz-(epi)cat]] (VII of VIII) | C45H37O16 | 833.2141 | 2.356 | 711, 707, 561, 543, 435, 289, 273, 271, 174 |
| 35 | 18.21 | Propelargonidin trimer [(epi)afz-(epi)cat-(epi)cat] (VII of VIII) | C45H37O17 | 849.2089 | 7.506 | 723, 697, 679, 561, 559, 407, 289 |
| 36 | 18.24 | Propelargonidin dimer [(epi)afz-(epi)afz] (III of IV) | C30H25O10 | 545.1473 | 5.644 | 419, 409, 287, 273, 271 |
| 37 | 18.57 | Propelargonidin trimer [(epi)afz-(epi)afz-(epi)afz] (III of VI) | C45H37O15 | 817.2179 | 6.367 | 779, 775, 665, 637, 578, 527, 273, 237 |
| 38 | 19.27 | Propelargonidin trimer [(epi)afz-(epi)cat-(epi)cat] (VIII of VIII) | C45H37O17 | 849.2089 | 7.506 | 723, 697, 679, 561, 559, 407, 289 |
| 39 | 19.42 | Propelargonidin trimer [(epi)afz-(epi)afz-(epi)afz] (IV of VI) | C45H37O15 | 817.2179 | 6.367 | 779, 775, 665, 637, 578, 527, 273, 237 |
| 40 | 19.71 | Propelargonidin dimer [(epi)afz-(epi)afz] (IV of IV) | C30H25O10 | 545.1473 | 5.644 | 419, 409, 287, 273, 271 |
| 41 | 20.91 | Properlargonidin trimer [(epi)afz-(epi)afz-(epi)cat]] (VIII of VIII) | C45H37O16 | 833.2141 | 2.356 | 711, 707, 561, 543, 435, 289, 273, 271, 174 |
| 42 | 21.61 | Cinchonain (I of VII) | C24H19O9 | 451.1039 | −1.915 | 341, 289, 271 |
| 43 | 21.84 | Propelargonidin trimer [(epi)afz-(epi)afz-(epi)afz] (V of VI) | C45H37O15 | 817.2179 | 6.367 | 779, 775, 665, 637, 578, 527, 273, 237 |
| 44 | 22.79 | Propelargonidin trimer [(epi)afz-(epi)afz-(epi)afz] (VI of VI) | C45H37O15 | 817.2179 | 6.367 | 779, 775, 665, 637, 578, 527, 273, 237 |
| 45 | 23.22 | Cinchonain (II of VII) | C24H19O9 | 451.1039 | −1.915 | 341, 289, 271 |
| 46 | 26.06 | Cinchonain (III of VII) | C24H19O9 | 451.1039 | −1.915 | 341, 289, 271 |
| 47 | 26.85 | Cinchonain (IV of VII) | C24H19O9 | 451.1039 | −1.915 | 341, 289, 271 |
| 48 | 27.94 | Cinchonain (V of VII) | C24H19O9 | 451.1039 | −1.915 | 341, 289, 271 |
| 49 | 28.47 | Cinchonain (VI of VII) | C24H19O9 | 451.1039 | −1.915 | 341, 289, 271 |
| 50 | 32.76 | Cinchonain (VII of VII) | C24H19O9 | 451.1039 | −1.915 | 341, 289, 271 |
| Sample | Size Average (nm) | Polydispersity Index (PDI) | %EE |
|---|---|---|---|
| F-1 | 26.1 ± 0.8 | 0.463 ± 0.025 | 92 ± 3 |
| F-2 | 112.0 ± 3.0 | 0.368 ± 0.021 | 98 ± 1 |
| IC50 (µg/mL) 1,2 | ||||
|---|---|---|---|---|
| Ethanol 3 | Water 3 | F-1 3,4 | F-2 3,4 | |
| PA-E | 13.6 a ± 0.1 | 41.2 b ± 2.0 | 13.5 a ± 0.1 | 12.5a ± 0.8 |
| Formulation | 0 h (mm) | 24 h (mm) | 48 h (mm) | 72 h (mm) |
|---|---|---|---|---|
| Water | 0.01 ± 0.03 a | 0.19 ± 0.05 a | 0.11 ± 0.07 a,b | 0.07 ± 0.02 a,b |
| PA-E | 0.00 ± 0.01 a | 0.19 ± 0.09 a | 0.15 ± 0.07 b,c | 0.11 ± 0.06 a |
| F-1 | 0.00 ± 0.01 a | 0.20 ± 0.06 a | 0.23 ± 0.07 c,d | 0.12 ± 0.06 a |
| F-2 | 0.00 ± 0.01 a | 0.26 ± 0.08 a | 0.25 ± 0.04 d | 0.08 ± 0.05 a,b |
Publisher’s Note: MDPI stays neutral with regard to jurisdictional claims in published maps and institutional affiliations. |
© 2022 by the authors. Licensee MDPI, Basel, Switzerland. This article is an open access article distributed under the terms and conditions of the Creative Commons Attribution (CC BY) license (https://creativecommons.org/licenses/by/4.0/).
Share and Cite
Araya-Sibaja, A.M.; Wilhelm-Romero, K.; Vargas-Huertas, F.; Quirós-Fallas, M.I.; Alvarado-Corella, D.; Mora-Román, J.J.; Vega-Baudrit, J.R.; Sánchez-Kopper, A.; Navarro-Hoyos, M. Hybrid Nanoparticles of Proanthocyanidins from Uncaria tomentosa Leaves: QTOF-ESI MS Characterization, Antioxidant Activity and Immune Cellular Response. Plants 2022, 11, 1737. https://doi.org/10.3390/plants11131737
Araya-Sibaja AM, Wilhelm-Romero K, Vargas-Huertas F, Quirós-Fallas MI, Alvarado-Corella D, Mora-Román JJ, Vega-Baudrit JR, Sánchez-Kopper A, Navarro-Hoyos M. Hybrid Nanoparticles of Proanthocyanidins from Uncaria tomentosa Leaves: QTOF-ESI MS Characterization, Antioxidant Activity and Immune Cellular Response. Plants. 2022; 11(13):1737. https://doi.org/10.3390/plants11131737
Chicago/Turabian StyleAraya-Sibaja, Andrea Mariela, Krissia Wilhelm-Romero, Felipe Vargas-Huertas, María Isabel Quirós-Fallas, Diego Alvarado-Corella, Juan José Mora-Román, José Roberto Vega-Baudrit, Andrés Sánchez-Kopper, and Mirtha Navarro-Hoyos. 2022. "Hybrid Nanoparticles of Proanthocyanidins from Uncaria tomentosa Leaves: QTOF-ESI MS Characterization, Antioxidant Activity and Immune Cellular Response" Plants 11, no. 13: 1737. https://doi.org/10.3390/plants11131737
APA StyleAraya-Sibaja, A. M., Wilhelm-Romero, K., Vargas-Huertas, F., Quirós-Fallas, M. I., Alvarado-Corella, D., Mora-Román, J. J., Vega-Baudrit, J. R., Sánchez-Kopper, A., & Navarro-Hoyos, M. (2022). Hybrid Nanoparticles of Proanthocyanidins from Uncaria tomentosa Leaves: QTOF-ESI MS Characterization, Antioxidant Activity and Immune Cellular Response. Plants, 11(13), 1737. https://doi.org/10.3390/plants11131737

