Chemical Constituents of the Flowers of Pueraria lobata and Their Cytotoxic Properties
Abstract
:1. Introduction
2. Results and Discussion
2.1. Sturcture Elucidation of Isolated Compounds
2.2. Cytotoxicity of Compounds Isolated from Puerariae Flos against Human Ovarian Cancer Cells
3. Materials and Methods
3.1. Plant Material
3.2. General Experimental Procedures
3.3. Extraction and Isolation
3.3.1. 13-N-Benzoyl-l-tryptophan-1-N-β-d-glucopyranoside (1)
3.3.2. 2-Hydroxy-5-methoxy-naringenin (4)
3.3.3. 2-Hydroxy-5-methoxy-naringenin 7-O-β-d-glucopyranoside (5)
3.4. Acidic Hydrolysis of Compounds 1 and 5
3.5. Absolute Configuration Analysis of β-Glucoses in Compounds 1 and 5
3.6. Absolute Configuration Analysis of Tryptophan in Compound 1
3.7. Cell Viability Assay
4. Conclusions
Supplementary Materials
Author Contributions
Funding
Data Availability Statement
Conflicts of Interest
References
- Follak, S. Potential distribution and environmental threat of Pueraria lobata. Open Life Sci. 2011, 6, 457–469. [Google Scholar] [CrossRef]
- Mitich, L.W. Kudzu [Pueraria lobata (Willd.) Ohwi]. Weed Technol. 2000, 14, 231–235. [Google Scholar] [CrossRef]
- Yamazaki, T.; Hosono, T.; Matsushita, Y.; Kawashima, K.; Someya, M.; Nakajima, Y.; Narui, K.; Hibi, Y.; Ishizaki, M.; Kinjo, J. Pharmacological studies on Puerariae Flos. IV: Effects of Pueraria thomsonii dried flower extracts on blood ethanol and acetaldehyde levels in humans. Int. J. Clin. Pharmacol. Res. 2002, 22, 23–28. [Google Scholar] [PubMed]
- McGregor, N.R. Pueraria lobata (Kudzu root) hangover remedies and acetaldehyde-associated neoplasm risk. Alcohol 2007, 41, 469–478. [Google Scholar] [CrossRef]
- Kinjo, J.-E.; Takeshita, T.; Nohara, T. Studies on the constituents of Pueraria lobata. V. A Tryptophan derivative from Puerariae Flos. Chem. Pharm. Bull. 1988, 36, 4171–4173. [Google Scholar] [CrossRef] [Green Version]
- Shi, S.; Ma, Y.; Zhang, Y.; Liu, L.; Liu, Q.; Peng, M.; Xiong, X. Systematic separation and purification of 18 antioxidants from Pueraria lobata flower using HSCCC target-guided by DPPH–HPLC experiment. Sep. Purif. Technol. 2012, 89, 225–233. [Google Scholar] [CrossRef]
- Kinjo, J.-E.; Takeshita, T.; Abe, Y.; Terada, N.; Yamashita, H.; Yamasaki, M.; Takeuchi, K.; Murakami, K.; Tomimatsu, T.; Nohara, T. Studies on the Constituents of Pueraria lobata. IV.: Chemical Constituents in the Flowers and the Leaves. Chem. Pharm. Bull. 1988, 36, 1174–1179. [Google Scholar] [CrossRef] [Green Version]
- Keung, W.M. Pueraria: The genus Pueraria; CRC Press: Boca Raton, FL, USA, 2002. [Google Scholar]
- Yu, W.; Zha, W.; Guo, S.; Cheng, H.; Wu, J.; Liu, C. Flos Puerariae extract prevents myocardial apoptosis via attenuation oxidative stress in streptozotocin-induced diabetic mice. PLoS ONE 2014, 9, e98044. [Google Scholar]
- Lertpatipanpong, P.; Janpaijit, S.; Park, E.Y.; Kim, C.T.; Baek, S.J. Potential Anti-Diabetic Activity of Pueraria lobata Flower (Flos Puerariae) Extracts. Molecules 2020, 25, 3970. [Google Scholar] [CrossRef]
- Yuan, D.; Xie, Y.Y.; Bai, X.; Wu, X.; Yang, J.Y.; Wu, C.F. Inhibitory activity of isoflavones of Pueraria flowers on nitric oxide production from lipopolysaccharide-activated primary rat microglia. J. Asian Nat. Prod. Res. 2009, 11, 471–481. [Google Scholar] [CrossRef]
- Ahn, S.Y.; Jo, M.S.; Lee, D.; Baek, S.E.; Baek, J.; Yu, J.S.; Jo, J.; Yun, H.; Kang, K.S.; Yoo, J.E.; et al. Dual effects of isoflavonoids from Pueraria lobata roots on estrogenic activity and anti-proliferation of MCF-7 human breast carcinoma cells. Bioorg. Chem. 2019, 83, 135–144. [Google Scholar] [CrossRef] [PubMed]
- Kim, J.H.; Woo, J.H.; Kim, H.M.; Oh, M.S.; Jang, D.S.; Choi, J.H. Anti-Endometriotic Effects of Pueraria Flower Extract in Human Endometriotic Cells and Mice. Nutrients 2017, 9, 212. [Google Scholar] [CrossRef] [PubMed] [Green Version]
- Yang, Y.I.; Lee, K.T.; Park, H.J.; Kim, T.J.; Choi, Y.S.; Shih, I.-M.; Choi, J.H. Tectorigenin sensitizes paclitaxel-resistant human ovarian cancer cells through downregulation of the Akt and NFkappaB pathway. Carcinogenesis 2012, 33, 2488–2498. [Google Scholar] [CrossRef] [Green Version]
- Reid, B.M.; Permuth, J.B.; Sellers, T.A. Epidemiology of ovarian cancer: A review. Cancer Biol. Med. 2017, 14, 9–32. [Google Scholar] [PubMed] [Green Version]
- Jayson, G.C.; Kohn, E.C.; Kitchener, H.C.; Ledermann, J.A. Ovarian cancer. Lancet 2014, 384, 1376–1388. [Google Scholar] [CrossRef]
- Shafabakhsh, R.; Asemi, Z. Quercetin: A natural compound for ovarian cancer treatment. J. Ovarian Res. 2019, 12, 55. [Google Scholar] [CrossRef] [PubMed]
- Pistollato, F.; Iglesias, R.C.; Ruiz, R.; Aparicio, S.; Crespo, J.; Lopez, L.D.; Giampieri, F.; Battino, M. The use of natural compounds for the targeting and chemoprevention of ovarian cancer. Cancer Lett. 2017, 411, 191–200. [Google Scholar] [CrossRef] [PubMed]
- Diem, S.; Bergmann, J.; Herderich, M. Tryptophan-N-glucoside in fruits and fruit juices. J. Agric. Food Chem. 2000, 48, 4913–4917. [Google Scholar] [CrossRef]
- Meng, Y.-J.; Zhang, Y.-W.; Jiang, H.-Y.; Bao, Y.-L.; Wu, Y.; Sun, L.-G.; Yu, C.-L.; Huang, Y.-X.; Li, Y.-X. Chemical constituents from the roots of Zizyphus jujuba Mill. var. spinosa. Biochem. Syst. Ecol. 2013, 50, 182–186. [Google Scholar] [CrossRef]
- Song, K.-S.; Ishikawa, Y.; Kobayashi, S.; Sankawa, U.; Ebizuka, Y. N-Acylamino acids from Ephedra distachya cultures. Phytochemistry 1992, 31, 823–826. [Google Scholar] [CrossRef]
- Yang, Y.; Yang, Y.-B.; Lu, W.-Q.; Wu, Z.-J.; Chen, W.-S. A New Hydroxyjasmonic Acid Derivative from Polygonum capitatum. Chem. Nat. Compd. 2017, 53, 417–421. [Google Scholar] [CrossRef]
- Traub, A.; Geiger, H. Nachweis von 2.5. 7.3′. 4′-Pentahydroxy-flavanon-5-glucosid in den Samen von Galega officinalis L. (Fabaceae)/Detection of 2, 5, 7, 3′, 4′-Pentahydroxy-flavanone-5-glucoside in the Seeds of Galega officinalis L. (Fabaceae). Z. Naturforsch. C 1975, 30, 823–824. [Google Scholar] [CrossRef]
- Zhang, Y.; Shi, S.; Wang, Y.; Huang, K. Target-guided isolation and purification of antioxidants from Selaginella sinensis by offline coupling of DPPH-HPLC and HSCCC experiments. J. Chromatogr. B Analyt. Technol. Biomed. Life Sci. 2011, 879, 191–196. [Google Scholar] [CrossRef] [PubMed]
- Kazuma, K.; Noda, N.; Suzuki, M. Malonylated flavonol glycosides from the petals of Clitoria ternatea. Phytochemistry 2003, 62, 229–237. [Google Scholar] [CrossRef]
- Selepe, M.A.; Drewes, S.E.; van Heerden, F.R. Total synthesis of the pyranoisoflavone kraussianone 1 and related isoflavones. J. Nat. Prod. 2010, 73, 1680–1685. [Google Scholar] [CrossRef] [PubMed]
- Bai, X.; Xie, Y.; Liu, J.; Qu, J.; Kano, Y.; Yuan, D. Isolation and identification of urinary metabolites of kakkalide in rats. Drug Metab. Dispos. 2010, 38, 281–286. [Google Scholar] [CrossRef] [Green Version]
- Horie, T.; Shibata, K.; Yamashita, K.; Fujii, K.; Tsukayama, M.; Ohtsuru, Y. Studies of the selective O-alkylation and dealkylation of flavonoids. XXIV. A convenient method for synthesizing 6-and 8-methoxylated 5, 7-dihydroxyisoflavones. Chem. Pharm. Bull. 1998, 46, 222–230. [Google Scholar] [CrossRef] [Green Version]
- Singab, A.N.B. Flavonoids from Iris spuria (Zeal) cultivated in Egypt. Arch. Pharmacal Res. 2004, 27, 1023–1028. [Google Scholar] [CrossRef]
- Tostes, J.B.; Silva, A.J.; Parente, J.P. Isoflavone glycosides from Centrosema pubescens. Phytochemistry 1999, 50, 1087–1090. [Google Scholar] [CrossRef]
- Park, H.-J.; Park, J.-H.; Moon, J.-O.; Lee, K.-T.; Jung, W.-T.; Oh, S.-R.; Lee, H.-K. Isoflavone glycosides from the flowers of Pueraria thunbergiana. Phytochemistry 1999, 51, 147–151. [Google Scholar] [CrossRef]
- Goto, H.; Terao, Y.; Akai, S. Synthesis of various kinds of isoflavones, isoflavanes, and biphenyl-ketones and their 1, 1-diphenyl-2-picrylhydrazyl radical-scavenging activities. Chem. Pharm. Bull. 2009, 57, 346–360. [Google Scholar] [CrossRef] [PubMed] [Green Version]
- Yuk, H.J.; Lee, J.H.; Curtis-Long, M.J.; Lee, J.W.; Kim, Y.S.; Ryu, H.W.; Park, C.G.; Jeong, T.-S.; Park, K.H. The most abundant polyphenol of soy leaves, coumestrol, displays potent α-glucosidase inhibitory activity. Food Chem. 2011, 126, 1057–1063. [Google Scholar] [CrossRef]
- Huang, R.; Ding, Z.-G.; Long, Y.-F.; Zhao, J.-Y.; Li, M.-G.; Cui, X.-L.; Wen, M.-L. A new isoflavone derivative from Streptomyces sp. YIM GS3536. Chem. Nat. Compd. 2013, 48, 966–969. [Google Scholar] [CrossRef]
- Ding, H.-Y.; Chen, Y.-Y.; Chang, W.-L.; Lin, H.-C. Flavonoids from the Flowers of Pueraria lobata. J. Chin. Chem. Soc. 2004, 51, 1425–1428. [Google Scholar] [CrossRef]
- Vimberg, V.; Kuzma, M.; Stodulkova, E.; Novak, P.; Bednarova, L.; Sulc, M.; Gazak, R. Hydnocarpin-Type Flavonolignans: Semisynthesis and Inhibitory Effects on Staphylococcus aureus Biofilm Formation. J. Nat. Prod. 2015, 78, 2095–2103. [Google Scholar] [CrossRef] [PubMed]
- Šimčíková, D.; Kotik, M.; Weignerová, L.; Halada, P.; Pelantová, H.; Adamcová, K.; Křen, V. α-L-Rhamnosyl-β-d-glucosidase (Rutinosidase) from Aspergillus niger: Characterization and Synthetic Potential of a Novel Diglycosidase. Adv. Synt. Catal. 2015, 357, 107–117. [Google Scholar] [CrossRef]
- Hu, X.-W.; Meng, D.; Fang, J. Apigenin inhibited migration and invasion of human ovarian cancer A2780 cells through focal adhesion kinase. Carcinogenesis 2008, 29, 2369–2376. [Google Scholar] [CrossRef] [PubMed] [Green Version]
- Li, Z.-d.; Hu, X.-w.; Wang, Y.-t.; Fang, J. Apigenin inhibits proliferation of ovarian cancer A2780 cells through Id1. FEBS Lett. 2009, 583, 1999–2003. [Google Scholar] [CrossRef] [Green Version]
- Luo, H.; Jiang, B.-H.; King, S.M.; Chen, Y.C. Inhibition of cell growth and VEGF expression in ovarian cancer cells by flavonoids. Nutr. Cancer 2008, 60, 800–809. [Google Scholar] [CrossRef]
- Zingue, S.; Tchoumtchoua, J.; Ntsa, D.M.; Sandjo, L.P.; Cisilotto, J.; Nde, C.B.M.; Winter, E.; Awounfack, C.F.; Ndinteh, D.T.; Clyne, C. Estrogenic and cytotoxic potentials of compounds isolated from Millettia macrophylla Benth (Fabaceae): Towards a better understanding of its underlying mechanisms. BMC Complement. Altern. Med. 2016, 16, 421. [Google Scholar] [CrossRef] [Green Version]
- Monthakantirat, O.; De-Eknamkul, W.; Umehara, K.; Yoshinaga, Y.; Miyase, T.; Warashina, T.; Noguchi, H. Phenolic Constituents of the Rhizomes of the Thai Medicinal Plant Belamcanda chinensis with Proliferative Activity for Two Breast Cancer Cell Lines. J. Nat. Prod. 2005, 68, 361–364. [Google Scholar] [CrossRef]
- Pan, L.; Chin, Y.-W.; Chai, H.-B.; Ninh, T.N.; Soejarto, D.D.; Kinghorn, A.D. Bioactivity-guided isolation of cytotoxic constituents of Brucea javanica collected in Vietnam. Bioorg. Med. Chem. 2009, 17, 2219–2224. [Google Scholar] [CrossRef] [PubMed] [Green Version]
- Afifi, M.S.; Ahmed, M.M.; Pezzuto, J.M.; Kinghornt, A.D. Cytotoxic flavonolignans and flavones from Verbascum sinaiticum leaves. Phytochemistry 1993, 34, 839–841. [Google Scholar] [CrossRef]
- Lee, M.-A.; Kim, W.K.; Park, H.J.; Kang, S.S.; Lee, S.K. Anti-proliferative activity of hydnocarpin, a natural lignan, is associated with the suppression of Wnt/β-catenin signaling pathway in colon cancer cells. Bioorg. Med. Chem. Lett. 2013, 23, 5511–5514. [Google Scholar] [CrossRef] [PubMed]
- Tanaka, T.; Nakashima, T.; Ueda, T.; Tomii, K.; Kouno, I. Facile discrimination of aldose enantiomers by reversed-phase HPLC. Chem. Pharm. Bull. 2007, 55, 899–901. [Google Scholar] [CrossRef] [PubMed] [Green Version]

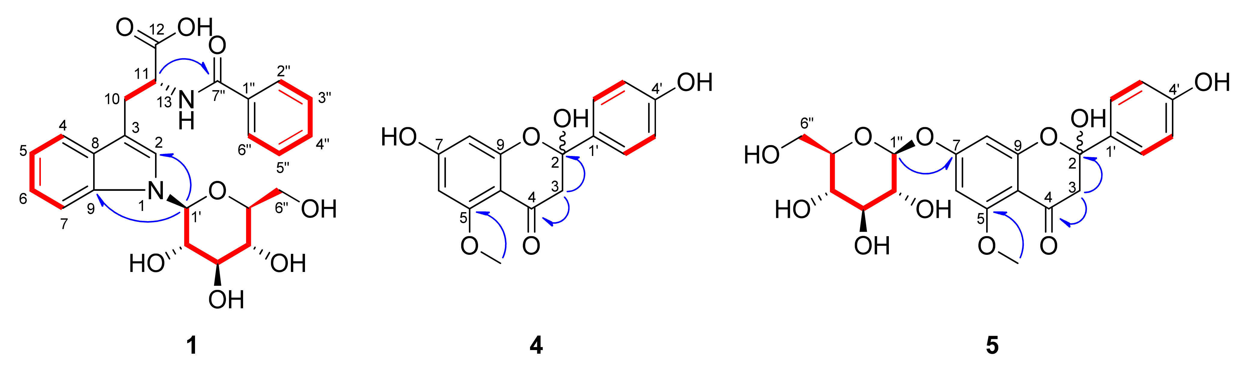
) and
1H-13C HMBC (
) correlations for the new compounds 1, 4, and 5.

| Position a | 1 | |
|---|---|---|
| δC | δHb | |
| 1 | ||
| 2 | 125.5 | 7.27 s |
| 3 | 112.7 | |
| 4 | 120.0 | 7.52 d (8.0) |
| 5 | 121.1 | 6.92 ddd (8.0, 7.0, 1.0) |
| 6 | 123.2 | 7.10 ddd (8.0, 7.0, 1.0) |
| 7 | 111.8 | 7.47 d (7.0) |
| 8 | 130.4 | |
| 9 | 138.5 | |
| 10 | 28.3 | 3.34 overlapped/3.49 overlapped |
| 11 | 55.6 | 4.78 t (5.0) |
| 12 | 175.9 | |
| 13 | ||
| Glc-1′ | 86.8 | 5.41 d (9.0) |
| Glc-2′ | 73.8 | 3.92 t (9.0) |
| Glc-3′ | 79.1 | 3.60 t (9.0) |
| Glc-4′ | 71.6 | 3.49 overlapped |
| Glc-5′ | 80.7 | 3.55 ddd (10.0, 6.0, 2.5) |
| Glc-6′ | 62.9 | 3.67 dd (12.0, 6.0)/3.86 dd (12.0, 2.0) |
| 1″ | 135.6 | |
| 2″/6″ | 129.7 | 7.67 dd (8.5, 1.5) |
| 3″/5″ | 128.6 | 7.38 dd (8.5, 7.5) |
| 4″ | 132.9 | 7.46 tt (7.5, 1.5) |
| 7″ | 170.4 | |
| Position a | 4 | 5 | ||
|---|---|---|---|---|
| δC | δH b | δC | δHb | |
| 2 | 107.6 | 107.20 | ||
| 3 | 42.4 | 3.66 q (14.0) | 41.72 | 3.64 overlapped |
| 4 | 194.3 | 195.08 | ||
| 5 | 160.6 | 159.37/159.45 | ||
| 6 | 94.8 | 6.12 d (1.5) | 93.84/82.78 | 6.14 d (2.0)/6.25 d (2.0) |
| 7 | 173.5 | 101.42/101.56 | ||
| 8 | 92.7 | 6.49 d (1.5) | 92.20/92.58 | 6.81 d (2.0)/6.76 d (2.0) |
| 9 | 174.2 | 173.34/173.19 | ||
| 10 | 102.1 | 168.40/168.46 | ||
| 1′ | 126.1 | 125.11 | ||
| 2′/6′ | 132.9 | 7.57 d (8.5) | 132.38 | 7.54 d (8.5)/7.51 d (8.5) |
| 3′/5′ | 116.2 | 7.05 d (8.5) | 115.71/115.68 | 7.06 d (8.5)/7.04 d (8.5) |
| 4′ | 158.1 | 157.68 | ||
| Glc-1″ | 104.48/104.53 | 5.68 d (7.5)/5.62 d (7.5) | ||
| Glc-2″ | 74.57 | 4.34 overlapped | ||
| Glc-3″ | 78.25 | 4.34 overlapped | ||
| Glc-4″ | 70.85/70.92 | 4.34 overlapped | ||
| Glc-5″ | 78.91/78.98 | 4.10 m | ||
| Glc-6″ | 61.96/62.01 | 4.34 overlapped/4.52 m | ||
| 3′-OMe | 55.7 | 3.56 s | 55.48/55.54 | 3.55 s/3.60 s |
| Compound | IC50 (μM) a | |
|---|---|---|
| A2780 | IOSE80PC | |
| 8 | 9.99 ± 0.98 | >100 |
| 10 | 25.63 ± 1.80 | >100 |
| 11 | 48.67 ± 0.31 | >100 |
| 12 | 57.45 ± 3.08 | >100 |
| 14 | 71.24 ± 11.29 | >100 |
| 16 | 48.54 ± 1.97 | >100 |
| 17 | 23.72 ± 2.54 | >100 |
| 21 | 7.36 ± 0.58 | 65.84 ± 1.60 |
| Cisplatin | 10.73 ± 0.81 | 12.78 ± 0.55 |
| Quercetin | 19.45 ± 2.92 | >100 |
Publisher’s Note: MDPI stays neutral with regard to jurisdictional claims in published maps and institutional affiliations. |
© 2022 by the authors. Licensee MDPI, Basel, Switzerland. This article is an open access article distributed under the terms and conditions of the Creative Commons Attribution (CC BY) license (https://creativecommons.org/licenses/by/4.0/).
Share and Cite
Kim, Y.; Kim, J.; Son, S.-R.; Kim, J.-Y.; Choi, J.-H.; Jang, D.S. Chemical Constituents of the Flowers of Pueraria lobata and Their Cytotoxic Properties. Plants 2022, 11, 1651. https://doi.org/10.3390/plants11131651
Kim Y, Kim J, Son S-R, Kim J-Y, Choi J-H, Jang DS. Chemical Constituents of the Flowers of Pueraria lobata and Their Cytotoxic Properties. Plants. 2022; 11(13):1651. https://doi.org/10.3390/plants11131651
Chicago/Turabian StyleKim, Yejin, Jaeyoon Kim, So-Ri Son, Ji-Young Kim, Jung-Hye Choi, and Dae Sik Jang. 2022. "Chemical Constituents of the Flowers of Pueraria lobata and Their Cytotoxic Properties" Plants 11, no. 13: 1651. https://doi.org/10.3390/plants11131651
APA StyleKim, Y., Kim, J., Son, S.-R., Kim, J.-Y., Choi, J.-H., & Jang, D. S. (2022). Chemical Constituents of the Flowers of Pueraria lobata and Their Cytotoxic Properties. Plants, 11(13), 1651. https://doi.org/10.3390/plants11131651

