Next Article in Journal
Assessment of Vegetative Growth and Genetic Integrity of Vanilla planifolia Regenerants after Cryopreservation
Next Article in Special Issue
Insecticidal Activity of Four Essential Oils Extracted from Chilean Patagonian Plants as Potential Organic Pesticides
Previous Article in Journal
Capparis spinosa L. Cenopopulation and Biogeochemistry in South Uzbekistan
Previous Article in Special Issue
Chemical Profiles and Insecticidal Potential of Essential Oils Isolated from Four Thymus Species against Rhyzopertha dominica (F.)
 
 
Font Type:
Arial Georgia Verdana
Font Size:
Aa Aa Aa
Line Spacing:
Column Width:
Background:
Article

Acaricidal Activity of Bufadienolides Isolated from Drimia pancration against Tetranychus urticae, and Structural Elucidation of Arenobufagin-3-O-α-L-rhamnopyranoside

1
Dipartimento di Scienze e Tecnologie Biologiche, Chimiche e Farmaceutiche (STEBICEF), Università degli Studi di Palermo, Viale delle Scienze, 90128 Palermo, Italy
2
Centro Interdipartimentale di Ricerca, Riutilizzo Bio-Based Degli Scarti da Matrici Agroalimentari (RIVIVE), Università di Palermo, Viale delle Scienze, 90128 Palermo, Italy
3
Crop Research Institute, Drnovska 507, 161 06 Prague, Czech Republic
4
Department of Plant Protection, Czech University of Life Sciences Prague, Kamycka 129, 165 00 Prague, Czech Republic
5
Chemistry Interdisciplinary Project (ChIP), School of Pharmacy, University of Camerino, Via Madonna delle Carceri 9/B, 62032 Camerino, Italy
6
School of Pharmacy, University of Camerino, Via Madonna delle Carceri 9, 62032 Camerino, Italy
7
Department of Agriculture, Food and Environment, University of Pisa, Via del Borghetto 80, 56124 Pisa, Italy
*
Author to whom correspondence should be addressed.
Plants 2022, 11(13), 1629; https://doi.org/10.3390/plants11131629
Submission received: 3 May 2022 / Revised: 7 June 2022 / Accepted: 17 June 2022 / Published: 21 June 2022
(This article belongs to the Special Issue Insecticidal Activity of Plant Secondary Metabolites)

Abstract

:
Chemical characterization of the bulbs of Drimia pancration was conducted to isolate four steroidal saponins (14). Earlier, we focused on the structural elucidation of compounds 13. Herein, by means of 1H-NMR, 13C-NMR, Nuclear Overhauser Effects (NOE), and 2D-NMR spectra, the full stereochemical structure of 4 is reported, and all the 1H and 13C signals are assigned. Compounds 14 were tested for their acaricidal properties against the two-spotted spider mite Tetranychus urticae. Our results showed excellent activity of compound 1, with an LD50 (µg/cm2) of 0.29 and a LD90 (µg/cm2) of 0.96, whereas compounds 2, 3, and 4 showed moderate activity. Furthermore, the acaricidal and cytotoxic properties of the crude extract were also investigated. Of note, after 96 h of exposure, the acaricidal activity of compound 1 was higher than that of the positive control, hexythiazox. Indeed, for compound 1, LD50 and LD90 were 0.29 and 0.96 µg/cm2, respectively, while hexythiazox LD50(90) was 18.7 (132.5) µg/cm2. Additionally, D. pancration extract, after 72 h, induced a high cytotoxic effect in HaCaT and THP-1 cell lines, with an IC50 of 7.37 ± 0.5 µg/mL and 3.50 ± 0.15 µg/mL, respectively. Overall, D. pancration can be considered as a green source of novel acaricides effective against mites of agricultural importance, such as T. urticae, pending proper field validation and the assessment of non-target effects on other invertebrate species.

1. Introduction

Managing insect and mite pests of agricultural importance is a major challenge nowadays, considering the quick and widespread development of pesticide resistance in overexposed pest populations [1], as well as the major impact of pesticide use on human health and the environment [2,3,4]. Among mites, the two-spotted spider mite, Tetranychus urticae Koch (Arachnida: Acari: Tetranychidae) is an excellent example of a species with huge economic importance coupled with the ability to quickly develop resistance to several classes of chemical acaricides [5,6], which is boosted by high fecundity, inbreeding, arrhenotokous reproduction, and short life cycle [7,8]. Of note, T. urticae can attack more than 1100 host plants, including both greenhouse and open-field crops [9,10].
In this scenario, plants represent a promising reservoir of secondary metabolites with insecticidal [11] and acaricidal activity [12,13,14,15], characterized by a multiple mode of action that reduces the likelihood of resistance development [16,17].
Drimia pancration (Steinh.) J. C. Manning & Goldblatt (syn. Scilla pancration (Steinh.) Nyman, Urginea maritima subsp. pancration (Steinh.) K. Richt., Squilla pancration Steinh., Charybdis pancration (Steinh.) Speta), belonging to the family Asparagaceae, is a bulb distributed across Africa (Morocco, Libya, Algeria), Italy (including Sicily, Malta, Baleares), and Corsica [18].
It is very similar to Drimia maritima (L.) Stearn, commonly referred to as sea squill or sea onion, a species absent from Sicily, that has been largely investigated due to its important biological properties, such as cardiotonic and diuretic properties; for heart disease and oedema [19], much like rodenticide [20], and for insecticidal activity against Drosophila melanogaster Meigen [21]. The large number of studies published on the phytochemistry of D. maritima showed the occurrence of cardiac glycosides [22,23], anthocyanins [24], lignans [25], flavonoids, fatty acids, and polysaccharides [24], which have been reviewed by some authors [26].
On the other hand, few studies have been conducted on D. pancration. Two papers reported the identification of different bufadienolides obtained from the roots of two different populations collected from Southern Italy. [27,28]. Notably, in a recent investigation on a Sicilian accession [29], the authors isolated (2R,3R)-dihydrokaempferol 3-O-β-D-glucoside, and three steroidal saponins: (5α)-4,5-dihydro-16β-hydroxyscillirosidin-3-O-α-L-thevetopyranoside (1), scilliglaucoside (2), and (5α)-4,5-dihydrosicillirosidin-3-O-(β-D-glucopyranosyl-(1→4)-α-L-thevetopyranoside) (3). Furthermore, in the same paper, the insecticidal properties of the methanol and butanol extracts of D. pancration were proven effective against adult Stegobium paniceum beetles [29].
Consequently, in the frame of our ongoing research on Sicilian plants [30,31,32,33], and possible biocidal applications [29,34,35,36], inspired by the insecticidal activity shown by both the extracts of D. pancration and by the cardiac glycosides [29,37], we decided to re-investigate the presence of bufadienolides in a D. pancration population collected near Palermo, Sicily, and to test the acaricidal properties of the pure isolated compounds on the two-spotted spider mite, T. urticae.

2. Results and Discussion

2.1. Chemical Compounds

The four steroidal saponins (14) (Figure 1) were isolated, by different chromatographic separations, from the bulbs of D. pancration, extracted in n-butanol.
In a previous paper, we reported the structures of compounds 13 [29]; consequently, in the present communication, only the structural elucidation of compound 4, determined by 1D- and 2D-NMR, and HPLC–MS spectra, is highlighted.
Compound 4 was separated into white plates. HPLC–MS (Figure S1) showed a molecular ion at m/z 585.2513 [M+Na]+ (calcd. for 585.2675), in agreement with the molecular formula of C30H42O10. The 1H-NMR and 13C-NMR (Table S1) spectra (Figures S2 and S3) showed signals for an unsaturated α,β,γ,δ-lactone at δH = 7.55 (H-21), 7.79 (H-22), 6.30 (H-23) ppm, and at δC = 121.29 (C-20), 150.47 (C-21), 147.53 (C-22), 114.89 (C-23), and 161.71 (C-24) ppm, two angular methyl groups (δH = 0.77 ppm, 3H, s; δC = 17.60 ppm, Me-18), and (δH = 1.04 ppm, 3H, s; δC = 23.79 ppm, Me-19), two oxygenated methines at C-11 (δH = 4.24 ppm, d; δC = 73.61 ppm) and C-3 (δH = 3.43 ppm, m; δC = 71.03 ppm), a keto group C-12 (δC = 213.73 ppm), and a quaternary oxygenated carbon (δC = 84.51 ppm, C-14). Furthermore, signals of an α-L-rhamnopyranoside sugar moiety were observed.
Using DEPT, 1H-1H COSY, HSQC, and HMBC spectra, the complete plane structure of compound 4 was identified. Indeed, the HMBC spectrum correlation between the anomeric proton H1′ (δH = 4.59 ppm, d, J = 1.5 Hz) and the aglycone C-3 (δC = 71.03 ppm) clearly indicated that the sugar moiety was linked at C-3.
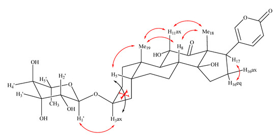
Finally, the NOESY correlation (Figure 2) of Me-19/H-5β, Me-19/H-11ax, H-11ax/Me-18, H-17ax/H-16eq, and the absence of correlation H-3/H-5 not only confirmed the β orientation of the O-C-3 glycosyl group, but also the correct junction between the aglycon rings: cis between the A/B and C/D rings, and trans between the B/C rings. Consequently, the structure of 4 was established as arenobufagin-3-O-α-L-rhamnopyranoside, previously isolated in D. altissima [38], but not in D. pancration.

2.2. Acaricidal Effect

All compounds tested here, as well as the extract, showed promising acaricidal activity (Table 1). However, significant differences in acaricidal efficacy between the individual substances were found. The most effective substance was compound 1, which, at a dose of 100 µg/cm2, was the only one to cause 100% mortality within 24 h of application. Other substances tested by us, including the crude D. pancration extract, showed significant mortality up to 96 h after application, with mortality rates exerted by compound 1 comparable to those triggered by the positive control, hexythiazox.
Lethal doses were estimated for all substances except 3, which showed low acaricidal efficacy. Significantly, the lowest LD50 and LD90 values were estimated for 1 (0.29 and 0.96 µg/cm2, respectively). This compound showed significantly higher efficacy than the tested commercial acaricide based on hexythiazox, for which the LD50(90) was estimated to be 18.7 (132.5) µg/cm2.
Given that a number of resistant populations of T. urticae has already emerged [6,39], there is an urgent need to look for new active substances with acaricidal activity. Plant extracts are among the most promising sources of compounds with a novel mechanism of action [40]. In particular, the compound 1 isolated by the present authors seems to be a highly promising candidate for the synthesis of new acaricide substances due to its high acaricidal activity. However, further testing will be needed to reveal the mechanism of action and the effect of this substance on non-target organisms.

2.3. Cytotoxicity Assay

Monocytic cell line THP-1 and immortalized human keratinocyte cell line (HaCaT) were treated with different dilutions (from 0.49 up to 500 µg/mL) of D. pancration extract for 72 h, and cell viability was assessed by cytotoxic assay. As reported in Figure 3, the total extract induced a cytotoxic effect in both cell lines, with an IC50 of 7.37 ± 0.5 µg/mL and 3.50 ± 0.15 µg/mL, for THP-1 and HaCaT cells, respectively. According to the International Organization for Standardization guidelines, the total extract showed a high cytotoxicity, since it caused > 70% of cell mortality when it was used at 100 μg/mL [41].

3. Materials and Methods

3.1. Plant Material

Prof. Vincenzo Ilardi, a botanist of the University of Palermo, collected samples in Cinisi, Palermo, Italy, and identified, in February 2020, the bulbs of D. pancration. The voucher deposited at the STEBICEF Department, University of Palermo, Italy, is identified by the code PAL266/2020.

3.2. Extraction, Isolation, and General Experimental Procedures

The extraction procedure, the isolation of the single metabolites, and all materials used (chemical reagents and laboratory tools), are the same as described in Badalamenti et al. [29]. Compound 4 was isolated from the butanol portion of the methanol extract of D. pancration roots. The fraction A13 (200 mg) was obtained by column chromatography with CHCl3-MeOH (7:3) to produce compound 4 (22 mg). Compounds 13 were previously described in [29].

Arenobufagin-3-O-α-L-rhamnopyranoside (4)

White plates; for proton and carbon chemical shifts. See Table S1; ESIMS m/z 585.2513 [M+Na]+ (calcd. for 585.2675).

3.3. Mites

T. urticae adults were obtained from the mass-rearing site established at the Crop Research Institute (Czech Republic). The mites were reared on bean plants in a growth chamber (22–25 °C; 16:8 h (L:D) photoperiod).

3.4. Acaricidal Activity

The acaricidal efficacy of D. pancration methanolic extract and isolated bufadienolides was measured as T. urticae adult mortality after 24 and 96 h of exposure [42]. Experiments were performed using bean leaf discs (Phaseolus vulgaris L.) sized 1 cm2. The extract and compounds were dissolved in methanol (p.a. 99%, Sigma-Aldrich, Czech Republic) at a dose of 1 mg in 100 µL of MeOH using an automatic pipette; aliquots (10 µL) of the methanolic solutions, containing a defined amount of D. pancration extract or compounds, were applied onto the leaf discs. This provided a dose of 100 µg/cm2. For the estimation of lethal doses alone, tests were performed with the following doses: compound 1—0.1, 0.3, 0.5, 0.8, and 1.0 µg/cm2; for substance 2—0.5, 1.0, 2.5, 5.0, 10.0, 20.0, 50.0, 80.0, 100.0 and 120.0 µg/cm2 (5 doses were selected for calculation); for substance 4—12.5, 25.0, 50.0, 100.0, 200.0 and 400.0 mg/cm2; for extract—6.2, 12.5, 25.0, 50.0 and 100.0 µg/cm2. After that, the discs were placed in Petri dishes (5 cm) with an agar layer of 0.3 cm thick on the bottom. Only methanol was applied to the negative control discs. As a positive control, a commercial acaricide based on the active substance hexythiazox (Nissorun 25 SC, a.i. 250 g/L, registrant Nisso Chemical Europe GmbH) was used. Of note, this acaricide is classically used to target eggs and nymphs of T. urticae, and that a significantly higher dose is needed on adults. However, it has been reported to show some efficacy on adults. For example, Marris [43] (1988) showed that toxicity of hexythiazox on T. urticae females was 1.5 a.i. g/L, and Havasi et al. [44] (2021) reported a LC50 of 2.35 g/L on T. urticae adults.
After solvent evaporation, 10 T. urticae females were moved on the leaf disc sides treated with the compounds using a fine brush. Petri discs were inserted into a growth chamber (16:8 (L:D), 25 °C). Then, leaf discs were checked for the number of dead mites 24 and 96 h post-application. Mite mortality was recorded when the females did not react to forceps stimuli. Each experiment was repeated 5 times. For substances that showed a mortality of more than 50% at 96 h after application, a concentration series of 5 dilutions was subsequently created, which showed a mortality in the range of 10 to 90%. The range of concentrations was chosen for each substance based on preliminary experiments.

3.5. Cytotoxicity on Vertebrate Cells

Monocytic cell line THP-1 and immortalized human keratinocytes cell line (HaCaT) were provided by IFOM (Institute of Molecular Oncology, Rome, Italy). HaCaT cells were cultured in Dulbecco’s Modified Eagle Medium (DMEM) enriched with 10% fetal bovine serum (FBS), 100 IU/mL penicillin/streptomycin, and 2 mM L-glutamine, and kept at 37 °C with 5% CO2 and 95% humidity.
Cytotoxicity was evaluated by adding 3-(4,5-dimethylthiazol-2-yl)-2,5 diphenyl tetrazolium bromide (MTT). Briefly, as previously described [45], 3 × 103 cells per well were seeded in a 96-well plate at a final volume of 100 μL/well and, after 24 h of incubation, different dilutions of D. pancration extract were added and 6 replicates were used for each treatment. The effect was compared with dimethyl sulfoxide (DMSO) used to solubilize the extract. After 72 h, the cell viability was investigated by adding 0.8 mg/mL of MTT salt (Sigma Aldrich, Milan, Italy) to the media. After 3 h, the salt crystals were dissolved in 100 μL/well of DMSO. An ELISA reader microliter plate (BioTek Instruments, Winooski, VT, USA) was used to measure the absorbance of samples at 570 nm against a control.

3.6. Statistical Analysis

Experimental mite mortality rates lower than 20% compared to control were corrected via Abbott’s formula [46], and then Probit analysis was carried out [47]. Mite mortalities at 24 and 96 h were arcsine square root transformed and analyzed using ANOVA within a randomized complete block design, followed by Tukey’s HSD test (p < 0.05). The obtained data were analyzed using the software BioStat v5.0.
The data for cell cytotoxicity represent the mean and standard deviation (SD) of at least 3 independent experiments. The statistical significance was determined by one-way ANOVA with Bonferroni’s post hoc test; α was set at 0.05. IC50 was calculated using GraphPad Prism software [48].

4. Conclusions

In this chemical study on the bulbs of D. pancration, by mean of 1D- and 2D-NMR, NOESY, and HPLC–MS spectra, the full stereochemical structure of arenobufagin-3-O-α-L-rhamnopyranoside (4) was revealed. This bufadienolide, together with the other three (13) previously isolated compounds, was evaluated for its potential activity as an acaricide. From a green pesticide point of view, D. pancration, despite the fact that the total extract shows a high cytotoxicity, can be used in formulation, to mitigate its cytotoxicity, or considered as a green source of novel acaricides—with special reference to compound 1—effective against mites of agricultural importance, such as T. urticae, pending proper field validation and the assessment of non-target effects on other invertebrate species.

Supplementary Materials

The following supporting information can be downloaded at: https://www.mdpi.com/article/10.3390/plants11131629/s1, Table S1: 1H-NMR and 13C-NMR of compound 4 (δ in ppm); Figure S1. Mass spectrum of compound 4; Figure S2. 1H-NMR spectrum of compound 4 (δ in ppm); Figure S3. 13C-NMR spectrum of compound 4 (δ in ppm).

Author Contributions

Conceptualization, N.B., M.B., R.P., G.B. and A.C.; methodology, N.B., O.M., L.Z., R.P., G.B. and A.C.; validation, N.B. and M.B.; resources, M.B. and R.P.; data curation, N.B., M.B., O.M. and R.P.; writing—original draft preparation, N.B., M.B., R.P., G.B. and A.C.; writing—review and editing, N.B., M.B., R.P., F.M., G.B. and A.C.; visualization, F.M., R.P., G.B. and A.C.; supervision, M.B., F.M., R.P., G.B. and A.C. All authors have read and agreed to the published version of the manuscript.

Funding

R. Pavela would like to thank the Ministry of Agriculture of the Czech Republic for financial support of the botanical pesticide and basic substances research. Financial support for this work was provided by the Ministry of Agriculture of the Czech Republic (Project QK1910072). Maurizio Bruno would like to thank the Ministry of Education, University and Research for financial support. This work was supported by a grant from MIUR-ITALY PRIN 2017 (Project N. 2017A95NCJ).

Institutional Review Board Statement

Not applicable.

Informed Consent Statement

Not applicable.

Data Availability Statement

Not applicable.

Conflicts of Interest

The authors declare no conflict of interest.

References

  1. Wang, X.; Xu, X.; Ullah, F.; Ding, Q.; Gao, X.; Desneux, N.; Song, D. Comparison of full-length transcriptomes of different imidacloprid-resistant strains of Rhopalosiphum padi (L.). Entomol. Gen. 2021, 41, 289–304. [Google Scholar] [CrossRef]
  2. Leska, A.; Nowak, A.; Nowak, I.; Gòrczynska, A. Effects of insecticides and microbiological contaminants on Apis mellifera health. Molecules 2021, 26, 5080. [Google Scholar] [CrossRef]
  3. Ricupero, M.; Desneux, N.; Zappalà, L.; Biondi, A. Target and non-target impact of systemic insecticides on a polyphagous aphid pest and its parasitoid. Chemosphere 2020, 247, 125728. [Google Scholar] [CrossRef] [PubMed]
  4. Passos, L.C.; Soares, M.A.; Collares, L.J.; Malagoli, I.; Desneux, N.; Carvalho, G.A. Lethal, sublethal and transgenerational effects of insecticides on Macrolophus basicornis, predator of Tuta absoluta. Entomol. Gen. 2018, 38, 127–143. [Google Scholar] [CrossRef]
  5. Van Leeuwen, T.; Vontas, J.; Tsagkarakou, A.; Dermauw, W.; Tirry, L. Acaricide resistance mechanisms in the two-spotted spider mite Tetranychus urticae and other important Acari: A review. Insect Biochem. Mol. Biol. 2010, 40, 563–572. [Google Scholar] [CrossRef] [PubMed] [Green Version]
  6. Adesanya, A.W.; Lavine, M.D.; Moural, T.W.; Lavine, L.C.; Zhu, F.; Walsh, D.B. Mechanisms and management of acaricide resistance for Tetranychus urticae in agroecosystems. J. Pest Sci. 2021, 94, 639–663. [Google Scholar] [CrossRef]
  7. Whalon, M.E.; Mota-Sanchez, R.M.; Hollingworth, R.M.; Duynslager, L. Artrhopods Resistant to Pesticides Database (ARPD). Available online: http://www.pesticideresistance.org (accessed on 2 May 2022).
  8. Van Leeuwen, T.; Tirry, L.; Yamamoto, A.; Nauen, R.; Dermauw, W. The economic importance of acaricides in the control of phytophagous mites and an update on recent acaricide mode of action research. Pestic. Biochem. Physiol. 2015, 121, 12–21. [Google Scholar] [CrossRef]
  9. Migeon, A.; Nouguier, E.; Dorkeld, F. Spider Mites Web: A comprehensive database for the Tetranychidae. In Trends in Acarology; Springer: Dordrecht, The Netherlands, 2010; pp. 557–560. [Google Scholar]
  10. Cazaux, M.; Navarro, M.; Bruinsma, K.A.; Zhurov, V.; Negrave, T.; Van Leeuwen, T.; Grbic, M. Application of two-spotted spider mite Tetranychus urticae for plant-pest interaction studies. J. Vis. Exp. 2014, 89, e51738. [Google Scholar] [CrossRef] [PubMed] [Green Version]
  11. Pavela, R.; Morshedloo, M.R.; Mumivand, H.; Khorsand, G.J.; Karami, A.; Maggi, F.; Benelli, G. Phenolic monoterpene-rich essential oils from Apiaceae and Lamiaceae species: Insecticidal activity and safety evaluation on non-target earthworms. Entomol. Gen. 2020, 40, 421–435. [Google Scholar] [CrossRef]
  12. Benelli, G.; Pavela, R.; Canale, A.; Nicoletti, M.; Petrelli, R.; Cappellacci, L.; Galassi, R.; Maggi, F. Isofuranodiene and germacrone from Smyrnium olusatrum essential oil as acaricides and oviposition inhibitors against Tetranychus urticae: Impact of chemical stabilization of isofuranodiene by interaction with silver triflate. J. Pest Sci. 2017, 90, 693–699. [Google Scholar] [CrossRef]
  13. Pavela, R.; Murugan, K.; Canale, A.; Benelli, G. Saponaria officinalis-synthesized silver nanocrystals as effective biopesticides and oviposition inhibitors against Tetranychus urticae Koch. Ind. Crop. Prod. 2017, 97, 338–344. [Google Scholar] [CrossRef]
  14. Pavela, R.; Dall’Acqua, S.; Sut, S.; Baldan, V.; Kamte, S.L.N.; Nya, P.C.B.; Benelli, G. Oviposition inhibitory activity of the Mexican sunflower Tithonia diversifolia (Asteraceae) polar extracts against the two-spotted spider mite Tetranychus urticae (Tetranychidae). Physiol. Mol. Plant Pathol. 2018, 101, 85–92. [Google Scholar] [CrossRef]
  15. Sut, S.; Pavela, R.; Kolarčik, V.; Cappellacci, L.; Petrelli, R.; Maggi, F.; Benelli, G. Identification of Onosma visianii roots extract and purified shikonin derivatives as potential acaricidal agents against Tetranychus urticae. Molecules 2017, 22, 1002. [Google Scholar] [CrossRef] [PubMed] [Green Version]
  16. Pavela, R.; Benelli, G. Essential oils as eco-friendly biopesticides? Challenges and constraints. Trends Plant Sci. 2016, 21, 1000–1007. [Google Scholar] [CrossRef]
  17. Isman, M.B. Commercial development of plant essential oils and their constituents as active ingredients in bioinsecticides. Phytochem. Rev. 2020, 19, 235–241. [Google Scholar] [CrossRef]
  18. Euro Med Plant Base. Available online: https://ww2.bgbm.org/EuroPlusMed/query.asp (accessed on 30 April 2022).
  19. Mitsuhashi, H.; Tanaka, O.; Nozoe, S.; Nagai, M. Chemistry of Organic Natural Products, 4th ed.; Nankoudou Press: Tokyo, Japan, 1994; pp. 168–174. [Google Scholar]
  20. O’connor, M.G.; Buck, R.E.; Fellers, C.R. Red squill investigations properties, toxicity, and palatability of red squill and powder baits to rats. Ind. Eng. Chem. 1935, 27, 1377–1380. [Google Scholar] [CrossRef]
  21. Saadane, F.Z.; Habbachi, W.; Habbachi, S.; Boublata, N.E.I.; Slimani, A.; Tahraoui, A. Toxic effects of Drimia maritima (Asparagaceae) ethanolic extracts on the mortality, development, sexual behaviour and oviposition behaviour of Drosophila melanogaster (Diptera: Drosophilidae). J. Anim. Behav. Biometeorol. 2020, 9, 2102. [Google Scholar] [CrossRef]
  22. Kopp, B.; Krenn, L.; Draxler, M.; Hoyer, A.; Terkola, R.; Vallaster, P.; Robien, W. Bufadienolides from Urginea maritima from Egypt. Phytochemistry 1996, 42, 513–522. [Google Scholar] [CrossRef]
  23. Krenn, L.; Jelovina, M.; Kopp, B. New bufadienolides from Urginea maritima sensu strictu. Fitoterapia 2000, 71, 126–129. [Google Scholar] [CrossRef]
  24. Fernandez, M.; Vega, F.A.; Arrupe, T.; Renedo, J. Flavonoids of squill, Urginea maritima. Phytochemistry 1972, 11, 1534. [Google Scholar] [CrossRef]
  25. Iizuka, M.; Warashina, T.; Noro, T. Bufadienolides and a new lignan from the bulbs of Urginea maritima. Chem. Pharm. Bull 2001, 49, 282–286. [Google Scholar] [CrossRef] [PubMed] [Green Version]
  26. Mulholland, D.A.; Schwikkardab, S.L.; Crouch, N.R. The chemistry and biological activity of the Hyacinthaceae. Nat. Prod. Rep. 2013, 30, 1165–1210. [Google Scholar] [CrossRef] [PubMed] [Green Version]
  27. Kopp, B.; Unterluggauer, M.; Robien, W.; Kubelka, W. Bufadienolides from Urginea pancration. Planta Med. 1990, 56, 193–197. [Google Scholar] [CrossRef] [PubMed]
  28. Krenn, L.; Bamberger, M.; Kopp, B. A new bufadienolide from Urginea pancration. Plant Med. 1992, 58, 284–285. [Google Scholar] [CrossRef]
  29. Badalamenti, N.; Rosselli, S.; Zito, P.; Bruno, M. Phytochemical profile and insecticidal activity of Drimia pancration (Asparagaceae) against adults of Stegobium paniceum (Anobiidae). Nat. Prod. Res. 2021, 35, 4468–4478. [Google Scholar] [CrossRef]
  30. Rosselli, S.; Tundis, R.; Bruno, M.; Leporini, M.; Falco, T.; Candela, R.G.; Badalamenti, N.; Loizzo, M.R. Ceiba speciosa (A. St.-Hil.) seeds oil: Fatty acids profiling by GC-MS and NMR and bioactivity. Molecules 2020, 25, 1037. [Google Scholar] [CrossRef] [Green Version]
  31. Sut, S.; Maggi, F.; Bruno, S.; Badalamenti, N.; Quassinti, L.; Bramucci, M.; Beghelli, D.; Lupidi, G.; Dall’Acqua, S. Hairy garlic (Allium subhirsutum) from Sicily (Italy): LC-DAD-MSn analysis of secondary metabolites and in vitro biological properties. Molecules 2020, 25, 2837. [Google Scholar] [CrossRef]
  32. Badalamenti, N.; Russi, S.; Bruno, M.; Maresca, V.; Vaglica, A.; Ilardi, V.; Zanfardino, A.; Di Napoli, M.; Varcamonti, M.; Cianciullo, P.; et al. Dihydrophenanthrenes from a Sicilian accession of Himantoglossum robertianum (Loisel.) P. Delforge showed antioxidant, antimicrobial, and antiproliferative activities. Plants 2021, 10, 2776. [Google Scholar] [CrossRef]
  33. Badalamenti, N.; Bruno, M.; Schicchi, R.; Geraci, A.; Leporini, M.; Gervasi, L.; Tundis, R.; Loizzo, M.R. Chemical compositions and antioxidant activities of essential oils, and their combinations, obtained from flavedo by-product of seven cultivars of Sicilian Citrus aurantium L. Molecules 2022, 27, 1580. [Google Scholar]
  34. Badalamenti, N.; Ilardi, V.; Bruno, M.; Pavela, R.; Boukouvala, M.C.; Kavallieratos, N.G.; Maggi, F.; Canale, A.; Benelli, G. Chemical composition and broad-spectrum insecticidal activity of the flower essential oil from an ancient Sicilian food plant, Ridolfia segetum. Agriculture 2021, 11, 304. [Google Scholar] [CrossRef]
  35. D’Agostino, G.; Giambra, B.; Palla, F.; Bruno, M.; Badalamenti, N. The application of the essential oils of Thymus vulgaris L. and Crithmum maritimum L. as biocidal on two Tholu bommalu indian leather puppets. Plants 2021, 10, 1508. [Google Scholar] [CrossRef] [PubMed]
  36. Basile, S.; Badalamenti, N.; Riccobono, O.; Guarino, S.; Ilardi, V.; Bruno, M.; Peri, E. Chemical composition and evaluation of insecticidal activity of Calendula incana subsp. maritima and Laserpitium siler subsp. siculum essential oils against stored products pests. Molecules 2022, 27, 588. [Google Scholar] [CrossRef] [PubMed]
  37. Pascual-Villalobos, M.J. Anti-insect activity of bufadienolides from Urginea maritima. In Trends in New Crops and New Uses; Janick, J., Whipkey, A., Eds.; ASHS Press: Alexandria, VA, USA, 2002; pp. 564–566. [Google Scholar]
  38. Dagne, E.; Mammo, W.; Alemu, M.; Casser, I. Two bufadienolides from Drimia altissima (Urginea altissima). Bull. Chem. Soc. Ethiop. 1994, 8, 85–89. [Google Scholar]
  39. Ferreira, C.B.S.; Andrade, F.H.N.; Rodrigues, A.R.S.; Siqueira, H.A.A.; Gondim, M.G.C. Resistance in field populations of Tetranychus urticae to acaricides and characterization of the inheritance of abamectin resistance. Crop Prot. 2015, 67, 77–83. [Google Scholar] [CrossRef]
  40. Rincón, R.A.; Rodríguez, D.; Coy-Barrera, E. Botanicals against Tetranychus urticae Koch under laboratory conditions: A survey of alternatives for controlling pest mites. Plants 2019, 8, 272. [Google Scholar] [CrossRef] [PubMed] [Green Version]
  41. Schneider, F.; Maurer, C.; Friedberg, R.C. International Organization for Standardization (ISO) 15189. Ann. Lab. Med. 2017, 37, 365–370. [Google Scholar] [CrossRef]
  42. Pavela, R. Acaricidal properties of extracts and major furanochromenes from the seeds of Ammi visnaga Linn. against Tetranychus urticae Koch. Ind. Crop. Prod. 2015, 67, 108–113. [Google Scholar] [CrossRef]
  43. Marris, J.W. The Toxicity of Hexythiazox to Twospotted Spider Mite (Tetranychus urticae Koch) Adults and Eggs. Ph.D. Thesis, University of Canterbury, Christchurch, New Zealand, 1988. [Google Scholar]
  44. Havasi, M.; Sangak Sani Bozhgani, N.; Golmohmmadi, G.; Kheradmand, K. Impact of hexythiazox on life table parameters of the Amblyseius swirskii (Acari: Phytoseiidae) and its prey Tetranychus urticae. J. Crop. Prot. 2021, 10, 295–308. [Google Scholar]
  45. Pavela, R.; Pavoni, L.; Bonacucina, G.; Cespi, M.; Cappellacci, L.; Petrelli, R.; Spinozzi, E.; Aguzzi, C.; Zeppa, L.; Ubaldi, M.; et al. Encapsulation of Carlina acaulis essential oil and carlina oxide to develop long-lasting mosquito larvicides: Microemulsions versus nanoemulsions. J. Pest Sci. 2021, 94, 899–915. [Google Scholar] [CrossRef]
  46. Abbott, W.S. A method of computing the effectiveness of an insecticide. J. Econ. Entomol. 1925, 18, 265–267. [Google Scholar] [CrossRef]
  47. Finney, D.J. Probit Analysis: A Statistical Treatment of the Sigmoid Response Curve; Cambridge University Press: Cambridge, UK, 1952. [Google Scholar]
  48. Nabissi, M.; Morelli, M.B.; Offidani, M.; Amantini, C.; Gentili, S.; Soriani, A.; Cardinali, C.; Leoni, P.; Santoni, G. Cannabinoids synergize with carfilzomib, reducing multiple myeloma cells viability and migration. Oncotarget 2016, 7, 77543–77557. [Google Scholar] [CrossRef] [PubMed] [Green Version]
Figure 1. Chemical structures (14) of bufadienolides isolated from D. pancration.
Figure 1. Chemical structures (14) of bufadienolides isolated from D. pancration.
Plants 11 01629 g001
Figure 2. NOESY correlations in compound 4.
Figure 2. NOESY correlations in compound 4.
Plants 11 01629 g002
Figure 3. Drimia pancration extract cytotoxic effect: cell viability was determined in THP-1 and HaCaT cell lines by MTT assay. Cells were treated for 72 h with different extract concentrations. Data are expressed as mean ± SD of three separate experiments. * p < 0.05 vs. vehicle (Vhc).
Figure 3. Drimia pancration extract cytotoxic effect: cell viability was determined in THP-1 and HaCaT cell lines by MTT assay. Cells were treated for 72 h with different extract concentrations. Data are expressed as mean ± SD of three separate experiments. * p < 0.05 vs. vehicle (Vhc).
Plants 11 01629 g003
Table 1. Acaricidal effect of the isolated compounds and Drimia pancration extract against Tetranychus urticae females 96 h after application.
Table 1. Acaricidal effect of the isolated compounds and Drimia pancration extract against Tetranychus urticae females 96 h after application.
Tested AcaricideMortality **Lethal Dose (for 96 h)
At 24 h
(Dose 100 µg/cm2)
At 96 h
(Dose 100 µg/cm2)
LD50 (µg/cm2)LD90
(µg/cm2)
χ2p-Value
1100.0 ± 0.0e100.0 ± 0.0d0.28
(0.22–0.34)
1.08
(0.84–1.60)
1.4850.685
247.4 ± 11.7c83.3 ± 4.7c1.41
(0.62–2.48)
198.58
(86.01–786.52)
1.8360.968
316.4 ± 5.6b46.7 ± 12.5b˃100
410.6 ± 5.4ab70.0 ± 8.2c29.61
(13.20–48.35)
1862.15
(648.5–2651.24)
0.4070.981
D. pancration extract5.5 ± 2.5a78.9 ± 6.3c8.5
(5.9–10.6)
118.8
(103.3–129.5)
0.8520.384
Positive control
Hexythiazox
82.5 ± 12.5d100.0 ± 0.0d18.7
(12.7–21.5)
132.5
(111.7–142.8)
1.2340.251
Negative control0.0 ± 0.0a6.7 ± 4.7a
ANOVA F6,28, p-value *381.72; 0.000273.57; 0.000
* ANOVA parameters; ** means followed in the same column by the same letter are not significantly different (ANOVA, Tukey’s HSD test, p < 0.05).
Publisher’s Note: MDPI stays neutral with regard to jurisdictional claims in published maps and institutional affiliations.

Share and Cite

MDPI and ACS Style

Badalamenti, N.; Bruno, M.; Pavela, R.; Maggi, F.; Marinelli, O.; Zeppa, L.; Benelli, G.; Canale, A. Acaricidal Activity of Bufadienolides Isolated from Drimia pancration against Tetranychus urticae, and Structural Elucidation of Arenobufagin-3-O-α-L-rhamnopyranoside. Plants 2022, 11, 1629. https://doi.org/10.3390/plants11131629

AMA Style

Badalamenti N, Bruno M, Pavela R, Maggi F, Marinelli O, Zeppa L, Benelli G, Canale A. Acaricidal Activity of Bufadienolides Isolated from Drimia pancration against Tetranychus urticae, and Structural Elucidation of Arenobufagin-3-O-α-L-rhamnopyranoside. Plants. 2022; 11(13):1629. https://doi.org/10.3390/plants11131629

Chicago/Turabian Style

Badalamenti, Natale, Maurizio Bruno, Roman Pavela, Filippo Maggi, Oliviero Marinelli, Laura Zeppa, Giovanni Benelli, and Angelo Canale. 2022. "Acaricidal Activity of Bufadienolides Isolated from Drimia pancration against Tetranychus urticae, and Structural Elucidation of Arenobufagin-3-O-α-L-rhamnopyranoside" Plants 11, no. 13: 1629. https://doi.org/10.3390/plants11131629

APA Style

Badalamenti, N., Bruno, M., Pavela, R., Maggi, F., Marinelli, O., Zeppa, L., Benelli, G., & Canale, A. (2022). Acaricidal Activity of Bufadienolides Isolated from Drimia pancration against Tetranychus urticae, and Structural Elucidation of Arenobufagin-3-O-α-L-rhamnopyranoside. Plants, 11(13), 1629. https://doi.org/10.3390/plants11131629

Note that from the first issue of 2016, this journal uses article numbers instead of page numbers. See further details here.

Article Metrics

Back to TopTop