Floral Quality Characterization in Olive Progenies from Reciprocal Crosses
Abstract
:1. Introduction
2. Results and Discussion
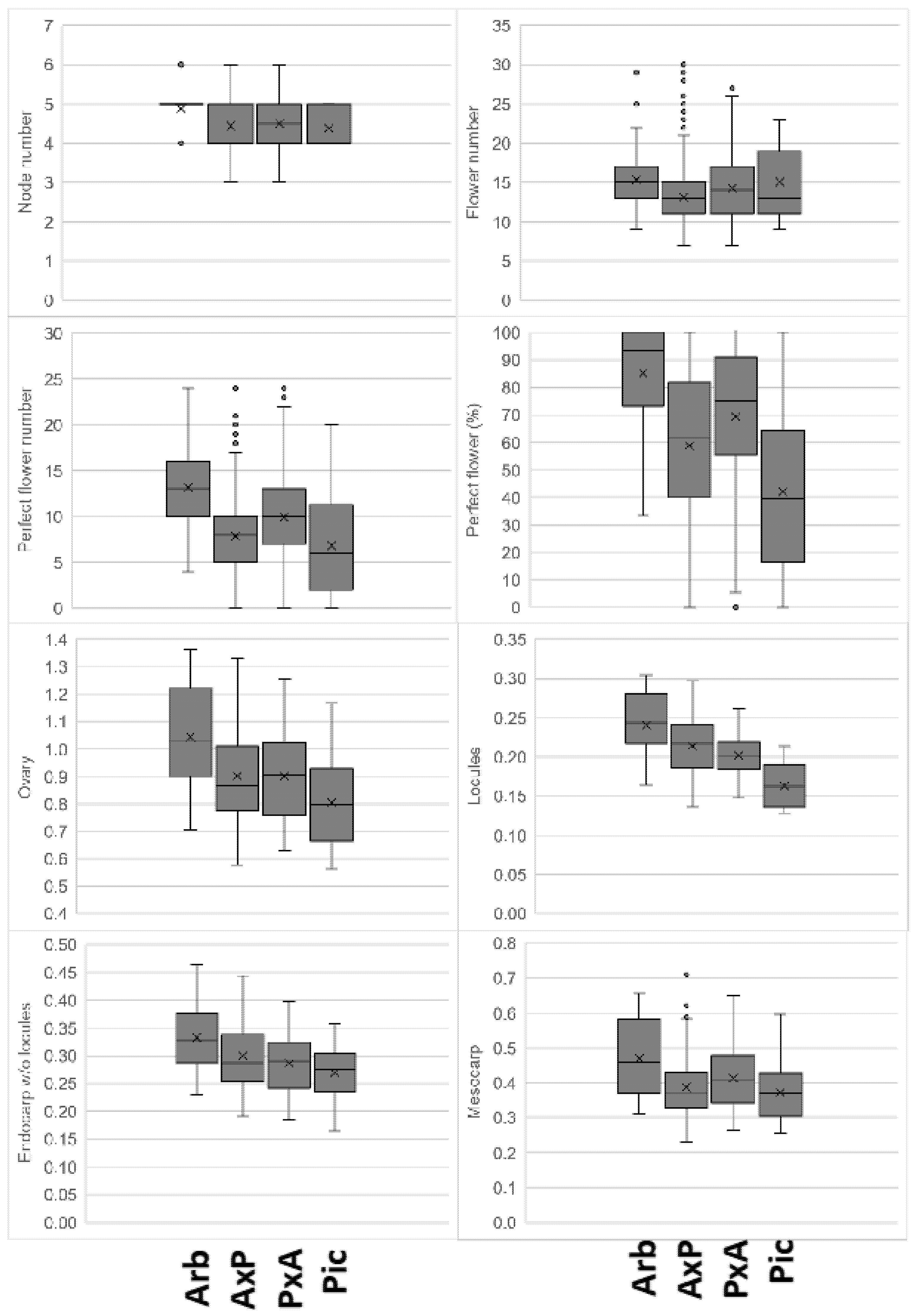
2.1. Variability in Inflorescence and Ovary Traits
2.2. Relations among Studied Parameters
2.3. Ovule Development
3. Materials and Methods
3.1. Plant Material and Growing Conditions
3.2. Inflorescence and Flower Sampling and EVALUATION
3.3. Ovule Development and Ovary Tissue Size
3.4. Mature Fruit Tissues
3.5. Data Analysis
4. Conclusions
Author Contributions
Funding
Institutional Review Board Statement
Informed Consent Statement
Data Availability Statement
Acknowledgments
Conflicts of Interest
References
- Badenes, M.L.; Byrne, D.H. Fruit Breeding; Springer: Berlin/Heidelberg, Germany, 2012; ISBN 978-1-4419-0763-9. [Google Scholar]
- McNeilage, M.A. Gender Variation in Actinidia Deliciosa, the Kiwifruit. Sex. Plant Reprod. 1991, 4, 267–273. [Google Scholar] [CrossRef]
- Sánchez-Pérez, R.; Dicenta, F.; Martínez-Gómez, P. Inheritance of Chilling and Heat Requirements for Flowering in Almond and QTL Analysis. Tree Genet. Genomes 2012, 8, 379–389. [Google Scholar] [CrossRef]
- Campoy, J.A.; Ruiz, D.; Egea, J.; Rees, D.J.G.; Celton, J.M.; Martínez-Gómez, P. Inheritance of Flowering Time in Apricot (Prunus Armeniaca L.) and Analysis of Linked Quantitative Trait Loci (QTLs) Using Simple Sequence Repeat (SSR) Markers. Plant Mol. Biol. Rep. 2011, 29, 404–410. [Google Scholar] [CrossRef]
- Cheng, C.H.; Seal, A.G.; Murphy, S.J.; Lowe, R.G. Variability and Inheritance of Flowering Time and Duration in Actinidia Chinensis (Kiwifruit). Euphytica 2006, 147, 395–402. [Google Scholar] [CrossRef]
- Ruiz, D.; Egea, J. Ovule Development at Anthesis in Apricot (Prunus Armeniaca) Varieties in a Mediterranean Climate. Ann. Appl. Biol. 2007, 151, 43–51. [Google Scholar] [CrossRef]
- Soltész, M. Inheritance of the Characters Related to Reproductive Processes in Apple Varieties: Flower Initiation, Blooming, Fertility Conditions. Acta Hortic. 2000, 1, 295–299. [Google Scholar] [CrossRef]
- Williams, R.R. The Effect of Summer Nitrogen Applications on The Quality of Apple Blossom. J. Hortic. Sci. 1965, 40, 31–41. [Google Scholar] [CrossRef]
- Moreno-Alías, I.; Rapoport, H.F.; Martins, P.C. Morphological Limitations in Floral Development among Olive Tree Cultivars. Acta Hortic. 2012, 932, 23–28. [Google Scholar] [CrossRef]
- Cuevas, J.; Polito, V.S. The Role of Staminate Flowers in the Breeding System of Olea europaea (Oleaceae): An Andromonoecious, Wind-Pollinated Taxon. Ann. Bot. 2004, 93, 547–553. [Google Scholar] [CrossRef] [Green Version]
- Reale, L.; Sgromo, C.; Bonofiglio, T.; Orlandi, F.; Formaciari, M.; Ferranti, F.; Romano, B. Reproductive Biology of Olive (Olea Europea L.) DOP Umbria Cultivars. Sex. Plant Reprod. 2006, 19, 151–161. [Google Scholar] [CrossRef]
- Lavee, S.; Rallo, L.; Rapoport, H.F.; Troncoso, A. The Floral Biology of the Olive: Effect of Flower Number, Type and Distribution on Fruitset. Sci. Hortic. 1996, 66, 149–158. [Google Scholar] [CrossRef] [Green Version]
- Rallo, L.; Fernandez-Escobar, R. Influence of Cultivar and Flower Thinning within the Inflorescence on Competition among Olive Fruit. J. Am. Soc. Hortic. Sci. 1985, 110, 303–308. [Google Scholar]
- Perica, S.; Brown, P.H.; Connell, J.H.; Nyomora, A.M.S.; Dordas, C.; Hu, H.; Stangoulis, J. Foliar Boron Application Improves Flower Fertility and Fruit Set of Olive. HortScience 2001, 36, 714–716. [Google Scholar] [CrossRef] [Green Version]
- Rallo, L.; Martin, G.C.; Lavee, S. Relationship between Abnormal Embryo Sac Development and Fruitfulness in Olive. J. Am. Soc. Hortic. Sci. 1981, 106, 813–817. [Google Scholar]
- Rapoport, H.F.; Hammami, S.B.M.; Martins, P.; Pérez-Priego, O.; Orgaz, F. Influence of Water Deficits at Different Times during Olive Tree Inflorescence and Flower Development. Environ. Exp. Bot. 2012, 77, 227–233. [Google Scholar] [CrossRef] [Green Version]
- Uriu, K. Periods of Pistil Abortion in the Development of the Olive Flower. J. Am. Soc. Hortic. Sci. 1960, 73, 194–202. [Google Scholar]
- Boualem, A.; Lemhemdi, A.; Sari, M.-A.; Pignoly, S.; Troadec, C.; Choucha, F.A.; Solmaz, I.; Sari, N.; Dogimont, C.; Bendahmane, A. The Andromonoecious Sex Determination Gene Predates the Separation of Cucumis and Citrullus Genera. PLoS ONE 2016, 11, e0155444. [Google Scholar] [CrossRef] [Green Version]
- Navas-Lopez, J.F.; León, L.; Rapoport, H.F.; Moreno-Alías, I.; Lorite, I.J.; de la Rosa, R. Genotype, Environment and Their Interaction Effects on Olive Tree Flowering Phenology and Flower Quality. Euphytica 2019, 215, 184. [Google Scholar] [CrossRef]
- Koubouris, G.C.; Metzidakis, I.T.; Vasilakakis, M.D. Phenological, Morphological and Functional Indicators of Genetic Variability and Their Implication in the Sexual Reproductive System of Olea europaea L. (Oleaceae). Sci. Hortic. 2010, 123, 547–550. [Google Scholar] [CrossRef]
- Vuletin Selak, G.; Perica, S.; Goreta Ban, S.; Bucan, L.; Poljak, M. Flower Sterility and the Germination Ability of Pollen as Genetic Traits of Seven Olive (Olea europaea L.) Cultivars Grown in Croatia. J. Hortic. Sci. Biotechnol. 2012, 87, 237–242. [Google Scholar] [CrossRef]
- Rosati, A.; Caporali, S.; Paoletti, A.; Famiani, F. Pistil Abortion Is Related to Ovary Mass in Olive (Olea europaea L.). Sci. Hortic. 2011, 127, 515–519. [Google Scholar] [CrossRef]
- Martins, P.C.; Cordeiro, A.M.; Rapoport, H.F. Flower Quality in Orchards of Olive, Olea europaea L., Cv. Morisca. Adv. Hortic. Sci. 2006, 20, 262–266. [Google Scholar]
- Rosati, A.; Zipancic, M.; Caporali, S.; Padula, G. Fruit Weight Is Related to Ovary Weight in Olive (Olea europaea L.). Sci. Hortic. 2009, 122, 399–403. [Google Scholar] [CrossRef]
- Rosati, A.; Caporali, S.; Hammami, S.B.M.M.; Moreno-Alias, I.; Paoletti, A.; Rapoport, H.F. Tissue Size and Cell Number in the Olive (Olea europaea) Ovary Determine Tissue Growth and Partitioning in the Fruit. Funct. Plant Biol. 2012, 39, 580–587. [Google Scholar] [CrossRef] [PubMed]
- Rallo, L.; Barranco, D.; de la Rosa, R.; León, L. ‘Chiquitita’ Olive. HortScience 2008, 43, 529–531. [Google Scholar] [CrossRef]
- Moreno-Alias, I.; De la Rosa, R.; Rapoport, H.F. Floral Quality Components of a New Olive Cultivar and Its Parents. Sci. Hortic. 2013, 154, 17–19. [Google Scholar] [CrossRef] [Green Version]
- León, L.; Rallo, L.; Del Río, C.; Martín, L.M. Variability and Early Selection on the Seedling Stage for Agronomic Traits in Progenies from Olive Crosses. Plant Breed. 2004, 123, 73–78. [Google Scholar] [CrossRef]
- Rapoport, H.F.; Hammami, S.B.M.; Rosati, A.; Gucci, R. Advances in Olive Fruit Cell and Tissue Development. Acta Hortic. 2017, 1177, 209–214. [Google Scholar] [CrossRef]
- Rosati, A.; Caporali, S.; Hammami, S.B.M.; Moreno-Alías, I.; Rapoport, H. Fruit Growth and Sink Strength in Olive (Olea europaea) Are Related to Cell Number, Not to Tissue Size. Funct. Plant Biol. 2020, 47, 1098–1104. [Google Scholar] [CrossRef]
- Cerri, M.; Rosati, A.; Famiani, F.; Reale, L. Fruit Size in Different Plum Species (Genus Prunus L.) Is Determined by Post-Bloom Developmental Processes and Not by Ovary Characteristics at Anthesis. Sci. Hortic. 2019, 255, 1–7. [Google Scholar] [CrossRef]
- Harada, T.; Kurahashi, W.; Yanai, M.; Wakasa, Y.; Satoh, T. Involvement of Cell Proliferation and Cell Enlargement in Increasing the Fruit Size of Malus Species. Sci. Hortic. 2005, 105, 447–456. [Google Scholar] [CrossRef]
- Scorza, R.; May, L.G.; Purnell, B.; Upchurch, B. Differences in Number and Area of Mesocarp Cells between Small- and Large-Fruited Peach Cultivars. J. Am. Soc. Hortic. Sci. 1991, 116, 861–864. [Google Scholar] [CrossRef]
- Ruzin, S. Plant Microtechnique and Microscopy; Oxford University Press: New York, NY, USA, 1999. [Google Scholar]
- Sakai, W.S. Simple Method for Differential Staining of Paraffin Embedded Plant Material Using Toluidine Blue O. Stain Technol. 1973, 48, 247–249. [Google Scholar] [CrossRef] [PubMed]



| Min | Max | Mean | SD | CV (%) | |
|---|---|---|---|---|---|
| Inflorescence traits | |||||
| Node number | 3 | 6 | 4.49 | 0.59 | 13.23 |
| Flower number | 7 | 30 | 13.87 | 3.89 | 28.04 |
| Perfect flower number | 0 | 24 | 9.02 | 4.71 | 52.19 |
| Perfect flower (%) | 0 | 100 | 64.14 | 27.49 | 42.86 |
| Tissue size (mm2) | |||||
| Ovary | 0.52 | 1.41 | 0.91 | 0.18 | 19.22 |
| Locules | 0.13 | 0.30 | 0.21 | 0.03 | 16.07 |
| Endocarp w/o locules | 0.16 | 0.52 | 0.30 | 0.06 | 21.13 |
| Mesocarp | 0.20 | 0.71 | 0.40 | 0.09 | 23.08 |
| Inflorescence Traits | ||||||||
| Node Number | Flower Number | Perfect Flower Number | Perfect Flower (%) | |||||
| Variance | % | Variance | % | Variance | % | Variance | % | |
| Genotype (G) | 0.0376 | 9.6 | 3.1 | 17.5 | 3.6 | 12.6 | 197.7 | 22.4 |
| Year (Y) | 0.0712 | 18.2 | 4.6 | 26.1 | 12.0 | 42.3 | 227.9 | 25.8 |
| G × Y | 0.0275 | 7.0 | 1.9 | 10.8 | 3.8 | 13.3 | 113.3 | 12.8 |
| Error | 0.2546 | 65.1 | 8.0 | 45.6 | 9.1 | 31.9 | 344.2 | 39.0 |
| Repeatability | 0.67 | 0.74 | 0.63 | 0.76 | ||||
| Tissue Size | ||||||||
| Ovary | Locules | Endocarp w/o Locules | Mesocarp | |||||
| Variance | % | Variance | % | Variance | % | Variance | % | |
| Genotype (G) | 0.0123 | 30.5 | 0.0006 | 39.1 | 0.0018 | 36.7 | 0.0032 | 28.1 |
| Year (Y) | 0.0168 | 41.8 | 0.0005 | 33.2 | 0.0015 | 30.3 | 0.0047 | 42.3 |
| G × Y | 0.0042 | 10.4 | 0.0002 | 12.2 | 0.0006 | 12.0 | 0.0011 | 9.9 |
| Error | 0.0069 | 17.2 | 0.0002 | 15.5 | 0.0010 | 21.0 | 0.0022 | 19.7 |
| Repeatability | 0.83 | 0.85 | 0.84 | 0.82 | ||||
| Cross | Genotype | Inflorescence Traits | |||||||
| Node Number | Flower Number | Perfect Flower Number | Perfect Flower (%) | ||||||
| 2013 | 2014 | 2013 | 2014 | 2013 | 2014 | 2013 | 2014 | ||
| Arbequina | 5.12 | 4.64 | 17.1 | 13.6 | 16.24 | 10.08 | 96.0 | 74.5 | |
| A × P | 148–100 | 4.56 | 4.12 | 13.8 | 11.2 | 6.84 | 4.88 | 49.6 | 43.1 |
| 148–59 | 4.56 | 4.52 | 15.1 | 13.0 | 12.84 | 9.4 | 84.8 | 74.7 | |
| 149–65 | 4.92 | 4.4 | 17.6 | 12.1 | 15.96 | 5.64 | 90.6 | 47.3 | |
| 150–28 | 4.72 | 4 | 15.0 | 11.3 | 11.56 | 6.4 | 77.0 | 59.2 | |
| 150–5 | 4.72 | 3.88 | 15.7 | 11.0 | 8.08 | 2.8 | 53.1 | 24.5 | |
| 150–87 | 4.28 | 4.32 | 10.8 | 11.6 | 9.76 | 6.76 | 90.0 | 60.2 | |
| 150–94 | 5.36 | 4.68 | 18.6 | 11.8 | 8.48 | 4.56 | 46.0 | 35.3 | |
| 151–17 | 4.12 | 3.88 | 10.6 | 11.0 | 4.52 | 6.96 | 43.4 | 63.3 | |
| P × A | 142–58 | 4.32 | 4.32 | 15.7 | 13.0 | 14.48 | 7.36 | 91.7 | 56.9 |
| 142–60 | 4.88 | 4.52 | 16.6 | 12.3 | 14.04 | 5.2 | 85.5 | 41.9 | |
| 142–69 | 4.64 | 4.4 | 14.6 | 10.1 | 9.96 | 3.32 | 68.5 | 33.2 | |
| 142–72 | 4.72 | 4.04 | 14.2 | 9.8 | 12.52 | 6.2 | 87.9 | 62.2 | |
| 142–74 | 4.52 | 4.2 | 13.3 | 11.3 | 12.32 | 10.08 | 92.7 | 90.3 | |
| 142–76 | 4.92 | 4.16 | 14.6 | 10.7 | 12.24 | 7.16 | 84.3 | 66.3 | |
| 142–82 | 4.64 | 4.56 | 19.0 | 19.1 | 11.84 | 8.04 | 62.6 | 42.1 | |
| 142–96 | 4.68 | 4.44 | 17.3 | 16.4 | 14.68 | 9.76 | 84.3 | 61.2 | |
| Picual | 4.52 | 4.24 | 17.6 | 12.6 | 10.56 | 3.12 | 61.4 | 23.1 | |
| Tukey HSD 95% | 0.5474 | 3.0717 | 3.264 | 20.106 | |||||
| Tissue Size (Central Transverse Area, mm2) | |||||||||
| Cross | Genotype | Ovary | Locules | Endocarp w/o Locules | Mesocarp | ||||
| 2013 | 2014 | 2013 | 2014 | 2013 | 2014 | 2013 | 2014 | ||
| Arbequina | 1.218 | 0.869 | 0.275 | 0.206 | 0.380 | 0.286 | 0.564 | 0.378 | |
| A × P | 148–100 | 0.858 | 0.766 | 0.189 | 0.168 | 0.307 | 0.271 | 0.361 | 0.328 |
| 148–59 | 1.125 | 0.808 | 0.229 | 0.183 | 0.353 | 0.274 | 0.543 | 0.351 | |
| 149–65 | 0.826 | 0.657 | 0.219 | 0.181 | 0.250 | 0.211 | 0.357 | 0.265 | |
| 150–28 | 1.168 | 1.037 | 0.259 | 0.253 | 0.400 | 0.347 | 0.509 | 0.438 | |
| 150–5 | 0.846 | 0.610 | 0.237 | 0.172 | 0.260 | 0.204 | 0.350 | 0.233 | |
| 150–87 | 0.957 | 0.814 | 0.246 | 0.214 | 0.316 | 0.269 | 0.395 | 0.331 | |
| 150–94 | 1.020 | 0.914 | 0.198 | 0.201 | 0.373 | 0.308 | 0.449 | 0.406 | |
| 151–17 | 0.845 | 0.967 | 0.209 | 0.210 | 0.262 | 0.349 | 0.374 | 0.408 | |
| P × A | 142–58 | 1.016 | 0.796 | 0.220 | 0.195 | 0.311 | 0.253 | 0.485 | 0.348 |
| 142–60 | 0.915 | 0.709 | 0.198 | 0.168 | 0.307 | 0.226 | 0.409 | 0.316 | |
| 142–69 | 1.038 | 0.846 | 0.234 | 0.201 | 0.323 | 0.264 | 0.480 | 0.381 | |
| 142–72 | 0.937 | 0.795 | 0.224 | 0.200 | 0.270 | 0.230 | 0.444 | 0.365 | |
| 142–74 | 0.969 | 0.708 | 0.230 | 0.175 | 0.306 | 0.219 | 0.433 | 0.314 | |
| 142–76 | 1.101 | 0.914 | 0.208 | 0.187 | 0.355 | 0.299 | 0.538 | 0.428 | |
| 142–82 | 1.151 | 0.927 | 0.258 | 0.234 | 0.417 | 0.336 | 0.477 | 0.357 | |
| 142–96 | 1.260 | 1.066 | 0.267 | 0.241 | 0.413 | 0.346 | 0.580 | 0.480 | |
| Picual | 0.935 | 0.675 | 0.184 | 0.142 | 0.310 | 0.229 | 0.441 | 0.304 | |
| Tukey HSD 95% | 0.1921 | 0.0343 | 0.0747 | 0.1089 | |||||
| Year | Month | Temperature (°C) | Cumulative Rainfall (mm) | ||
|---|---|---|---|---|---|
| Average | Max | Min | |||
| 2013 | January | 8.66 | 14.51 | 4.24 | 61.80 |
| February | 8.85 | 14.92 | 3.33 | 87.40 | |
| March | 12.05 | 16.78 | 8.28 | 266.40 | |
| April | 15.69 | 22.33 | 9.69 | 51.20 | |
| May | 18.11 | 25.31 | 10.75 | 12.20 | |
| 2014 | January | 8.19 | 14.73 | 3.40 | 103.60 |
| February | 10.15 | 14.96 | 5.34 | 108.20 | |
| March | 12.70 | 20.01 | 6.34 | 30.60 | |
| April | 17.35 | 24.59 | 10.66 | 52.60 | |
| May | 20.71 | 28.70 | 12.07 | 9.40 | |
| Node Number | Flower Number | Perfect Flower Number | Perfect Flower (%) | Ovary Size | Endocarp w/o Locules Size | Locules Size | ||
|---|---|---|---|---|---|---|---|---|
| Flower number | 2013 | 0.67 | ||||||
| 2014 | 0.53 | |||||||
| Perfect flower number | 2013 | 0.36 | 0.49 | |||||
| 2014 | 0.29 | 0.45 | ||||||
| Perfect flower (%) | 2013 | 0.06 | −0.01 | 0.85 | ||||
| 2014 | 0.00 | −0.01 | 0.88 | |||||
| Ovary size | 2013 | 0.27 | 0.35 | 0.47 | 0.35 | |||
| 2014 | 0.11 | 0.33 | 0.42 | 0.30 | ||||
| Endocarp w/o locules size | 2013 | 0.32 | 0.44 | 0.28 | 0.09 | 0.92 | ||
| 2014 | 0.09 | 0.41 | 0.37 | 0.20 | 0.95 | |||
| Locules size | 2013 | 0.04 | 0.08 | 0.40 | 0.41 | 0.68 | 0.52 | |
| 2014 | 0.08 | 0.39 | 0.42 | 0.28 | 0.85 | 0.78 | ||
| Mesocarp size | 2013 | 0.25 | 0.31 | 0.53 | 0.43 | 0.95 | 0.78 | 0.51 |
| 2014 | 0.12 | 0.18 | 0.41 | 0.35 | 0.95 | 0.84 | 0.70 |
Publisher’s Note: MDPI stays neutral with regard to jurisdictional claims in published maps and institutional affiliations. |
© 2022 by the authors. Licensee MDPI, Basel, Switzerland. This article is an open access article distributed under the terms and conditions of the Creative Commons Attribution (CC BY) license (https://creativecommons.org/licenses/by/4.0/).
Share and Cite
Rapoport, H.F.; Moreno-Alías, I.; de la Rosa-Peinazo, M.Á.; Frija, A.; de la Rosa, R.; León, L. Floral Quality Characterization in Olive Progenies from Reciprocal Crosses. Plants 2022, 11, 1285. https://doi.org/10.3390/plants11101285
Rapoport HF, Moreno-Alías I, de la Rosa-Peinazo MÁ, Frija A, de la Rosa R, León L. Floral Quality Characterization in Olive Progenies from Reciprocal Crosses. Plants. 2022; 11(10):1285. https://doi.org/10.3390/plants11101285
Chicago/Turabian StyleRapoport, Hava F., Inmaculada Moreno-Alías, Miguel Ángel de la Rosa-Peinazo, Amina Frija, Raúl de la Rosa, and Lorenzo León. 2022. "Floral Quality Characterization in Olive Progenies from Reciprocal Crosses" Plants 11, no. 10: 1285. https://doi.org/10.3390/plants11101285
APA StyleRapoport, H. F., Moreno-Alías, I., de la Rosa-Peinazo, M. Á., Frija, A., de la Rosa, R., & León, L. (2022). Floral Quality Characterization in Olive Progenies from Reciprocal Crosses. Plants, 11(10), 1285. https://doi.org/10.3390/plants11101285

