Evaluation of Bacterial Perpetuation Assays and Plant Biomolecules Antimicrobial Activity against Cotton Blight Bacterium Xanthomonas citri subsp. malvacearum; An Alternative Source for Food Production and Protection
Abstract
1. Introduction
2. Results
2.1. Bacterium Isolation, Identification, Hypersensitive and Biochemical Tests
2.2. Cotton Germplasm Response against Bacterium Perpetuation Assay under Glass House
2.3. Biological Management of Cotton Blight Bacterium Xcm Using Indigenous Medicinal Plants Species/Biomolecules
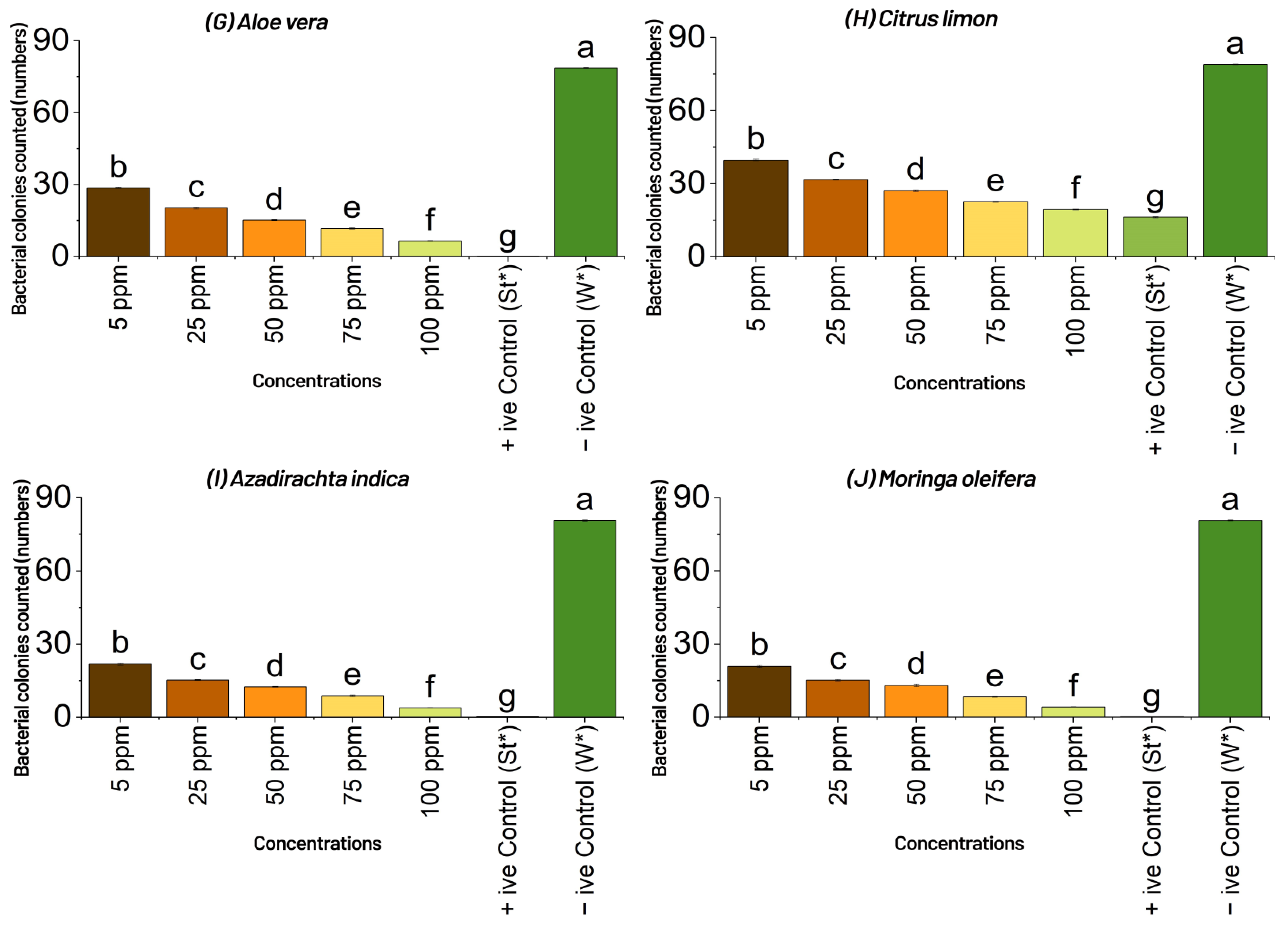
2.4. Poison Food Technique
2.5. Disk Diffusion Technique (B)
3. Discussion
4. Materials and Methods
4.1. Study Area and Planting Material
4.2. Pathogen Isolation and Identification through Biochemical and Diagnostic Tests
4.3. Hypersensitivity Test, Gram Staining, KOH, Catalase, Starch Hydrolysis, Lecithinase and Tween 80 Hydrolysis
4.4. Cotton Germplasm Evaluation for Bacterium Perpetuation Assay under Glass House
4.5. Biological Management of Cotton Blight Bacterium Xcm Using Indigenous Medicinal Plants Species/Biomolecules
4.6. Preparation of Plant Extracts
4.7. Poison Food Technique
4.8. Disk Diffusion Technique
4.9. Statistical Analysis
5. Conclusions
Author Contributions
Funding
Institutional Review Board Statement
Informed Consent Statement
Data Availability Statement
Acknowledgments
Conflicts of Interest
Abbreviations
| Xcm | Xanthomonas citri supsb. malvacearum |
| Ppm | Parts per million |
| MIC | Minimum inhibitory concentration |
| CRD | Completely randomized design |
References
- Razzaq, A.; Zafar, M.M.; Ali, A. Cotton germplasm improvement and progress in Pakistan. J. Cotton Res. 2021, 4, 1–5. [Google Scholar] [CrossRef]
- Ozyigit, W.I.; Kahraman, M.V.; Ercan, O. Relation between explants age, total phenols and regeneration response in tissue cultured cotton (Gossypium hirsutum L.). Afr. J. Biotechnol. 2007, 6, 3–8. [Google Scholar]
- Atiq, M.; Ahmad, W.; Rafique, M.; Sahi, S.T.; Rehman, A.U.; Younis, M.; Nawaz, U. Genetic potential of cotton germplasm for management of bacterial blight disease. Pak. J. Phytopathol. 2014, 26, 109–112. [Google Scholar]
- Kemerait, B.; Tom, A.; Shien, L.; Craig, R.; Travis, F.; Jason, W.; Terry, W.; Tom, I.; Rebecca, B.; Anne, P. Identification and Management of Bacterial Blight of Cotton; Cotton Incorporated: Cary, NC, USA, 2022. [Google Scholar]
- Martins, P.M.M.; De Oliveira, A.M.; Benedetti, C.E. Xanthomonas citri subsp. citri: Host interaction and control strategies. Trop. Plant Pathol. 2020, 45, 213–236. [Google Scholar] [CrossRef]
- Mishra, S.; Ashok, K. Assessment of yield losses due to bacterial blight in cotton. J. Mycol. Plant Pathol. 2001, 31, 232–233. [Google Scholar]
- Mehta, Y.R.; Bomfeti, C.; Bolognini, V. A semiselective agar medium to detect the presence of Xanthomonas axonopodis pv. malvacearum in naturally infected cotton seed. Fitopatol. Bras. 2005, 30, 489–496. [Google Scholar] [CrossRef]
- Salaheddin, K.; Valluvaparidasan, V.; Ladhalakshmi, D.; Velazhahan, R. Management of bacterial blight of cotton using a mixture of Pseudomonas fluorescens and Bacillus subtilis. Plant Prot. Sci. 2010, 46, 41–50. [Google Scholar] [CrossRef]
- Ahmad, A.A.; Kawabe, M.; Askora, A. Dynamic integration and excision of filamentous phage XacF1in Xanthomonas citri pv. citri, the causative agent of citrus canker disease. FEBS Open Bio 2017, 7, 1715–1721. [Google Scholar] [CrossRef]
- Smith, E.F. Bacterial Diseases of Plants; Saunders Co.: Philadelphia, PA, USA, 1920. [Google Scholar]
- Hussain, T.; Tahir, M. Chemical control of bacterial blight of cotton. Pak. J. Phytopathol. 1993, 5, 119–121. [Google Scholar]
- Bird, L.S.; Smith, H.E. Bacterial Blight of Cotton; MP-534; The Agricultural and Mechanical College of Texas, Texas Agriculture Experimentation Station, Texas Agriculture Extension Service: College Station, TX, USA, 1961. [Google Scholar]
- Casson, E.T.; Richardson, P.E.; Brinkerhoff, L.A.; Gholson, R.K. Histopathology of immune and susceptible cotton cultivars inoculated with Xanthomonas campestris pv. malvacearum. Phytopathology 1977, 67, 195–196. [Google Scholar] [CrossRef]
- Hussain, T.; Mahmood, T.; Ali, L.; Bhatti, N.N.; Ali, S. Potential of some bio- products to control the cotton bacterial blight. Trop. Pest Manag. 2000, 31, 75–77. [Google Scholar] [CrossRef]
- Hillocks, R.J. Bacterial blight. In Cotton Diseases; Hillocks, R.J., Ed.; CAB International Wallingford Oxon: Wallingford, UK, 1992; pp. 39–85. [Google Scholar]
- Ali, M. Pests and Diseases of Cotton in Multan; Annual progress report; Cotton Research Station: Multan, Pakistan, 1968; pp. 14–15. [Google Scholar]
- Hussain, T.; Mehmood, T.; Ali, L.; Bhatti, N.N.; Ali, V. Resistance of some cotton lines to bacterial blight in Pakistan. Trop. Pest Manag. 1985, 31, 73–77. [Google Scholar] [CrossRef]
- Khan, M.A. Relationship of Xanthomonas campestris pv. malvacearum population to development of symptoms of bacterial blight of cotton. Pak. J. Phytopathol. 1996, 8, 152–155. [Google Scholar]
- Mondal, K.; Dureja, P.; Prakash, V.J. Management of Xanthomonas camprestris pv. malvacearum-induced blight of cotton through phenolics of cotton rhizobacterium. Curr. Microbiol. 2001, 43, 336–339. [Google Scholar] [CrossRef]
- Jalloul, A.; Sayegh, M.; Champion, A.; Nicole, M. Bacterial blight of cotton. Phytopathol. Mediterr. 2015, 1, 3–20. [Google Scholar]
- Jagtap, G.P.; Jangam, A.M.; Dey, U. Management of bacterial blight of cotton caused by Xanthomonas axonopodis pv. malvacearum. Sci. J. Microbiol. 2012, 1, 10–18. [Google Scholar]
- Verma, J.P.; Singh, R.P. Studies on the distribution of races of Xanthomonas malvacearum in India. Indian Phytopathol. 1975, 28, 459–463. [Google Scholar]
- Johnson, D.R.; Wyse, D.L.; Jones, K.J. Controlling weeds with phytopathogenic bacteria. Weed Technol. 1996, 10, 621–624. [Google Scholar] [CrossRef]
- Sheikh, T.; Wheeler, T.A.; Dotray, P.A.; Zak, J.C. Biological control of woollyleaf bursage (Ambrosia grayi) with Pseudomonas syringae pv. tagetis. Weed Technol. 2001, 15, 375–381. [Google Scholar] [CrossRef]
- Zidack, N.K.; Backman, P.S.; Shaw, J.J. Promotion of bacterial infection of leaves by an organosilicone surfactant: Implications for biological weed control. Biol. Control 1992, 2, 111–117. [Google Scholar] [CrossRef]
- Khan, M.A.; Ilyas, M.B. Cotton germplasm response of slow blighting against Xanthomonas campestris pv. malvacearum and slow curling against CLCuV infection. In Proceedings of the Plant Diseases of Economic Importance and Their Integrated Management Organized by Pakistan Phytopathological Society, University of Agriculture, Faisalabad, Pakistan, 27–29 September 1999. [Google Scholar]
- Raghavendra, V.B.; Siddalingaiah, L.; Prakash, H.S. Role of cultivars, physical, chemical and organic treatments in the management of bacterial blight of cotton. Arch. Phytopathol. Plant Prot. 2009, 42, 1101–1108. [Google Scholar] [CrossRef]
- Rajendra, L.; Samiyappan, R.; Raguchander, T.G.; Saravanakumar, D. Endophytic bacterial induction of defence enzymes against bacterial blight of cotton. Phytopathol. Mediterr. 2006, 45, 203–214. [Google Scholar]
- Madani, A.S.; Marefat, A.; Behboudi, K. Phenotypic and genetic characteristics of Xanthomonascitri subsp. malvacearum, causal agent of cotton blight, and identification of races in Iran. Australas. Plant Pathol. 2010, 39, 440–445. [Google Scholar] [CrossRef]
- Hayward, A.C. Bacteriophage sensitivity and biochemical group in Xanthomonas malvacearum. J. Gen. Microbiol. 1964, 35, 287–298. [Google Scholar] [CrossRef]
- Griffin, D.E.; Dowler, W.M.; Hartung, J.S.; Bonde, M.R. Differences in substrate utilization among isolates of Xanthomonas oryzae pv. oryzae and X. campestris pv. oryzicola from several countries. Phytopathology 1991, 81, 1222. [Google Scholar]
- Verniere, C.; Pruvost, O.; Civerolo, E.L.; Gambin, O.; Jacquemoud-Collet, J.P.; Luisetti, J. Evaluation of the biolog substrate utilization to identify and assess metabolic variation among strains of Xanthomonas campestris pv. citri. Appl. Environ. Microbiol. 1993, 59, 243–249. [Google Scholar] [CrossRef]
- Abdo-Hasan, M.; Khalil, H.; Debis, B.; Mir, A.N. Molecular characterisation of Syrian races of Xanthomonas axonopodis pv. malvacearum. Plant Pathol. 2008, 90, 431–439. [Google Scholar]
- Schaad, N.W.; Jones, J.B.; Chun, W. Laboratory Guide for Identification of Plant Pathogenic Bacteria, 3rd ed.; The American Phytopathological Society: St. Paul, MN, USA, 2001. [Google Scholar]
- Hunter, R.E.; Brinkerhoff, L.A.; Bird, L.S. The development of a set of upland cotton lines for differentiating races of Xanthomonas malvacearum. Phytopathology 1968, 58, 830–832. [Google Scholar]
- Chauhan, M.S.; Yadav, J.P.S.; Jain, D.K. Reaction of cotton (Gossypium hirsutum L.) to angular leaf spot (Xanthomonas campestris pv. malvacearum) disease of cotton in Haryana. Indian J. Plant Pathol. 1986, 4, 171. [Google Scholar]
- Khan, M.A.; Rashid, A.; Chohan, R.A. Evaluation of some chemicals and plant extracts against the infection dynamics of plant pathogenic bacteria. Pak. J. Agric. Sci. 2000, 37, 3–4. [Google Scholar]
- Verma, J.P.; Nayak, M.L.; Singh, R.P. Survival of Xanthomonas malvacearum under North Indian conditions. Indian Phytopathol. 1977, 30, 361–365. [Google Scholar]
- Alippi, A.M. Survival of Xanthomonas campestris pv. malvacearum in soils. Turrialba 1989, 39, 176–178. [Google Scholar]
- Stoughton, R.H. The influence of environmental conditions on the development of angular leaf spot disease of cotton. Ann. Appl. Biol. 1931, 18, 524–534. [Google Scholar] [CrossRef]
- Stoughton, R.H. The influence of environmental conditions on the development of angular leaf spot disease of cotton. Ann. Appl. Biol. 1933, 20, 590–611. [Google Scholar] [CrossRef]
- Brinkerhoff, L.A.; Presley, J.T. Effect of four day and night temperature regimes on bacterial blight reactions of immune, resistant, and susceptible strains of upland cotton. Phytopathology 1967, 57, 47–51. [Google Scholar]
- Arunkumar, K.; Sivakumar, S.R.; Shanti, N. Antibacterial potential of gulf mannar seaweeds extracts against two plant pathogenic bacteria Xanthomonas axonopodis pv. citri and Xanthomonas campestris pv. malvacearum. Int. J. Adv. Pharm. Biol. Chem. 2013, 2, 25–31. [Google Scholar]
- Dizon, T.O.; Reyes, T.T. Different methods of inoculating cotton (Gossypium hirsutum L.) at various ages with Xanthomonas malvacearum (E. F. S.) Dowson. Philipp. Agric. 1983, 66, 337–344. [Google Scholar]
- Last, F.T. Leaf infection by Xanthomonas malvacearum (EFSm) Dowson. Ann. Appl. Biol. 1959, 47, 647–657. [Google Scholar] [CrossRef]
- Naqvi, S.A.H.; Umar, U.D.; Hasnain, A.; Rehman, A.; Perveen, R. Effect of botanical extracts: A potential biocontrol agent for Xanthomonas oryzae pv. oryzae, causing bacterial leaf blight disease of rice. Pak. J. Agric. Res. 2018, 32, 59–72. [Google Scholar] [CrossRef]
- Talibi, I.; Askarne, L.; Boubaker, H.; Boudyach, E.H.; Msanda, F.; Saadi, B.; Aoumar, A.A.B. Antifungal activity of some Moroccan plants against Geotrichumcandidum, the causal agent of postharvest citrus sour rot. Crop Prot. 2012, 35, 41–46. [Google Scholar] [CrossRef]
- Sales, M.D.C.; Costa, H.B.; Fernandes, P.M.B.; Ventura, J.A.; Meira, D.D. Antifungal activity of plant extracts with potential to control plant pathogens in pineapple. Asian Pac. J. Trop. Biomed. 2016, 6, 26–31. [Google Scholar] [CrossRef]
- Mirzaei-Najafgholi, H.; Tarighi, S.; Golmohammadi, M.; Taheri, P. The effect of citrus essential oils and their constituents on growth of Xanthomonas citri subsp. citri. Molecules 2017, 22, 591. [Google Scholar] [CrossRef] [PubMed]
- Gurjar, M.; Ali, S.; Akhtar, M.; Singh, K. Efficacy of plant extracts in plant disease management. Agric. Sci. 2012, 3, 425–433. [Google Scholar] [CrossRef]
- Ramamurthy, C.H.; Sampath, K.S.; Arunkumar, P.; Kumar, M.S.; Sujatha, V.; Remkumar, P.; Thirunavukkarasu, C. Green synthesis and characterization of selenium nanoparticles and its augmented cytotoxicity with doxorubicin on cancer cells. Bioprocess Biosyst. Eng. 2013, 36, 1131–1139. [Google Scholar] [CrossRef]
- Iscan, G.; Kirimer, N.; Kurkcuoglu, M. Antimicrobial screening of Mentha Piperita essential oils. J. Agric. Food Chem. 2002, 50, 39–43. [Google Scholar] [CrossRef]
- Kumar, P.S.; Mishra, D.; Ghosh, G.; Panda, C.S. Biological action and medicinal properties of various constituent of Azadirachta indica (Meliaceae)” an Overview. Ann. Biol. Res. 2010, 3, 24–34. [Google Scholar]
- John, H.B.; James, C.L. Effect of botanical extracts on the population density of Fusarium oxysporum in soil and control of fusarium wilt in the greenhouse. Plant Dis. 1999, 84, 301–305. [Google Scholar]
- Bambawale, O.; Mohan, P.; Chakraborty, M. Evaluation of various botanicals against some pathogenic bacteria of cash crops. Adv. Plant Sci. 1995, 8, 224–229. [Google Scholar]
- Hayward, A. The hosts of Xanthomonas. In Xanthomonas; Springer: Dordrecht, The Netherlands, 1993; pp. 1–119. [Google Scholar]
- Islam, M.A.; Mazumdar, R.M.; Islam, S.; Alam, M.J.; Urmee, S.A. Isolation, identification and in vitro antibiotic sensitivity pattern of citrus canker causing organism Xanthomonas axonopodis. Adv. Life Sci. 2014, 1, 215–222. [Google Scholar]
- Gerhardt, P. Manual of Methods of General Bacteriology; American Society of Microbiology: Washington, DC, USA, 1981. [Google Scholar]
- Ryu, E. A simple method of differentiation between gram positive and gram negative organisms without staining. Arch. Exp. Med. 1940, 17, 58–63. [Google Scholar]
- Klement, A.; Goodman, R. The hyperensitivity reaction to infection by bacterial plant pathogens. Annu. Rev. Phytopathol. 1967, 5, 17–44. [Google Scholar] [CrossRef]
- Nookongbut, P.; Kantachote, D.; Megharaj, M.; Naidu, R. Reduction in arsenic toxicity and uptake in rice (Oryza sativa L.) by As-resistant purple nonsulfur bacteria. Environ. Sci. Pollut. Res. 2018, 25, 36530–36544. [Google Scholar] [CrossRef]
- King, A.; Phillips, I. The identification of Pseudomonads and related bacteria in a clinical laboratory. J. Med. Microbiol. 1978, 11, 165–176. [Google Scholar] [CrossRef]
- Naqvi, S.A.H.; Perveen, R.; Umar, U.U.; Abid, M.; Chohan, S.; Hasnain, A. Effectiveness of YSCNA modified culture medium for luxurious growth of Xanthomonas oryzae subsp. oryzae from rice plants. Pak. J. Phytopathol. 2016, 28, 263–268. [Google Scholar]
- Sierra, G. A simple method for the detection of lipolytic activity of micro-organisms and some observations on the influence of the contact between cells and fatty substrates. Antonie Van Leeuwenhoek 1957, 23, 15–22. [Google Scholar] [CrossRef]
- Brinkerhoff, L.A. Bacterial blight of cotton. In FAO Consultant Report Pak/73/026; FAO (UNO): Rome, Italy, 1977; p. 11. [Google Scholar]
- Bhatti, R.M.H. Control of Phakopsoragrewiae with plant diffusates. Pak. J. Botony 1986, 18, 329–333. [Google Scholar]
- Batiha, G.E.; Alkazmi, L.M.; Wasef, L.G.; Beshbishy, A.M.; Nadwa, E.H.; Rashwan, E.K. Syzygium aromaticum L. (Myrtaceae): Traditional uses, bioactive chemical constituents, pharmacological and toxicological activities. Biomolecules 2020, 10, 202. [Google Scholar] [CrossRef]
- Beg, A.Z.; Ahmad, I. In vitro fungi toxicity of the essential oil of Syzygium aromaticum. World J. Microbiol. Biotechnol. 2002, 18, 317–319. [Google Scholar] [CrossRef]
- Vinayarani, G.; Prakash, H.S. Fungal endophytes of turmeric (Curcuma longa L.) and their biocontrol potential against pathogens Pythium aphanidermatum and Rhizoctonia solani. World J. Microbiol. Biotechnol. 2018, 14, 49. [Google Scholar] [CrossRef]
- Fuloria, S.; Mehta, J.; Chandel, A.; Sekar, M.; Rani, N.N.I.M.; Begum, M.Y.; Subramaniyan, V.; Chidambaram, K.; Thangavelu, L.; Nordin, R.; et al. A comprehensive review on the therapeutic potential of Curcuma longa Linn. in relation to its major active constituent curcumin. Front. Pharmacol. 2022, 13, 820806. [Google Scholar] [CrossRef]
- Ibáñez, M.D.; Blázquez, M.A. Curcuma longa L. Rhizome essential oil from extraction to its agri-food applications. A review. Plants 2021, 10, 44. [Google Scholar] [CrossRef]
- Schmidt, E.; Bail, S.; Buchbauer, G.; Stoilova, I.; Atanasova, T.; Stoyanova, A.; Krastanov, A.; Jirovetz, L. Chemical composition, olfactory evaluation and antioxidant effects of essential oil from Mentha x piperita. Nat. Prod. Commun. 2009, 4, 1107–1112. [Google Scholar] [CrossRef]
- Camele, I.; Grul’ová, D.; Elshafie, H.S. Chemical composition and antimicrobial properties of Mentha × piperita cv. ‘Kristinka’ essential oil. Plants 2021, 10, 1567. [Google Scholar] [CrossRef]
- Bellassoued, K.; Ben, H.A.; Athmouni, K. Protective effects of Mentha piperita L. leaf essential oil against CCl4 induced hepatic oxidative damage and renal failure in rats. Lipids Health Dis. 2018, 17, 9. [Google Scholar] [CrossRef]
- Sharifi-Rad, J.; Kobarfard, F.; Ata, A.; Ayatollahi, S.A.; Khosravi-Dehaghi, N.; Jugran, A.K.; Tomas, M.; Capanoglu, E.; Matthews, K.R.; Popović-Djordjević, J.; et al. Prosopis plant chemical composition and pharmacological attributes: Targeting clinical studies from preclinical evidence. Biomolecules 2019, 9, 777. [Google Scholar] [CrossRef]
- Krishna, G.; Kishore, S.P. Integrated management of late leaf spot and rust diseases of groundnut (Arachis hypogaea L.) with Prosopis juliflora leaf extract and chlorothalonil. Int. J. Pest Manag. 2005, 51, 325–332. [Google Scholar] [CrossRef][Green Version]
- Maldonado-Celis, M.E.; Yahia, E.M.; Bedoya, R.; Landázuri, P.; Loango, N.; Aguillón, J.; Restrepo, B.; Guerrero, O.J.C. Chemical composition of Mango (Mangifera indica L.) fruit: Nutritional and phytochemical compounds. Front. Plant Sci. 2019, 10, 1073. [Google Scholar] [CrossRef]
- Parvez, G.M. Pharmacological activities of mango (Mangifera indica): A review. J. Pharmacogn. Phytochem. 2016, 5, 1. [Google Scholar]
- Ayyanar, M.; Subash-Babu, P. Syzygium cumini (L.) Skeels: A review of its phytochemical constituents and traditional uses. Asian Pac. J. Trop. Biomed. 2012, 2, 240–246. [Google Scholar] [CrossRef]
- Khajista, J.; Arshad, J. Antifungal activity of Syzygium cumini against Ascochyta rabiei–the cause of chickpea blight. Nat. Prod. Res. 2010, 24, 1158–1167. [Google Scholar] [CrossRef]
- Surjushe, A.; Vasani, R.; Saple, D.G. Aloe vera: A short review. Indian J. Dermatol. 2008, 53, 163–166. [Google Scholar] [CrossRef]
- Bajwa, R.; Shafique, S.; Shafique, S. Appraisal of antifungal activity of Aloe vera. Mycopath 2007, 5, 5–9. [Google Scholar]
- Klimek-Szczykutowicz, M.; Szopa, A.; Ekiert, H. Citrus limon (Lemon) phenomenon-a review of the chemistry, pharmacological properties, applications in the modern pharmaceutical, food, and cosmetics industries, and biotechnological studies. Plants 2020, 9, 119. [Google Scholar] [CrossRef]
- Alzohairy, M.A. Therapeutics role of Azadirachta indica (Neem) and their active constituents in diseases prevention and treatment. Evid. Based Complement. Altern. Med. 2016, 2016, 7382506. [Google Scholar] [CrossRef]
- Al-Hazmi, R.H.M. Effect of Neem (Azadirachta indica) leaves and seeds extract on the growth of six of the plant disease causing fungi. Glob. Adv. Res. J. Microbiol. 2013, 2, 089–098. [Google Scholar]
- Vergara-Jimenez, M.; Almatrafi, M.M.; Fernandez, M.L. Bioactive components in Moringa Oleifera leaves protect against chronic disease. Antioxidants 2017, 6, 91. [Google Scholar] [CrossRef]
- El-Mohamedy, R.S.; Abdalla, A.M. Evaluation of antifungal activity of Moringa oleifera extracts as natural fungicide against some plant pathogenic fungi in vitro. J. Agric. Technol. 2014, 10, 963–982. [Google Scholar]
- Dhingra, O.D.; Sinclair, J.B. Basic Plant Pathology Methods; CRC Press Inc.: Boca Raton, FL, USA, 1985; pp. 132–163. [Google Scholar]
- Steel, R.G.; Torrie, J.H.; Dickey, D.A. Principles and Procedures of Statistics: A Biometrical Approach, 3rd ed.; McGraw Hill Book International Co.: Singapore, 1997. [Google Scholar]






| Sr. No. | Diagnostic/Biochemical Test | Reaction | Expression |
|---|---|---|---|
| 1. | Hypersensitivity response | +ive | Necrotic spots |
| 2. | Gram staining | −ive | Pink color retained |
| 3. | KOH test | +ive | Bacterial slime showed thread |
| 4. | Catalase test | +ive | Bubbles detected |
| 5. | Starch hydrolysis | +ive | Zone formation |
| 6. | Lecithinase test | +ive | Diffused zone detected |
| 7. | Tween 80 hydrolysis | +ive | White precipitation |
| Variety | Disease Incidence% (Methods) | Disease Severity% (Methods) | ||||
|---|---|---|---|---|---|---|
| Scratch | Spray Gun | Water Splashes | Scratch | Spray Gun | Water Splashes | |
| Cyto-177 | 73.33 c | 53.33 b | 30.00 d | 40.26 bc | 43.21 c | 18.17 f |
| Cyto-178 | 73.33 c | 53.33 b | 30.00 d | 45.24 e | 31.91 de | 26.17 c |
| Cyto-179 | 73.33 c | 50.00 bc | 33.33 c | 32.26 b | 32.24 de | 31.27 b |
| Cim-616 | 50.00 d | 33.33 c | 50.00 b | 31.34 ef | 44.51 b | 21.11 e |
| Cim-496 | 83.33 b | 33.33 c | 16.66 e | 41.21 cd | 36.33 dc | 12.12 gh |
| Bt-886 | 50.00 d | 30.00 cd | 16.66 e | 44.41 ef | 27.21 f | 17.22 fg |
| Bt-986 | 70.00 cd | 50.00 bc | 16.66 e | 29.33 h | 21.91 g | 24.21 d |
| Bt-3701 | 70.00 cd | 53.33 b | 30.00 d | 47.21 c | 39.24 d | 25.24 cd |
| Bt-802 | 70.00 cd | 50.00 bc | 30.00 d | 43.64 fg | 45.24 bc | 19.23 f |
| SG-1 | 76.67 bc | 33.33 c | 33.33 c | 32.68 fg | 21.91 g | 11.11 gh |
| Control | 93.33 a | 80.66 a | 76.66 a | 40.17 a | 61.71 a | 67.23 a |
| Treatments | Scientific Name | Family | Common Name | Part Used | Form Used |
|---|---|---|---|---|---|
| T1 | Syzygiumaromaticum | Myrtaceae | Clove | Dried fruit | Fine particles |
| T2 | Curcuma longa | Zingiberaceae | Haldii | Dried fruit | Fine particles |
| T3 | Mentha Piperita | Labiatae | Podeena | Green leaves | Fine particles |
| T4 | Prosopis juliflora | Fabaceae | Keekaar | Green leaves | Fine particles |
| T5 | Mangifera indica | Anacardiaceae | Amm | Dried seed | Fine particles |
| T6 | Syzygium cumini | Myrtaceae | Jamun | Dried seed | Fine particles |
| T7 | Aloe vera | Xanthorrhoeaceae | Gavaargandal | Green leaves | Gel-like material |
| T8 | Citrus limon | Rutaceae | Lemon | Dried fruit | Fine particles |
| T9 | Azadirachta indica | Meliaceae | Nem | Green leaves | Fine particles |
| T10 | Moringa oleifera | Moringaceae | Sohangana | Green leaves | Fine particles |
| Biomolecule Source | Active Ingredient | Target Pathogen | Potential | Disease | Reference |
|---|---|---|---|---|---|
| Syzygium aromaticum | Sesquiterpenes, monoterpenes, hydrocarbon, phenolic compounds (e.g., Eugenyl acetate, eugenol, and β-caryophyllene | X. oryzae pv. oryzae; Alternaria alternata, Fusarium chlamydosporum, Helminthosporumoryzae and Rhizoctonia bataticola | Antiviral, antifungal, antibacterial, antioxidant | BLB of rice, Leaf spot, Blast, Black scurf disease | [66,67] |
| Curcuma longa | Curcumin, demethoxycurcumin, and bisdemethoxycurcumin | Pythium aphanidermatum, and R. solani | antifungal, antibacterial | Turmeric rhizome rot and leaf blight diseases | [68,69,70] |
| Mentha Piperita | Menthol, menthone, menthyl acetate, 1,8-cineole, limonene, beta-pinene and beta-caryophyllene | Botrytis cinerea, Monilinia fructicola, Penicillium expansum and Aspergillus niger | antifungal, antibacterial, antioxidant | Postharvest fungal disease of vegetables and fruits | [71,72,73] |
| Prosopis juliflora | C-glycosyl flavones (such as schaftoside, isoschaftoside, vicenin II, vitexin and isovitexin | Phaeoisariopsis personata, Puccinia arachidis | antifungal, antibacterial, antioxidant | Late leaf spot and rust of groundnut | [74,75] |
| Mangifera indica | lysine, leucine, cysteine, valine, arginine, phenylalanine, and methionine | Xanthomonas spp. Pesudomonas spp. | Anti-oxidant, anti-viral, immunomodulation, hypolipidemic, anti-microbial | BLB of rice, bacterial diseases | [76,77] |
| Syzygium cumini | anthocyanins, glucoside, ellagic acid, isoquercetin, kaemferol, jambosine and myrecetin | Ascochyta rabiei, Xanthomnas spp. | Antifungal, Antibacterial, | Blight disease of the chickpea | [78,79] |
| Aloe vera | sugars, lignin, saponins, salicylic acids and amino acids, Anthraquinones | A. alternata, A. citri and A. tenuissima | Antifungal, anti-oxidant | Leaf spots of fungi | [80,81] |
| Citrus limon | arachidonic acid, behenic acid and linoleic acid, and also tocopherols and carotenoids | Colletotrichum gloeosporioides | Antifungal, anti-oxidant | Anthracnose of mango fruit | [82] |
| Azadirachta indica | Azadirachtin, nimbolinin, nimbin, nimbidin, nimbidol, sodium nimbinate, gedunin, salannin, and quercetin | Pythium aphanidermatum, A.alternata, Bipolaris sorokiniana, F. oxysporium, | Antifungal, anti-oxidant | Leaf spot diseases, wilt diseases, | [83,84] |
| Moringa oleifera | myrecytin, quercetin and kaempferol | F. oxysporum, F. solani and A. solani, A. alternate | Antifungal, anti-oxidant | Wilt disease, leaf spot disease | [85,86] |
Publisher’s Note: MDPI stays neutral with regard to jurisdictional claims in published maps and institutional affiliations. |
© 2022 by the authors. Licensee MDPI, Basel, Switzerland. This article is an open access article distributed under the terms and conditions of the Creative Commons Attribution (CC BY) license (https://creativecommons.org/licenses/by/4.0/).
Share and Cite
Naqvi, S.A.H.; Iqbal, S.; Hafeez-ur-Rehman; Farooq, U.; Hassan, M.Z.; Shahid, M.N.; Noor Shah, A.; Abbas, A.; Mubeen, I.; Farooq, A.; et al. Evaluation of Bacterial Perpetuation Assays and Plant Biomolecules Antimicrobial Activity against Cotton Blight Bacterium Xanthomonas citri subsp. malvacearum; An Alternative Source for Food Production and Protection. Plants 2022, 11, 1278. https://doi.org/10.3390/plants11101278
Naqvi SAH, Iqbal S, Hafeez-ur-Rehman, Farooq U, Hassan MZ, Shahid MN, Noor Shah A, Abbas A, Mubeen I, Farooq A, et al. Evaluation of Bacterial Perpetuation Assays and Plant Biomolecules Antimicrobial Activity against Cotton Blight Bacterium Xanthomonas citri subsp. malvacearum; An Alternative Source for Food Production and Protection. Plants. 2022; 11(10):1278. https://doi.org/10.3390/plants11101278
Chicago/Turabian StyleNaqvi, Syed Atif Hasan, Shehzad Iqbal, Hafeez-ur-Rehman, Umar Farooq, Muhammad Zeeshan Hassan, Muhammad Nadeem Shahid, Adnan Noor Shah, Aqleem Abbas, Iqra Mubeen, Ammara Farooq, and et al. 2022. "Evaluation of Bacterial Perpetuation Assays and Plant Biomolecules Antimicrobial Activity against Cotton Blight Bacterium Xanthomonas citri subsp. malvacearum; An Alternative Source for Food Production and Protection" Plants 11, no. 10: 1278. https://doi.org/10.3390/plants11101278
APA StyleNaqvi, S. A. H., Iqbal, S., Hafeez-ur-Rehman, Farooq, U., Hassan, M. Z., Shahid, M. N., Noor Shah, A., Abbas, A., Mubeen, I., Farooq, A., Ghareeb, R. Y., Kalaji, H. M., Alrefaei, A. F., & Ahmed, M. A. A. (2022). Evaluation of Bacterial Perpetuation Assays and Plant Biomolecules Antimicrobial Activity against Cotton Blight Bacterium Xanthomonas citri subsp. malvacearum; An Alternative Source for Food Production and Protection. Plants, 11(10), 1278. https://doi.org/10.3390/plants11101278

