Pretreatment with H2O2 Alleviates the Negative Impacts of NaCl Stress on Seed Germination of Tartary Buckwheat (Fagopyrum tataricum)
Abstract
:1. Introduction
2. Results
2.1. The Effects of Different NaCl Concentrations on the Seed Germination
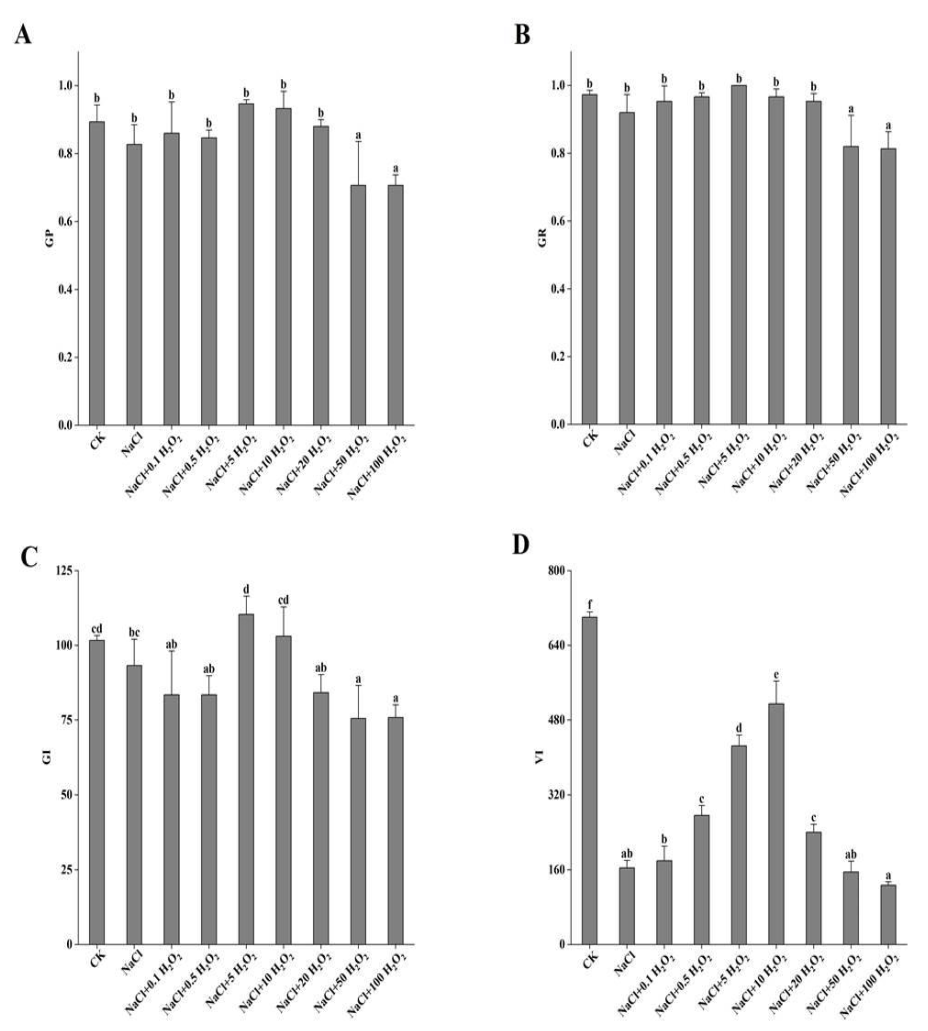
2.2. The Effects of H2O2 Pretreatment and NaCl Stress on the Seed Germination
2.3. The Effects of H2O2 Pretreatment and NaCl Stress on Shoot Length and Fresh Weight
2.4. The Effects of H2O2 Pretreatment and NaCl Stress on Root Growth
2.5. The Effects of H2O2 Pretreatment and NaCl Stress on Antioxidant Enzyme Activity
2.6. The Effects of H2O2 Pretreatment and NaCl Stress on MDA and Pro Contents
2.7. Hierarchical Clustering and Correlation Analysis
2.8. Screening Biological Indicators of the H2O2 Pretreatment and NaCl Stress
2.8.1. Principal Component Analysis
2.8.2. Stepwise Regression Analysis
3. Discussion
3.1. Salt Stress Adversely Affects Seed Germination of F. Tataricum
3.2. H2O2 Pretreatment Alleviates the Negative Effects of NaCl Stress on Seed Germination in F. Tataricum
3.3. Analyses Reveal Six Key Indices to Evaluate the Salt Tolerance of F. Tataricum
4. Material and Methods
4.1. Plant Material
4.2. Preliminary Seed Sensitivity Experiments Using NaCl
4.3. Seed Soaking Treatments
4.4. Calculation of Germination Parameters, Seedling Traits, and Physiological Indices
4.4.1. Seed Germination Parameters
4.4.2. Seedling Traits
4.4.3. Physiological Indices
4.5. Statistical Analysis
5. Conclusions
Author Contributions
Funding
Institutional Review Board Statement
Informed Consent Statement
Data Availability Statement
Acknowledgments
Conflicts of Interest
References
- Karle, S.B.; Guru, A.; Dwivedi, P.; Kumar, K. Insights into the Role of Gasotransmitters Mediating Salt Stress Responses in Plants. J. Plant Growth Regul. 2021, 1–17. [Google Scholar] [CrossRef]
- Liu, L.; Wang, B. Protection of Halophytes and Their Uses for Cultivation of Saline-Alkali Soil in China. Biology 2021, 10, 353. [Google Scholar] [CrossRef] [PubMed]
- Pour-Aboughadareh, A.; Mehrvar, M.R.; Sanjani, S.; Amini, A.; Nikkhah-Chamanabad, H.; Asadi, A. Effects of salinity stress on seedling biomass, physiochemical properties, and grain yield in different breeding wheat genotypes. Acta Physiol. Plant. 2021, 43, 98. [Google Scholar] [CrossRef]
- Tao, R.; Ding, J.; Li, C.; Zhu, X.; Guo, W.; Zhu, M. Evaluating and Screening of Agro-Physiological Indices for Salinity Stress Tolerance in Wheat at the Seedling Stage. Front. Plant Sci. 2021, 12, 646175. [Google Scholar] [CrossRef] [PubMed]
- Singh, S.; Prakash, P.; Singh, A.K. Salicylic Acid and Hydrogen Peroxide Improve Antioxidant Response and Compatible Osmolytes in Wheat (Triticum aestivum L.) Under Water Deficit. Agric. Res. 2020, 10, 175–186. [Google Scholar] [CrossRef]
- Bhardwaj, R.D.; Singh, N.; Sharma, A.; Joshi, R.; Srivastava, P. Hydrogen peroxide regulates antioxidant responses and redox related proteins in drought stressed wheat seedlings. Physiol. Mol. Biol. Plants 2021, 27, 151–163. [Google Scholar] [CrossRef]
- Wang, X.; Liu, H.; Yu, F.; Hu, B.; Jia, Y.; Sha, H.; Zhao, H. Differential activity of the antioxidant defence system and alterations in the accumulation of osmolyte and reactive oxygen species under drought stress and recovery in rice (Oryza sativa L.) tillering. Sci. Rep. 2019, 9, 8543. [Google Scholar] [CrossRef]
- Liu, L.; Huang, L.; Lin, X.; Sun, C. Hydrogen peroxide alleviates salinity-induced damage through enhancing proline accumulation in wheat seedlings. Plant Cell Rep. 2020, 39, 567–575. [Google Scholar] [CrossRef]
- Zhang, X.; Zhang, L.; Sun, Y.; Zheng, S.; Wang, J.; Zhang, T. Hydrogen peroxide is involved in strigolactone induced low temperature stress tolerance in rape seedlings (Brassica rapa L.). Plant Physiol. Biochem. 2020, 157, 402–415. [Google Scholar] [CrossRef]
- Li, C.; Xie, Z.; Wang, Y.; Lu, W.; Yin, G.; Sun, D.; Ren, C.; Wang, L. Correlation and genetic analysis of seed shell thickness and yield factors in Tartary buckwheat (Fagopyrum tataricum (L.) Gaertn.). Breed. Sci. 2019, 69, 464–470. [Google Scholar] [CrossRef] [Green Version]
- Li, Y.L.; He, Y.J.; Li, H.M.; Hu, J.J.; Cheng, Z. Diversity of Endophytes in Fagopyrum esculentum Moench. Seeds from Different Locations in China. Russ. J. Plant Physiol. 2021, 68, 413–420. [Google Scholar] [CrossRef]
- Zheng, C.; Hu, C.; Ma, X.; Peng, C.; Zhang, H.; Qin, L. Cytotoxic phenylpropanoid glycosides from Fagopyrum tataricum (L.) Gaertn. Food Chem. 2011, 132, 433–438. [Google Scholar] [CrossRef]
- Ma, W.; Kim, J.K.; Jia, C.; Yin, F.; Kim, H.J.; Akram, W.; Hu, X.; Li, X. Comparative Transcriptome and Metabolic Profiling Analysis of Buckwheat (Fagopyrum tataricum (L.) Gaertn.) under Salinity Stress. Metabolites 2019, 9, 225. [Google Scholar] [CrossRef] [PubMed] [Green Version]
- Ou, J.; Wang, J.; Zhao, G.; Zou, L.; Lei, Y. Buckwheat derived nitrogen-rich porous carbon material with a high-performance Na-storage. J. Porous Mater. 2020, 27, 1139–1147. [Google Scholar] [CrossRef]
- Luthar, Z.; Golob, A.; Germ, M.; Vombergar, B.; Kreft, I. Tartary Buckwheat in Human Nutrition. Plants 2021, 10, 700. [Google Scholar] [CrossRef] [PubMed]
- Bian, Z.-X.; Wang, J.-F.; Ma, H.; Wang, S.-M.; Luo, L.; Wang, S.-M. Effect of microwave radiation on antioxidant capacities of Tartary buckwheat sprouts. J. Food Sci. Technol. 2020, 57, 3913–3919. [Google Scholar] [CrossRef]
- Aubert, L.; Konrádová, D.; Barris, S.; Quinet, M. Different drought resistance mechanisms between two buckwheat species Fagopyrum esculentum and Fagopyrum tataricum. Physiol. Plant. 2020, 172, 577–586. [Google Scholar] [CrossRef] [PubMed]
- Cuevas, J.; Daliakopoulos, I.N.; Del Moral, F.; Hueso, J.J.; Tsanis, I.K. A Review of Soil-Improving Cropping Systems for Soil Salinization. Agronomy 2019, 9, 295. [Google Scholar] [CrossRef] [Green Version]
- Yang, Z.; Li, J.-L.; Liu, L.; Xie, Q.; Sui, N. Photosynthetic Regulation Under Salt Stress and Salt-Tolerance Mechanism of Sweet Sorghum. Front. Plant Sci. 2020, 10, 1722. [Google Scholar] [CrossRef]
- Hossain, S.; Li, J.; Sikdar, A.; Hasanuzzaman, M.; Uzizerimana, F.; Muhammad, I.; Yuan, Y.; Zhang, C.; Wang, C.; Feng, B. Exogenous Melatonin Modulates the Physiological and Biochemical Mechanisms of Drought Tolerance in Tartary Buckwheat (Fagopyrum tataricum (L.) Gaertn). Molecules 2020, 25, 2828. [Google Scholar] [CrossRef]
- Bagheri, M.; Gholami, M.; Baninasab, B. Role of hydrogen peroxide pre-treatment on the acclimation of pistachio seedlings to salt stress. Acta Physiol. Plant. 2021, 43, 51. [Google Scholar] [CrossRef]
- Sehar, Z.; Jahan, B.; Masood, A.; Anjum, N.A.; Khan, N.A. Hydrogen peroxide potentiates defense system in presence of sulfur to protect chloroplast damage and photosynthesis of wheat under drought stress. Physiol. Plant. 2020, 172, 922–934. [Google Scholar] [CrossRef] [PubMed]
- Agami, R.; Mohamed, G.F. Exogenous treatment with indole-3-acetic acid and salicylic acid alleviates cadmium toxicity in wheat seedlings. Ecotoxicol. Environ. Saf. 2013, 94, 164–171. [Google Scholar] [CrossRef] [PubMed]
- Lu, Y.; Wang, Q.-F.; Li, J.; Xiong, J.; Zhou, L.-N.; He, S.-L.; Zhang, J.-Q.; Chen, Z.-A.; He, S.-G.; Liu, H. Effects of exogenous sulfur on alleviating cadmium stress in tartary buckwheat. Sci. Rep. 2019, 9, 7397. [Google Scholar] [CrossRef] [PubMed] [Green Version]






| Treatment | Germination Potential (%) | Germination Rate (%) | Germination Index | Vigor Index | Shoot Length (cm) |
|---|---|---|---|---|---|
| 0 mmol L−1 NaCl | 88.0 ± 0.040 c | 97.3 ± 0.031 b | 99.569 ± 10.106 c | 715.097 ± 41.106 d | 7.211 ± 0.496 d |
| 50 mmol L−1 NaCl | 82.7 ± 0.058 bc | 92.0 ± 0.053 ab | 93.260 ± 8.811 c | 164.676 ± 23.760 c | 1.760 ± 0.092 c |
| 100 mmol L−1 NaCl | 76.7 ± 0.023 bc | 91.3 ± 0.012 ab | 66.274 ± 1.392 b | 84.301 ± 4.980 b | 1.272 ± 0.076 b |
| 150 mmol L−1 NaCl | 68.7 ± 0.050 b | 86.7 ± 0.046 a | 56.496 ± 3.695 b | 58.112 ± 4.974 ab | 1.031 ± 0.095 ab |
| 200 mmol L−1 NaCl | 47.3 ± 0.147 a | 85.3 ± 0.042 a | 43.362 ± 6.115 a | 34.121 ± 2.830 a | 0.792 ± 0.060 a |
| Treatment | Root Length (cm) | Root Surface Area (cm2) | Root Average Diameter (mm) | Root Volume (cm3) | Root Fresh Weight (g) |
|---|---|---|---|---|---|
| CK | 15.842 ± 1.509 d | 1.695 ± 0.196 ef | 0.340 ± 0.010 a | 0.014 ± 0.002 bc | 0.009 ± 0.002 a |
| NaCl | 10.095 ± 1.126 ab | 1.035 ± 0.175 d | 0.326 ± 0.039 a | 0.009 ± 0.003 ab | 0.014 ± 0.001 bc |
| NaCl + 0.1 mmol L−1 H2O2 | 11.455 ± 3.494 abc | 1.412 ± 0.436 e | 0.392 ± 0.010 ab | 0.014 ± 0.004 bc | 0.017 ± 0.001 cd |
| NaCl + 0.5 mmol L−1 H2O2 | 16.473 ± 3.627 d | 2.005 ± 0.350 f | 0.390 ± 0.024 ab | 0.019 ± 0.003 cd | 0.019 ± 0.001 d |
| NaCl + 5 mmol L−1 H2O2 | 15.129 ± 1.431 cd | 0.676 ± 0.037 bcd | 2.122 ± 0.117 e | 0.024 ± 0.005 de | 0.015 ± 0.006 bc |
| NaCl + 10 mmol L−1 H2O2 | 14.634 ± 2.813 cd | 0.752 ± 0.165 cd | 2.362 ± 0.518 e | 0.031 ± 0.009 e | 0.018 ± 0.003 cd |
| NaCl + 20 mmol L−1 H2O2 | 14.127 ± 2.094b cd | 0.490 ± 0.0240 abc | 1.538 ± 0.075 d | 0.014 ± 0.002 bc | 0.019 ± 0.002 cd |
| NaCl + 50 mmol L−1 H2O2 | 11.005 ± 0.712 abc | 0.324 ± 0.029 ab | 1.017 ± 0.092 c | 0.007 ± 0 ab | 0.011 ± 0.001 ab |
| NaCl + 100 mmol L−1 H2O2 | 7.360 ± 1.020 a | 0.220 ± 0.027 a | 0.691 ± 0.085 b | 0.005 ± 0.002 a | 0.011 ± 0.002 ab |
| Items | PC1 | PC2 | PC3 | |
|---|---|---|---|---|
| Eigenvalue | 8.625 | 3.795 | 1.726 | |
| Contribution rate (%) | 53.905 | 23.716 | 10.790 | |
| Cumulative contribution ratio (%) | 53.905 | 77.621 | 88.411 | |
| Eigenvector | GP | 0.923 | 0.081 | 0.197 |
| CAT | 0.908 | −0.032 | 0.084 | |
| RL | 0.887 | −0.042 | 0.211 | |
| SFW | 0.884 | −0.403 | −0.117 | |
| GR | 0.878 | −0.019 | 0.401 | |
| RV | 0.873 | 0.375 | 0.048 | |
| VI | 0.855 | −0.421 | −0.273 | |
| SL | 0.836 | −0.455 | −0.236 | |
| GI | 0.819 | −0.087 | −0.164 | |
| MDA | −0.805 | −0.272 | 0.129 | |
| POD | −0.722 | −0.046 | 0.411 | |
| Pro | 0.047 | 0.962 | 0.074 | |
| SOD | 0.162 | 0.942 | −0.021 | |
| RAD | 0.524 | 0.688 | −0.492 | |
| RFW RSA | 0.352 0.388 | 0.678 −0.518 | 0.604 0.710 |
Publisher’s Note: MDPI stays neutral with regard to jurisdictional claims in published maps and institutional affiliations. |
© 2021 by the authors. Licensee MDPI, Basel, Switzerland. This article is an open access article distributed under the terms and conditions of the Creative Commons Attribution (CC BY) license (https://creativecommons.org/licenses/by/4.0/).
Share and Cite
Yao, X.; Zhou, M.; Ruan, J.; Peng, Y.; Yang, H.; Tang, Y.; Gao, A.; Cheng, J. Pretreatment with H2O2 Alleviates the Negative Impacts of NaCl Stress on Seed Germination of Tartary Buckwheat (Fagopyrum tataricum). Plants 2021, 10, 1784. https://doi.org/10.3390/plants10091784
Yao X, Zhou M, Ruan J, Peng Y, Yang H, Tang Y, Gao A, Cheng J. Pretreatment with H2O2 Alleviates the Negative Impacts of NaCl Stress on Seed Germination of Tartary Buckwheat (Fagopyrum tataricum). Plants. 2021; 10(9):1784. https://doi.org/10.3390/plants10091784
Chicago/Turabian StyleYao, Xin, Meiliang Zhou, Jingjun Ruan, Yan Peng, Hao Yang, Yong Tang, Anjing Gao, and Jianping Cheng. 2021. "Pretreatment with H2O2 Alleviates the Negative Impacts of NaCl Stress on Seed Germination of Tartary Buckwheat (Fagopyrum tataricum)" Plants 10, no. 9: 1784. https://doi.org/10.3390/plants10091784
APA StyleYao, X., Zhou, M., Ruan, J., Peng, Y., Yang, H., Tang, Y., Gao, A., & Cheng, J. (2021). Pretreatment with H2O2 Alleviates the Negative Impacts of NaCl Stress on Seed Germination of Tartary Buckwheat (Fagopyrum tataricum). Plants, 10(9), 1784. https://doi.org/10.3390/plants10091784
