Rootstock-Dependent Response of Hass Avocado to Salt Stress
Abstract
1. Introduction
2. Materials and Methods
2.1. Experimental Site and Plant Material
2.2. Mineral Analysis, Osmolality, and Trichoms
2.3. Salt Damage Visual Survey
2.4. Vegetation Indices and Photosynthetic Parameters
2.5. Remotely Sensed Vegetation Indices
2.6. Productivity
2.7. Stem Water Potential (SWP)
2.8. Susceptibility Rating
2.9. Statistical Analysis
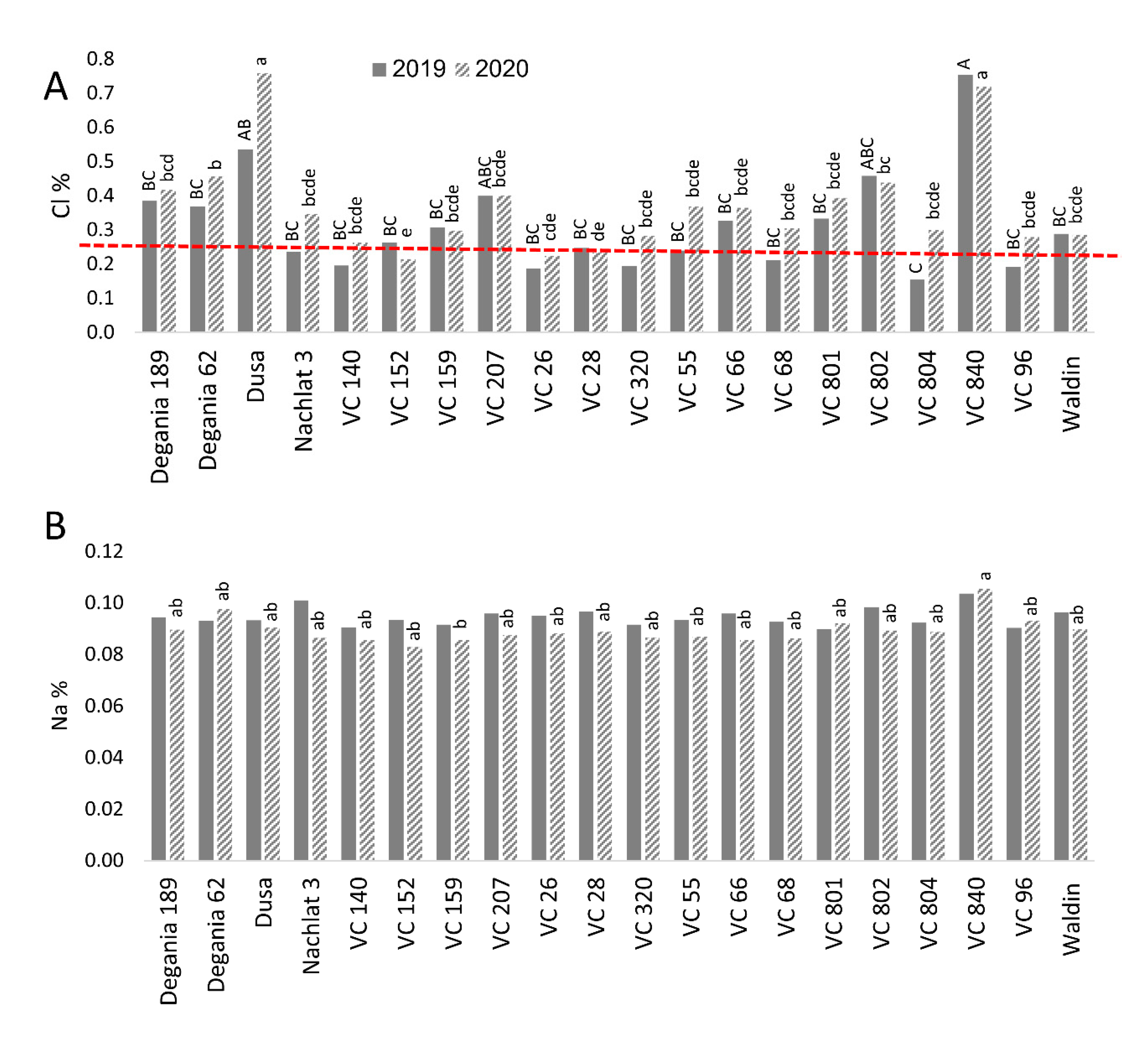
3. Results
4. Discussion and Conclusions
Supplementary Materials
Author Contributions
Funding
Acknowledgments
Conflicts of Interest
References
- Whiting, M. Precision orchard systems. In Automation in Tree Fruit Production: Principles and Practice; CABI: Wallingford, UK, 2018; pp. 75–93. [Google Scholar]
- Rincon-Patino, J.; Lasso, E.; Corrales, J.C. Estimating avocado sales using machine learning algorithms and weather data. Sustainability 2018, 10, 3498. [Google Scholar] [CrossRef]
- Chartzoulakis, K.; Patakas, A.; Kofidis, G.; Bosabalidis, A.; Nastou, A. Water stress affects leaf anatomy, gas exchange, water relations and growth of two avocado cultivars. Sci. Hortic. 2002, 95, 39–50. [Google Scholar] [CrossRef]
- Carr, M. The water relations and irrigation requirements of avocado (Persea americana Mill.): A review. Exp. Agric. 2013, 49, 256–278. [Google Scholar] [CrossRef]
- Vishwakarma, K.; Upadhyay, N.; Kumar, N.; Yadav, G.; Singh, J.; Mishra, R.K.; Kumar, V.; Verma, R.; Upadhyay, R.G.; Pandey, M.; et al. Abscisic acid signaling and abiotic stress tolerance in plants: A review on current knowledge and future prospects. Front. Plant Sci. 2017, 8, 161. [Google Scholar] [CrossRef]
- Nemera, D.B.; Bar-Tal, A.; Levy, G.J.; Lukyanov, V.; Tarchitzky, J.; Paudel, I.; Cohen, S. Mitigating negative effects of long-term treated wastewater application via soil and irrigation manipulations: Sap flow and water relations of avocado trees (Persea americana Mill.). Agric. Water Manag. 2020, 237, 106178. [Google Scholar] [CrossRef]
- Vargas-Canales, J.M.; Carbajal-Flores, G.; Bustamante-Lara, T.I.; Camacho-Vera, J.H.; Fresnedo-Ramírez, J.; Palacios-Rangel, M.I.; Rodríguez-Haros, B. Impact of the Market on the Specialization and Competitiveness of Avocado Production in Mexico. Int. J. Fruit Sci. 2020, 20, S1942–S1958. [Google Scholar] [CrossRef]
- Smith, L.; Dann, E.; Pegg, K.; Whiley, A.; Giblin, F.; Doogan, V.; Kopittke, R. Field assessment of avocado rootstock selections for resistance to Phytophthora root rot. Australas. Plant Pathol. 2011, 40, 39–47. [Google Scholar] [CrossRef]
- Auger, J.; Palma, F.; Pérez, I.; Esterio, M. First report of Neofusicoccum australe (Botryosphaeria australis), as a branch dieback pathogen of avocado trees in Chile. Plant Dis. 2013, 97, 842. [Google Scholar] [CrossRef]
- Haberman, A.; Lazare, S.; Hazanovsky, M.; Lebiush, S.; Zipori, I.; Busatn, A.; Simenski, E.; Dag, A. Management of Verticillium Wilt of Avocado Using Tolerant Rootstocks. Plants 2020, 9, 531. [Google Scholar] [CrossRef] [PubMed]
- Martínez-Ferri, E.; Moreno-Ortega, G.; van den Berg, N.; Pliego, C. Mild water stress-induced priming enhance tolerance to Rosellinia necatrix in susceptible avocado rootstocks. BMC Plant Biol. 2019, 19, 458. [Google Scholar] [CrossRef]
- Ben-Ya’acov, A.; Michelson, E.; Zilberstaine, M.; Barkan, Z.; Sela, I. Selection of clonal avocado rootstocks in Israel for high productivity under different soil conditions. In Proceedings of the 2nd World Avocado Congress, Orange, CA, USA, 21–26 April 1991. [Google Scholar]
- Castro, V.; Iturrieta, E.; Fassio, O. Rootstock effect on the tolerance of avocado plants cv. Hass to NaCl stress. Chil. J. Agric. Res. 2009, 69, 316–324. [Google Scholar] [CrossRef][Green Version]
- Läuchli, A.; Grattan, S. Plant growth and development under salinity stress. In Advances in Molecular Breeding toward Drought and Salt Tolerant Crops; Springer: Dordrecht, The Netherlands, 2007; pp. 1–32. [Google Scholar]
- Bernstein, N.; Meiri, A.; Zilberstaine, M. Root growth of avocado is more sensitive to salinity than shoot growth. J. Am. Soc. Hortic. Sci. 2004, 129, 188–192. [Google Scholar] [CrossRef]
- Ben-Ya’acov, A.; Michelson, E. Avocado rootstocks. Hortic. Rev. 1995, 17, 381–429. [Google Scholar]
- Lazare, S.; Haberman, A.; Yermiyahu, U.; Erel, R.; Simenski, E.; Dag, A. Avocado rootstock influences scion leaf mineral content. Arch. Agron. Soil Sci. 2020, 66, 1399–1409. [Google Scholar] [CrossRef]
- Mickelbart, M.V.; Arpaia, M.L. Rootstock Influences Changes in Ion Concentrations, Growth, and Photosynthesis of ‘Hass’ Avocado Trees in Response to Salinity. J. Am. Soc. Hortic. Sci. 2002, 127, 649–655. [Google Scholar] [CrossRef]
- Musyimi, D.; Netondo, G.; Ouma, G. Effects of salinity on growth and photosynthesis of avocado seedlings. Int. J. Bot. 2007, 3, 78–84. [Google Scholar] [CrossRef]
- Alvarez-Acosta, C.; Marrero-Dominguez, A.; Gallo-Llobet, L.; Gonzalez-Rodriguez, A.M. Physiological response of selected avocados (Persea americana) subjected to NaCl and NaHCO3 stress. Sci. Hortic. 2018, 237, 81–88. [Google Scholar] [CrossRef]
- Mickelbart, M.V.; Melser, S.; Lu Arpaia, M. Salinity-induced changes in ion concentrations of ‘Hass’ avocado trees on three rootstocks. J. Plant Nutr. 2007, 30, 105–122. [Google Scholar] [CrossRef]
- Liang, W.; Ma, X.; Wan, P.; Liu, L. Plant salt-tolerance mechanism: A review. Biochem. Biophys. Res. Commun. 2018, 495, 286–291. [Google Scholar] [CrossRef]
- Arif, Y.; Singh, P.; Siddiqui, H.; Bajguz, A.; Hayat, S. Salinity induced physiological and biochemical changes in plants: An omic approach towards salt stress tolerance. Plant Physiol. Biochem. 2020, 156, 64–77. [Google Scholar] [CrossRef]
- Corell, M.; Martín-Palomo, M.; Girón, I.; Andreu, L.; Galindo, A.; Centeno, A.; Pérez-López, D.; Moriana, A. Stem water potential-based regulated deficit irrigation scheduling for olive table trees. Agric. Water Manag. 2020, 242, 106418. [Google Scholar] [CrossRef]
- Aston, M.; Lawlor, D.W. The relationship between transpiration, root water uptake, and leaf water potential. J. Exp. Bot. 1979, 30, 169–181. [Google Scholar] [CrossRef]
- Álvarez, S.; Sánchez-Blanco, M. Long-term effect of salinity on plant quality, water relations, photosynthetic parameters and ion distribution in Callistemon citrinus. Plant Biol. 2014, 16, 757–764. [Google Scholar] [CrossRef]
- Shalhevet, J.; Maas, E.; Hoffman, G.; Ogata, G. Salinity and the hydraulic conductance of roots. Physiol. Plant. 1976, 38, 224–232. [Google Scholar] [CrossRef]
- Munns, R.; Passioura, J.B.; Colmer, T.D.; Byrt, C.S. Osmotic adjustment and energy limitations to plant growth in saline soil. New Phytol. 2020, 225, 1091–1096. [Google Scholar] [CrossRef] [PubMed]
- Blum, A. Osmotic adjustment is a prime drought stress adaptive engine in support of plant production. Plant Cell Environ. 2017, 40, 4–10. [Google Scholar] [CrossRef] [PubMed]
- Caparrotta, S.; Boni, S.; Taiti, C.; Palm, E.; Mancuso, S.; Pandolfi, C. Induction of priming by salt stress in neighboring plants. Environ. Exp. Bot. 2018, 147, 261–270. [Google Scholar] [CrossRef]
- Çiçek, N.; Çakirlar, H. The effect of salinity on some physiological parameters in two maize cultivars. Bulg. J. Plant Physiol. 2002, 28, 66–74. [Google Scholar]
- Zhou, S.; Duursma, R.A.; Medlyn, B.E.; Kelly, J.W.; Prentice, I.C. How should we model plant responses to drought? An analysis of stomatal and non-stomatal responses to water stress. Agric. For. Meteorol. 2013, 182, 204–214. [Google Scholar] [CrossRef]
- Slabu, C.; Zörb, C.; Steffens, D.; Schubert, S. Is salt stress of faba bean (Vicia faba) caused by Na+ or Cl–toxicity? J. Plant Nutr. Soil Sci. 2009, 172, 644–651. [Google Scholar] [CrossRef]
- Shelke, D.; Nikalje, G.; Nikam, T.; Maheshwari, P.; Punita, D.; Rao, K.; Kavi Kishor, P.; Suprasanna, P. Chloride (Cl−) Uptake, Transport, and Regulation in Plant Salt Tolerance. In Molecular Plant Abiotic Stress: Biology and Biotechnology; Wiley: Hoboken, NJ, USA, 2019; pp. 241–268. [Google Scholar]
- Patterson, J.H.; Newbigin, E.; Tester, M.; Bacic, A.; Roessner, U. Metabolic responses to salt stress of barley (Hordeum vulgare L.) cultivars, Sahara and Clipper, which differ in salinity tolerance. J. Exp. Bot. 2009, 60, 4089–4103. [Google Scholar]
- Fipps, G. Irrigation water quality standards and salinity management strategies. In Texas Farmer Collection; Texas AgriLife Extension publication, Texas A&M Univ.: College Station, TX, USA, 2003. [Google Scholar]
- Crowley, D. Salinity management in avocado orchards. Calif. Avocado Soc. Yearb. 2008, 91, 83–104. [Google Scholar]
- Shackel, K.A. Plant water status as an index of irrigation needs in deciduous fruit trees. HortScience 1995, 30, 905B–905. [Google Scholar] [CrossRef]
- Dag, A.; Ben-Gal, A.; Goldberger, S.; Yermiyahu, U.; Zipori, I.; Or, E.; David, I.; Netzer, Y.; Kerem, Z. Sodium and chloride distribution in grapevines as a function of rootstock and irrigation water salinity. Am. J. Enol. Vitic. 2015, 66, 80–84. [Google Scholar] [CrossRef]
- Karimi, H.; Hassanpour, N. Effects of salinity, rootstock, and position of sampling on macro nutrient concentration of pomegranate cv. Gabri. J. Plant Nutr. 2017, 40, 2269–2278. [Google Scholar] [CrossRef]
- Moya, J.L.; Gómez-Cadenas, A.; Primo-Millo, E.; Talon, M. Chloride absorption in salt-sensitive Carrizo citrange and salt-tolerant Cleopatra mandarin citrus rootstocks is linked to water use. J. Exp. Bot. 2003, 54, 825–833. [Google Scholar] [CrossRef]
- Simón-Grao, S.; Nieves, M.; Martínez-Nicolás, J.J.; Cámara-Zapata, J.M.; Alfosea-Simón, M.; García-Sánchez, F. Response of three citrus genotypes used as rootstocks grown under boron excess conditions. Ecotoxicol. Environ. Saf. 2018, 159, 10–19. [Google Scholar] [CrossRef] [PubMed]
- Dbara, S.; Melaouhi, A.; Mars, M.; Ben Mimoun, M. Potassium uptake efficiency of two pear cultivars and leaf concentration at deficiency symptoms appears. J. Plant Nutr. 2019, 42, 1660–1667. [Google Scholar] [CrossRef]
- Paudel, I.; Bar-Tal, A.; Raveh, E.; Bernstein, N.; Cohen, S. Tolerance of citrus rootstocks to poor water quality is improved by root zone aeration via selective uptake of ions, higher photosynthesis and carbon storage. Sci. Hortic. 2019, 251, 9–19. [Google Scholar] [CrossRef]
- Kadman, A.; Ben-Ya’acov, A. Selection of avocado rootstocks for saline conditions. Acta Hort. 1976, 57, 189. [Google Scholar] [CrossRef]
- Embleton, T.; Matsumura, M.; Storey, W.; Garber, M. Chlorine and other elements in avocado leaves as influenced by rootstock. Proc. Am. Soc. Hortic. Sci. 1962, 80, 231–236. [Google Scholar]
- Oster, J.D.; Stottlmyer, D.; Arpaia, M. Salinity and water effects on ‘Hass’ avocado yields. J. Am. Soc. Hortic. Sci. 2007, 132, 253–261. [Google Scholar] [CrossRef]
- Celis, N.; Suarez, D.L.; Wu, L.; Li, R.; Arpaia, M.L.; Mauk, P. Salt Tolerance and Growth of 13 Avocado Rootstocks Related Best to Chloride Uptake. HortScience 2018, 53, 1737–1745. [Google Scholar] [CrossRef]
- Ben-Ya’acov, A. Avocado rootstocks in use in Israel. Calif. Avocado Soc. Yearb. 1976, 59, 66–68. [Google Scholar]
- Bernstein, N.; Ioffe, M.; Zilberstaine, M. Salt-stress effects on avocado rootstock growth. I. Establishing criteria for determination of shoot growth sensitivity to the stress. Plant Soil 2001, 233, 1–11. [Google Scholar] [CrossRef]
- Hussain, S.; Luro, F.; Costantino, G.; Ollitrault, P.; Morillon, R. Physiological analysis of salt stress behaviour of citrus species and genera: Low chloride accumulation as an indicator of salt tolerance. S. Afr. J. Bot. 2012, 81, 103–112. [Google Scholar] [CrossRef]
- Abbruzzese, G.; Beritognolo, I.; Muleo, R.; Piazzai, M.; Sabatti, M.; Mugnozza, G.S.; Kuzminsky, E. Leaf morphological plasticity and stomatal conductance in three Populus alba L. genotypes subjected to salt stress. Environ. Exp. Bot. 2009, 66, 381–388. [Google Scholar] [CrossRef]
- Tarakcioglu, C.; Inal, A. Changes induced by salinity, demarcating specific ion ratio (Na/Cl) and osmolality in ion and proline accumulation, nitrate reductase activity, and growth performance of lettuce. J. Plant Nutr. 2002, 25, 27–41. [Google Scholar] [CrossRef]
- Meggio, F.; Prinsi, B.; Negri, A.; Simone Di Lorenzo, G.; Lucchini, G.; Pitacco, A.; Failla, O.; Scienza, A.; Cocucci, M.; Espen, L. Biochemical and physiological responses of two grapevine rootstock genotypes to drought and salt treatments. Aust. J. Grape Wine Res. 2014, 20, 310–323. [Google Scholar] [CrossRef]
- Zrig, A.; Mohamed, H.; Tounekti, T.; Ennajeh, M.; Valero, D.; Khemira, H. A comparative study of salt tolerance of three almond rootstocks: Contribution of organic and inorganic solutes to osmotic adjustment. J. Agric. Sci. Technol. 2015, 17, 675–689. [Google Scholar]
- Safdar, H.; Amin, A.; Shafiq, Y.; Ali, A.; Yasin, R.; Shoukat, A.; Hussan, M.U.; Sarwar, M.I. A review: Impact of salinity on plant growth. Nat. Sci. 2019, 17, 34–40. [Google Scholar]
- Mbarki, S.; Sytar, O.; Cerda, A.; Zivcak, M.; Rastogi, A.; He, X.; Zoghlami, A.; Abdelly, C.; Brestic, M. Strategies to mitigate the salt stress effects on photosynthetic apparatus and productivity of crop plants. In Salinity Responses and Tolerance in Plants; Springer: Cham, Switzerland, 2018; pp. 85–136. [Google Scholar]
- Parihar, P.; Singh, S.; Singh, R.; Singh, V.P.; Prasad, S.M. Effect of salinity stress on plants and its tolerance strategies: A review. Environ. Sci. Pollut. Res. 2015, 22, 4056–4075. [Google Scholar] [CrossRef]
- Tavakkoli, E.; Rengasamy, P.; McDonald, G.K. High concentrations of Na+ and Cl– ions in soil solution have simultaneous detrimental effects on growth of faba bean under salinity stress. J. Exp. Bot. 2010, 61, 4449–4459. [Google Scholar] [CrossRef]
- James, R.A.; Rivelli, A.R.; Munns, R.; von Caemmerer, S. Factors affecting CO2 assimilation, leaf injury and growth in salt-stressed durum wheat. Funct. Plant Biol. 2002, 29, 1393–1403. [Google Scholar] [CrossRef]
- Acosta-Rangel, A.M.; Li, R.; Celis, N.; Suarez, D.L.; Santiago, L.S.; Arpaia, M.L.; Mauk, P.A. The physiological response of ‘Hass’ avocado to salinity as influenced by rootstock. Sci. Hortic. 2019, 256, 108629. [Google Scholar] [CrossRef]
- Turhan, H.; Genc, L.; Smith, S.; Bostanci, Y.; Turkmen, O. Assessment of the effect of salinity on the early growth stage of the common sunflower (Sanay cultivar) using spectral discrimination techniques. Afr. J. Biotechnol. 2008, 7, 750–756. [Google Scholar]
- Devitt, D.; Morris, R.; Fenstermaker, L. Foliar damage, spectral reflectance, and tissue ion concentrations of trees sprinkle irrigated with waters of similar salinity but different chemical composition. HortScience 2005, 40, 819–826. [Google Scholar] [CrossRef]
- Tu, Y.-H.; Johansen, K.; Phinn, S.; Robson, A. Measuring canopy structure and condition using multi-spectral UAS imagery in a horticultural environment. Remote Sens. 2019, 11, 269. [Google Scholar] [CrossRef]
- Raeva, P.L.; Šedina, J.; Dlesk, A. Monitoring of crop fields using multispectral and thermal imagery from UAV. Eur. J. Remote Sens. 2019, 52 (Suppl. 1), 192–201. [Google Scholar] [CrossRef]
- Zhou, Y.; Tang, N.; Huang, L.; Zhao, Y.; Tang, X.; Wang, K. Effects of Salt Stress on Plant Growth, Antioxidant Capacity, Glandular Trichome Density, and Volatile Exudates of Schizonepeta tenuifolia Briq. Int. J. Mol. Sci. 2018, 19, 252. [Google Scholar] [CrossRef]
- Çelik, Ö.; Atak, Ç.; Suludere, Z. Comparative transcriptional profiling of soybean orthologs of Arabidopsis trichome developmental genes under salt stress. Plant Mol. Biol. Report. 2018, 36, 82–93. [Google Scholar] [CrossRef]
- Dolatabadian, A.; Sanavy Samm Ghanati, F. Effect of salinity on growth, xylem structure and anatomical characteristics of soybean. Not. Sci. Biol. 2011, 3, 41–45. [Google Scholar] [CrossRef]









| Rootstock | Origin | Propagation Method |
|---|---|---|
| Degania 189 | WI | Seedling |
| Degania 62 | WI | Seedling |
| Dusa | Mex × Gu | VC |
| Nachlat 3 | WI | Seedling |
| VC 140 | WI | VC |
| VC 152 | WI | VC |
| VC 159 | WI | VC |
| VC 207 | Mex × WI | VC |
| VC 26 | WI | VC |
| VC 28 | WI | VC |
| VC 320 | WI | VC |
| VC 55 | WI | VC |
| VC 66 | WI | VC |
| VC 68 | WI | VC |
| VC 801 | WI | VC |
| VC 802 | WI | VC |
| VC 804 | WI | VC |
| VC 840 | Mex | VC |
| VC 96 | WI | VC |
| Waldin | WI | VC |
| Canopy Vol. | gs | A | E | LAI | PAR | Osmol. | Yield 19–20 (FPT) | Trich | Cl (%) | |
|---|---|---|---|---|---|---|---|---|---|---|
| gs | 0.7717 | |||||||||
| A | 0.2217 | <0.0001 | ||||||||
| E | 0.1758 | <0.0001 | <0.0001 | |||||||
| LAI | <0.0001 | 0.0522 | 0.2099 | 0.0043 | ||||||
| PAR | <0.0001 | 0.9557 | 0.8939 | 0.0452 | <0.0001 | |||||
| Osmolality | 0.3125 | 0.7451 | 0.8919 | 0.5665 | 0.8503 | 0.3706 | ||||
| Yield 19–20 (FPT) | 0.0163 | 0.2960 | 0.4726 | 0.5119 | 0.0012 | 0.7984 | 0.8084 | |||
| Trichomes | 0.7245 | 0.2420 | 0.9788 | 0.0693 | 0.3993 | 0.0338 | 0.2112 | 0.7814 | ||
| Cl (%) | 0.9285 | 0.4523 | 0.4686 | 0.7877 | 0.0108 | 0.3409 | 0.0131 | 0.0657 | 0.0002 | |
| Change in TC (%) | 0.0050 | 0.3234 | 0.0649 | 0.2748 | 0.3633 | 0.6928 | 0.0048 | 0.3140 | 0.8209 | 0.0304 |
| Rootstock | Final Score | |
|---|---|---|
| VC 840 | 16.8 | Least susceptible ←--------------------------→ Most susceptible |
| Dusa | 15.2 | |
| VC 802 | 14.8 | |
| Degania 189 | 12.8 | |
| VC 801 | 12.7 | |
| VC 207 | 12.6 | |
| Waldin | 12.5 | |
| Nachlat 3 | 12.2 | |
| VC 26 | 11.1 | |
| VC 55 | 11.1 | |
| VC 66 | 10.1 | |
| VC 96 | 9.4 | |
| VC 28 | 9.4 | |
| Degania 62 | 9.3 | |
| VC 68 | 8.5 | |
| VC 320 | 7.1 | |
| VC 804 | 6.4 | |
| VC 152 | 6.0 | |
| VC 140 | 5.8 | |
| VC 159 | 4.8 |
Publisher’s Note: MDPI stays neutral with regard to jurisdictional claims in published maps and institutional affiliations. |
© 2021 by the authors. Licensee MDPI, Basel, Switzerland. This article is an open access article distributed under the terms and conditions of the Creative Commons Attribution (CC BY) license (https://creativecommons.org/licenses/by/4.0/).
Share and Cite
Lazare, S.; Cohen, Y.; Goldshtein, E.; Yermiyahu, U.; Ben-Gal, A.; Dag, A. Rootstock-Dependent Response of Hass Avocado to Salt Stress. Plants 2021, 10, 1672. https://doi.org/10.3390/plants10081672
Lazare S, Cohen Y, Goldshtein E, Yermiyahu U, Ben-Gal A, Dag A. Rootstock-Dependent Response of Hass Avocado to Salt Stress. Plants. 2021; 10(8):1672. https://doi.org/10.3390/plants10081672
Chicago/Turabian StyleLazare, Silit, Yafit Cohen, Eitan Goldshtein, Uri Yermiyahu, Alon Ben-Gal, and Arnon Dag. 2021. "Rootstock-Dependent Response of Hass Avocado to Salt Stress" Plants 10, no. 8: 1672. https://doi.org/10.3390/plants10081672
APA StyleLazare, S., Cohen, Y., Goldshtein, E., Yermiyahu, U., Ben-Gal, A., & Dag, A. (2021). Rootstock-Dependent Response of Hass Avocado to Salt Stress. Plants, 10(8), 1672. https://doi.org/10.3390/plants10081672

