Bioactivity-Guided Extract Optimization of Osmanthus fragrans var. aurantiacus Leaves and Anti-Inflammatory Activities of Phillyrin
Abstract
:1. Introduction
2. Results
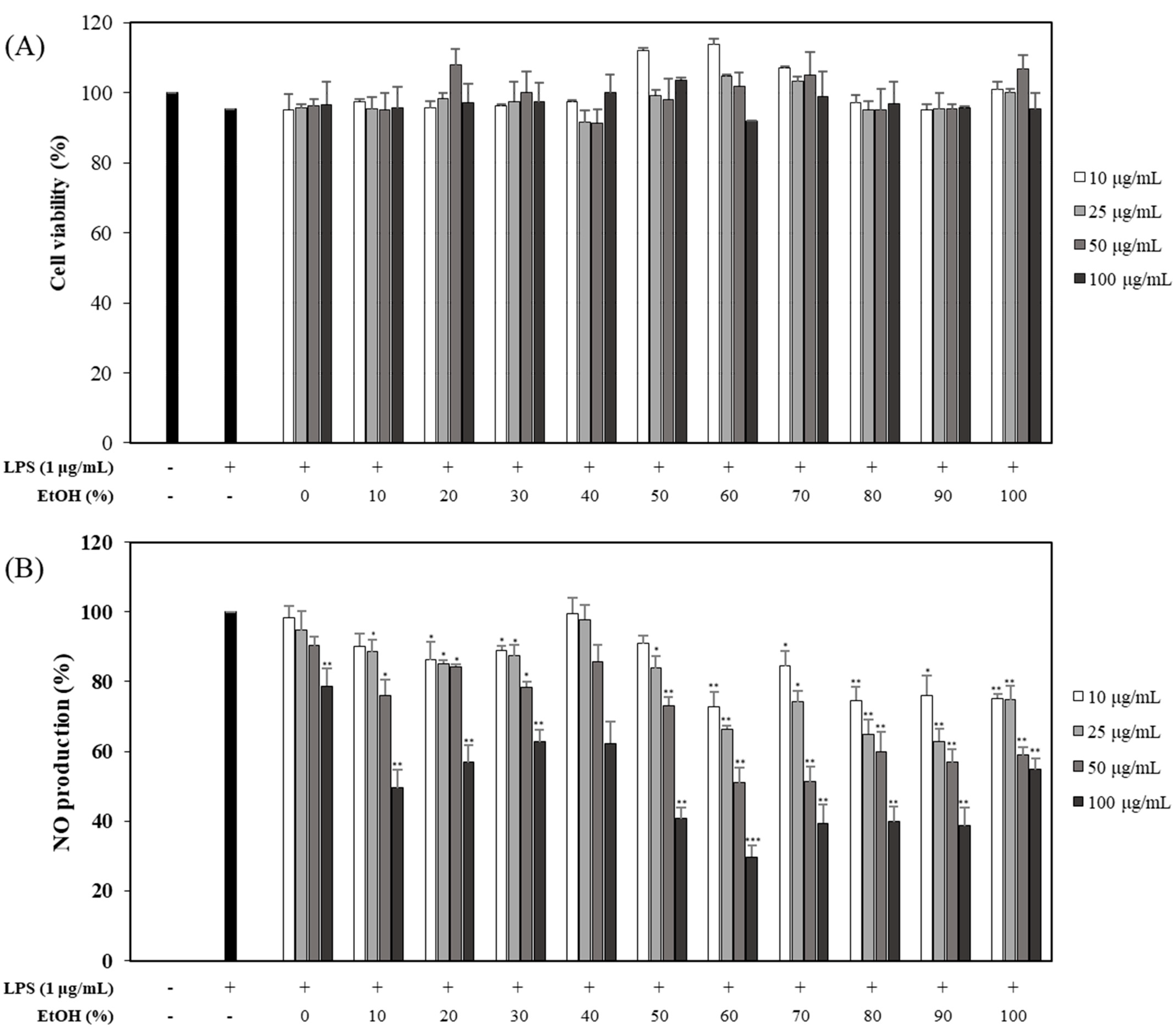
2.1. Effects of OFLEs Extracted at Various Solvent Ratios on LPS-Induced NO Production and Cytotoxicity
2.2. Effects of OFLEs Extracted with Various Solvent Ratios for Leaves Harvested at Different Time on LPS-Induced NO Production and Cell Viability
2.3. Effects of OFLEs Obtained with Various Extraction Time on LPS-Induced NO Production and Cell Viability
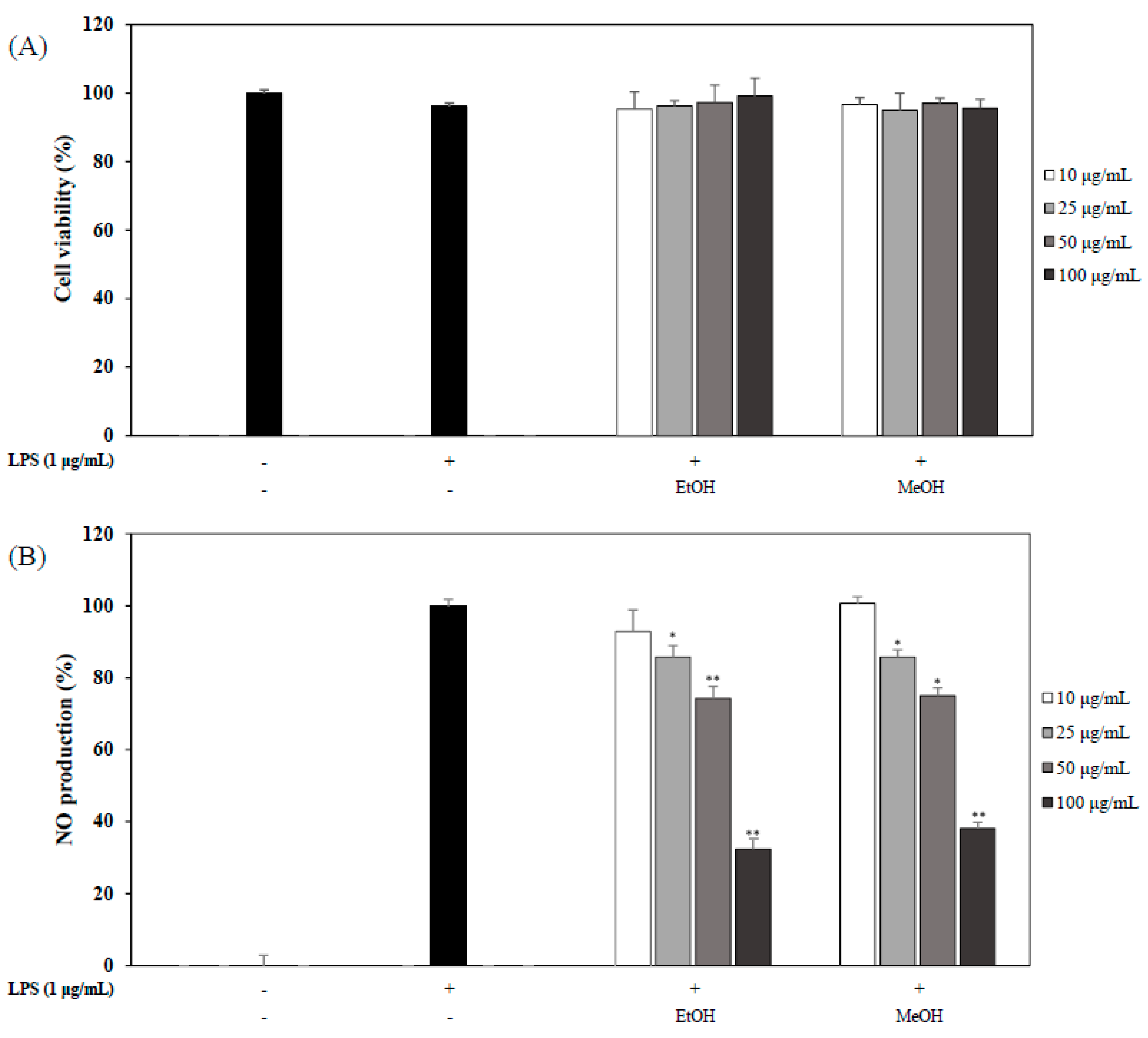
2.4. Effects of OP OFLE and OFLE Extracted with 60% MeOH on LPS-Induced NO Production and Cell Viability
2.5. DPPH and ABTS Radical Scavenging Activities of OP OFLE
2.6. Determination of Total Phenolic Content (TPC)
2.7. Determination of Total Flavonoid Content (TFC)
2.8. Isolation of PH, Lignan Glycodise from OP OFLE
2.9. Effects of OP OFLE and PH Treatment on iNOS and COX-2 Expression
2.10. Effects of OP OFLE and PH Treatment on NF-κB Activation and pERK1/2 Expression
2.11. Effects of OP OFLE and PH on Expression Levels of Pro-Inflammatory Cytokines IL-1β, IL-6, IL-8, and TNF-α
3. Discussion
4. Materials and Methods
4.1. Plant Materials
4.2. Preparation of Extracts
4.3. Extraction and Isolation
4.4. Cell Culture
4.5. Cell Viability Assay
4.6. Measurement of NO Production
4.7. Measurement of Cytokine Production
4.8. Western Blot Analysis
4.9. Total Phenolic Content
4.10. Total Flavonoid Content
4.11. DPPH Radical Scavenging Activity Assay
4.12. ABTS Radical Scavenging Activity Assay
4.13. Statistical Analysis
Author Contributions
Funding
Institutional Review Board Statement
Informed Consent Statement
Data Availability Statement
Conflicts of Interest
References
- Krishnamoorthy, S.; Honn, K.V. Inflammation and Disease Progression. Cancer Metastasis Rev. 2006, 25, 481–491. [Google Scholar] [CrossRef]
- Willerson, J.T.; Ridker, P.M. Inflammation as a Cardiovascular Risk Factor. Circulation 2004, 109, II-2–II-10. [Google Scholar] [CrossRef] [PubMed] [Green Version]
- Chen, L.; Deng, H.; Cui, H.; Fang, J.; Zuo, Z.; Deng, J.; Li, Y.; Wang, X.; Zhao, L. Inflammatory Responses and Inflammation-Associated Diseases in Organs. Oncotarget 2017, 9, 7204–7218. [Google Scholar] [CrossRef] [PubMed] [Green Version]
- Haddad, P.S.; Azar, G.A.; Groom, S.; Boivin, M. Natural Health Products, Modulation of Immune Function and Prevention of Chronic Diseases. Evid.-Based Complement. Altern. Med. 2005, 2, 513–520. [Google Scholar] [CrossRef] [PubMed]
- Chun, S.; Jee, S.Y.; Lee, S.G.; Park, S.J.; Lee, J.R.; Kim, S.C. Anti-Inflammatory Activity of the Methanol Extract of Moutan Cortex in LPS-Activated Raw264.7 Cells. Evid.-Based Complement. Altern. Med. 2007, 4, 327–333. [Google Scholar] [CrossRef]
- Jung, Y.C.; Kim, M.E.; Yoon, J.H.; Park, P.R.; Youn, H.; Lee, H.; Lee, J.S. Anti-Inflammatory Effects of Galangin on Lipopolysaccharide-Activated Macrophages Via ERK and NF-κB Pathway Regulation. Immunopharmacol. Immunotoxicol. 2014, 36, 426–432. [Google Scholar] [CrossRef]
- Xie, Q.; Nathan, C. The high-output Nitric Oxide Pathway: Role and Regulation. J. Leukoc. Biol. 1994, 56, 576–582. [Google Scholar] [CrossRef] [PubMed]
- Moro, C.; Palacios, I.; Lozano, M.; D’Arrigo, M.; Guillamón, E.; Villares, A.; Martínez, J.A.; García-Lafuente, A. Anti-Inflammatory Activity of Methanolic Extracts from Edible Mushrooms in LPS Activated RAW 264.7 Macrophages. Food Chem. 2012, 130, 350–355. [Google Scholar] [CrossRef]
- Chen, X.; Zhang, J.; Liu, J.; Yu, B. Biotransformation of p-, m-, and o-Hydroxybenzoic Acids by Panax Ginseng Hairy Root Cultures. J. Mol. Catal. B 2008, 54, 72–75. [Google Scholar] [CrossRef]
- Zhou, H.Y.; Shin, E.M.; Guo, L.Y.; Youn, U.J.; Bae, K.; Kang, S.S.; Zou, L.B.; Kim, Y.S. Anti-Inflammatory Activity of 4-Methoxyhonokiol is a Function of the Inhibition of iNOS and COX-2 Expression in RAW 264.7 Macrophages Via NF-κB, JNK and p38 MAPK Inactivation. Eur. J. Pharmacol. 2008, 586, 340–349. [Google Scholar] [CrossRef] [PubMed]
- Kim, S.; Shin, T. Anti-Inflammatory Effect of Leaves of Eriobotrya japonica Correlating with Attenuation of p38 MAPK, ERK, and NF-κB Activation in Mast Cells. Toxicol. Vitro 2009, 23, 1215–1219. [Google Scholar] [CrossRef] [PubMed]
- Bai, A.P.; Ouyang, Q.; Zhang, W.; Wang, C.H.; Li, S.F. Probiotics Inhibit TNF-Alpha-Induced Interleukin-8 Secretion of HT29 Cells. World J. Gastroenterol. 2004, 10, 455–457. [Google Scholar] [CrossRef] [PubMed] [Green Version]
- Lee, D.; Lee, S.; Bang, M.; Park, H.; Lee, T.; Kim, Y.; Kim, J.; Baek, N. Lignans from the Flowers of Osmanthus Fragrans var. aurantiacus and their Inhibition Effect on NO Production. Arch. Pharm. Res. 2011, 34, 2029–2035. [Google Scholar] [CrossRef]
- Lee, K.J.; Baek, D.; Lee, G.; Cho, G.; So, Y.; Lee, J.; Ma, K.; Chung, J.; Hyun, D.Y. Phytochemicals and Antioxidant Activity of Korean Black Soybean (Glycine Max L.) Landraces. Antioxidants 2020, 9, 213. [Google Scholar] [CrossRef] [Green Version]
- Lee, C.Y.; Sharma, A.; Semenya, J.; Anamoah, C.; Chapman, K.N.; Barone, V. Computational Study of Ortho-Substituent Effects on Antioxidant Activities of Phenolic Dendritic Antioxidants. Antioxidants 2020, 9, 189. [Google Scholar] [CrossRef] [Green Version]
- Wang, L.; Oh, J.Y.; Hwang, J.; Ko, J.Y.; Jeon, Y.; Ryu, B. In Vitro and in Vivo Antioxidant Activities of Polysaccharides Isolated from Celluclast-Assisted Extract of an Edible Brown Seaweed, Sargassum fulvellum. Antioxidants 2019, 8, 493. [Google Scholar] [CrossRef] [Green Version]
- Machida, K.; Yamauchi, M.; Kurashina, E.; Kikuchi, M. Four New Lignan Glycosides from Osmanthus fragrans Lour. var. aurantiacus Makino. Helv. Chim. Acta 2010, 93, 2164–2175. [Google Scholar] [CrossRef]
- Jeong, D.E.; Shim, S.; Lee, M. Anti-Inflammatory Activity of Phenylpropyl Triterpenoids from Osmanthus fragrans var. aurantiacus Leaves. Int. Immunopharmacol. 2020, 86, 106576. [Google Scholar] [CrossRef] [PubMed]
- Hou, P.; Regenstein, J. Optimization of Extraction Conditions for Pollock Skin Gelatin. J. Food Sci. 2004, 69, C393–C398. [Google Scholar] [CrossRef]
- Kwak, J.H.; Kang, M.W.; Roh, J.H.; Choi, S.U.; Zee, O.P. Cytotoxic Phenolic Compounds from Chionanthus retusus. Arch. Pharm. Res. 2009, 32, 1681–1687. [Google Scholar] [CrossRef]
- Schumacher, B.; Scholle, S.; Hölzl, J.; Khudeir, N.; Hess, S.; Müller, C.E. Lignans Isolated from Valerian: Identification and Characterization of a New Olivil Derivative with Partial Agonistic Activity at A1 Adenosine Receptors. J. Nat. Prod. 2002, 65, 1479–1485. [Google Scholar] [CrossRef] [PubMed]
- Shim, S.; Lee, S.; Lee, M. Biflavonoids Isolated from Selaginella tamariscina and their Anti-Inflammatory Activities via ERK 1/2 Signaling. Molecules 2018, 23, 926. [Google Scholar] [CrossRef] [Green Version]
- Rea, I.M.; Gibson, D.S.; McGilligan, V.; McNerlan, S.E.; Alexander, H.D.; Ross, O.A. Age and age-related diseases: Role of inflammation triggers and cytokines. Front. Immunol. 2018, 9, 586. [Google Scholar] [CrossRef]
- Pan, M.H.; Lai, C.S.; Ho, C.T. Anti-inflammatory activity of natural dietary flavonoids. Food Funct. 2010, 1, 15–31. [Google Scholar] [CrossRef] [PubMed]
- Andrade, L.N.; De Sousa, D.P. A review on anti-inflammatory activity of monoterpenes. Molecules 2013, 18, 1227–1254. [Google Scholar]
- Zhou, F.; Peng, J.; Zhao, Y.; Huang, W.; Jiang, Y.; Li, M.; Wu, X.; Lu, B. Varietal Classification and Antioxidant Activity Prediction of Osmanthus fragrans Lour. Flowers using UPLC–PDA/QTOF–MS and Multivariable Analysis. Food Chem. 2017, 217, 490–497. [Google Scholar] [CrossRef]
- Sakanaka, S.; Kim, M.; Taniguchi, M.; Yamamoto, T. Antibacterial Substances in Japanese Green Tea Extract Against Streptococcus mutans, a Cariogenic Bacterium. Agric. Biol. Chem. 1989, 53, 2307–2311. [Google Scholar] [CrossRef]
- Zhang, T.; Wang, M.; Yang, L.; Jiang, J.; Zhao, J.; Zhu, W. Flavonoid Glycosides from Rubus Chingii Hu Fruits Display Anti-Inflammatory Activity through Suppressing MAPKs Activation in Macrophages. J. Funct. Foods 2015, 18, 235–243. [Google Scholar] [CrossRef]
- Qiao, H.; Zhang, X.; Zhu, C.; Dong, L.; Wang, L.; Zhang, X.; Xing, Y.; Wang, C.; Ji, Y.; Cao, X. Luteolin Downregulates TLR4, TLR5, NF-κB and p-p38MAPK Expression, Upregulates the p-ERK Expression, and Protects Rat Brains Against Focal Ischemia. Brain Res. 2012, 1448, 71–81. [Google Scholar] [CrossRef] [PubMed]
- Park, J.C.; Yoo, H.; Kim, C.E.; Shim, S.Y.; Lee, M. Hispidulin-7-O-Neohesperidoside from Cirsium japonicum var. Ussuriense Attenuates the Production of Inflammatory Mediators in LPS-Induced Raw 264.7 Cells and HT-29 Cells. Pharmacogn. Mag. 2017, 13, 707–711. [Google Scholar] [PubMed]
- Johari, M.A.; Khong, H.Y. Total Phenolic Content and Antioxidant and Antibacterial Activities of Pereskia bleo. Adv. Pharmacol. Sci. 2019, 2019. [Google Scholar] [CrossRef] [PubMed] [Green Version]
- Fattahi, S.; Zabihi, E.; Abedian, Z.; Pourbagher, R.; Motevalizadeh Ardekani, A.; Mostafazadeh, A.; Akhavan-Niaki, H. Total Phenolic and Flavonoid Contents of Aqueous Extract of Stinging Nettle and in Vitro Antiproliferative Effect on Hela and BT-474 Cell Lines. Int. J. Mol. Cell. Med. 2014, 3, 102–107. [Google Scholar] [PubMed]
- Rebaya, A.; Belghith, S.I.; Baghdikian, B.; Leddet, V.M.; Mabrouki, F.; Olivier, E.; Cherif, J.; Ayadi, M.T. Total Phenolic, Total Flavonoid, Tannin Content, and Antioxidant Capacity of Halimium halimifolium (Cistaceae). J. Appl. Pharm. Sci. 2014, 5, 52–57. [Google Scholar]
- Harborne, J.; Green, P. A Chemotaxonomic Survey of Flavonoids in Leaves of the Oleaceae. Bot. J. Linn. Soc. 1980, 81, 155–167. [Google Scholar] [CrossRef]
- Kedare, S.B.; Singh, R.P. Genesis and development of DPPH method of antioxidant assay. J. Food Sci. Tehcnol. 2011, 48, 412–422. [Google Scholar] [CrossRef] [PubMed] [Green Version]
- Song, H.Y.; Jo, A.; Shin, J.; Lim, E.H.; Lee, Y.E.; Jeong, D.E.; Lee, M. Anti-Inflammatory Activities of Isogosferol, a Furanocoumarin Isolated from Citrus junos Seed Shells through Bioactivity-Guided Fractionation. Molecules 2019, 24, 4088. [Google Scholar] [CrossRef] [PubMed] [Green Version]
- Folin, O.; Denis, W. On Phosphotungstic-Phosphomolybdic Compounds as Color Reagents. J. Biol. Chem. 1912, 12, 239–243. [Google Scholar] [CrossRef]
- Moreno, M.I.N.; Isla, M.I.; Sampietro, A.R.; Vattuone, M.A. Comparison of the Free Radical-Scavenging Activity of Propolis from several Regions of Argentina. J. Ethnopharmacol. 2000, 71, 109–114. [Google Scholar] [CrossRef]
- Amarowicz, R.; Naczk, M.; Shahidi, F. Antioxidant Activity of Crude Tannins of Canola and Rapeseed Hulls. J. Am. Oil Chem. Soc. 2000, 77, 957. [Google Scholar] [CrossRef]
- Shim, S.; Lee, Y.E.; Song, H.Y.; Lee, M. p-Hydroxybenzoic Acid β-D-Glucosyl Ester and Cimidahurinine with Antimelanogenesis and Antioxidant Effects from Pyracantha angustifolia Via Bioactivity-Guided Fractionation. Antioxidants 2020, 9, 258. [Google Scholar] [CrossRef] [Green Version]









Publisher’s Note: MDPI stays neutral with regard to jurisdictional claims in published maps and institutional affiliations. |
© 2021 by the authors. Licensee MDPI, Basel, Switzerland. This article is an open access article distributed under the terms and conditions of the Creative Commons Attribution (CC BY) license (https://creativecommons.org/licenses/by/4.0/).
Share and Cite
Song, H.-Y.; Jeong, D.-E.; Lee, M. Bioactivity-Guided Extract Optimization of Osmanthus fragrans var. aurantiacus Leaves and Anti-Inflammatory Activities of Phillyrin. Plants 2021, 10, 1545. https://doi.org/10.3390/plants10081545
Song H-Y, Jeong D-E, Lee M. Bioactivity-Guided Extract Optimization of Osmanthus fragrans var. aurantiacus Leaves and Anti-Inflammatory Activities of Phillyrin. Plants. 2021; 10(8):1545. https://doi.org/10.3390/plants10081545
Chicago/Turabian StyleSong, Hwa-Young, Da-Eun Jeong, and Mina Lee. 2021. "Bioactivity-Guided Extract Optimization of Osmanthus fragrans var. aurantiacus Leaves and Anti-Inflammatory Activities of Phillyrin" Plants 10, no. 8: 1545. https://doi.org/10.3390/plants10081545
APA StyleSong, H.-Y., Jeong, D.-E., & Lee, M. (2021). Bioactivity-Guided Extract Optimization of Osmanthus fragrans var. aurantiacus Leaves and Anti-Inflammatory Activities of Phillyrin. Plants, 10(8), 1545. https://doi.org/10.3390/plants10081545
