The Effect of Ascophyllum nodosum Extract on the Nutraceutical Antioxidant Potential of Vigna radiata Sprout under Salt Stress
Abstract
1. Introduction
2. Results
2.1. Effect on DPPH Free-Radical-Scavenging Activity
2.2. Effect on ABTS Free-Radical-Scavenging Activity
2.3. Effect on Total Phenol Content (TPC)
2.4. Effect on Total Flavonoid Content (TFC)
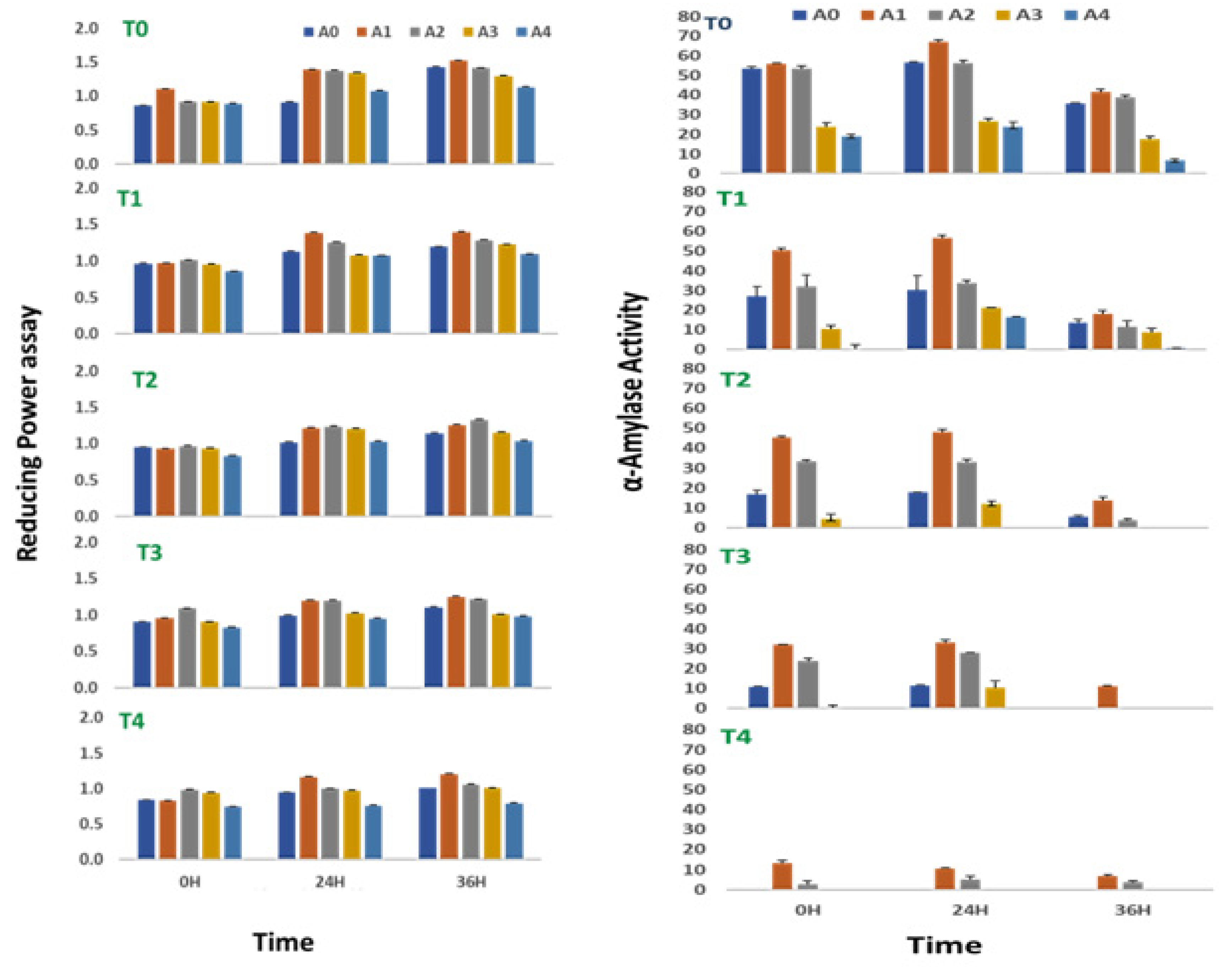
2.5. Effect on Reducing Power
2.6. Effect on α-Amylase Activity
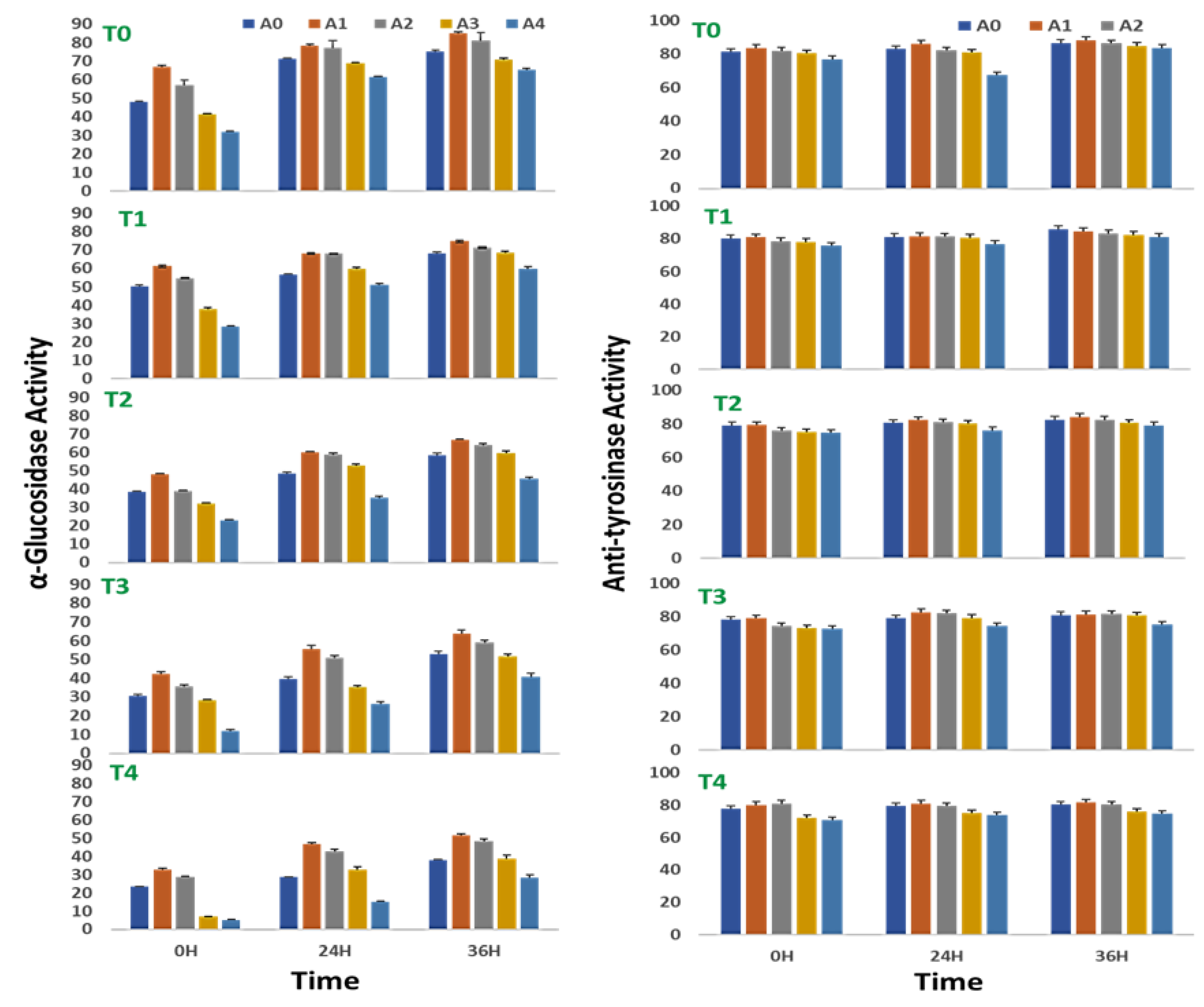
2.7. Effect on the α-Glucosidase Activity
2.8. Effect on the Anti-Tyrosinase Activity
3. Discussion
4. Materials and Methods
4.1. Plant Materials, Ascophyllum nodosum Extract (ANE), and Treatments Combinations
4.2. Seed Sterilization and Germination of Seeds to Sprouts
4.3. Preparation of Plant Extracts to Study the Various Biochemical Activities
- DPPH free-radical-scavenging activity;
- ABTS free-radical-cation-scavenging activity;
- Total Phenol Content (TPC);
- Total Flavanoid Content (TFC);
- Reducing power assay;
- Alpha-amylase inhibition assay;
- Alpha-glucosidase inhibition assay;
- Tyrosinase inhibition activity.
4.4. Estimation of DPPH (1,1 Diphenyl 2-Picryl Hydrazyl) Radical-Scavenging Activity
4.5. Estimation of ABTS (2,2-azinobis (3-ethylbenzothiazoline-6-sulfonic acid) Scavenging Activity
4.6. Estimation of Total Phenolic Content (TPC)
4.7. Estimation of Total Flavonoid Content (TFC)
4.8. Estimation of Reducing Power Activity Assay
4.9. Estimation of α-Amylase (EC 3.2.1.1) Inhibition Assay
4.10. Estimation of α-Glucosidase (EC 3.2.1.20) Inhibition Activity
4.11. Estimation of Tyrosinase (EC 1.14.18.1) Inhibition
4.12. Statistical Analysis
5. Conclusions
Author Contributions
Funding
Institutional Review Board Statement
Informed Consent Statement
Data Availability Statement
Acknowledgments
Conflicts of Interest
References
- Messina, V. Nutritional and health benefits of dried beans. Am. J. Clin. Nutr. 2014, 100, 437S–442S. [Google Scholar] [CrossRef] [PubMed]
- Rebello, C.J.; Greenway, F.L.; Finley, J.W. Whole grains and pulses: A comparison of the nutritional and health benefits. J. Agric. Food Chem. 2014, 62, 7029–7049. [Google Scholar] [CrossRef] [PubMed]
- Connolly, A.; O’Keeffe, M.B.; Piggott, C.O.; Nongonierma, A.B.; FitzGerald, R.J. Generation and identification of angiotensin converting enzyme (ACE) inhibitory peptides from a brewers’ spent grain protein isolate. Food Chem. 2015, 176, 64–71. [Google Scholar] [CrossRef] [PubMed]
- Randhir, R.; Shetty, K. Mung beans processed by solid-state bioconversion improve phenolic content and functionality relevant for diabetes and ulcer management. Innov. Food Sci. Emerg. Technol. 2007, 8, 197–204. [Google Scholar] [CrossRef]
- Yao, Y.; Yang, X.; Tian, J.; Liu, C.; Xuzhen, C.; Guixing, R. Antioxidant and antidiabetic activities of black mung bean (Vigna radiata L.). J. Agric. Food Chem. 2013, 61, 8104–8109. [Google Scholar] [CrossRef] [PubMed]
- Tang, D.; Dong, Y.; Ren, H.; Li, L.; He, C. A review of phytochemistry, metabolite changes, and medicinal uses of the common food mung bean and its sprouts (Vigna radiata). Chem. Cent. J. 2014, 8, 4. [Google Scholar] [CrossRef]
- Khaket, T.P.; Dhanda, S.; Jodha, D.; Singh, J. Purification and biochemical characterization of dipeptidyl peptidase-II (DPP7) homologue from germinated Vigna radiate seeds. Bioorg. Chem. 2015, 63, 132–141. [Google Scholar] [CrossRef]
- Valin, H.S.; Ronald, V.M.; Dominique, N.; Gerald, A.; Helal, B.; Elodie, B.; Benjamin, F.; Shinichiro, H.; Tomoko, H.; Petr, H.; et al. The future of food demand: Understanding differences in global economic models. Agric. Econ. 2014, 45, 1–17. [Google Scholar] [CrossRef]
- Saeidnejad, A.H.; Kafi, M.; Khazaei, H.R.; Pessarakli, M. Effects of drought stress on quantitative and qualitative yield and anti oxidative activity of Bunium persicum. Tur. J. Bot. 2013, 37, 930–939. [Google Scholar] [CrossRef]
- Norman, A.W. From vitamin D to hormone D: Fundamentals of the vitamin D endocrine system essential for good health. Am. J. Clin. Nutr. 2008, 88, 491S–499S. [Google Scholar] [CrossRef]
- Tong-un, T.; Muchimapura, S.; Phachonpai, W.; Wattanathorn, J. Effects of quercerin encapsulated liposomes via nasal administration: A novel cognitive enhancer. Am. J. Appl. Sci. 2010, 7, 906–913. [Google Scholar] [CrossRef]
- Phachonpai, W.; Wattanathorn, J.; Muchimapura, S.; Tong-un, T.; Preechagoon, D. Neuprotective effect of quercetin encapsulated liposomes: A novel therapeutic strategy against Alzheimer’s disease. Am. J. Appl. Sci. 2010, 7, 480–485. [Google Scholar] [CrossRef]
- Rahal, A.; Kumar, A.; Singh, V.; Yadav, B.; Tiwari, R.; Chakraborty, S.; Dhama, K. Oxidative Stress, Prooxidants, and Antioxidants: The Interplay. Biomed. Res. Int. 2014, 1–19. [Google Scholar] [CrossRef]
- Sies, H. Oxidative stress: A concept in redox biology and medicine. Redox Biol. 2015, 4, 180–183. [Google Scholar] [CrossRef] [PubMed]
- Mubarak, A.E. Nutritional composition and antinutritional factors of mung bean seeds (Phaseolus aureus) as affected by some home traditional processes. Food Chem. 2005, 89, 489–495. [Google Scholar] [CrossRef]
- Tong, T.; Li, J.; Ko, D.O.; Kim, B.S.; Zhang, C.; Ham, K.S.; Kang, S.G. In vitro Antioxidant Potential and Inhibitory Effect of Seaweed on Enzymes Relevant for Hyperglycemia. Food Sci. Biotechnol. 2014, 23, 2037–2044. [Google Scholar] [CrossRef]
- Saleh, H.M.; Hassan, A.A.; Mansour, E.H.; Fahmy, H.A.; El-Bedawey, A.E.F.A. Melatonin, phenolics content and antioxidant activity of germinated selected legumes and their fractions. J. Saudi Soc. Agric. Sci. 2018, 18, 294–301. [Google Scholar] [CrossRef]
- Oplinger, E.S.; Hardman, L.L.; Kaminski, A.R.; Combs, S.M.; Doll, J.D. Mungbean. In Alternative Field Crops Manual; University of Wisconsin-Exension, Cooperative Extension: West Lafayette, IN, USA, 1990. [Google Scholar]
- Yao, Y.; Chen, F.; Wang, M.F.; Wang, J.S.; Ren, G.X. Antidiabetic activity of mung bean extracts in diabetic KK-A(y) mice. J. Agric. Food Chem. 2008, 56, 8869–8873. [Google Scholar] [CrossRef]
- Hsu, G.S.W.; Lu, Y.F.; Chang, S.H.; Hsu, S.Y. Antihypertensive effect of mung bean sprout extracts in spontaneously hypertensive rats. J. Food Biochem. 2011, 35, 278–288. [Google Scholar] [CrossRef]
- Hafidh, R.R.; Abdulamir, A.S.; Abu Bakar, F.; Jalilian, F.A.; Abas, F.; Sekawi, Z. Novel molecular, cytotoxical, and immunological study on promising and selective anticancer activity of mung bean sprouts. BMC Complement. Altern. Med. 2012, 12, 208. [Google Scholar] [CrossRef]
- Guo, X.B.; Li, T.; Tang, K.X.; Liu, R.H. Effect of germination on phytochemical profiles and antioxidant activity of mung bean sprouts (Vigna radiata). J. Agric. Food Chem. 2012, 60, 11050–11055. [Google Scholar] [CrossRef]
- Huang, X.Y.; Cai, W.X.; Xu, B.J. Kinetic changes of nutrients and antioxidant capacities of germinated soybean (Glycine max L.) and mung bean (Vigna radiata L.) with germination time. Food Chem. 2014, 143, 268–276. [Google Scholar] [CrossRef]
- Shi, Z.; Yao, Y.; Zhu, Y.; Ren, G. Nutritional composition and antioxidant activity of twenty mung bean cultivars in china. Crop J. 2016, 4, 398–406. [Google Scholar] [CrossRef]
- Kim, D.K.; Jeong, S.C.; Gorinstein, S. Total Polyphenols, Antioxidant and Antiproliferative Activities of Different Extracts in Mungbean Seeds and Sprouts. Plant Foods Hum. Nutr. 2012, 67, 71–75. [Google Scholar] [CrossRef]
- Yen, F.L.; Wang, M.C.; Liang, C.J.; Lee, C.W. Melanogenesis Inhibitor(s) from Phyla nodiflora Extract. Evid. Complement. Altern. Med. 2012, 2012, 867494. [Google Scholar] [CrossRef]
- Yao, Y.; Cheng, X.; Wang, L.; Wang, S.; Ren, G. Biological Potential of Sixteen Legumes in China. Int. J. Mol. Sci. 2011, 12, 7048–7058. [Google Scholar] [CrossRef] [PubMed]
- Jeong, Y.M.; Ha, J.H.; Noh, G.Y.; Park, S.N. Inhibitory effects of mung bean (Vigna radiata L.) seed and sprout extracts on melanogenesis. Food Sci. Biotechnol. 2016, 25, 567–573. [Google Scholar] [CrossRef]
- Hou, D.; Yousaf, L.; Xue, Y.; Hu, J.; Wu, J.; Hu, X.; Feng, N.; Shen, Q. Mung Bean (Vigna radiata L.): Bioactive Polyphenols, Polysaccharides, Peptides, and Health Benefits. Nutrients 2019, 11, 1238. [Google Scholar] [CrossRef] [PubMed]
- Vadivel, V.; Biesalski, H.K. Total phenolic content, in vitro antioxidant activity and type II diabetes relevant enzyme inhibition properties of methanolic extract of traditionally processed underutilized food legume, Acacia nilotica (L.) Willd ex. Delile. Int. Food Res. J 2012, 19, 593–601. [Google Scholar]
- Ali, Y.; Aslam, Z.; Ashraf, M.Y.; Tahir, G.R. E_ect of salinity on chlorophyll concentration, leaf area, yield and yield components of rice genotypes grown under saline environment. Int. J. Environ. Sci. Technol. 2004, 1, 221–225. [Google Scholar] [CrossRef]
- Kamran, M.; Parveen, A.; Ahmar, S.; Malik, Z.; Hussain, S.; Chattha, M.S.; Saleem, M.H.; Adil, M.; Heidari, P.; Chen, J.T. An overview of hazardous impacts of soil salinity in crops, tolerance mechanisms, and amelioration through selenium supplementation. Int. J. Mol. Sci. 2020, 21, 148. [Google Scholar] [CrossRef] [PubMed]
- Sonar, B.A.; Desai Nivas, D.; Gaikwad, D.K.; Chanven, P.D. Assessment of salinity-induced antioxidative defense system in Colubrina asiatica Brong. J. Stress Physiol. Biochem. 2011, 7, 193–200. [Google Scholar]
- Movafegh, S.; Jadid, R.R.; Kiabi, S. E_ect of salinity stress on chlorophyll content, proline, water soluble carbohydrate, germination, growth and dry weight of three seedling barley (Hordeum vulgare L.) cultivars. J. Stress Physiol. Biochem. 2012, 8, 157–168. [Google Scholar]
- Singh, P.K.; Shahi, S.K.; Singh, A.P. E_ects of salt stress on physic-chemical changes in maize (Zea mays L.) plants in response to salicylic acid. Indian J. Plant Sci. 2015, 4, 69–77. [Google Scholar]
- Hussain, M.; Ahmad, S.; Hussain, S.; Lal, R.; Ul-Allah, S.; Nawaz, A. Rice in saline soils: Physiology, biochemistry, genetics, and management. In Advances in Agronomy; Sparks, D.L., Ed.; Academic Press: Cambridge, MA, USA, 2018; Volume 148, pp. 231–287. [Google Scholar] [CrossRef]
- Saha, P.; Chatterjee, P.; Biswas, A.K. NaCl pretreatment alleviates salt stress by enhancement of antioxidant defense and osmolyte accumulation in mungbean (Vigna radiata L. Wilczek). Indian J. Exp. Biol. 2010, 48, 593–600. [Google Scholar]
- Sehrawat, N.; Jaiwal, P.K.; Yadav, M.; Bhat, K.V.; Sairam, R.K. Salinity stress restraining mungbean (Vigna radiata L. Wilczek) production: Gateway for genetic improvement. Int. J. Agri. Crop Sci. 2013, 6, 505–509. [Google Scholar]
- Akbarimoghaddam, H.; Galavi, M.; Ghanbari, A.; Panjehkeh, N. Salinity effects on seed germination and seedling growth of bread wheat cultivars. Trakia J. Sci. 2011, 9, 43–50. [Google Scholar]
- Sehrawat, N.; Bhat, K.V.; Sairam, R.K.; Jaiwal, P.K. Screening of mungbean (Vigna radiata L. Wilczek) genotypes for salt tolerance. Int. J. Plant Anim. Environ. Sci. 2013, 4, 36–43. [Google Scholar]
- Sehrawat, N.; Bhat, K.; Kaga, A.; Tomooka, N.; Yadav, M.; Jaiwal, P. Development of new gene-specific markers associated with salt tolerance for mungbean (Vigna radiata L. Wilczek). Span. J. Agric. Res. 2014, 12, 732–741. [Google Scholar] [CrossRef]
- Sehrawat, N.; Jaiwal, P.K.; Bhat, K.V.; Tomooka, N.; Kaga, A.; Yadav, M. Breeding mediated improvement of mungbean [Vigna radiata (L.) Wilczek] for salt tolerance. Thai J. Agric. Sci. 2014, 47, 109–114. [Google Scholar]
- Sehrawat, N.; Yadav, M.; Bhat, K.V.; Sairam, R.K.; Jaiwal, P.K. Effect of salinity stress on mungbean [Vigna radiata (L.) Wilczek] during consecutive summer and spring seasons. J. Agric. Sci. 2015, 60, 23–32. [Google Scholar] [CrossRef]
- Promila, K.; Kumar, S. Vigna radiata seed germination under salinity. Biol. Plant. 2000, 43, 423–426. [Google Scholar] [CrossRef]
- Khajeh-Hosseini, M.; Powell, A.A.; Bingham, I. The interaction between salinity stress and seed vigour during germination of soyabean seeds. Seed Sci. Technol. 2003, 31, 715–725. [Google Scholar] [CrossRef]
- Mahdavi, B.; Modarres, S.; Seyed, A.M. Germination and Seedling Growth in Grasspea (Lathyrus sativus) Cultivars under Salinity Conditions. Pak. J. Bio. Sci. 2007, 10, 273–279. [Google Scholar] [CrossRef] [PubMed]
- Craigie, J.S. Seaweed extract stimuli in plant science and agriculture. J. Appl. Phycol. 2011, 23, 371–393. [Google Scholar] [CrossRef]
- Hernández-Herrera, R.M.; Santacruz-Ruvalcaba, F.; Ruiz-López, M.A.; Norrie, J.; Hernández-Carmona, G. Effect of liquid seaweed extracts on growth of tomato seedlings (Solanum lycopersicum L.). J. Appl. Phycol. 2014, 26, 619–628. [Google Scholar] [CrossRef]
- Castellanos-Barriga, L.G.; Santacruz-Ruvalcaba, F.; Hernández-Carmona, G.; Ramírez-Briones, E.; Hernández-Herrera, R.M. Effect of seaweed liquid extracts from Ulva lactuca on seedling growth of mung bean (Vigna radiata). J. Appl. Phycol. 2017, 29, 2479–2488. [Google Scholar] [CrossRef]
- Dos Reis, S.P.; Lima, A.M.; De Souza, C.R.B. Recent molecular advances on downstream plant responses to abiotic stress. Int. J. Mol. Sci. 2012, 13, 8628–8647. [Google Scholar] [CrossRef]
- Calvo, P.; Nelson, L.; Kloepper, J.W. Agricultural uses of plant biostimulants. Plant Soil 2014, 383, 3–41. [Google Scholar] [CrossRef]
- Rioux, L.E.; Turgeon, S.L.; Beaulieu, M. Characterization of polysaccharides extracted from brown seaweeds. Carbohydr. Polym. 2007, 69, 530–537. [Google Scholar] [CrossRef]
- Fan, D.; Hodges, D.; Critchley, A.; Prithiviraj, B. A commercial extract of Brown Macroalga (Ascophyllum nodosum) affects yield and the nutritional quality of spinach in vitro. Commun. Soil Sci. Plant Anal. 2013, 44, 1873–1884. [Google Scholar] [CrossRef]
- Jakubczyk, A.; Baraniak, B. Angiotensin I converting enzyme inhibitory peptides obtained after in vitro hydrolysis of pea (Pisum sativum var. Bajka) globulins. BioMed Res. Int. 2014, 2014, 438459. [Google Scholar] [CrossRef] [PubMed]
- Du, G.; Li, M.; Ma, F.; Liang, D. Antioxidant capacity and the relationship with polyphenol and vitamin C in Actinidia fruits. Food Chem. 2009, 113, 557–562. [Google Scholar] [CrossRef]
- Zhaohui, X.; Wang, C.; Zhai, L.; Yu, W.; Chang, H.; Kou, X.; Zhou, F. Bioactive compounds and antioxidant activity of mung bean (Vigna radiata L.), soybean (Glycine max L.) and black bean (Phaseolus vulgaris L.) during the germination process. Czech J. Food Sci. 2016, 34, 68–78. [Google Scholar] [CrossRef]
- Gan, R.Y.; Wang, M.F.; Lui, W.Y.; Wu, K.; Corke, H. Dynamic changes in phytochemical composition and antioxidant capacity in green and black mung bean (Vigna radiata) sprouts. Int. J. Food Sci. Technol. 2016, 51, 2090–2098. [Google Scholar] [CrossRef]
- Marathe, S.A.; Rajalakshmi, V.; Jamdar, S.N.; Sharma, A. Comparative study on antioxidant activity of different varieties of commonly consumed legumes in India. Food Chem. Toxicol. 2011, 49, 2005–2012. [Google Scholar] [CrossRef] [PubMed]
- Kocira, S.; Szparaga, A.; Hara, P. Biochemical and economical effect of application biostimulants containing seaweed extracts and amino acids as an element of agroecological management of bean cultivation. Sci. Rep. 2020, 10, 17759. [Google Scholar] [CrossRef]
- Riedel, H.; Akumo, D.N.; Saw, N.M.M.T.; Kütük, O.; Neubauer, P.; Smetanska, I. Elicitation and precursor feeding influence phenolic acids composition in Vitis vinifera suspension culture. Afr. J. Biotechnol. 2012, 11, 3000–3008. [Google Scholar] [CrossRef]
- Pise, N.M.; Sabale, A.B. Effect of seaweed concentrates on the growth and biochemical constituents of Trigonella foenum-graecum L. J. Phytol. 2010, 2, 50–56. [Google Scholar]
- Kocira, S.; Szparaga, A.; Kocira, A.; Czerwińska, E.; Wójtowicz, A. Bronowicka-Mielniczuk, U.; Koszel, M.; Findura, P. Modeling Biometric Traits, Yield and Nutritional and Antioxidant Properties of Seeds of Three Soybean Cultivars Through the Application of Biostimulant Containing Seaweed and Amino Acids. Front. Plant Sci. 2018, 9, 388. [Google Scholar] [CrossRef] [PubMed]
- Fernandez-Orozco, R.; Frias, J.; Zielinski, H.; Piskula, M.K.; Kozlowska, H.; Vidal-Valverde, C. Kinetic study of the antioxidant compounds and antioxidant capacity during germination of Vigna radiata cv. emmerald, Glycine max cv. jutro and Glycine max cv. Merit. Food Chem. 2008, 111, 622–630. [Google Scholar] [CrossRef]
- Ertani, A.; Pizzeghello, D.; Altissimo, A.; Nardi, S. Use of meat hydrolyzate derived from tanning residues as plant biostimulant for hydroponically grown maize. J. Plant Nutr. Soil Sci. 2013, 176, 287–296. [Google Scholar] [CrossRef]
- Lola-Luz, T.; Hennequart, F.; Gaffney, M. Effect on yield, total phenolic, total flavonoid and total isothiocyanates content of two broccoli cultivars (Brassica oleraceae var italic) following the application of a commercial brown seaweed extract (Ascophyllum nodosum). Agric. Food Sci. 2014, 23, 28–37. [Google Scholar] [CrossRef]
- Kasim, W.A.E.; Saad-Allah, K.M.; Hamouda, M. Seed priming with extracts of two seaweeds alleviates the physiological and molecular impacts of salinity stress on radish (Raphanus sativus). Int. J. Agric. Biol. 2016, 18, 653–660. [Google Scholar] [CrossRef]
- Khan, W.; Rayirath, U.P.; Subramanian, S.; Jithesh, M.N.; Rayorath, P.; Hodges, D.M.; Critchley, A.T.; Craigie, J.S.; Norrie, J.; Prithiviraj, B. Seaweed extracts as biostimulants of plant growth and development. J. Plant Growth Regul. 2009, 28, 386–399. [Google Scholar] [CrossRef]
- Ammar, N.; Ben Abdallah, A.R.; Jabnoun-Khiareddine, H.; Nefzi, A.; Rguez, S.; Daami-Remadi, M. Sargassum vulgare extracts as an alternative to chemical fungicide for the management of Fusarium dry rot in potato. J. Agric. Sci. Food Res. 2017, 8, 1000197. [Google Scholar]
- Rhocha-Guzman, N.E.; Herzog, A.; Gonzalez-Laredo, R.F.; Ibarra-Perez, F.J.; Zambrano-Galvan, G.; Gallegos-Infante, J.A. Antioxidant and antimutagenic activity of phenolic compounds in three different color groups of common bean cultivars (Phaseolus vulgaris). Food Chem. 2007, 103, 521–527. [Google Scholar] [CrossRef]
- Fan, D.; Hodges, M.; Zhang, J.; Kirby, C.W.; Ji, X.; Locke, S.J.; Critchley, A.T.; Prithiviraj, B. Commercial extract of the brown seaweed Ascophyllum nodosum enhances phenolic antioxidant content of spinach (Spinacia oleracea L.) which protects Caenorhabditis elegans against oxidative and thermal stress. Food Chem. 2011, 124, 195–202. [Google Scholar] [CrossRef]
- Hand, M.J.; Ta_ouo, V.D.; Nouck, A.E.; Nyemene, K.P.J.; Tonfack, L.B.; Meguekam, T.L.; Youmbi, E. Effects of salt stress on plant growth, nutrient partitioning, chlorophyll content, leaf relative water content, accumulation of osmolytes and antioxidant compounds in pepper (Capsicum annuum L.) cultivars. Not. Bot. Horti Agrobot. Cluj-Napoca 2017, 45, 481–490. [Google Scholar] [CrossRef]
- Elansary, H.O.; Skalicka-Woźniak, K.; King, I.W. Enhancing stress growth traits as well as phytochemical and antioxidant contents of Spiraea and Pittosporum under seaweed extract treatments. Plant Physiol. Biochem. 2016, 105, 310–320. [Google Scholar] [CrossRef]
- Orak, H.; Karamać, M.; Orak, A.; Amarowicz, R.; Janiak, M. Phenolics content and antioxidant capacity of mung bean (Vigna radiata L.) Seed. YYU J. Agric. Sci. 2018, 28, 199–207. [Google Scholar]
- Lee, J.H.; Jeon, J.K.; Kim, S.G.; Kim, S.H.; Chun, T.; Imm, J.Y. Comparative analyses of total phenols, flavonoids, saponins and antioxidant activity in yellow soy beans and mung beans. Int. J. Food Sci. Technol. 2011, 46, 2513–2519. [Google Scholar] [CrossRef]
- Djordjevic, T.M.; Siler-Marinkovic, S.S.; Dimitrijevic-Brankovic, S.I. Antioxiodant activity and total phenolic content in some cereals and legumes. Int. J. Food Prop. 2011, 14, 175–184. [Google Scholar] [CrossRef]
- Cheplick, S.; Kwon, Y.; Bhowmik, P.; Shetty, K. Clonal variation in raspberry fruit phenolics and relevance for diabetes and hypertension management. J. Food Biochem. 2007, 31, 656–679. [Google Scholar] [CrossRef]
- Kwon, Y.I.; Vattem, D.V.; Shetty, K. Evaluation of clonal herbs of Lamiaceae species for management of diabetes and hypertension. Asia Pac. J. Clin. Nutr. 2006, 15, 107–118. [Google Scholar]
- Ranilla, L.G.; Kwon, Y.I.; Genovese, M.I.; Lajolo, F.M.; Shetty, K. Antidiabetes and antihypertension potential of commonly consumed carbohydrate sweeteners using in vitro models. J. Med. Foods 2008, 11, 337–348. [Google Scholar] [CrossRef]
- Vadivel, V.; Ami, P.; Biesalski, H.K. Effect of traditional processing methods on the antioxidant, α-amylase and α-glucosidase enzyme inhibition properties of Sesbania sesban Merrill seeds. CyTA J. Food 2012, 10, 128–136. [Google Scholar] [CrossRef]
- Randhir, R.; Kwon, Y.I.; Shetty, K. Improved health relevant functionality in dark germinated Mucuna pruriens sprouts by elicitation with peptide and phytochemical elicitors. Bioresour. Technol. 2009, 100, 4507–4514. [Google Scholar] [CrossRef] [PubMed]
- Randhir, R.; Lin, Y.T.; Shetty, K. Stimulation of phenolics, antioxidant and antimicrobial activities in dark germinated mung bean sprouts in response to peptide and phytochemical elicitors. Process Biochem. 2004, 39, 637–646. [Google Scholar] [CrossRef]
- Paradis, M.E.; Couture, P.; Lamarche, B. A randomised crossover placebo-controlled trial investigating the effect of brown seaweed (Ascophyllum nodosum and Fucus vesiculosus) on postchallenge plasma glucose and insulin levels in men and women. Appl. Physiol. Nutr. Metab. 2011, 36, 913–919. [Google Scholar] [CrossRef]
- McCue, P.; Kwon, Y.I.; Shetty, K. Anti-diabetic and anti-hypertensive potential of sprouted and solid-state bioprocessed soybean. Asia Pac. J. Clin. Nutr. 2005, 14, 145–152. [Google Scholar]
- Ranilla, L.G.; Kwon, Y.I.; Apostolidis, E.; Shetty, K. Phenolic compounds, antioxidant activity and in vitro inhibitory potential against key enzymes relevant for hyperglycemia and hypertension of commonly used medicinal plants, herbs and spices in Latin America. Bioresour. Technol. 2010, 101, 4677–4678. [Google Scholar] [CrossRef]
- Zhang, L.; Li, J.R.; Hogan, S.; Chung, H.; Welbaum, G.E.; Zhou, K. Inhibitory effect of raspberries on starch digestive enzyme and their antioxidant properties and phenolic composition. Food Chem. 2010, 119, 592–599. [Google Scholar] [CrossRef]
- Oboh, G.; Ademiluyi, A.O.; Akinyemi, A.J.; Henle, T.; Saliu, J.A.; Schwarzenbolz, U. Inhibitory effect of polyphenol-rich extracts of jute leaf (Corchorus olitorius) on key enzyme linked to type 2 diabetes (α-amylase and α-glucosidase) and hypertension (angiotensin I converting) in vitro. J. Funct. Foods 2012, 4, 450–458. [Google Scholar] [CrossRef]
- Randhir, R.; Kwon, Y.I.; Shetty, K. Effect of thermal processing on phenolics, antioxidant activity and health-relevant functionality of select grain sprouts and seedlings. Innov. Food Sci. Emerg. Technol. 2008, 9, 355–364. [Google Scholar] [CrossRef]
- Kim, J.S.; Hyun, T.K.; Kim, M.J. The inhibitory effects of ethanol extracts from sorghum, foxtail millet and proso millet on a-glucosidase and a-amylase activities. Food Chem. 2011, 124, 1647–1651. [Google Scholar] [CrossRef]
- Shobana, S.; Sreerama, Y.N.; Malleshi, N.G. Composition and enzyme inhibitory properties of finger millet (Eleusine coracana L.) seed coat phenolics: Mode of inhibition of a-glucosidase and pancreatic amylase. Food Chem. 2009, 115, 1268–1273. [Google Scholar] [CrossRef]
- Oh, K.Y.; Lee, J.H.; Curtis-Long, M.J.; Cho, J.K.; Kim, J.Y.; Lee, W.S.; Park, K.H. Glycosidase inhibitory phenolic compounds from the seed of Psoralea corylifolia. Food Chem. 2010, 121, 940–945. [Google Scholar] [CrossRef]
- Burguieres, E.; Mccue, P.; Kwon, Y.I.; Shetty, K. Health-related functionality of phenolic-enriched pea sprouts in relation to diabetes and hypertension management. Food Biochem. 2008, 32, 3–14. [Google Scholar] [CrossRef]
- Sreerama, Y.N.; Takahashi, Y.; Yamaki, K. Phenolic antioxidants in some Vigna species of legumes and their distinct inhibitory effects on 𝛼-glucosidase and pancreatic lipase activities. J. Food Sci. 2012, 77, C927–C933. [Google Scholar] [CrossRef] [PubMed]
- Mora, P.C.; Baraldi, P.G. Dermocosmetic applications of polymeric biomaterials. In Polymeric Biomaterials, 2nd ed.; Dumitru, S., Ed.; Marcel Dekker: New York, NY, USA; Basel, Switzerland, 2000; pp. 459–490. [Google Scholar]
- Briganti, S.; Camera, E.; Picardo, M. Chemical and instrumental approaches to treat hyper-pigmentation. Pigment Cell Melanoma Res. 2003, 16, 101–110. [Google Scholar] [CrossRef]
- Vardhan, A.; Khan, S.; Pandey, B. Screening of plant parts for anti-tyrosinase activity by tyrosinase assay using mushroom tyrosinase. Indian J. Sci. Res. 2014, 4, 134–139. [Google Scholar]
- Yoon, K.N.; Nuhu, A.; Kyung, R.L.; Pyung, G.S.; Jong, C.C.; Young, B.Y.; Tae, S.L. Antioxidant and antityrosinase activities of various extracts from the fruiting bodies of Lentinus lepideus. Molecules 2011, 16, 2334–2347. [Google Scholar] [CrossRef] [PubMed]
- Sarikurkcu, C.; Mustafa, C.; Mehmet, C.U.; Olcay, C.; Tuba, O.; Bektas, T. Phenolic composition, enzyme inhibitory, and antioxidant activity of Bituminaria bituminosa. Food Sci. Biotechnol. 2016, 25, 1299–1304. [Google Scholar] [CrossRef] [PubMed]
- Sanchez-Moreno, C.; Jose, A.L.; Fulgencio, S.C. A procedure to measure the antiradical efficiency of polyphenols. J. Sci. Food Agric. 1998, 76, 270–276. [Google Scholar] [CrossRef]
- Re, R.; Pellegrini, N.; Proteggente, A.; Pannala, A.; Yang, M.; Rice-Evans, C. Antioxidant activity applying an improved ABTS radical cation decolorization assay. Free Radic. Biol. Med. 1999, 26, 1231–1237. [Google Scholar] [CrossRef]
- Kamtekar, S.; Keer, V.; Patil, V. Estimation of phenolic content, flavonoid content, antioxidant and alpha amylase inhibitory activity of marketed polyherbal formulation. J. Appl. Pharma. Sci. 2014, 4, 61–65. [Google Scholar] [CrossRef]
- Djeridane, A.; Yousfi, M.; Nadjemi, B.; Boutassouna, D.; Stocker, P.; Vidal, N. Antioxidant activity of some algerian medicinal plants extracts containing phenolic compounds. Food Chem. 2006, 97, 654–660. [Google Scholar] [CrossRef]
- Atmani, D.; Chaher, N.; Berboucha, M.; Ayouni, K.; Lounis, H.; Boudaoud, H.; Atmani, N.D.D. Antioxidant capacity and phenol content of selected Algerian medicinal plants. Food Chem. 2009, 112, 303–309. [Google Scholar] [CrossRef]
- Nickavar, B.; Yousefian, N. Evaluation of a-amylase inhibitory activities of selected antidiabetic medicinal plants. J. Consum. Prot. Food Saf. 2011, 6, 191–195. [Google Scholar] [CrossRef]
- Shai, L.J.; Magano, S.R.; Lebelo, S.L.; Mogale, A.M. Inhibitory effects of five medicinal plants on rat alpha-glucosidase: Comparison with their effects on yeast α-glucosidase. J. Med. Plant Res. 2011, 5, 2863–2867. [Google Scholar] [CrossRef]






| ANOVA: Two-Factor 0 h for DPPH Radical-Scavenging Activity | ||||||
| SS | df | MS | F | p-Value | F crit | |
| Salinity | 235.7898 | 4 | 58.94746 | 9.115549 | 0.000491 | 3.006917 |
| ANE | 735.0457 | 4 | 183.7614 | 28.4166 | 4.31 × 10−7 | 3.006917 |
| Error | 103.4671 | 16 | 6.466693 | |||
| Total | 1074.303 | 24 | ||||
| ANOVA: Two-Factor 24 h for DPPH Radical-Scavenging Activity | ||||||
| SS | df | MS | F | p-Value | F crit | |
| Salinity | 548.9184 | 4 | 137.2296 | 8.194715 | 0.000854 | 3.006917 |
| ANE | 1144.414 | 4 | 286.1036 | 17.08478 | 1.26 × 10−5 | 3.006917 |
| Error | 267.9378 | 16 | 16.74611 | |||
| Total | 1961.27 | 24 | ||||
| ANOVA: Two-Factor 36 h for DPPH Radical-Scavenging Activity | ||||||
| SS | df | MS | F | p-Value | F crit | |
| Salinity | 369.0484 | 4 | 92.2621 | 4.21749 | 0.016093 | 3.006917 |
| ANE | 808.8904 | 4 | 202.2226 | 9.24401 | 0.000456 | 3.006917 |
| Error | 350.0171 | 16 | 21.87607 | |||
| Total | 1527.956 | 24 | ||||
| ANOVA: Two-Factor (ABTS Activity Assay at 0 h) | ||||||
| SS | df | MS | F | p-Value | F crit | |
| Salinity | 5040.449617 | 4 | 1260.112 | 33.12243 | 1.48 × 10−7 | 3.006917 |
| ANE | 1752.822066 | 4 | 438.2055 | 11.51836 | 0.000135 | 3.006917 |
| Error | 608.7053571 | 16 | 38.04408 | |||
| Total | 7401.977041 | 24 | ||||
| ANOVA: Two-Factor (ABTS Activity Assay at 24 h) | ||||||
| SS | df | MS | F | p-Value | F crit | |
| Salinity | 7000.749362 | 4 | 1750.187 | 53.64041 | 4.54 × 10−9 | 3.006917 |
| ANE | 1530.484694 | 4 | 382.6212 | 11.72672 | 0.000122 | 3.006917 |
| Error | 522.0503827 | 16 | 32.62815 | |||
| Total | 9053.284439 | 24 | ||||
| ANOVA: Two-Factor (ABTS Activity Assay at 36 h) | ||||||
| SS | df | MS | F | p-Value | F crit | |
| Salinity | 1723.740434 | 4 | 430.9351 | 6.029559 | 0.003718 | 3.006917 |
| ANE | 6299.394133 | 4 | 1574.849 | 22.03497 | 2.41 × 10−6 | 3.006917 |
| Error | 1143.526786 | 16 | 71.47042 | |||
| Total | 9166.661352 | 24 | ||||
| ANOVA: Two-Factor 0 h for Phenol Content | ||||||
| SS | df | MS | F | p-Value | F crit | |
| Salinity | 31383.27 | 4 | 7845.818 | 9.992317 | 0.000299 | 3.006917 |
| ANE | 39683.6 | 4 | 9920.901 | 12.63511 | 7.91 × 10−5 | 3.006917 |
| Error | 12562.96 | 16 | 785.1851 | |||
| Total | 83629.84 | 24 | ||||
| ANOVA: Two-Factor 24 h for Phenol Content | ||||||
| SS | df | MS | F | p-Value | F crit | |
| Salinity | 57971.77 | 4 | 14492.94 | 11.59064 | 0.00013 | 3.006917 |
| ANE | 44068.22 | 4 | 11017.05 | 8.810816 | 0.00059 | 3.006917 |
| Error | 20006.42 | 16 | 1250.401 | |||
| Total | 122046.4 | 24 | ||||
| ANOVA: Two-Factor 36 h for Phenol Content | ||||||
| SS | df | MS | F | p-Value | F crit | |
| Salinity | 74439.07 | 4 | 18609.77 | 19.13987 | 6.07 × 10−6 | 3.006917 |
| ANE | 120094.4 | 4 | 30023.59 | 30.87881 | 2.42 × 10−7 | 3.006917 |
| Error | 15556.86 | 16 | 972.3038 | |||
| Total | 210090.3 | 24 | ||||
| ANOVA: Two-Factor 0 h for Total Flavonoid Content | ||||||
| SS | df | MS | F | p-Value | F crit | |
| Salinity | 8108.798 | 4 | 2027.199 | 17.61242 | 1.04 × 10−5 | 3.006917 |
| ANE | 1498.642 | 4 | 374.6605 | 3.255071 | 0.039183 | 3.006917 |
| Error | 1841.609 | 16 | 115.1006 | |||
| Total | 11449.05 | 24 | ||||
| ANOVA: Two-Factor 24 h for Total Flavonoid Content | ||||||
| SS | df | MS | F | p-Value | F crit | |
| Salinity | 2140.035 | 4 | 535.0087 | 4.115023 | 0.017621 | 3.006917 |
| ANE | 5349.083 | 4 | 1337.271 | 10.28563 | 0.000255 | 3.006917 |
| Error | 2080.216 | 16 | 130.0135 | |||
| Total | 9569.334 | 24 | ||||
| ANOVA: Two-Factor 36 h for Total Flavonoid content | ||||||
| SS | df | MS | F | p-Value | F crit | |
| Salinity | 5694.78 | 4 | 1423.695 | 9.427506 | 0.00041 | 3.006917 |
| ANE | 15312.17 | 4 | 3828.042 | 25.34875 | 9.42 × 10−7 | 3.006917 |
| Error | 2416.24 | 16 | 151.015 | |||
| Total | 23423.19 | 24 | ||||
| ANOVA: Two-Factor 0 h for Reducing Power | ||||||
| SS | df | MS | F | p-Value | F crit | |
| Salinity | 0.023728 | 4 | 0.005932 | 1.631845 | 0.214859 | 3.006917 |
| ANE | 0.077387 | 4 | 0.019347 | 5.322112 | 0.006398 | 3.006917 |
| Error | 0.058163 | 16 | 0.003635 | |||
| Total | 0.159279 | 24 | ||||
| ANOVA: Two-Factor 24 h for Reducing Power | ||||||
| SS | df | MS | F | p-Value | F crit | |
| Salinity | 0.204465 | 4 | 0.051116 | 7.332341 | 0.001488 | 3.006917 |
| ANE | 0.328389 | 4 | 0.082097 | 11.77638 | 0.000119 | 3.006917 |
| Error | 0.111541 | 16 | 0.006971 | |||
| Total | 0.644395 | 24 | ||||
| ANOVA: Two-Factor 36 h for Reducing Power | ||||||
| SS | df | MS | F | p-Value | F crit | |
| Salinity | 0.341818 | 4 | 0.085455 | 34.10045 | 1.2 × 10−7 | 3.006917 |
| ANE | 0.296523 | 4 | 0.074131 | 29.58171 | 3.26 × 10−7 | 3.006917 |
| Error | 0.040095 | 16 | 0.002506 | |||
| Total | 0.678437 | 24 | ||||
| ANOVA: Two-Factor 0 h for α-Amylase | ||||||
| SS | df | MS | F | p-Value | F crit | |
| Salinity | 0.10878 | 4 | 0.027195 | 34.98703 | 1 × 10−7 | 3.006917 |
| ANE | 0.122265 | 4 | 0.030566 | 39.32411 | 4.36 × 10−8 | 3.006917 |
| Error | 0.012437 | 16 | 0.000777 | |||
| Total | 0.243482 | 24 | ||||
| ANOVA: Two-Factor 24 h for α-Amylase | ||||||
| SS | Df | MS | F | p-Value | F crit | |
| Salinity | 0.273032 | 4 | 0.068258 | 26.80128 | 6.44 × 10−7 | 3.006917 |
| ANE | 0.233946 | 4 | 0.058487 | 22.96455 | 1.83 × 10−6 | 3.006917 |
| Error | 0.040749 | 16 | 0.002547 | |||
| Total | 0.547728 | 24 | ||||
| ANOVA: Two-Factor 36 h for α-Amylase | ||||||
| SS | Df | MS | F | p-Value | F crit | |
| Salinity | 0.204599 | 4 | 0.05115 | 15.27371 | 2.53 × 10−5 | 3.006917 |
| ANE | 0.229352 | 4 | 0.057338 | 17.12158 | 1.24 × 10−5 | 3.006917 |
| Error | 0.053582 | 16 | 0.003349 | |||
| Total | 0.487533 | 24 | ||||
| ANOVA: Two-Factor 0 h for α-Glucosidase | ||||||
| SS | df | MS | F | p-Value | F crit | |
| Salinity | 2983.619 | 4 | 745.9048 | 75.32564 | 3.59 × 10−10 | 3.006917 |
| ANE | 2782.22 | 4 | 695.555 | 70.24103 | 6.08 × 10−10 | 3.006917 |
| Error | 158.4384 | 16 | 9.902402 | |||
| Total | 5924.278 | 24 | ||||
| ANOVA: Two-Factor 24 h for α-Glucosidase | ||||||
| SS | df | MS | F | p-Value | F crit | |
| Salinity | 4561.108 | 4 | 1140.277 | 115.4178 | 1.38 × 10−11 | 3.006917 |
| ANE | 1847.639 | 4 | 461.9098 | 46.75409 | 1.25 × 10−8 | 3.006917 |
| Error | 158.073 | 16 | 9.87956 | |||
| Total | 6566.82 | 24 | ||||
| ANOVA: Two-Factor 36 h for α-Glucosidase | ||||||
| SS | df | MS | F | p-Value | F crit | |
| Salinity | 3599.931 | 4 | 899.9827 | 229.8666 | 6.49 × 10−14 | 3.006917 |
| ANE | 1206.688 | 4 | 301.6719 | 77.05071 | 3.03 × 10−10 | 3.006917 |
| Error | 62.64382 | 16 | 3.915239 | |||
| Total | 4869.263 | 24 | ||||
| ANOVA: Two-Factor 0 h for Anti-Tyrosinase Activity | ||||||
| SS | df | MS | F | p-Value | F crit | |
| Salinity | 94.05033 | 4 | 23.51258 | 9.066553 | 0.000505 | 3.006917 |
| ANE | 136.6049 | 4 | 34.15122 | 13.16886 | 6.19 × 10−5 | 3.006917 |
| Error | 41.49331 | 16 | 2.593332 | |||
| Total | 272.1485 | 24 | ||||
| ANOVA: Two-Factor 24 h for Anti-Tyrosinase Activity | ||||||
| SS | df | MS | F | p-Value | F crit | |
| Salinity | 230.9833 | 4 | 57.74583 | 10.85751 | 0.00019 | 3.006917 |
| ANE | 22.01747 | 4 | 5.504367 | 1.034944 | 0.419617 | 3.006917 |
| Error | 85.09627 | 16 | 5.318517 | |||
| Total | 338.0971 | 24 | ||||
| ANOVA: Two-Factor 36 h for Anti-Tyrosinase Activity | ||||||
| SS | df | MS | F | p-Value | F crit | |
| Salinity | 85.82178 | 4 | 21.45545 | 19.5978 | 5.21 × 10−6 | 3.006917 |
| ANE | 164.1451 | 4 | 41.03628 | 37.4833 | 6.15 × 10−8 | 3.006917 |
| Error | 17.51661 | 16 | 1.094788 | |||
| Total | 267.4835 | 24 | ||||
| NaCl (mM) ![]() | 0 (T0) | 25 (T1) | 50 (T2) | 75 (T3) | 100 (T4) | |
|---|---|---|---|---|---|---|
![]() ANE (%) | ||||||
| 0.00 (A0) | 0 + 0.00 (T0A0) | 25 + 0.00 (T1A0) | 50 + 0.00 (T2A0) | 75 + 0.00 (T3A0) | 100 + 0.00 (T4A0) | |
| 0.01 (A1) | 0 + 0.01 (T0A1) | 25 + 0.01 (T1A1) | 50 + 0.01 (T2A1) | 75 + 0.01 (T3A1) | 100 + 0.01 (T4A1) | |
| 0.05 (A2) | 0 + 0.05 (T0A2) | 25 + 0.05 (T1A2) | 50 + 0.05 (T2A2) | 75 + 0.05 (T3A2) | 100 + 0.05 (T4A2) | |
| 0.10 (A3) | 0 + 0.10 (T0A3) | 25 + 0.10 (T1A3) | 50 + 0.10 (T2A3) | 75 + 0.10 (T3A3) | 100 + 0.10 (T4A3) | |
| 0.50 (A4) | 0 + 0.50 (T0A4) | 25 + 0.50 (T1A4) | 50 + 0.50 (T2A4) | 75 + 0.50 (T3A4) | 100 + 0.50 (T4A4) | |
Publisher’s Note: MDPI stays neutral with regard to jurisdictional claims in published maps and institutional affiliations. |
© 2021 by the authors. Licensee MDPI, Basel, Switzerland. This article is an open access article distributed under the terms and conditions of the Creative Commons Attribution (CC BY) license (https://creativecommons.org/licenses/by/4.0/).
Share and Cite
Kumari, S.; Phogat, D.; Sehrawat, K.D.; Choudhary, R.; Rajput, V.D.; Ahlawat, J.; Karunakaran, R.; Minkina, T.; Sehrawat, A.R. The Effect of Ascophyllum nodosum Extract on the Nutraceutical Antioxidant Potential of Vigna radiata Sprout under Salt Stress. Plants 2021, 10, 1216. https://doi.org/10.3390/plants10061216
Kumari S, Phogat D, Sehrawat KD, Choudhary R, Rajput VD, Ahlawat J, Karunakaran R, Minkina T, Sehrawat AR. The Effect of Ascophyllum nodosum Extract on the Nutraceutical Antioxidant Potential of Vigna radiata Sprout under Salt Stress. Plants. 2021; 10(6):1216. https://doi.org/10.3390/plants10061216
Chicago/Turabian StyleKumari, Sangeeta, Deepak Phogat, Krishnan D. Sehrawat, Ravish Choudhary, Vishnu D. Rajput, Jyoti Ahlawat, Rohini Karunakaran, Tatiana Minkina, and Anita R. Sehrawat. 2021. "The Effect of Ascophyllum nodosum Extract on the Nutraceutical Antioxidant Potential of Vigna radiata Sprout under Salt Stress" Plants 10, no. 6: 1216. https://doi.org/10.3390/plants10061216
APA StyleKumari, S., Phogat, D., Sehrawat, K. D., Choudhary, R., Rajput, V. D., Ahlawat, J., Karunakaran, R., Minkina, T., & Sehrawat, A. R. (2021). The Effect of Ascophyllum nodosum Extract on the Nutraceutical Antioxidant Potential of Vigna radiata Sprout under Salt Stress. Plants, 10(6), 1216. https://doi.org/10.3390/plants10061216



