One-Time Foliar Application and Continuous Resupply via Roots Equally Improved the Growth and Physiological Response of B-Deficient Oilseed Rape
Abstract
1. Introduction
2. Results
2.1. Roots and Shoots Dry Matters
2.2. Boron Concentration
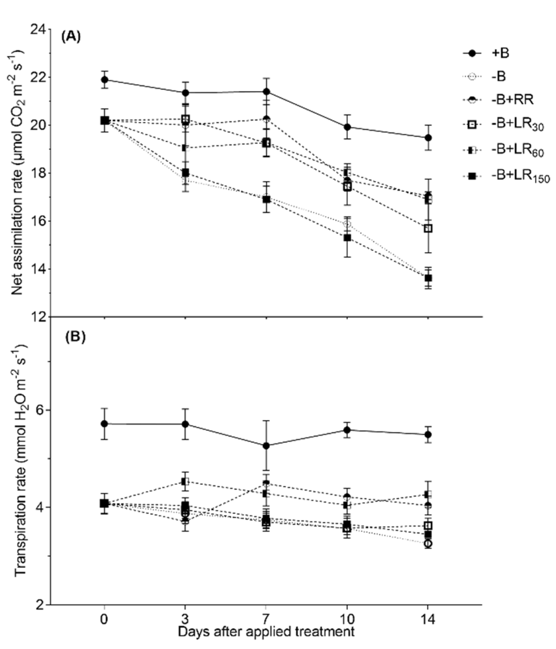
2.3. Photosynthetic and Transpiration Rates
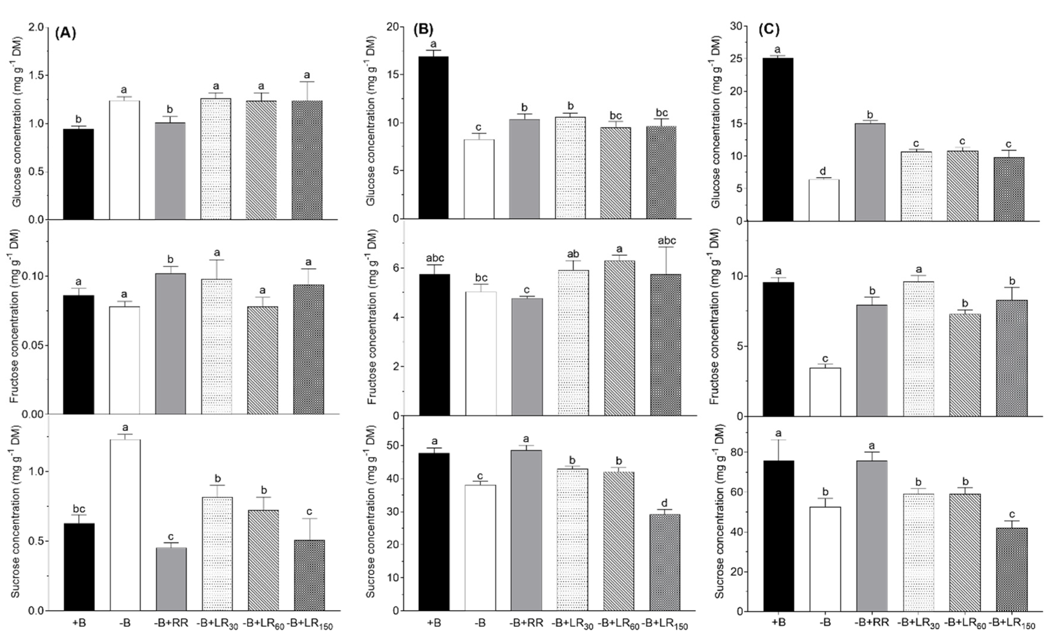
2.4. Soluble Sugars
2.5. Relative Expression of BnaBOR1;2 and BnaNIP5;1 in Roots and Leaves
3. Discussion
4. Materials and Methods
4.1. Plant Cultivation and Treatment Application
4.2. Gas Exchange Measurements
4.3. Harvesting and Sample Preparation
4.4. Determination of Boron
4.5. Determination of Soluble Sugars
4.6. Primer Design and Sanger Sequencing
4.7. RNA Extraction, Reverse Transcription and Real-Time Quantitative PCR
4.8. Statistical Analysis
5. Conclusions
Supplementary Materials
Author Contributions
Funding
Institutional Review Board Statement
Informed Consent Statement
Data Availability Statement
Acknowledgments
Conflicts of Interest
References
- Shorrocks, V.M. The occurrence and correction of boron deficiency. Plant Soil 1997, 193, 121–148. [Google Scholar] [CrossRef]
- Marschner, P. Marschner’s Mineral. Nutrition of Higher Plants; Elsevier Academic Press Inc.: San Diego, CA, USA, 2012. [Google Scholar]
- Dell, B.; Huang, L.B. Physiological response of plants to low boron. Plant Soil 1997, 193, 103–120. [Google Scholar] [CrossRef]
- Wimmer, M.A.; Goldberg, S.; Gupta, U.C. Boron. In Handbook of Plant Nutrition, 2nd ed.; Barker, A., Pilbeam, D., Eds.; CRC Press: Boca Raton, FL, USA, 2015; pp. 305–346. [Google Scholar]
- Brown, P.H.; Shelp, B.J. Boron mobility in plants. Plant Soil 1997, 193, 85–101. [Google Scholar] [CrossRef]
- Zhang, D.; Zhao, H.; Shi, L.; Xu, F. Physiological and genetic responses to boron deficiency in Brassica napus: A review. Soil Sci. Plant Nutr. 2014, 60, 304–313. [Google Scholar] [CrossRef]
- Eggert, K.; von Wiren, N. The role of boron nutrition in seed vigour of oilseed rape (Brassica napus L.). Plant Soil 2016, 402, 63–76. [Google Scholar] [CrossRef]
- Matoh, T. Boron in plant cell walls. Plant Soil 1997, 193, 59–70. [Google Scholar] [CrossRef]
- Brown, P.H.; Bellaloui, N.; Wimmer, M.A.; Bassil, E.S.; Ruiz, J.; Hu, H.; Pfeffer, H.; Dannel, F.; Romheld, V. Boron in plant biology. Plant Biol. 2002, 4, 205–223. [Google Scholar] [CrossRef]
- Wimmer, M.A.; Eichert, T. Review: Mechanisms for boron deficiency-mediated changes in plant water relations. Plant Sci. 2013, 203, 25–32. [Google Scholar] [CrossRef]
- Fageria, N.K.; Filho, M.P.B.; Moreira, A.; Guimarães, C.M. Foliar Fertilization of Crop Plants. J. Plant Nutr. 2009, 32, 1044–1064. [Google Scholar] [CrossRef]
- Fernández, V.; Sotiropoulos, T.; Brown, P. Foliar Fertilization—Scientific Principles and Field Practices; Internationcal Fertilizer Industry Association (IFA): Paris, France, 2013. [Google Scholar]
- Noreen, S.; Fatima, Z.; Ahmad, S.; Ashraf, M. Foliar application of micronutrients in mitigating abiotic stress in crop plants. In Plant Nutrients and Abiotic Stress Tolerance; Springer: Berlin/Heidelberg, Germany, 2018; pp. 95–117. [Google Scholar]
- Eichert, T.; Goldbach, H.E. Transpiration rate affects the mobility of foliar-applied boron in Ricinus communis L. cv. Impala. Plant Soil 2010, 328, 165–174. [Google Scholar] [CrossRef]
- Orlovius, K. Effect of foliar fertilisation with magnesium, sulfur, manganese and boron to sugar beet, oilseed rape, and cereals. In Plant Nutrition; Springer: Berlin/Heidelberg, Germany, 2001; pp. 788–789. [Google Scholar]
- Jankowski, K.J.; Hulanicki, P.S.; Krzebietke, S.; Zarczynski, P.; Hulanicki, P.; Sokolski, M. Yield and quality of winter oilseed rape in response to different systems of foliar fertilization. J. Elem. 2016, 21, 1017–1027. [Google Scholar] [CrossRef]
- Ma, B.-L.; Zheng, Z.; Whalen, J.K.; Caldwell, C.; Vanasse, A.; Pageau, D.; Scott, P.; Earl, H.; Smith, D.L. Uptake and nutrient balance of nitrogen, sulfur, and boron for optimal canola production in eastern Canada. J. Plant Nutr. Soil Sci. 2019, 182, 252–264. [Google Scholar] [CrossRef]
- Shelp, B.J.; Vivekanandan, P.; Vanderpool, R.A.; Kitheka, A.M. Translocation and effectiveness of foliar-fertilized boron in broccoli plants of varying boron status. Plant Soil 1996, 183, 309–313. [Google Scholar] [CrossRef]
- Brown, P.H.; Bassil, E. Overview of the acquisition and utilization of boron, chlorine, copper, manganese, molybdenum, and nickel by plants and prospects for improvement of micronutrient use efficiency. In The Molecular and Physiological Basis of Nutrient Use Efficiency in Crops; John Wiley & Sons, Inc.,: Hoboken, NJ, USA, 2011; pp. 377–428. [Google Scholar]
- Reid, R. Understanding the boron transport network in plants. Plant Soil 2014, 385, 1–13. [Google Scholar] [CrossRef]
- Will, S.; Eichert, T.; Fernández, V.; Müller, T.; Römheld, V. Boron foliar fertilization of soybean and lychee: Effects of side of application and formulation adjuvants. J. Plant Nutr. Soil Sci. 2012, 175, 180–188. [Google Scholar] [CrossRef]
- Will, S.; Eichert, T.; Fernández, V.; Möhring, J.; Müller, T.; Römheld, V. Absorption and mobility of foliar-applied boron in soybean as affected by plant boron status and application as a polyol complex. Plant Soil 2011, 344, 283–293. [Google Scholar] [CrossRef]
- Stangoulis, J.; Tate, M.; Graham, R.; Bucknall, M.; Palmer, L.; Boughton, B.; Reid, R. The mechanism of boron mobility in wheat and canola phloem. Plant Physiol. 2010, 153, 876–881. [Google Scholar] [CrossRef]
- Dordas, C.; Brown, P.H. Permeability of boric acid across lipid bilayers and factors affecting it. J. Membr. Biol. 2000, 175, 95–105. [Google Scholar] [CrossRef] [PubMed]
- Miwa, K.; Fujiwara, T. Boron transport in plants: Co-ordinated regulation of transporters. Ann. Bot. 2010, 105, 1103–1108. [Google Scholar] [CrossRef]
- Takano, J.; Wada, M.; Ludewig, U.; Schaaf, G.; von Wiren, N.; Fujiwara, T. The Arabidopsis major intrinsic protein NIP5;1 is essential for efficient boron uptake and plant development under boron limitation. Plant Cell 2006, 18, 1498–1509. [Google Scholar] [CrossRef] [PubMed]
- Takano, J.; Miwa, K.; Fujiwara, T. Boron transport mechanisms: Collaboration of channels and transporters. Trends Plant Sci. 2008, 13, 451–457. [Google Scholar] [CrossRef]
- Takano, J.; Noguchi, K.; Yasumori, M.; Kobayashi, M.; Gajdos, Z.; Miwa, K.; Hayashi, H.; Yoneyama, T.; Fujiwara, T. Arabidopsis boron transporter for xylem loading. Nature 2002, 420, 337–340. [Google Scholar] [CrossRef]
- Yoshinari, A.; Takano, J. Insights into the Mechanisms Underlying Boron Homeostasis in Plants. Front. Plant Sci. 2017, 8, 8. [Google Scholar] [CrossRef]
- Diehn, T.A.; Bienert, M.D.; Pommerrenig, B.; Liu, Z.J.; Spitzer, C.; Bernhardt, N.; Fuge, J.; Bieber, A.; Richet, N.; Chaumont, F.; et al. Boron demanding tissues of Brassica napus express specific sets of functional Nodulin26-like Intrinsic Proteins and BOR1 transporters. Plant J. 2019, 100, 68–82. [Google Scholar] [CrossRef]
- Zhang, Q.; Chen, H.F.; He, M.L.; Zhao, Z.Q.; Cai, H.M.; Ding, G.D.; Shi, L.; Xu, F.S. The boron transporter BnaC4.BOR1;1c is critical for inflorescence development and fertility under boron limitation in Brassica napus. Plant Cell Environ. 2017, 40, 1819–1833. [Google Scholar] [CrossRef]
- Yang, L.; Zhang, Q.; Dou, J.N.; Li, L.; Guo, L.F.; Shi, L.; Xu, F.S. Characteristics of root boron nutrition confer high boron efficiency in Brassica napus cultivars. Plant Soil 2013, 371, 95–104. [Google Scholar] [CrossRef]
- Asad, A.; Blamey, F.P.C.; Edwards, D.G. Effects of boron foliar applications on vegetative and reproductive growth of sunflower. Ann. Bot. 2003, 92, 565–570. [Google Scholar] [CrossRef] [PubMed]
- Huang, L.B.; Ye, Z.Q.; Bell, R.W. The importance of sampling immature leaves for the diagnosis of boron deficiency in oilseed rape (Brassica napus cv Eureka). Plant Soil 1996, 183, 187–198. [Google Scholar] [CrossRef]
- Skarpa, P. Effect of boron foliar application at critical growth stages on sunflower (Helianthus annuus L.) yield and quality. J. Elem. 2013, 18, 449–459. [Google Scholar]
- Viçosi, K.A.; Carvalho, A.S.d.; Silva, D.C.; Almeida, F.P.; Ribeiro, D.; Flores, R.A. Foliar fertilization with boron on the growth, physiology, and yield of snap beans. J. Soil Sci. Plant Nutr. 2020, 1–8. [Google Scholar] [CrossRef]
- Jankowski, K.J.; Sokolski, M.; Dubis, B.; Krzebietke, S.; Zarczynski, P.; Hulanicki, P.; Hulanicki, P.S. Yield and quality of winter oilseed rape (Brassica napus L.) seeds in response to foliar application of boron. Agric. Food Sci. 2016, 25, 164–176. [Google Scholar] [CrossRef]
- Huang, L.B.; Bell, R.W.; Dell, B. Evidence of phloem boron transport in response to interrupted boron supply in white lupin (Lupinus albus L. cv. Kiev Mutant) at the reproductive stage. J. Exp. Bot. 2008, 59, 575–583. [Google Scholar] [CrossRef] [PubMed]
- Stangoulis, J.C.; Brown, P.H.; Bellaloui, N.; Reid, R.J.; Graham, R.D. The efficiency of boron utilisation in canola. Funct. Plant Biol. 2001, 28, 1109–1114. [Google Scholar] [CrossRef]
- Liu, G.-D.; Wang, R.-D.; Wu, L.-S.; Peng, S.-A.; Wang, Y.-H.; Jiang, C.-C. Boron distribution and mobility in navel orange grafted on citrange and trifoliate orange. Plant Soil 2012, 360, 123–133. [Google Scholar] [CrossRef]
- Hajiboland, R.; Farhanghi, F. Remobilization of boron, photosynthesis, phenolic metabolism and anti-oxidant defense capacity in boron-deficient turnip (Brassica rapa L.) plants. Soil Sci. Plant Nutr. 2010, 56, 427–437. [Google Scholar] [CrossRef]
- Konsaeng, S.; Dell, B.; Rerkasem, B. Boron mobility in peanut (Arachis hypogaea L.). Plant Soil 2010, 330, 281–289. [Google Scholar] [CrossRef]
- Bergmann, W. Nutritional disorders of plants: Development, Visual and Analytical Diagnosis; Gustav Fischer Verlag: Jena, Germany, 1992. [Google Scholar]
- Hossain, M.F.; Pan, S.G.; Duan, M.Y.; Mo, Z.W.; Karbo, M.B.; Bano, A.; Tang, X.R. Photosynthesis and antioxidant response to winter rapeseed (Brassica napus L.) as affected by boron. Pak. J. Bot. 2015, 47, 675–684. [Google Scholar]
- Fernández, V.; Eichert, T. Uptake of hydrophilic solutes through plant leaves: Current state of knowledge and perspectives of foliar fertilization. Crit. Rev. Plant Sci. 2009, 28, 36–68. [Google Scholar] [CrossRef]
- Miwa, K.; Wakuta, S.; Takada, S.; Ide, K.; Takano, J.; Naito, S.; Omori, H.; Matsunaga, T.; Fujiwara, T. Roles of BOR2, a boron exporter, in cross linking of rhamnogalacturonan II and root elongation under boron limitation in Arabidopsis. Plant Physiol. 2013, 163, 1699–1709. [Google Scholar] [CrossRef]
- Hegazi, E.S.; El-Motaium, R.A.; Yehia, T.A.; Hashim, M.E. Effect of foliar boron application on boron, chlorophyll, phenol, sugars and hormones concentration of olive (Olea europaea L.) buds, leaves, and fruits. J. Plant Nutr. 2018, 41, 749–765. [Google Scholar] [CrossRef]
- Zhao, D.; Oosterhuis, D.M. Cotton carbon exchange, nonstructural carbohydrates, and boron distribution in tissues during development of boron deficiency. Field Crops Res. 2002, 78, 75–87. [Google Scholar] [CrossRef]
- Feng, Y.N.; Cui, R.; Wang, S.L.; He, M.L.; Hua, Y.P.; Shi, L.; Ye, X.S.; Xu, F.S. Transcription factor BnaA9.WRKY47 contributes to the adaptation of Brassica napus to low boron stress by up-regulating the boric acid channel gene BnaA3.NIP5;1. Plant Biotechnol. J. 2020, 18, 1241–1254. [Google Scholar] [CrossRef] [PubMed]
- Dinh, A.Q.; Naeem, A.; Sagervanshi, A.; Wimmer, M.A.; Mühling, K.H. Boron uptake and distribution by oilseed rape (Brassica napus L.) as affected by different nitrogen forms under low and high boron supply. Plant Physiol. Biochem. 2021, 161, 156–165. [Google Scholar] [CrossRef]
- Wang, S.L.; Yoshinari, A.; Shimada, T.; Hara-Nishimura, I.; Mitani-Ueno, N.; Ma, J.F.; Naito, S.; Takano, J. Polar Localization of the NIP5;1 Boric Acid Channel Is Maintained by Endocytosis and Facilitates Boron Transport in Arabidopsis Roots. Plant Cell 2017, 29, 824–842. [Google Scholar] [CrossRef] [PubMed]
- Wu, X.; Riaz, M.; Yan, L.; Jiang, C. Distribution and mobility of foliar-applied boron (10B) in citrange rootstock under different boron conditions. J. Plant Growth Regul. 2020, 39, 575–582. [Google Scholar] [CrossRef]
- Shah, S.; Karunarathna, N.L.; Jung, C.; Emrani, N. An APETALA1 ortholog affects plant architecture and seed yield component in oilseed rape (Brassica napus L.). BMC Plant Biol. 2018, 18, 380. [Google Scholar] [CrossRef]
- Livak, K.J.; Schmittgen, T.D. Analysis of relative gene expression data using real-time quantitative PCR and the 2(T)(-Delta Delta C) method. Methods 2001, 25, 402–408. [Google Scholar] [CrossRef] [PubMed]
Publisher’s Note: MDPI stays neutral with regard to jurisdictiofnal claims in published maps and institutional affiliations. |






Publisher’s Note: MDPI stays neutral with regard to jurisdictional claims in published maps and institutional affiliations. |
© 2021 by the authors. Licensee MDPI, Basel, Switzerland. This article is an open access article distributed under the terms and conditions of the Creative Commons Attribution (CC BY) license (https://creativecommons.org/licenses/by/4.0/).
Share and Cite
Dinh, A.Q.; Naeem, A.; Sagervanshi, A.; Mühling, K.H. One-Time Foliar Application and Continuous Resupply via Roots Equally Improved the Growth and Physiological Response of B-Deficient Oilseed Rape. Plants 2021, 10, 866. https://doi.org/10.3390/plants10050866
Dinh AQ, Naeem A, Sagervanshi A, Mühling KH. One-Time Foliar Application and Continuous Resupply via Roots Equally Improved the Growth and Physiological Response of B-Deficient Oilseed Rape. Plants. 2021; 10(5):866. https://doi.org/10.3390/plants10050866
Chicago/Turabian StyleDinh, Anh Quang, Asif Naeem, Amit Sagervanshi, and Karl H. Mühling. 2021. "One-Time Foliar Application and Continuous Resupply via Roots Equally Improved the Growth and Physiological Response of B-Deficient Oilseed Rape" Plants 10, no. 5: 866. https://doi.org/10.3390/plants10050866
APA StyleDinh, A. Q., Naeem, A., Sagervanshi, A., & Mühling, K. H. (2021). One-Time Foliar Application and Continuous Resupply via Roots Equally Improved the Growth and Physiological Response of B-Deficient Oilseed Rape. Plants, 10(5), 866. https://doi.org/10.3390/plants10050866

