Oxidative Status and Antioxidative Response to Fusarium Attack and Different Nitrogen Levels in Winter Wheat Varieties
Abstract
1. Introduction
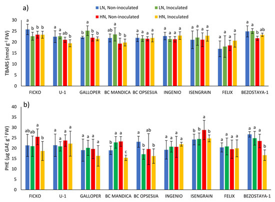
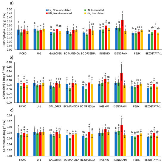
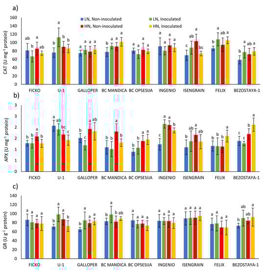
2. Results
3. Discussion
4. Materials and Methods
4.1. Field Trial
4.2. Inoculum Production, Inoculation Procedure, and Disease Evaluation
4.3. Sample Preparation and Measurements
4.4. Determination of Lipid Peroxidation Level
4.5. Determination of the Soluble Phenolic Content
4.6. Enzyme Activities
4.7. Determination of Photosynthetic Pigment Concentration
4.8. Statistical Analysis
Author Contributions
Funding
Institutional Review Board Statement
Informed Consent Statement
Data Availability Statement
Conflicts of Interest
References
- Duveiller, E.; Singh, R.P.; Nicol, J.M. The challenges of maintaining wheat productivity: Pests, diseases, and potential epidemics. Euphytica 2007, 157, 417–430. [Google Scholar] [CrossRef]
- Tabak, M.; Lepiarczyk, A.; Filipek-Mazur, B.; Lisowska, A. Efficiency of Nitrogen Fertilization of Winter Wheat Depending on Sulfur Fertilization. Agronomy 2020, 10, 1304. [Google Scholar] [CrossRef]
- Liu, X.; Wang, S.; Deng, X.; Zhang, Z.; Yin, L. Comprehensive evaluation of physiological traits under nitrogen stress and participation of linolenic acid in nitrogen-deficiency response in wheat seedlings. BMC Plant Biol. 2020, 20, 501. [Google Scholar] [CrossRef] [PubMed]
- Buerstmayr, M.; Steiner, B.; Buerstmayr, H. Breeding for Fusarium head blight resistance in wheat—Progress and challenges. Plant Breed. 2020, 139, 429–454. [Google Scholar] [CrossRef]
- Savary, S.; Willocquet, L.; Pethybridge, S.J.; Esker, P.; McRoberts, N.; Nelson, A. The global burden of pathogens and pests on major food crops. Nat. Ecol. Evol. 2019, 3, 430–439. [Google Scholar] [CrossRef] [PubMed]
- Ćosić, J.; Vrandečić, K.; Svitlica, B. Fusarium vrste izolirane s pšenice i kukuruza u istočnoj Hrvatskoj. Poljoprivreda 2004, 10, 5–8. [Google Scholar]
- Cheeseman, J.M. Hydrogen peroxide and plant stress: A challenging relationship. Plant Stress 2007, 1, 4–15. [Google Scholar]
- Hasanuzzaman, M.; Bhuyan, M.H.M.B.; Zulfiqar, F.; Raza, A.; Mohsin, S.M.; Mahmud, J.A.; Fujita, M.; Fotopoulos, V. Reactive Oxygen Species and Antioxidant Defense in Plants under Abiotic Stress: Revisiting the Crucial Role of a Universal Defense Regulator. Antioxidants 2020, 9, 681. [Google Scholar] [CrossRef]
- Saddhe, A.A.; Malvankar, M.R.; Karle, S.B.; Kumar, K. Reactive nitrogen species: Paradigms of cellular signaling and regulation of salt stress in plants. Environ. Exp. Bot. 2019, 161, 86–97. [Google Scholar] [CrossRef]
- Ahmad, P.; Tripathi, D.K.; Deshmukh, R.; Singh, V.P.; Corpas, F.J. Revisiting the role of ROS and RNS in plants under changing environment. Environ. Exp. Bot. 2019, 161, 1–3. [Google Scholar] [CrossRef]
- Groß, F.; Durner, J.; Gaupels, F. Nitric oxide, antioxidants and prooxidants in plant defence responses. Front. Plant Sci. 2013, 4, 419. [Google Scholar] [CrossRef] [PubMed]
- Peterson, R.K.; Higley, L.G. Biotic Stress and Yield Loss, 1st ed.; CRC Press: Washington, DC, USA, 2000; p. 261. ISBN 0-8493-1145-4. [Google Scholar]
- Španić, V.; Viljevac Vuletić, M.; Abičić, I.; Marček, T. Early response of wheat antioxidant system with special reference to Fusarium head blight stress. Plant Physiol. Biochem. 2017, 115, 34–43. [Google Scholar] [CrossRef] [PubMed]
- Khaledi, N.; Taheri, P.; Falahati-Rastegar, M. Evaluation of resistance and the role of some defense responses in wheat cultivars to Fusarium head blight. J. Plant Prot. Res. 2018, 57, 205–217. [Google Scholar] [CrossRef][Green Version]
- Marček, T.; Viljevac Vuletić, M.; Bakula, I.; Alivojvodić, S.; Španić, V. Time-course experiment of Fusarium infestation of wheat genotypes with the emphasis on the physiological response. Croat. J. Food Sci. Technol. 2018, 10, 58–63. [Google Scholar] [CrossRef]
- Lemmens, M.; Haim, K.; Lew, H.; Ruckenbauer, P. The effect of nitrogen fertilization on Fusarium head blight development and deoxynivalenol contamination in wheat. J. Phytopathol. 2004, 152, 1–8. [Google Scholar] [CrossRef]
- Suproniene, S.; Mankeviciene, A.; Kadziene, G. The effect of different tillage-fertilization practices on the mycoflora of wheat grains. Agric. Food Sci. 2011, 20, 315–326. [Google Scholar] [CrossRef]
- Vrandečić, K.; Jug, D.; Ćosić, J.; Ilić, J.; Jug, I. The impact of different conservation soil tillage and nitrogen fertilization on wheat grain infection with Fusarium sp. Poljoprivreda 2019, 25, 26–31. [Google Scholar] [CrossRef]
- Yoshida, M.; Nakajima, T.; Tonooka, T. Effect of nitrogen application at anthesis on Fusarium head blight and mycotoxin accumulation in breadmaking wheat in the western part of Japan. J. Gen. Plant Pathol. 2008, 74, 355. [Google Scholar] [CrossRef]
- Van der Burgt, G.J.H.M.; Timmermans, B.G.H.; Scholberg, J.M.S.; Osman, A.M. Fusarium head blight and deoxynivalenol contamination in wheat as affected by nitrogen fertilization. NJAS Wagening. J. Life Sci. 2011, 58, 123–129. [Google Scholar] [CrossRef]
- Krnjaja, V.; Mandić, V.; Lević, J.; Stanković, S.; Petrović, T.; Vasić, T.; Obradović, A. Influence of N-fertilization on Fusarium head blight and mycotoxin levels in winter wheat. Crop. Prot. 2015, 67, 251–256. [Google Scholar] [CrossRef]
- Jiang, Y.; Huang, B. Drought and heat stress injury to two cool-season turfgrasses in relation to antioxidant metabolism and lipid peroxidation. Crop. Sci. 2001, 41, 436–442. [Google Scholar] [CrossRef]
- Rampino, P.; Mita, G.; Fasano, P.; Borrelli, G.M.; Aprile, A.; Dalessandro, G.; De Bellis, L.; Perrotta, C. Novel durum wheat genes up-regulated in response to a combination of heat and drought stress. Plant Physiol. Biochem. 2012, 56, 72–78. [Google Scholar] [CrossRef]
- Haworth, M.; Marino, G.; Brunetti, C.; Killi, D.; De Carlo, A.; Centritto, M. The impact of heat stress and water deficit on the photosynthetic and stomatal physiology of olive (Olea europaea L.)—A case study of the 2017 heat wave. Plants 2018, 7, 76. [Google Scholar] [CrossRef]
- Sorahinobar, M.; Niknam, V.; Ebrahimzadeh, H.; Soltanloo, H. Differential antioxidative responses of susceptible and resistant wheat cultivars against Fusarium head blight. Intl. J. Farm. Allied Sci. 2015, 4, 239–243. [Google Scholar]
- Khaledi, N.; Taheri, P.; Falahati-Rastegar, M. Reactive oxygen species and antioxidant system responses in wheat cultivars during interaction with Fusarium species. Australasian Plant Pathol. 2016, 45, 653–670. [Google Scholar] [CrossRef]
- Datta, J.; Lal, N. Temporal and spatial changes in phenolic compounds in response to Fusarium wilt in chickpea and pigeonpea. Cell. Mol. Biol. 2012, 58, 96–102. [Google Scholar] [CrossRef] [PubMed]
- Sharma, A.; Shahzad, B.; Rehman, A.; Bhardwaj, R.; Landi, M.; Zheng, B. Response of phenylpropanoid pathway and the role of polyphenols in plants under abiotic stress. Molecules 2019, 24, 2452. [Google Scholar] [CrossRef]
- Lobato, A.K.S.; Gonçalves-Vidigal, M.C.; Vidigal Filho, P.S.; Andrade, C.A.B.; Kvitschal, M.V.; Bonato, C.M. Relationships between leaf pigments and photosynthesis in common bean plants infected by anthracnose. N. Z. J. Crop. Hortic. Sci. 2010, 38, 29–37. [Google Scholar] [CrossRef]
- Singh, P.; Jaiswal, S.; Sheokand, S.; Duhan, S. Morpho-physiological and oxidative responses of nitrogen and phosphorus deficiency in wheat (Triticum aestivum L.). Indian J. Agric. Res. 2018, 52. [Google Scholar] [CrossRef]
- Kandlbinder, A.; Finkemeier, I.; Wormuth, D.; Hanitzsch, M.; Dietz, K.J. The antioxidant status of photosynthesizing leaves under nutrient deficiency: Redox regulation, gene expression and antioxidant activity in Arabidopsis thaliana. Physiol. Plant 2004, 120, 63–73. [Google Scholar] [CrossRef]
- Lin, Y.L.; Chao, Y.Y.; Huang, W.D.; Kao, C.H. Effect of nitrogen deficiency on antioxidant status and Cd toxicity in rice seedlings. Plant Growth Regul. 2011, 64, 263–273. [Google Scholar] [CrossRef]
- Ibrahim, M.H.; Jaafar, H.Z.; Rahmat, A.; Rahman, Z.A. Effects of nitrogen fertilization on synthesis of primary and secondary metabolites in three varieties of kacip fatimah (Labisia pumila Blume). Int. J. Mol. Sci. 2011, 12, 5238–5254. [Google Scholar] [CrossRef]
- Munene, R.; Changamu, E.; Korir, N.; Joseph, G.O. Effects of different nitrogen forms on growth, phenolics, flavonoids and antioxidant activity in amaranth species. Trop. Plant Res. 2017, 4, 81–89. [Google Scholar] [CrossRef]
- Deng, B.; Li, Y.; Xu, D.; Ye, Q.; Liu, G. Nitrogen availability alters flavonoid accumulation in Cyclocarya paliurus via the effects on the internal carbon/nitrogen balance. Sci. Rep. 2019, 9, 2370. [Google Scholar] [CrossRef]
- Laza, R.C.; Bergman, B.; Vergara, B.S. Cultivar differences in growth and chloroplast ultrastructure in rice as affected by nitrogen. J. Exp. Bot. 1993, 44, 1643–1648. [Google Scholar] [CrossRef]
- Boussadia, O.; Steppe, K.; Zgallai, H.; El Hadj, S.B.; Braham, M.; Lemeur, R.; Van Labeke, M.C. Effects of nitrogen deficiency on leaf photosynthesis, carbohydrate status and biomass production in two olive cultivars ‘Meski’and ‘Koroneiki’. Sci. Hortic. 2010, 123, 336–342. [Google Scholar] [CrossRef]
- Prinsi, B.; Negrini, N.; Morgutti, S.; Espen, L. Nitrogen Starvation and Nitrate or Ammonium Availability Differently Affect Phenolic Composition in Green and Purple Basil. Agronomy 2020, 10, 498. [Google Scholar] [CrossRef]
- Snijders, C.H.A.; Van Eeuwijk, F.A. Genotype x strain interactions for resistance to Fusarium head blight caused by Fusarium culmorum in winter wheat. Theor. Appl. Genet. 1991, 81, 239–244. [Google Scholar] [CrossRef]
- Anonymous. Foliar and ear diseases on cereals. EPPO Bull. 2012, 42, 419–425. [Google Scholar] [CrossRef]
- Verma, S.; Dubey, R.S. Lead toxicity induces lipid peroxidation and alters the activities of antioxidant enzymes in growing rice plants. Plant Sci. 2003, 164, 645–655. [Google Scholar] [CrossRef]
- Folin, O.; Ciocalteu, V. On tyrosine and tryptophane determinations in proteins. J. Biol. Chem. 1927, 73, 627–650. [Google Scholar] [CrossRef]
- Bradford, M.M. A rapid and sensitive method for the quantitation of microgram quantities of protein utilizing the principle of protein-dye binding. Anal. Biochem. 1976, 72, 248–254. [Google Scholar] [CrossRef]
- Aebi, H. Catalase in vitro. Methods Enzymol. 1984, 105, 121–126. [Google Scholar]
- Nakano, Y.; Asada, K. Hydrogen peroxide is scavenged by ascorbate specific peroxidase in spinach chloroplasts. Plant Cell Physiol. 1981, 22, 867–880. [Google Scholar] [CrossRef]
- Halliwell, B.; Foyer, C.H. Properties and physiological function of a glutathione reductase purified from spinach leaves by affinity chromatography. Planta 1978, 139, 9–17. [Google Scholar] [CrossRef] [PubMed]
- Lichtenthaler, H.K. Chlorophylls and carotenoids: Pigments of photosynthetic biomembranes. Methods Enzymol. 1987, 148, 350–382. [Google Scholar] [CrossRef]



| MS | |||||||
|---|---|---|---|---|---|---|---|
| Source of Variation | df | VS2 | TBARS | PHE | CAT | APX | GR |
| VARIETY (V) | 8 | 0.08 *** | 59.92 *** | 108.02 *** | 1700.63 *** | 1.295 *** | 719.05 *** |
| N LEVEL (N) | 1 | 0.04 * | 43.73 ** | 20.51 ns | 1215.25 ** | 4.227 *** | 180.06 ns |
| FUSARIUM (F) | 1 | 23.02 *** | 11.62 ns | 190.55 *** | 669.20 * | 0.001 ns | 733.05 * |
| V×N | 8 | 0.14 *** | 17.14 *** | 38.75 * | 163.39 ns | 0.571 *** | 176.72 ns |
| V×F | 8 | 0.08 *** | 6.78 ns | 25.96 ns | 801.97 *** | 0.307 *** | 299.44 ns |
| N×F | 1 | 0.04 * | 2.31 ns | 153.85 ** | 1769.33 *** | 0.338 * | 808.47 * |
| V×N×F | 8 | 0.14 *** | 7.16 ns | 27.53 ns | 579.37 *** | 0.439 *** | 321.27 ns |
| Visual Scores (in Percentage Inoculated Spikes) | |||||||||
|---|---|---|---|---|---|---|---|---|---|
| N level | Ficko | U-1 | Galloper | BC Mandica | BC Opsesija | Ingenio | Isengrain | Felix | Bezostaya-1 |
| LN | 6.67 ± 1.53 b | 8.00 ± 1.00 a | 3.33 ± 1.53 b | 9.00 ± 5.29 a | 20.00 ± 10.00 a | 10.33 ± 4.51 a | 10.00 ± 0.00 a | 8.33 ± 2.89 b | 5.00 ± 0.00 a |
| HN | 25.00 ± 5.00 a | 3.33 ± 0.58 b | 10.00 ± 0.00 a | 7.00 ± 2.65 a | 4.33 ± 0.58 a | 10.33 ± 4.51 a | 8.33 ± 2.89 a | 32.67 ± 2.52 a | 8.00 ± 2.00 a |
| MS | ||||||
|---|---|---|---|---|---|---|
| Source of Variation | df | Chl a | Chl b | Chl a+b | Car | Chl a/Chl b |
| VARIETY (V) | 8 | 0.0128 *** | 0.0015 *** | 0.0228 *** | 0.0008 *** | 0.0745 ** |
| N LEVEL (N) | 1 | 0.0363 *** | 0.0058 *** | 0.0712 *** | 0.0019 *** | 0.1192 * |
| FUSARIUM (F) | 1 | 0.0204 *** | 0.0033 *** | 0.0402 *** | 0.0014 *** | 0.0592 ns |
| V × N | 8 | 0.0011 ns | 0.0002 ns | 0.0022 ns | 0.0001 ns | 0.0217 ns |
| V × F | 8 | 0.0025 * | 0.0004 * | 0.0050 * | 0.0002 ns | 0.0258 ns |
| N × F | 1 | 0.0028 ns | 0.0003 ns | 0.0049 ns | 0.0002 ns | 0.0059 ns |
| V × N × F | 8 | 0.0049 *** | 0.0008 *** | 0.0097 *** | 0.0003 *** | 0.0229 ns |
| Variety | Country | Breeding Institution | Year of Release |
|---|---|---|---|
| BC Mandica | Croatia | Bc Institut d.d. Zagreb | 2015 |
| BC Opsesija | Croatia | Bc Institut d.d. Zagreb | 2016 |
| Bezostaya-1 | Russia | Krasnodar Lukyanenko Research Institute | 1959 |
| Felix | Croatia | Agricultural Institute Osijek | 2007 |
| Ficko | Croatia | Agricultural Institute Osijek | 2007 |
| Galloper | Croatia | Agricultural Institute Osijek | 2014 |
| Ingenio | France | CC Benoist SA | 2010 |
| Isengrain | France | Florimond Desprez Veuve et Fils (FR) | 1997 |
| U-1 | Croatia | Agricultural Institute Osijek | 1936 |
| Location | Soil Type | Season | Residual Soil N (kg N ha−1) | Basic N Fertilization (kg N ha−1) | N Top-Dressing (kg N ha−1) | Total N (kg N ha−1) | ||
|---|---|---|---|---|---|---|---|---|
| LN | HN | LN | HN | |||||
| Osijek | Eutric cambisol | 2017/18 | 20 | 74 | 0 | 50 + 50 | 94 | 194 |
Publisher’s Note: MDPI stays neutral with regard to jurisdictional claims in published maps and institutional affiliations. |
© 2021 by the authors. Licensee MDPI, Basel, Switzerland. This article is an open access article distributed under the terms and conditions of the Creative Commons Attribution (CC BY) license (http://creativecommons.org/licenses/by/4.0/).
Share and Cite
Matić, M.; Vuković, R.; Vrandečić, K.; Štolfa Čamagajevac, I.; Ćosić, J.; Vuković, A.; Sabljić, K.; Sabo, N.; Dvojković, K.; Novoselović, D. Oxidative Status and Antioxidative Response to Fusarium Attack and Different Nitrogen Levels in Winter Wheat Varieties. Plants 2021, 10, 611. https://doi.org/10.3390/plants10040611
Matić M, Vuković R, Vrandečić K, Štolfa Čamagajevac I, Ćosić J, Vuković A, Sabljić K, Sabo N, Dvojković K, Novoselović D. Oxidative Status and Antioxidative Response to Fusarium Attack and Different Nitrogen Levels in Winter Wheat Varieties. Plants. 2021; 10(4):611. https://doi.org/10.3390/plants10040611
Chicago/Turabian StyleMatić, Magdalena, Rosemary Vuković, Karolina Vrandečić, Ivna Štolfa Čamagajevac, Jasenka Ćosić, Ana Vuković, Kristina Sabljić, Nikolina Sabo, Krešimir Dvojković, and Dario Novoselović. 2021. "Oxidative Status and Antioxidative Response to Fusarium Attack and Different Nitrogen Levels in Winter Wheat Varieties" Plants 10, no. 4: 611. https://doi.org/10.3390/plants10040611
APA StyleMatić, M., Vuković, R., Vrandečić, K., Štolfa Čamagajevac, I., Ćosić, J., Vuković, A., Sabljić, K., Sabo, N., Dvojković, K., & Novoselović, D. (2021). Oxidative Status and Antioxidative Response to Fusarium Attack and Different Nitrogen Levels in Winter Wheat Varieties. Plants, 10(4), 611. https://doi.org/10.3390/plants10040611

