Influence of Cerium Oxide Nanoparticles on Two Terrestrial Wild Plant Species
Abstract
1. Introduction
2. Results
2.1. Nanomaterial Characterization
2.2. nCeO2 in Plant Tissues
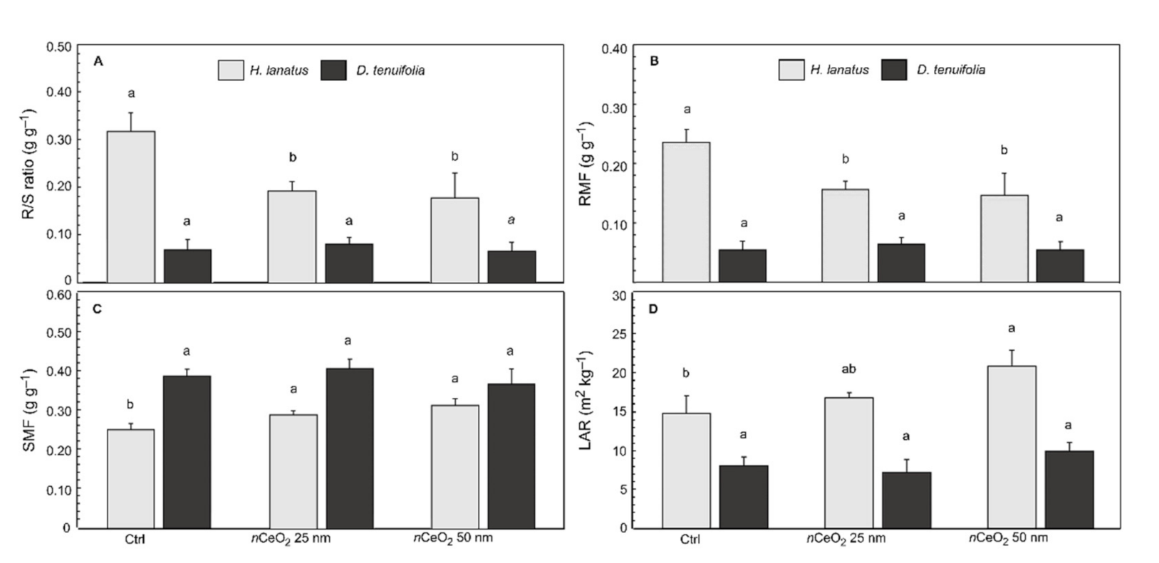
2.3. Plant Growth
2.4. Ce in Plant Fractions
2.5. Macro and Micronutrient Plant Uptake
3. Discussion
4. Materials and Methods
4.1. nCeO2 Characterization
4.2. Experimental Conditions
4.3. Detection of nCeO2 in Plant Fractions
4.4. Cerium Concentration in Plant Tissues
4.5. Calculations and Statistical Analysis
5. Conclusions
Supplementary Materials
Author Contributions
Funding
Institutional Review Board Statement
Informed Consent Statement
Data Availability Statement
Acknowledgments
Conflicts of Interest
References
- Bainbridge, W.S.; Roco, M.C. Science and technology convergence: With emphasis for nanotechnology-inspired convergence. J. Nanopart. Res. 2016, 18, 211. [Google Scholar] [CrossRef]
- Mortimer, M.; Holden, P.A. Fate of engineered nanomaterials in natural environments and impacts on ecosystems. In Exposure to Engineered Nanomaterials in the Environment, 1st ed.; Marmiroli, N., White, J.C., Song, J., Eds.; Elsevier: Amsterdam, The Netherlands, 2019; pp. 61–103. [Google Scholar] [CrossRef]
- Keller, A.A.; McFerran, S.; Lazareva, A.; Suh, S. Global life cycle releases of engineered nanomaterials. J. Nanopart. Res. 2013, 15, 1–17. [Google Scholar] [CrossRef]
- Holden, P.A.; Gardea-Torresdey, J.L.; Klaessig, F.; Turco, R.F.; Mortimer, M.; Hund-Rinke, K.; Cohen Hubal, E.A.; Avery, D.; Barceló, D.; Behra, R.; et al. Considerations of environmentally relevant test conditions for improved evaluation of ecological hazards of engineered nanomaterials. Environ. Sci. Technol. 2016, 50, 6124–6145. [Google Scholar] [CrossRef] [PubMed]
- Giese, B.; Klaessig, F.; Park, B.; Kaegi, R.; Steinfeldt, M.; Wigger, H.; von Gleich, A.; Gottschalk, F. Risks, release and con-centrations of engineered nanomaterial in the environment. Sci. Rep. 2018, 8, 1565. [Google Scholar] [CrossRef] [PubMed]
- Sun, T.Y.; Bornhöft, N.A.; Hungerbühler, K.; Nowack, B. Dynamic probabilistic modeling of environmental emissions of engineered nanomaterials. Environ. Sci. Technol. 2016, 50, 4701–4711. [Google Scholar] [CrossRef] [PubMed]
- Piccinno, F.; Gottschalk, F.; Seeger, S.; Nowack, B. Industrial production quantities and uses of ten engineered nanomaterials in Europe and the world. J. Nanopart. Res. 2012, 14, 1109. [Google Scholar] [CrossRef]
- Hamidat, M.; Barakat, M.; Ortet, P.; Chanéac, C.; Rose, J.; Bottero, J.Y.; Heulin, T.; Achouak, W.; Santaella, C. Design defines the effects of nanoceria at a low dose on soil microbiota and the potentiation of impacts by the canola plant. Environ. Sci. Technol. 2016, 50, 13–6892. [Google Scholar] [CrossRef] [PubMed]
- Meesters, J.A.J.; Quik, J.T.K.; Koelmans, A.A.; Hendriks, A.J.; van de Meent, D. Multimedia environmental fate and specia-tion of engineered nanoparticles: A probabilistic modelling approach. Environ. Sci. Nano 2016, 3, 715. [Google Scholar] [CrossRef]
- Cross, R.K.; Tyler, C.R.; Galloway, T.S. 2019. The fate of cerium oxide nanoparticles in sediments and their routes of uptake in a freshwater worm. Nanotoxicology 2019, 13, 894–908. [Google Scholar] [CrossRef] [PubMed]
- Gottschalk, F.; Lassen, C.; Kjoelholt, J.; Christensen, F.; Nowack, B. Modeling flows and concentrations of nine engineered nanomaterials in the Danish environment. Int. J. Environ. Res. Public. Health 2015, 12, 5581–5602. [Google Scholar] [CrossRef]
- Miralles, P.; Church, T.L.; Harris, A.T. Toxicity, uptake, and translocation of engineered nanomaterials in vascular plants. Environ. Sci. Technol. 2012, 46, 9224–9239. [Google Scholar] [CrossRef]
- Zhang, P.; Ma, Y.; Zhang, Z. Interactions between engineered nanomaterials and plants: Phytotoxicity, uptake, translocation, and biotransformation. In Nanotechnology and Plant Sciences; Siddiqui, M., Al-Whaibi, M., Mohammad, F., Eds.; Springer: Cham, Switzerland, 2015; pp. 77–99. [Google Scholar] [CrossRef]
- Zuverza-Mena, N.; Martínez-Fernández, D.; Du, W.; Hernandez-Viezcas, J.A.; Bonilla-Bird, N.; López-Moreno, L.M.; Komárek, M.; Peralta-Videa, J.R.; Gardea-Torresdey, J.L. Exposure of engineered nanomaterials to plants: Insights into the physiological and biochemical responses—A review. Plant Physiol. Biochem. 2017, 110, 236–264. [Google Scholar] [CrossRef]
- Lowry, G.V.; Avellan, A.; Gilbertson, L.M. Opportunities and challenges for nanotechnology in the agri-tech revolution. Nat. Nanotechnol. 2019, 14, 517–522. [Google Scholar] [CrossRef]
- Marchiol, L.; Iafisco, M.; Fellet, G.; Adamiano, A. Nanotechnology support the next agricultural revolution: Perspectives to enhancement of nutrient use efficiency. Adv. Agron. 2020, 161, 27–116. [Google Scholar] [CrossRef]
- Lizzi, D.; Mattiello, A.; Marchiol, L. Impacts of cerium oxide nanoparticles (nCeO2) on crop plants: A concentric overview. In Nanomaterials in Plants, Algae and Micro-Organisms. Concepts and Controversies; Tripathi, D.K., Ahmad, P., Sharma, S., Chauhan, D., Eds.; Elsevier: Amsterdam, The Netherlands, 2017; Volume 1, pp. 311–322. [Google Scholar] [CrossRef]
- Rico, C.M.; Lee, S.C.; Rubenecia, R.; Mukherjee, A.; Hong, J.; Peralta-Videa, J.R.; Gardea-Torresdey, J.L. Cerium oxide nanoparticles impact yield and modify nutritional parameters in wheat (Triticum aestivum L.). J. Agric. Food Chem. 2014, 62, 9669–9675. [Google Scholar] [CrossRef] [PubMed]
- Zhao, L.; Sun, Y.; Hernandez-Viezcas, J.A.; Hong, J.; Majumdar, S.; Niu, G.; Duarte-Gardea, M.O.; Peralta-Videa, J.R.; Gardea-Torresdey, J.L. Monitoring the environmental effects of CeO2 and ZnO nanoparticles through the life cycle of corn (Zea mays) plants and in situ µ-XRF mapping of nutrients in kernels. Environ. Sci. Technol. 2015, 49, 2921–2928. [Google Scholar] [CrossRef]
- Rico, C.M.; Barrios, A.C.; Tan, W.; Rubenecia, R.; Lee, S.C.; Varela-Ramirez, A.; Peralta-Videa, J.R.; Gardea-Torresdey, J.L. Physiological and biochemical response of soil-grown barley (Hordeum vulgare L.) to cerium oxide nanoparticles. Environ. Sci. Pollut. Res. 2015, 22, 10551–10558. [Google Scholar] [CrossRef] [PubMed]
- Marchiol, L.; Mattiello, A.; Pošćić, F.; Fellet, G.; Zavalloni, C.; Carlino, E.; Musetti, R. Changes in physiological and agronomical parameters of barley (Hordeum vulgare) exposed to cerium and titanium dioxide nanoparticles. Int. J. Environ. Res. Public Health 2016, 13, 332. [Google Scholar] [CrossRef]
- Priester, J.H.; Ge, Y.; Mielke, R.E.; Horst, A.M.; Moritz, S.C.; Espinosa, K.; Gelb, J.; Walker, S.L.; Nisbet, R.M.; An, Y.L.; et al. Soybean susceptibility to manufactured nanomaterials with evidence for food quality and soil fertility interruption. Proc. Natl. Acad. Sci. USA 2012, 109, E2451–E2456. [Google Scholar] [CrossRef] [PubMed]
- Zhao, L.; Sun, Y.; Hernandez-Viezcas, J.A.; Servin, A.D.; Hong, J.; Niu, G.; Peralta-Videa, J.R.; Duarte-Gardea, M.; Gardea-Torresdey, J.L. Influence of CeO2 and ZnO nanoparticles on cucumber physiological markers and bioaccumulation of Ce and Zn: A life cycle study. J. Agric. Food Chem. 2013, 61, 11945–11951. [Google Scholar] [CrossRef] [PubMed]
- Trujillo-Reyes, J.; Vilchis-Nestor, A.R.; Majumdar, S.; Peralta-Videa, J.R.; Gardea-Torresdey, J.L. Citric acid modifies surface properties of commercial CeO2 nanoparticles reducing their toxicity and cerium uptake in radish (Raphanus sativus) seedlings. J. Hazard. Mater. 2013, 263, 677–684. [Google Scholar] [CrossRef]
- Wang, Q.; Ma, X.; Zhang, W.; Peia, H.; Chen, Y. The impact of cerium oxide nanoparticles on tomato (Solanum lycopersicum L.) and its implications for food safety. Metallomics 2012, 4, 1105–1112. [Google Scholar] [CrossRef]
- Vittori Antisari, L.; Carbone, S.; Gatti, A.; Vianello, A.; Nannipieri, P. Uptake and translocation of metals and nutrients in tomato grown in soil polluted with metal oxide (CeO2, Fe3O4, SnO2, TiO2) or metallic (Ag, Co, Ni) engineered nanoparticles. Environ. Sci. Pollut. Res. 2015, 22, 1841–1853. [Google Scholar] [CrossRef]
- Barrios, A.C.; Rico, C.M.; Trujillo-Reyes, J.; Medina-Velo, I.A.; Peralta-Videa, J.R.; Gardea-Torresdey, J.L. Effects of uncoated and citric acid coated cerium oxide nanoparticles, bulk cerium oxide, cerium acetate, and citric acid on tomato plants. Sci. Total Environ. 2016, 563–564, 956–964. [Google Scholar] [CrossRef]
- Barrios, A.C.; Medina-Velo, I.A.; Zuverza-Mena, N.; Dominguez, O.E.; Peralta-Videa, J.R.; Gardea-Torresdey, J.L. Nutritional quality assessment of tomato fruits after exposure to uncoated and citric acid coated cerium oxide nanoparticles, bulk cerium oxide, cerium acetate and citric acid. Plant. Physiol. Biochem. 2017, 110, 100–107. [Google Scholar] [CrossRef] [PubMed]
- Adisa, O.; Rawat, S.; Laxma, V.; Pullagurala, R.; Dimkpa, C.O.; Elmer, W.H.; White, J.C.; Hernandez-Viezcas, J.A.; Peralta-Videa, J.R.; Gardea-Torresdey, J.L. Nutritional status of tomato (Solanum lycopersicum) fruit grown in Fusarium infested soil: Impact of cerium oxide nanoparticles. J. Agric. Food Chem. 2020, 68, 1986–1997. [Google Scholar] [CrossRef] [PubMed]
- Antonelli, A.; Fry, C.; Smith, R.J.; Simmonds, M.S.J.; Kersey, P.J.; Pritchard, H.W.; Abbo, M.S.; Acedo, C.; Adams, J.; Ainsworth, A.M.; et al. State of the World’s Plants and Fungi 2020; Royal Botanic Gardens: Kew, UK, 2020. [Google Scholar] [CrossRef]
- Reddy Pullagurala, V.L.; Adisa, I.O.; Rawat, S.; White, J.C.; Zuverza-Mena, N.; Hernandez-Viezcas, J.A.; Peralta-Videa, J.R.; Gardea-Torresdey, J.L. Fate of engineered nanomaterials in agroenvironments and impacts on agroecosystems. In Exposure to Engineered Nanomaterials in the Environment, 1st ed.; Marmiroli, N., White, J.C., Song, J., Eds.; Elsevier: Amsterdam, The Netherlands, 2019; pp. 105–142. [Google Scholar] [CrossRef]
- Ekperusia, O.; Sikokic, F.D.; Nwachukwud, E.O. Application of common duckweed (Lemna minor) in phytoremediation of chemicals in the environment: State and future perspective. Chemosphere 2019, 223, 285–309. [Google Scholar] [CrossRef] [PubMed]
- Geitner, N.K.; Cooper, J.L.; Avellan, A.; Castellon, B.T.; Perrotta, B.G.; Bossa, N.; Simonin, M.; Anderson, S.M.; Inoue, S.; Hochella, M.F.; et al. Size-based differential transport, uptake, and mass distribution of ceria (CeO2) nanoparticles in wetland mesocosms. Environ. Sci. Technol. 2018, 52, 9768–9776. [Google Scholar] [CrossRef]
- Yin, L.; Colman, B.P.; McGill, B.M.; Wright, J.P.; Bernhardt, E.S. Effects of silver nanoparticle exposure on germination and early growth of eleven wetland plants. PLoS ONE 2012, 7, e47674. [Google Scholar] [CrossRef] [PubMed]
- Aleksandrowicz-Trzcińska, M.; Bederska-Błaszczyk, M.; Szaniawski, A.; Olchowik, J.; Studnicki, M. The effects of copper and silver nanoparticles on container-grown Scots Pine (Pinus sylvestris L.) and Pedunculate Oak (Quercus robur L.) seedlings. Forests 2019, 10, 269. [Google Scholar] [CrossRef]
- Stace, C. New Flora of the British Isles; Cambridge University Press: Cambridge, UK, 1997. [Google Scholar]
- Thompson, J.D.; Turkington, R. The biology of Canadian weeds. 82. Holcus lanatus L. Can. J. Plant. Sci. 1988, 68, 131–147. [Google Scholar] [CrossRef]
- Tan, W.; Peralta-Videa, J.R.; Gardea-Torresdey, J.L. Interaction of titanium dioxide nanoparticles with soil components and plants: Current knowledge and future research needs-a critical review. Environ. Sci. Nano 2018, 5, 257–278. [Google Scholar] [CrossRef]
- Keller, A.A.; Huang, Y.; Nelson, J. Detection of nanoparticles in edible plant tissues exposed to nano-copper using single-particle ICP-MS. J. Nanopart. Res. 2018, 20, 101. [Google Scholar] [CrossRef]
- Giorgi, F.; Coglitore, D.; Curran, J.M.; Gilliland, D.; Macko, P.; Whelan, M.; Worth, A.; Patterson, E.A. The influence of inter-particle forces on diffusion at the nanoscale. Sci. Rep. 2019, 9, 12689. [Google Scholar] [CrossRef] [PubMed]
- Tian, X.; Chong, Y.; Ge, C. Understanding the nano–bio interactions and the corresponding biological responses. Front. Chem. 2020, 8, 446. [Google Scholar] [CrossRef] [PubMed]
- Spielman-Sun, E.; Avellan, A.; Bland, G.D.; Tappero, R.V.; Acerbo, A.S.; Unrine, J.M.; Giraldo, J.P.; Lowry, G.V. Nanoparticle surface charge influences translocation and leaf distribution in vascular plants with contrasting anatomy. Environ. Sci. Nano 2019, 6, 2508–2519. [Google Scholar] [CrossRef]
- Zhang, W.; Dan, Y.; Shi, H.; Ma, X. Elucidating the mechanisms for plant uptake and in-planta speciation of cerium in radish (Raphanus sativus L.) treated with cerium oxide nanoparticles. J. Environ. Chem. Eng. 2017, 5, 572–577. [Google Scholar] [CrossRef]
- Avellan, A.; Schwab, F.; Masion, A.; Chaurand, P.; Borschneck, D.; Vidal, V.; Rose, J.; Santaella, C.; Levard, C. Nanoparticle uptake in plants: Gold nanomaterial localized in roots of Arabidopsis thaliana by x-ray computed nanotomography and hyperspectral imaging. Environ. Sci. Technol. 2017, 51, 8682–8691. [Google Scholar] [CrossRef] [PubMed]
- Slomberg, D.L.; Schoenfisch, H.M. Silica nanoparticle phytotoxicity to Arabidopsis thaliana. Environ. Sci. Technol. 2012, 46, 10247–10254. [Google Scholar] [CrossRef]
- Larue, C.; Laurette, J.; Herlin-Boime, N.; Khodja, H.; Fayard, B.; Flank, A.M.; Brisset, F.; Carriere, M. Accumulation, translocation and impact of TiO2 nanoparticles in wheat (Triticum aestivum spp.): Influence of diameter and crystal phase. Sci. Total Environ. 2012, 431, 197–208. [Google Scholar] [CrossRef]
- Kińska, K.; Jiménez-Lamana, J.; Kowalska, J.; Krasnodębska-Ostręga, B.; Szpunar, J. Study of the uptake and bioaccumulation of palladium nanoparticles by Sinapis alba using single particle ICP-MS. Sci. Total Environ. 2018, 615, 1078–1085. [Google Scholar] [CrossRef]
- Wojcieszek, J.; Jiménez-Lamana, J.; Bierła, K.; Ruzik, L.; Asztemborska, M.; Jarosz, M.; Szpunar, J. Uptake, translocation, size characterization and localization of cerium oxide nanoparticles in radish (Raphanus sativus L.). Sci. Total Environ. 2019, 683, 284–292. [Google Scholar] [CrossRef]
- Wojcieszek, J.; Jiménez-Lamana, J.; Ruzik, L.; Asztemborska, M.; Jarosz, M.; Szpunar, J. Characterization of TiO2 NPs in Radish (Raphanus sativus L.) by Single-Particle ICP-QQQ-MS. Front. Environ. Sci. 2020, 8, 1–12. [Google Scholar] [CrossRef]
- Nair, R.; Varghese, S.H.; Nair, B.G.; Maekawa, T.; Yoshida, Y.; Kumar, D.S. Nanoparticulate material delivery to plants. Plant Sci. 2010, 179, 154–163. [Google Scholar] [CrossRef]
- Scarpella, E.; Meijer, A.H. Pattern formation in the vascular system of monocot and dicot plant species. New Phytol. 2004, 164, 209–242. [Google Scholar] [CrossRef]
- Schwabe, F.; Tanner, S.; Schulin, R.; Rotzetter, A.; Stark, W.; Von Quadt, A.; Nowack, B. Dissolved cerium contributes to uptake of Ce in the presence of differently sized CeO2-nanoparticles by three crop plants. Metallomics 2015, 7, 466–477. [Google Scholar] [CrossRef] [PubMed]
- Ramos, S.J.; Dinali, G.S.; Oliveira, C.; Martins, G.C.; Moreira, C.G.; Siqueira, J.O.; Guilherme, L.R.G. Rare earth elements in the soil environment. Curr. Pollut. Rep. 2016, 2, 28–50. [Google Scholar] [CrossRef]
- Liu, D.; Wang, X.; Lin, Y.; Chen, Z.; Xu, H.; Wang, L. The effects of cerium on the growth and some antioxidant metabolisms in rice seedlings. Environ. Sci. Pollut. Res. 2012, 19, 3282–3291. [Google Scholar] [CrossRef]
- Rico, M.; Morales, M.I.; Barrios, A.C.; McCreary, R.; Hong, J.; Lee, W.-Y.; Nunez, J.; Peralta-Videa, J.R.; Gardea-Torresdey, J.L. Effect of cerium oxide nanoparticles on the quality of rice (Oryza sativa L.) grains. J. Agric. Food Chem. 2013, 61, 11278–11285. [Google Scholar] [CrossRef]
- Pošćić, F.; Mattiello, A.; Fellet, G.; Miceli, F.; Marchiol, L. Effects of cerium and titanium oxide nanoparticles in soil on the nutrient composition of barley (Hordeum vulgare L.) kernels. Int. J. Environ. Res. Pub. Health 2016, 13, 577. [Google Scholar] [CrossRef] [PubMed]
- Rico, M.; Johnson, M.G.; Matthew, M.A.; Andersen, C.P. Intergenerational responses of wheat (Triticum aestivum L.) to cerium oxide nanoparticles exposure. Environ. Sci. Nano 2017, 4, 700–711. [Google Scholar] [CrossRef] [PubMed]
- Zhao, L.; Peralta-Videa, J.R.; Rico, C.M.; Hernandez-Viezcas, J.A.; Sun, Y.; Niu, G.; Servin, A.; Nunez, J.E.; Duarte-Gardea, M.; Gardea-Torresdey, J.L. CeO2 and ZnO nanoparticles change the nutritional qualities of cucumber (Cucumis sativus). J. Agric. Food. Chem. 2014, 62, 2752–2759. [Google Scholar] [CrossRef]
- Gui, X.; He, X.; Ma, Y.; Zhang, P.; Li, Y.; Ding, Y.; Yang, K.; Li, H.; Rui, Y.; Chai, Z.; et al. Quantifying the distribution of ceria nanoparticles in cucumber roots: The influence of labeling. RSC Adv. 2015, 5, 4554–4560. [Google Scholar] [CrossRef]
- Peralta-Videa, R.; Hernandez-Viezcas, J.A.; Zhao, L.; Diaz, B.C.; Ge, Y.; Priester, J.H.; Holden, P.A.; Gardea-Torresdey, J.L. Cerium dioxide and zinc oxide, nanoparticles alter the nutritional value of soil cultivated soybean plants. Plant Physiol. Biochem. 2014, 80, 128–135. [Google Scholar] [CrossRef] [PubMed]
- Elhawat, N.; Alshaal, T.; Hamad, E.; El-Nahrawy, E.; El-Dein Omara, A.; El-Nahrawy, S.; Elsakhawy, T.; Ghazi, A.; Abdalla, N.; Domokos-Szabolcsy, E.; et al. Nanoparticle-associated phytotoxicity and abiotic stress under agroecosystems. In Phytotoxicity of Nanoparticles; Faisal, M., Saquib, Q., Alatar, A., Al-Khedhairy, A., Eds.; Springer: Cham, Switzerland, 2018; pp. 241–268. [Google Scholar] [CrossRef]
- Jiménez-Lamana, J.; Wojcieszek, J.; Jakubiak, M.; Asztemborska, M.; Szpunar, J. Single particle ICP-MS characterization of platinum nanoparticles uptake and bioaccumulation by Lepidium sativum and Sinapis alba plants. J. Anal. At. Spectrom. 2016, 31, 2321–2329. [Google Scholar] [CrossRef]
- US EPA. EPA Method 3052. Microwave assisted acid digestion of siliceous and organically based matrices in US Environmental Protection Agency. In Test Methods for Evaluating Solid Waste; US EPA: Washington, DC, USA, 1995. [Google Scholar]




| Treatment | Ce Roots | Ce Stems | Ce Leaves | |||
|---|---|---|---|---|---|---|
| H. lanatus | D. tenuifolia | H. lanatus | D. tenuifolia | H. lanatus | D. tenuifolia | |
| Ctrl | 822 ± 241c | 305 ± 197c | 456 ± 127a | 225 ± 180b | 625 ± 231a | 145 ± 158b |
| nCeO2 25 nm | 16,079 ± 5601a | 9392 ± 2797a | 556 ± 257a | 140 ± 55.7b | 165 ± 191a | 99.6 ± 129b |
| nCeO2 50 nm | 5273 ± 1926b | 3037 ± 666b | 661 ± 472a | 886 ± 85.4a | 496 ± 298a | 1044 ± 195a |
| Mean | 7391 ± 7413 | 4244 ± 4287 * | 558 ±290 | 417 ± 369 ns | 429 ± 279 | 430 ± 482ns |
| Treatment | K | Mg | Na | P | ||||
|---|---|---|---|---|---|---|---|---|
| H. lanatus | D. tenuifolia | H. lanatus | D. tenuifolia | H. lanatus | D. tenuifolia | H. lanatus | D. tenuifolia | |
| Roots | ||||||||
| Ctrl | 5500 ± 657a | 14,777 ± 743a | 633 ± 81.8a | 1302 ± 87.4a | 331 ± 79.8b | 187 ± 98.7a | 1224 ± 136a | 6669 ± 840a |
| nCeO2 25 nm | 6869 ± 1352a | 13,288 ± 2805a | 588 ± 35.4ab | 1551 ± 334a | 390 ± 125ab | 249 ± 123a | 1465 ± 125a | 5969 ± 1487a |
| nCeO2 50 nm | 5881 ± 791a | 16,545 ± 2015a | 490 ± 33.5b | 1780 ± 355a | 686 ± 191a | 406 ± 100a | 1363 ± 108a | 7659 ± 742 a |
| Mean | 6084 ± 1047 | 14,870 ± 2413 *** | 570 ± 79.2 | 1544 ± 337 *** | 469 ± 204 | 281 ± 129 * | 1351 ± 150 | 6766 ± 1230 *** |
| Stems | ||||||||
| Ctrl | 28,927 ± 2252a | 23,694 ± 2802a | 1032 ± 110a | 1014 ± 394a | 115 ± 11.7ab | 265 ± 142a | 2836 ± 287a | 3431 ± 737a |
| nCeO2 25 nm | 31,580 ± 2978a | 22,466 ± 3856a | 1114 ± 10.4a | 878 ± 277a | 95.5 ± 9.12b | 318 ± 29.6a | 2524 ± 167a | 2875 ± 9.76a |
| nCeO2 50 nm | 32,065 ± 3806a | 26,355 ± 663a | 1117 ± 37.7a | 932 ± 208a | 128 ± 15.2a | 519 ± 267a | 2668 ± 291a | 3402 ± 661a |
| Mean | 30,857 ± 3041 | 24,172 ± 2964 *** | 1088 ± 71.9 | 941 ± 194ns | 113 ± 17.8 | 368 ± 176 *** | 2676 ± 259 | 3234 ± 437 * |
| Leaves | ||||||||
| Ctrl | 31,314 ± 2192a | 30,115 ± 4571a | 1547 ± 80.9a | 2312 ± 313a | 150 ± 46.6a | 1249 ± 325a | 3671 ± 462a | 3138 ± 628a |
| nCeO2 25 nm | 32,772 ± 2096a | 22,672 ± 3176a | 1397 ± 51.9a | 2459 ± 94.6a | 81 ± 16.8a | 803 ± 219a | 3335 ± 401a | 2677 ± 429a |
| nCeO2 50 nm | 31,610 ± 1854a | 30,057 ± 3631a | 1508 ± 13.2a | 2267 ± 229a | 126 ± 77.6a | 1094 ± 206a | 3163 ± 473a | 3719 ± 388a |
| Mean | 31,899 ± 1836 | 27,615 ± 5106 * | 1455 ± 68.2 | 2346 ± 192 *** | 119 ± 55.1 | 1049 ± 296 *** | 3390 ± 447 | 3178 ± 664ns |
| Treatment | K | Mg | Na | P | ||||
|---|---|---|---|---|---|---|---|---|
| H. lanatus | D. tenuifolia | H. lanatus | D. tenuifolia | H. lanatus | D. tenuifolia | H. lanatus | D. tenuifolia | |
| Roots | ||||||||
| Ctrl | 7.35 ± 0.27a | 7.35 ± 0.27a | 138 ± 38.3a | 46.3 ± 3.14a | 19.1 ± 3.34a | 4.21 ± 0.86a | 159 ± 15.9a | 40.3 ± 5.11b |
| nCeO2 25 nm | 7.84 ± 2.06a | 7.84 ± 2.06a | 103 ± 20.9ab | 14.3 ± 1.97b | 12.3 ± 13.6b | 2.59 ± 0.44b | 101 ± 13.7b | 68 ± 10.1a |
| nCeO2 50 nm | 7.35 ± 1.25a | 7.35 ± 1.25a | 60.7 ± 19b | 13 ± 3.28b | 16.7 ± 2.12ab | 4.15 ± 0.51ab | 131 ± 0.24ab | 53.9 ± 5.38ab |
| Mean | 7.51 ± 1.24 | 7.51 ± 1.24 | 101 ± 41.2 | 24.5 ± 14.9 *** | 16 ± 3.74 | 3.65 ± 1.03 *** | 130 ±27.3 | 54 ± 13.6 *** |
| Stems | ||||||||
| Ctrl | 2.99 ± 0.66a | 2.99 ± 0.66a | 30.2 ± 11.3a | 23.4 ± 10.3a | 69.3 ± 19.3a | 4.04 ± 0.98a | 51.5 ± 4.55a | 30 ± 10.6a |
| nCeO2 25 nm | 2.97 ± 0.37a | 2.97 ± 0.37a | 17.7 ± 3.65a | 14.3 ± 5.11ab | 31.4 ± 11.4a | 3.15 ± 0.25a | 47.0 ± 3.99a | 29.5 ± 8.12a |
| nCeO2 50 nm | 2.76 ± 0.61a | 2.76 ± 0.61a | 18.7 ± 1.89a | 4.97 ± 1.86b | 49.9 ± 15.8a | 4.71 ± 0.83a | 41.0 ± 11.3a | 30.9 ± 17.3a |
| Mean | 2.91± 0.5 | 2.91± 0.5 | 22.2 ± 8.53 | 14.2 ± 10.4* | 51.1 ± 20.5 | 3.94 ± 0.92 *** | 46.5 ± 7.85 | 31.8 ± 10.3 * |
| Leaves | ||||||||
| Ctrl | 3.56 ± 0.52a | 3.56 ± 0.52a | 34.5 ± 4.60a | 42.5 ± 4.52a | 47.3 ± 16.9a | 9.96 ± 0.80a | 26.8 ± 0.40a | 100 ± 26.2a |
| nCeO2 25 nm | 4.47 ± 0.48a | 4.47 ± 0.48a | 36.1 ± 3.54a | 28.9 ± 5.26a | 26.8 ± 9.11a | 10.7 ± 0.74a | 29.2 ± 6.29a | 96.5 ± 22.5a |
| nCeO2 50 nm | 4.13 ± 0.57a | 4.13 ± 0.57a | 34.0 ± 2.76a | 36.0 ± 6.49a | 37.6 ± 8.72a | 13.5 ± 4.44a | 26.0 ± 5.23a | 70.0 ± 22.2a |
| Mean | 4.06 ± 0.6 | 4.06 ± 0.6 | 34.9 ± 3.35 | 35.8 ± 7.29ns | 37.3 ±13.8 | 11.4 ±2.98 *** | 27.3 ± 4.34 | 88.4 ± 20.9 *** |
Publisher’s Note: MDPI stays neutral with regard to jurisdictional claims in published maps and institutional affiliations. |
© 2021 by the authors. Licensee MDPI, Basel, Switzerland. This article is an open access article distributed under the terms and conditions of the Creative Commons Attribution (CC BY) license (http://creativecommons.org/licenses/by/4.0/).
Share and Cite
Lizzi, D.; Mattiello, A.; Adamiano, A.; Fellet, G.; Gava, E.; Marchiol, L. Influence of Cerium Oxide Nanoparticles on Two Terrestrial Wild Plant Species. Plants 2021, 10, 335. https://doi.org/10.3390/plants10020335
Lizzi D, Mattiello A, Adamiano A, Fellet G, Gava E, Marchiol L. Influence of Cerium Oxide Nanoparticles on Two Terrestrial Wild Plant Species. Plants. 2021; 10(2):335. https://doi.org/10.3390/plants10020335
Chicago/Turabian StyleLizzi, Daniel, Alessandro Mattiello, Alessio Adamiano, Guido Fellet, Emanuele Gava, and Luca Marchiol. 2021. "Influence of Cerium Oxide Nanoparticles on Two Terrestrial Wild Plant Species" Plants 10, no. 2: 335. https://doi.org/10.3390/plants10020335
APA StyleLizzi, D., Mattiello, A., Adamiano, A., Fellet, G., Gava, E., & Marchiol, L. (2021). Influence of Cerium Oxide Nanoparticles on Two Terrestrial Wild Plant Species. Plants, 10(2), 335. https://doi.org/10.3390/plants10020335

