Abstract
The peculiar aspect that emerges from the study of Orchidaceae is the presence of various molecules, which are particularly interesting for pharmaceutical chemistry due to their wide range of biological resources. The aim of our study was to investigate the properties of two dihydrophenanthrenes, isolated, for the first time, from Himantoglossum robertianum (Loisel.) P. Delforge (Orchidaceae) bulbs and roots. Chemical and spectroscopic study of the bulbs and roots of Himantoglossum robertianum (Loisel.) P. Delforge resulted in the isolation of two known dihydrophenanthrenes—loroglossol and hircinol—never isolated from this plant species. The structures were evaluated based on 1H-NMR, 13C-NMR, and two-dimensional spectra, and by comparison with the literature. These two molecules have been tested for their possible antioxidant, antimicrobial, antiproliferative, and proapoptotic activities. In particular, it has been shown that these molecules cause an increase in the activity of superoxide dismutase (SOD), catalase (CAT), and glutathione S-transferase (GST) in polymorphonuclear leukocytes (PMN); show antimicrobial activity against Escherichia coli and Staphylococcus aureus, and have anti-proliferative effects on gastric cancer cell lines, inducing apoptosis effects. Therefore, these two molecules could be considered promising candidates for pharmaceutical and nutraceutical preparations.
1. Introduction
Orchids, the representatives of the Orchidaceae family, are distributed across all continents, except in Antarctica, and they are more prevalent in tropical and subtropical regions. The Orchidaceae family, widely used for ornamental purposes, assembles species with a wide range of applications, such as cosmetics, perfumes, and pharmaceuticals [1].
The genus Himantoglossum Spreng, belonging to the Orchidaceae family, was divided, based on molecular and morphometric investigations, into three subgenera, Himantoglossum, Barlia, and Comperia. subgen. Barlia (Parl.) enumerates only two species, Himantoglossum metlesicsianum (W.P. Teschner) P. Delforge [2], endemic to the Canary Islands and H. robertianum (Loisel.) P. Delforge [2] (Syn. Aceras longibracteatum Rchb.f.; Barlia longibracteata (Rchb.f.) Parl.; Barlia robertiana (Loisel.) Greuter; Himantoglossum longibracteatum (Rchb.f.) Schltr.; Loroglossum longibracteatum (Rchb.f.) Moris ex Ardoino; Orchis robertiana Loisel.) [3], with Steno-Mediterranean distribution, which extends from Portugal to Anatolia [4].
H. robertianum is a large orchid, whose flowering occurs in Sicily during the winter months (December-February). It presents with 2(–3) large ovoid RhizoTubes from which numerous and thick roots branch off, emitting a robust stem that often exceeds up to 10 mm in diameter. The basal leaves are large, up to 30 cm in length and 10 cm in width, and glossy. The plant is able to grow even up to 1700 m of altitude and is called “giant orchid”, as it exceeds most of the European wild orchids in height [5]. The inflorescence (up to 65 flowers), more or less cylindrical, is dense and rich. The color of the inflorescence varies from greenish–white to purplish red [4]. In Sicily, the species is frequently found along roadsides, uncultivated fields, garrigue, and scrubs, particularly on the chalky substrates of central-southern Sicily, up to 1000 m s.l.m.
The species, in Italy, is protected at the national level but, in some areas around Catania (Sicily), the plant is roasted and eaten [6]. In Turkey, there are several cases of cultivation for ornamental purposes [7], while in Iran, food uses are reported for the species H. hircinum (L.) Spreng. (Syn. H. affine), H. jankae Somlyay, Kreutz and Óvári and H. comperianum (Steven) P. Delforge, which they are used to produce salep flour, drinks, and ice cream [8].
The peculiar aspect that emerges from the study of Orchidaceae is the presence of various derivatives based on stilbenes [9], particularly interesting for pharmaceutical chemistry due to their wide range of biological resources [10]. The molecules frequently found in this family are stilbenes, bibenzyls, or dihydrostylbenes, bis(bibenzyls), phenanthrenes, and 9,10-dihydrophenanthrenes. Phenanthrenes, secondary metabolites of many higher plants, are widely conjugated aromatic compounds, and they essentially differ in the position of the different substituents in the rings and in the presence of ketone and hydroxyl groups. A large proportion of these metabolites were found in Bletilla, Bulbophyllum, Coelogyna, Cymbidium, Dendrobium, Ephemerantha, Epidendrum, Eria, and Maxillaria genera, all belonging to Orchidaceae family [10]. Many natural phenanthrenes also exist as 9,10-dihydro-, or dehydro derivatives. Many reports have described the isolation and structure characterization of a significant number of phenanthropyrans and stilbenoids in different orchids [11,12,13].
The literature emphasized excellent properties of phenanthrene derivatives, exhibiting diverse and promising biological activities, including anti-inflammatory, antimicrobial, spasmolytic, anti-platelet, antioxidant, and anti-allergic activities [14]. Moreover, the cytotoxic effects of phenanthrene derivatives against the growth of several human cancer cell lines were reported [15].
The literature is lacking in the study of the phytochemical and biological properties of H. robertianum [16]. The only one study to perform phytochemical analyses on hydroalcoholic extract obtained from H. robertianum flowers, highlighted how flavones and flavan-3-oils had represented the most abundant compounds (42.91%), followed by scopoletin (33.79%) and phenolic acids (23.3%) [16]. The extract also showed excellent antioxidant power, classifying oxygen radical absorbance capacity (ORAC) < ferric-reducing antioxidant power (FRAP) < trolox equivalent antioxidant capacity (TEAC) < whitening of -carotene < 2,2-diphenyl-1-picrylhydrazyl (DPPH) < chelation of iron.
Consequently, in the frame of our ongoing research on endemic Sicilian plants [17,18,19] and on the biological activity [20,21,22], the aim of our study was to investigate the biological properties of two dihydrophenanthrenes, loroglossol and hircinol, isolated, for the first time, from Himantoglossum robertianum (Loisel.) P. Delforge bulbs and roots, testing the activity of superoxide dismutase (SOD), catalase (CAT), and glutathione S-transferase (GST) enzymes in polymorphonuclear leukocytes (PMN); antimicrobial activity against Escherichia coli DH5α and Staphylococcus aureus ATCC 6538P, antiproliferative and proapoptotic activity on gastric cancer cell lines.
2. Results and Discussion
2.1. Chemical Profiling
The CHCl3 extract of the air-dried bulbs and roots from H. robertianum was subjected to several chromatographic separations to give two compounds: loroglossol (1) and hircinol (2) (Figure 1), they were identified by 1H-NMR, 13C-NMR, 2D-NMR, and HPLC-MS.
Figure 1.
Structures of loroglossol (1) and hircinol (2).
Compound 1 was obtained as a colorless amorphous powder. HPLC-MS showed a molecular ion at m/z 257.1181 [M + H]+ (calcd. for C16H16O3+[H]+, m/z 257.1172). The 1H-NMR spectrum of 1 (Figure 2) showed characteristic signals for a 9,10-dihydrophenanthrene: 4 aliphatic protons H-9 and H-10 (δ = 2.72 ppm, br s, 4H), which confirm the absence of double bond between C-9 and C-10; the coupling between H-1 and H-3 protons (dd, J = 2.5 Hz) for a meta-di-substituted aromatic ring, highlighted the presence of two methoxy-substituents on C-2 and C-4 (δC = 159.5 and 155.0 ppm, respectively) (Figure 3). The HMBC correlations of H-1 (δ = 6.62 ppm) with the carbons C-2 (δ = 159.5 ppm) and the correlation of C-2 with methoxy protons -OCH3 at 3.97 ppm established the methoxy group on C-2 carbon (Figure 4). The presence of other substituents (a methoxy group on C-4) was confirmed by correlations between H-3 and C-4, and C-4 with methoxy protons at 3.87 ppm (Figure 4). The aromatic signals between 6.88 and 7.16 ppm showed a mono-substituted (hydroxy group) on C-5. The values of chemical shift (δC) presented in literature were registered only in CD3OD [23], but our correct structural evaluation of 1 has been confirmed by 2D-NMR and HPLC-MS spectra.
Figure 2.
1H-NMR spectrum (400 MHz, CDCl3) of loroglossol.
Figure 3.
13C-NMR spectrum (100 MHz, CDCl3) of loroglossol.
Figure 4.
HMBC spectrum showing correlations in loroglossol.
HPLC-MS of amorphous powder compound 2 showed a molecular ion at m/z 243.0948 [M + H]+ (calcd. for [M + H]+, m/z 243.1016), which agreed with the molecular formula C15H14O3. It is a saturated phenanthrene in position C9-C10 (31.7 and 31.9 ppm, respectively) with two hydroxyl groups in position C-2 (158.6 ppm) and C-5 (154.8 ppm) and a single methoxy group in position C-4 (156.4 ppm). The absence of double bond was confirmed by a resonance system at 2.67 ppm (4H, m, H2-9,-10), while the presence of a single methoxy-group was verified from signal at 3.92 ppm (3H, s, -OCH3). The C ring showed the same proton signals of compound 1 (Figure 5 and Figure 6). The impossibility of exploiting the HMBC correlations (due to the overlapping between the H-1 and H-3 protons) did not allow the exact identification of the molecule, which was verified by exact comparison with the literature [24].
Figure 5.
The 1H-NMR spectrum (400 MHz, CDCl3) of hircinol.
Figure 6.
13C-NMR spectrum (100 MHz, (CD3)2CO) of hircinol.
Loroglossol and hircinol were first isolated in 1963 from Loroglossum hircinum (L.) Rich (Orchidaceae) [25,26], although their structures were definitely elucidated several years later by Fish et al. [27] and Letcher et al. [28]. Later, loroglossol was isolated from Orchis papilionacea L. (Orchidaceae) [29] and together with hircinol in Sobralia violocea Linden (Orchidaceae) [30]. On the other hand, hircinol has been detected in many other taxa, such as Flickingeria fimbriata (Bl.) Hawkes [31], Pholidota articulata Lindl. [32], Pholidota chinensis Lindl. [33], Liparis japonica (Miq.) Maxim [34], Liparis regnieri Finet [35,36], Anoectochilus roxburghii (Wall.) Lindl. [37], Pleione bulbocodioides (Franch.) Rolfe [9], several species of Dendrobium [38,39,40,41,42,43,44,45], all belonging to Orchidaceae, and in Dioscorea rotundata Poir [24] and Dioscorea opposita Thunb. [46] of the Dioscoreaceae family.
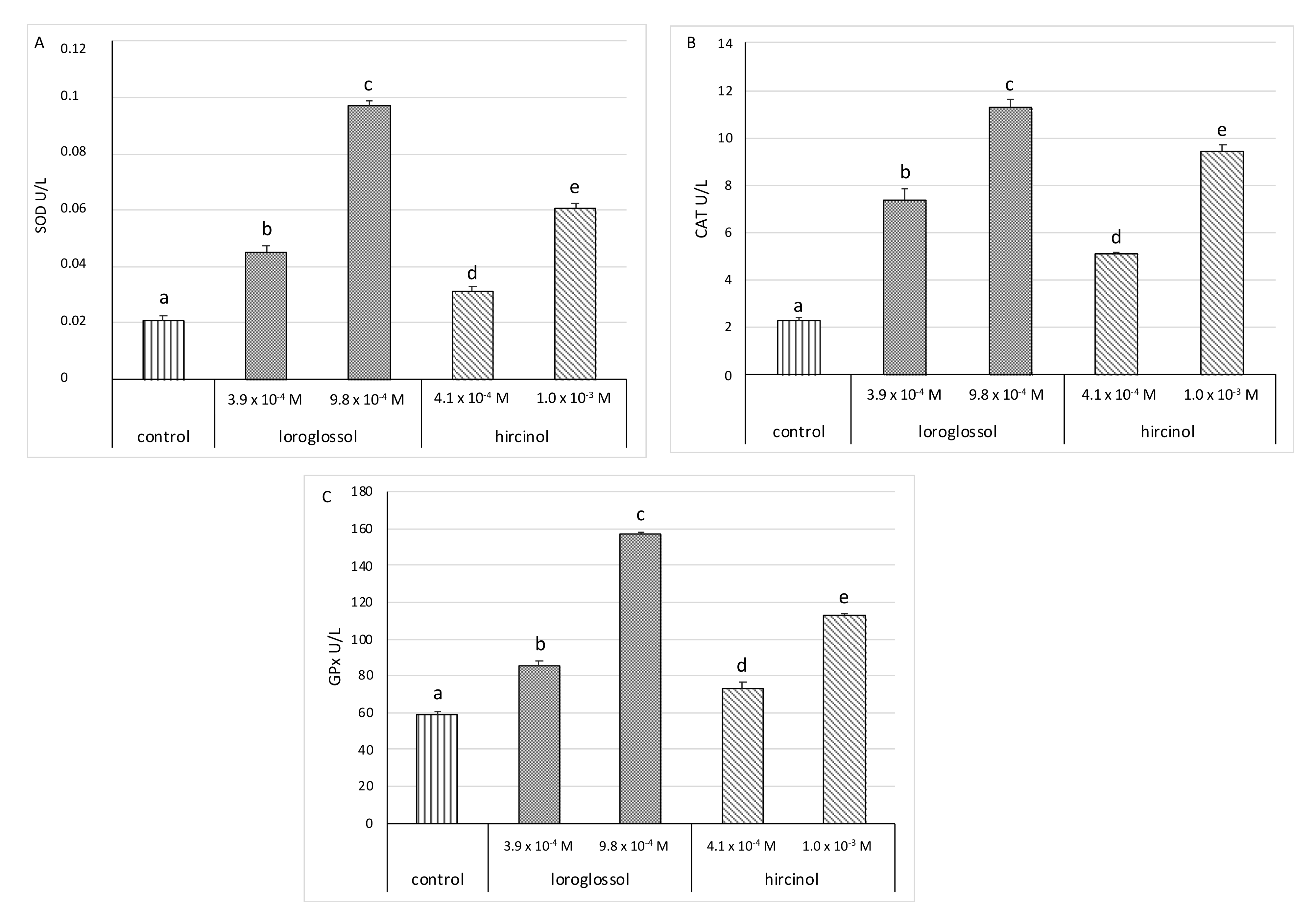
2.2. Antioxidant Enzymes Activity Measure in PMN Cells
We evaluated the antioxidant activity of loroglossol and hircinol by measuring the activity of superoxide dismutase (SOD), catalase (CAT), and glutathione S-transferase (GST) enzymes in polymorphonuclear leukocytes (PMNs) treated with these two molecules.
The activity of antioxidant enzymes in PMN cells increased after treatment with both loroglossol and hircinol compared to the control (untreated samples) (Figure 7). In particular, the activity of the enzymes SOD, CAT, and GPX increases with increasing concentration. Furthermore, the PMN cells treated with loroglossol have a higher enzymatic activity than the PMN cells treated with hircinol.
Figure 7.
Effect of the loroglossol and hircinol on activities of antioxidant enzymes in polymorphonuclear cells. (A) Superoxide dismutase; (B) catalase; (C) glutathione peroxidase. Data were presented as mean and standard error and they were analyzed with a paired t-test. Bars not accompanied by the same letter were significantly different at p < 0.05.
Our results demonstrate, for the first time, the ability of these two molecules to increase the activity of antioxidant enzymes in PMNs. Furthermore, these results are consistent with those obtained by Shuang-shuang et al. [15], which demonstrated the excellent properties of phenanthrene derivatives exhibiting diverse and promising biological activities, including antioxidant activities. Moreover, the authors of [47] show how compounds extracted from Dendrobium pachyglossum (Orchidaceae), such as dendropachol, cause an increase in CAT and GST n in H2O2-Treated HaCaT Keratinocytes. This work is also consistent with the study by [48], showing that bibenzyl-dihydrophenanthrene from D. parishii can improve the activities of antioxidant enzymes (GPx and CAT).
However, the antioxidant properties of essential oils cannot be assessed by simply looking at the increased activity of antioxidant enzymes. On the other hand, the increase in their activity is linked to oxidative stress. Generally, the activity of the enzymes CAT, SOD, and GST increases following an increase in ROS production, in order to counteract the negative effects induced by stress, as reported in [49]. In this case, these are not stressful conditions, but we suggest that an increase in these enzymes may indicate an increase in their antioxidant properties.
2.3. Antimicrobial Assays
In order to evaluate the antibacterial activity, first, an antimicrobial test (Kirby–Bauer assay) was performed with both molecules on two different bacterial strains, a Gram-negative E. coli DH5α and a Gram-positive S. aureus ATCC 6538P. E. coli represents a model strain to test antimicrobial activity, while S. aureus is an important human pathogen that is responsible for most of the bacterial skin and soft tissue infections in humans too. This strain can also become more invasive and cause life-threatening infections, such as bacteremia, pneumonia, abscesses of various organs, meningitis, osteomyelitis, endocarditis, and sepsis. These infections represent a major public health threat because of their considerable number and spread [50]. Both molecules exhibited an inhibition halo against the strains, almost comparable to the antibiotic control (Supplementary Materials Figure S1). We used ampicillin as a positive control, in order to inhibit E. coli and S. aureus cell growth. No growth inhibition was seen with the DMSO used to dilute oils.
These first experiments allowed us to deepen the study on loroglossol and hircinol antimicrobial activity. Using the same indicator strains as in previous experiments, we performed another assay in determining the substance antimicrobial efficiency by bacterial counts. Figure 8 shows that both molecules extracted from orchids possess good antimicrobial activity, more directly towards S. aureus. In particular, hircinol is very effective against the Gram-negative and Gram-positive strains, even at relatively low concentrations. Subsequently antimicrobial activity of loroglossol and hircinol was analyzed accordingly to the broth microdilution method. By performing this assay, minimal inhibitory concentration values were found to be comprised between 3.9 × 10−4 M and >1.2 × 10−3 M against the tested strains (Supplementary Materials Table S1). Other phenanthrene derivatives are reported in the literature. In particular, six biphenanthrenes extracted from Bletilla striata (Orchidaceae) show antimicrobial activity (8–128 µg/mL) against different bacterial strains [51]. Instead, two new dihydrophenanthrofurans and two new bisbibenzyl derivatives isolated from Dendrobium nobile, were evaluated against Gram-positive bacterial strains Staphylococcus aureus, Bacillus subtilis, and Gram-negative bacteria, Pseudomonas aeruginosa, Escherichia coli, by a microdilution technique, but neither was active [52]. Further studies will be needed to determine the mechanism of action of these substances as a potential antimicrobial agent.
Figure 8.
Antibacterial activity of loroglossol and hircinol evaluated by colony count assay, against E. coli DH5α and S. aureus ATCC 6538P at different concentrations. Untreated cells represent positive control while bacterial cells with dimethyl sulfoxide represent the negative one. Each bar is the average of three different experiments (p value is <0.05).
2.4. Anti-Proliferative Effects on Gastric Cancer Cell Lines
Since the literature reported the cytotoxic activity of extracts from several orchid plants, rich in phenanthrene and dihydrophenanthrene compounds [53,54], we evaluated the effect of loroglossol and hircinol on viability of two different gastric cancer (GC) cell lines (AGS, and KATO-III) through MTS assay. Results were reported as a percentage of control viability (cells exposed to DMSO). Both compounds significantly reduced viability of gastric cancer cell lines. Interestingly, we observed a decrease of about 40% after 24 h of exposure to 100 µg/mL (3.9 × 10−4 M for loroglossol: AGS = 61.4 ± 2.4, p < 0.0001; KATO-III = 66.9 ± 2.8, p = 0.0003 and 4.1 × 10−4 M for hircinol: AGS = 39.4 ± 0.8, p = 0.0002; KATO-III = 56.3. ± 0.9, p = 0.0004) (Figure 9).
Figure 9.
Effect of loroglossol and hircinol on cell proliferation. AGS and KATO-III cells were treated for 24 h (A) and for 48 h (B). Cell proliferation was determined by MTS assay. Data were expressed as % of vehicle control viability. Data were presented as mean and standard error of three individual experiments and analyzed with one sample-t test. ** p < 0.005; *** p ≤ 0.0001.
Moreover, the effect on cell viability was time-dependent. In particular, long exposure (48 h) to loroglossol at 3.9 × 10−4 M showed the maximum anti-proliferative effect, determining an additional viability reduction of about 20% in both cell lines (24 h vs. 48 h, AGS: p = 0.002 and KATO-III: p = 0.02). Similarly, treatment with hircinol at 4.1 × 10−4 M for 48 h decreased cell viability for an additional 10% (24 h vs. 48 h, AGS: p = 0.007 and KATO-III: p < 0.001). Between the two GC cell lines, AGS was the most sensitive to both compounds, as reported in Table 1.
Table 1.
Comparison of relative viability between the two gastric cancer cell lines.
This evidence could resemble the features of a cell line’s originating tumor, being AGS derived from primary and KATO-III from metastatic GC.
These results match those previously reported by other researchers, which highlighted an anti-proliferative activity of phenanthrenes and 9,10-dihydrophenanthrenes on several cancer cell lines derived from different tumor types, such as leukemia, breast, colon, prostate, and lung cancer [10,55]. Notably, several papers reported that similar molecules, at comparable doses, are effective on cancer cells and well tolerated by normal cells, suggesting a possible selective toxicity [56,57,58,59].
2.5. Apoptosis-Inducing Effect on Gastric Cancer Cell Lines
Further characterization of anti-proliferative effects of loroglossol and hircinol were assessed through flow cytometry analyses; in particular, it was taken in consideration whether treated cells underwent apoptotic cell death. Based on MTS results, apoptosis was evaluated after 48 h of exposure to 100 µg/mL (3.9–4.1 × 10−4 M) of both compounds. As showed in Figure 10, a decreased number of live cells was observed in both cell lines loroglossol, AGS: 0.82 ± 0.03, p = 0.03 and KATO-III 0.84 ± 0.03, p = 0.03; hircinol, AGS: 0.42 ± 0.8, p = 0.04 and KATO-III 0.86 ± 0.06, p = 0.16).
Figure 10.
Loroglossol and hircinol induced apoptosis in GC cells. AGS and KATO-III cells were treated with 100 µg/mL (3.9–4.1 × 10−4 M) for 48 h. The amount of live, apoptotic and necrotic cells was determined by flow cytometry. The relative counts were estimated in comparison to the vehicle controls. Data were presented as mean and standard error of three individual experiments and were analyzed with one-sample t-test. * p < 0.05; ** p < 0.005.
The assay confirmed the high sensitivity of AGS cells that showed a significant decrease in live cells for both compounds as compared to KATO-III cells. Interestingly, this finding reflects the drug resistant phenotype described in other reports [60,61]
Analyzing the apoptotic cells, it was observed that loroglossol treatment determined a significant increase of apoptosis in both AGS (1.95 ± 0.23, p = 0.03) and KATO-III (2.64 ± 0.38, p = 0.02) cells, while the treatment with hircinol caused a significant increase of apoptosis only in AGS cell line (4.25 ± 0.28, p = 0.002). Necrotic cells were significant increased only in KATO-III cells treated with hircinol. These data showed the apoptotic effects of loroglossol and hircinol on two different gastric cancer cell lines highlighting an anti-tumor potential of these two molecules.
In line with these results, an apoptogenic effect of orchid’s phenanthrene derivatives on various human cancer cells, including osteosarcoma cells [62], breast cancer cells [63], and gastric cancer cells [64], has been reported.
Moreover, several compounds isolated from orchids have demonstrated significant anticancer activities [65]. The isolation of orchid extract whit cytotoxic potential could lay the bases for their chemical engineering into more effective anticancer drugs. This kind of orchid compound, being semi-synthetic, could help to reduce adverse reactions associated with current cancer treatment [66].
3. Materials and Methods
3.1. Plant Materials
Bulbs and roots of H. robertianum were collected from wild populations growing at Sutera (37°30′49′′ N, 13°45′112′′ E, 468 m s.l.m.), in the province of Caltanissetta, Sicily, Italy, in February 2020, and identified by Professor Vincenzo Ilardi (Università degli Studi di Palermo). A voucher specimen was deposited at Department STEBICEF, University of Palermo, Italy, under number (PAL109715).
3.2. Extraction and Isolation
The bulbs and roots of H. robertianum (315 g), cut in small pieces, were lyophilized, and extracted with CHCl3 (3 × 0.5 L). The resulting extracts were evaporated to dryness, to yield 4.5 g of residue separated by silica gel column chromatography with hexane-EtOAc (60:40) eluent to give the main fractions, A–E. Each fraction was rechromatographed by silica gel column chromatography in CHCl3-MeOH (98:2) to afford: from fraction A, loroglossol (23 mg); from fraction D, hircinol (28 mg).
3.3. Spectroscopic Data
3.3.1. Loroglossol
Colorless needles; 1H-NMR (400 MHz, CDCl3): δ = 2.72 (4H, br s, H2-9,-10), 3.87 (3H, s, -OCH3), 3.97 (3H, s, -OCH3), 6.57 (1H, d, J = 2.5 Hz, H-3), 6.62 (1H, d, J = 2.5 Hz, H-1), 6.88 (1H, dd, J = 7.2, 1.4 Hz, H-8), 6.96 (1H, dd, J = 8.1, 1.4 Hz, H-6), 7.16 (1H, dd, J = 8.1, 7.2 Hz, H-7); 13C-NMR (100 MHz, CDCl3): δ = 107.1 (C-1), 159.5 (C-2), 98.5 (C-3), 155.0 (C-4), 153.5 (C-5), 117.8 (C-6), 127.9 (C-7), 119.7 (C-8), 30.9 (C-9), 31.4 (C-10), 115.5 (C-4a), 120.6 (C-4b), 140.6 (C-8a), 143.6 (C-10a), 55.4 (C2-OCH3), 57.2 (C4-OCH3); ESIMS m/z 257.1181 [M + H]+, (calcd. for C16H16O3+[H]+, m/z 257.1172).
3.3.2. Hircinol
Amorphous powder; 1H-NMR (400 MHz, CDCl3): δ = 2.67 (4H, m, H2-9,-10), 3.92 (3H, s, -OCH3), 6.50 (2H, br s, H-1, H-3), 6.87 (1H, dd, J = 7.3, 1.4 Hz, H-8), 6.97 (1H, dd, J = 8.1, 1.4 Hz, H-6), 7.16 (1H, dd, J = 8.1, 7.3 Hz, H-7); 13C-NMR (100 MHz, [(CD3)2CO]: δ = 109.9 (C-1), 158.6 (C-2), 99.9 (C-3), 156.4 (C-4), 154.8 (C-5), 118.3 (C-6), 128.2 (C-7), 120.1 (C-8), 31.7 (C-9), 31.9 (C-10), 114.7 (C-4a), 121.7 (C-4b), 141.4 (C-8a), 144.2 (C-10a), 57.3 (C2-OCH3); ESIMS m/z 243.0948 [M + H]+, (calcd. for C15H14O3+[H]+, m/z 243.1016).
3.4. General Experimental Procedures
Column chromatography was performed using silica gel (70-230 mesh ASTM, Merck No. 7734) deactivated with 15% deionized water. Lyophilization was conducted using CoolSafe instrument (4-15L Freeze Dryers). The NMR spectra were recorded on a Bruker Avance II instrument (400 MHz for 1H-NMR and 100 MHz for 13C-NMR). The thin-layer chromatography used aluminum oxide 60 F254 neutral (Merck KGaA, Darmstadt, Germany). Mass spectrum was obtained using a HPLC/ESI/Q-TOF HRMS apparatus. HPLC conditions were as follows: water, acetonitrile, and formic acid were of HPLC/MS grade; the HPLC system was an Agilent 1260 Infinity; a reversed-phase C18 column (ZORBAX Extended-C18 2.1 × 50 mm, 1.8 μm) with a Phenomenex C18 security guard column (4 × 3 mm) were used; the flow-rate was 0.4 mL/min, and the column temperature was set to 30 °C. The mass spectra was recorded using an Agilent 6540 UHD accurate-mass Q-TOF spectrometer equipped with a Dual AJS ESI source working in both negative and positive modes. All solvents used were of analytical grade (Honeywell, Charlotte, NC, USA).
3.5. Blood Collection and Polymorphonuclear Leukocytes (PMN) Isolation
Whole blood was obtained with informed consent from healthy volunteers at University “Federico II” in Naples, Italy. Between 08.00 and 09.00 a.m., three healthy fasting donors were subjected to peripheral blood sampling with K3EDTA vacutainers (Becton Dickinson, Plymouth, UK). A discontinuous gradient, consisting of 100% (density 1.1294 g/mL) and 70% (density 1.090 g/mL) isotonic Percoll (Pharmacia, Uppsala, Sweden) in calcium and magnesium-free phosphate buffered saline pH 7.4 (PBS; Sigma-Aldrich, Saint Louis, MO, USA) was used to isolate PMNs [67]. Subsequently, the samples were centrifuged for 20 min at 250× g at room temperature. The PMN layer was collected and washed twice in PBS. May-Grunwald Giemsa-stained cytocentrifuge smears were used to determine the isolated PMN purity, while, the trypan blue dye exclusion test was employed to check cell viability. Both ranged between 90% and 95%.
3.6. Antioxidant Enzymes Measured in PMN Cells
A commercial kit (BioAssay System, San Diego, CA, USA) was used to determine superoxide dismutase (SOD), catalase (CAT), and glutathione S-transferase (GST) enzymatic activity in PMN cells according to the manufacturer’s recommendations. The activity of enzymes was expressed as U/L [68]. Loroglossol and hircinol were tested at the concentration of 100 µg/mL (3.9–4.1 × 10−4 M) and 250 µg/mL (9.8–10 × 10−4 M).
3.7. Antimicrobial Activity Assays
The presence of antimicrobial molecules in the extracted from Orchid flower was detected using Kirby–Bauer assay [69] against two bacterial strains: E. coli DH5α and S. aureus ATCC 6538P. Both orchid molecules were used at 50 µg and ampicillin used at 10 µg as a positive control, to inhibit E. coli and S. aureus cells growth. Another method to evaluate the antimicrobial activity involved the Gram-negative E. coli DH5a and Gram-positive S. aureus ATCC 6538P strains cell viability counting [70]. Bacterial cells were incubated with loroglossol and hircinol at two different concentrations: 100 µg/mL (3.9–4.1 × 10−4 M) and 250 µg/mL (9.8–10 × 10−4 M). Bacterial cells immersed in the oil-free buffer represented positive control, while bacterial cells plus 80% DMSO (volume corresponding to the maximum concentration) and buffer represented the negative one [71]. Each experiment was performed in triplicate, and the reported result was an average of three independent experiments (p value was <0.05). Subsequently to determine the minimal inhibitory concentration values, assays were performed as previously described elsewhere [72]. Briefly, bacteria were grown to a midlogarithmic phase at 37 °C and then diluted to 1 × 106 CFU/mL in Difco 0.5× Nutrient Broth (Becton-Dickenson, Franklin Lakes, NJ, USA) containing increasing amounts of loroglossol and hircinol. Starting from a compound stock solution, 2-fold serial dilutions were sequentially carried out, accordingly to the broth microdilution method [73]. DMSO was tested at the same concentrations. Following overnight incubation, MIC100 values were determined as the lowest molecule concentrations responsible for no visible bacterial growth.
3.8. Cell Cultures and Treatments
Human GC cell lines, AGS (ATCC® CRL-1739™) and KATO-III (ATCC® HTB-103), were purchased from ATCC (Manassas, VA, USA) and routinely cultured in their specific medium according to manufacturer instructions. In particular, AGS were cultured in Dulbecco’s Modified Eagle Medium (DMEM, GIBCO, Grand Island, NY, USA) supplemented with 10% inactivated Fetal Bovine Serum (FBS, GIBCO, Grand Island, NY, USA), 100 U/mL of penicillin and 100 µg/mL of streptomycin. KATO-III cells were grown in Iscove’s Modified Dulbecco’s Medium (IMDM, GIBCO, Grand Island, NY, USA) with 20% inactivated FBS (GIBCO, Grand Island, NY, USA) and 1% penicillin/streptomycin. All cells were incubated at 37 °C in 5% CO2 changing medium every 2 days.
Loroglossol and hircinol were first resuspended in DMSO and then diluted in DMEM or IMDM to obtain a stock solution of 10,000 µg/mL. GC cells were incubated with both molecules at two different concentrations: 100 µg/mL (3.9–4.1 × 10−4 M) and 250 µg/mL (9.8–10 × 10−4 M) for 24 and 48 h. As untreated control, DMSO at final concentration of 0.5% was used.
3.9. Cell Proliferation and Apoptosis Analysis
Cell proliferation was assessed using a MTS assay. AGS and KATO-III cells were plated at a density of 5 × 103 cells/well into 96-well plates and grown overnight before treatments with each compound or with an equivalent amount of DMSO for 24 and 48 h. A solution of CellTiter 96® Aqueous MTS Reagent (Promega, Madison, WI, USA) was added to each well measuring, after 1.5 h of incubation at 37 °C, the absorbance at 490 nm. The proliferation rate in each well was calculated using the DMSO treated cells as reference, which represents the 100% of viability. Three replicate wells per point were used to obtain measures of cell proliferation from three independent experiments. Data were reported as mean ± SE. Differences between treatments and control groups were estimated by one sample t test. p values < 0.05 were considered significant. Analyses were performed using R software.
To evaluate apoptosis involvement, GC cells were seeded in 6-well plates and cultured to 70% confluence prior to being treated with 100 µg/mL (3.9–4.1 × 10−4 M) of both compounds, or with their vehicle, for 48 h. Briefly, cells were harvested, washed twice in cold PBS, centrifuged at 1500 rpm at 4 °C, and then resuspended in Binding Buffer (BD Biosciences, Franklin Lakes, NJ, USA). Cells were double-stained with FITC-Annexin V and propidium iodide (BD Biosciences, Franklin Lakes, NJ, USA) and incubated for 15 min at room temperature in the dark. Number of live, apoptotic, and necrotic cells was detected using a Navios flow cytometer (Beckman Coulter, Miami, FL, USA). Data were analyzed by Kaluza analysis software 2.1. Counts from flow cytometry evaluation of apoptosis were reported as fold increases compared with vehicle controls. Data were reported as mean ± SE. Differences between treatments and control groups were estimated by one sample t test. p values < 0.05 were considered significant. Analyses were performed using R software.
4. Conclusions
Phytoalexins are produced by plants in response to pathogenic fungal infections. The phytoalexins of orchids are phenanthrene and dihydrophenanthrene, such as hircinol and loroglossol. Phenanthrenes are a promising and expanding group of biologically active natural compounds whose potential has not yet been sufficiently studied [10]. Their antifungal abilities were studied on Candida lipolytica as early as 1973. However, very little is known about the antimicrobial activity of these molecules against gram positive and negative bacteria. This research resulted in the isolation and identification of the loroglossol and hircinol from the Orchids H. robertianum bulbs and roots. The two molecules showed different bioactivity; they induced an increase in the activity of superoxide dismutase, catalase, and glutathione S-transferase in polymorphonuclear leukocytes; they showed an antimicrobial activity against E. coli and S. aureus, and they had an anti-proliferative effect on gastric cancer cell lines inducing an apoptosis effect.
Thus, results of this work give new insight into the potential application of these molecules as antimicrobial agents to combat pathogens that are difficult to eradicate and for the discovery of alternatives to antibiotics.
Furthermore, our studies provide the basis for additional investigation of these orchid extracts for the discovery of new potential chemical compounds with anti-cancer properties. Further surveys are needed using in vivo models to determine their effectiveness. For these reasons, these two molecules could be considered promising candidates for pharmaceutical and nutraceutical preparations.
Supplementary Materials
The following are available online at https://www.mdpi.com/article/10.3390/plants10122776/s1, Table S1. Minimum inhibitory concentration values of loroglossol and hircinol against E. coli DH5α and S. aureus ATCC 6538P. Figure S1. Inhibition halo of hircinol and loroglossol against E. coli DH5α, S. aureus ATCC6538P.
Author Contributions
Conceptualization, M.B. and N.B.; methodology, V.M., M.D.N., A.Z., and S.L.; software, P.C., G.C., and A.V.; validation, N.B., M.B., A.B., V.I., V.M., M.V., and G.F.; formal analysis, S.L, S.R., and G.C.; investigation, N.B., M.B., A.B., V.I., V.M., M.V., and G.F.; resources, V.M., S.L.; data curation, A.V.; writing—original draft preparation, N.B.; writing—review and editing, V.M., A.Z, S.R., G.C.; visualization, M.V. and A.B; supervision, A.B. and S.R.; project administration, M.B., N.B.; funding acquisition, M.B. and N.B. All authors have read and agreed to the published version of the manuscript.
Funding
This work was supported by a grant from Ministero dell’Istruzione, dell’Università e della Ricerca (MIUR-ITALY) PRIN 2017 (project no. 2017A95NCJ).
Institutional Review Board Statement
Not applicable.
Informed Consent Statement
This statement if the study did not involve humans or animals. Whole blood was obtained with informed consent from healthy volunteers at University “Federico II” in Naples, Italy.
Data Availability Statement
The study did not report any data.
Conflicts of Interest
The authors declare no conflict of interest.
Sample Availability
Samples of the compounds are available from the authors of the Department STEBICEF, University of Palermo, Italy.
References
- Bulpitt, C.J.; Li, Y.; Bulpitt, P.F.; Wang, J. The use of orchids in Chinese medicine. J. R. Soc. Med. 2007, 100, 558–563. [Google Scholar] [CrossRef]
- Delforge, P. Himantoglossum robertianum(Loisel.). Nat. Belg. 1999, 80, 401. [Google Scholar]
- Available online: http://www.theplantlist.org/tpl1.1/record/kew-99287 (accessed on 25 July 2021).
- Pignatti, S.; Guarino, R.; La Rosa, M. Flora d’Italia, 2nd ed.; Edagricole di New Business Media: Bologna, Italy, 2017. [Google Scholar]
- Bournérias, M.; Prat, D. Les Orchidées de France, Belgique et Luxembourg, 2nd ed.; Biotope Éditions: Mèze, France, 2005. [Google Scholar]
- Lentini, F.; Venza, F. Wild food plants of popular use in Sicily. J. Ethnobiol. Ethnomed. 2007, 3, 15. [Google Scholar] [CrossRef] [Green Version]
- Ertuğ, F. Wild edible plants of the Bodrum area (Mugla, Turkey). Turk. J. Bot. 2004, 28, 161–174. [Google Scholar]
- Ghorbani, A.; Gravendeel, B.; Naghibi, F.; de Boer, H. Wild orchid tuber collection in Iran: A wake-up call for conservation. Biodivers. Conserv. 2014, 23, 2749–2760. [Google Scholar] [CrossRef]
- Shen, T.; Wang, X.N.; Lou, H.X. Natural stilbenes: An overview. Nat. Prod. Rep. 2009, 26, 916–935. [Google Scholar] [CrossRef]
- Kovács, A.; Vasas, A.; Hohmann, J. Natural phenanthrenes and their biological activity. Phytochemistry 2008, 69, 1084–1110. [Google Scholar] [CrossRef]
- Majumder, P.L.; Pal, S.; Majumder, S. Dimeric phenanthrenes from the orchid Bulbophyllum reptans. Phytochemistry 1999, 50, 891–897. [Google Scholar] [CrossRef]
- Majumder, P.L.; Sen, S.; Majumder, S. Phenanthrene derivatives from the orchid Coelogyne cristata. Phytochemistry 2001, 58, 581–586. [Google Scholar] [CrossRef]
- Lin, T.H.; Chang, S.J.; Chen, C.C.; Wang, J.P.; Tsao, L.T. Two phenanthraquinones from Dendrobium moniliforme. J. Nat. Prod. 2001, 64, 1084–1086. [Google Scholar] [CrossRef] [PubMed]
- Shuang-shuang, L.; Fu, Y.; Chen, J.; Jiao, Y.; Chen, S.-Q. Six phenanthrenes from the roots of Cymbidium faberi Rolfe. and their biological activities. Nat. Prod. Res. 2020, Article in press. [Google Scholar] [CrossRef]
- Pant, B.; Ram Paudel, M.; Raj Joshi, P. Orchids as potential sources of anticancer agents: Our experience. Annapurna J. Health Sci. 2021, 1, 42–51. [Google Scholar] [CrossRef]
- Bazzicalupo, M.; Burlando, B.; Denaro, M.; Barreca, D.; Trombetta, D.; Smeriglio, A.; Cornara, A. Polyphenol characterization and skin-preserving properties of hydroalcoholic flower extract from Himantoglossum robertianum (Orchidaceae). Plants 2019, 8, 502. [Google Scholar] [CrossRef] [PubMed] [Green Version]
- Gagliano Candela, R.; Ilardi, V.; Badalamenti, N.; Bruno, M.; Rosselli, S.; Maggi, F. Essential oil compositions of Teucrium fruticans, T. scordium subsp. scordioides and T. siculum growing in Sicily and Malta. Nat. Prod. Res. 2021, 35, 3460–3469. [Google Scholar] [CrossRef]
- Ilardi, V.; Badalamenti, N.; Bruno, M. Chemical composition of the essential oil from different vegetative parts of Foeniculum vulgare subsp. piperitum (Ucria) Coutinho (Umbelliferae) growing wild in Sicily. Nat. Prod. Res. 2020, in press. [Google Scholar] [CrossRef]
- Badalamenti, N.; Ilardi, V.; Rosselli, S.; Bruno, M.; Maggi, F.; Leporini, M.; Falco, T.; Loizzo, M.R.; Tundis, R. Ferulago nodosa subsp. geniculata (Guss.) Troia & Raimondo from Sicily (Italy): Isolation of essential oil and evaluation of its bioactivity. Molecules 2020, 25, 3249. [Google Scholar]
- Di Napoli, M.; Maresca, V.; Varcamonti, M.; Bruno, M.; Badalamenti, N.; Basile, A.; Zanfardino, A. (+)-(E)-Chrysanthenyl acetate: A molecule with interesting biological properties contained in the Anthemis secundiramea (Asteraceae) flowers. Appl. Sci. 2020, 10, 6808. [Google Scholar] [CrossRef]
- Badalamenti, N.; Ilardi, V.; Bruno, M.; Pavela, R.; Boukouvala, M.C.; Kavallieratos, N.G.; Maggi, F.; Canale, A.; Benelli, G. Chemical composition and broad-spectrum insecticidal activity of the flower essential oil from an ancient Sicilian food plant, Ridolfia segetum. Agriculture 2021, 11, 304. [Google Scholar] [CrossRef]
- Rosselli, S.; Tundis, R.; Bruno, M.; Leporini, M.; Falco, T.; Candela, R.G.; Badalamenti, N.; Loizzo, M.R. Ceiba speciosa (A. St.-Hil.) seeds oil: Fatty acids profiling by GC-MS and NMR and bioactivity. Molecules 2020, 25, 1037. [Google Scholar] [CrossRef] [Green Version]
- Stoessl, A.; Stothers, J.B. Carbon-13NMR studies. 96†—carbon-13 spectra of several polyhydroxylated 9,10-dihydrophenanthrene and phenanthrene derivatives. Org. Magn. Res. 1982, 20, 166. [Google Scholar] [CrossRef]
- Coxon, D.T.; Ogundana, S.K.; Dennis, C. Antifungal phenanthrenes in yam tubers. Phytochemistry 1982, 21, 1389–1392. [Google Scholar] [CrossRef]
- Hardegger, E.; Schellenbaum, M.; Corrodi, H. Welkstoffe und Antibiotika. 27. Mitteilung. Über induzierte Abwehrstoffe bei Orchideen II. Helv. Chim. Acta 1963, 46, 1171–1180. [Google Scholar] [CrossRef]
- Urech, J.; Fechtig, B.; Nüesch, J.; Vischer, E. Hircinol, eine antifungisch wirksame Substanz aus Knollen von Loroglossum hircinum (L.) Rich. Helv. Chim. Acta 1963, 46, 2758–2766. [Google Scholar] [CrossRef]
- Fisch, M.H.; Flick, B.H.; Arditti, J. Structure and antifungal activity of hircinol, loroglossol and orchinol. Phytochemistry 1973, 12, 437–441. [Google Scholar] [CrossRef] [Green Version]
- Letcher, R.M.; Nhamo, L.R.M. Structure of orchinol, loroglossol, and hircinol. J. Chem. Soc. Perkin Trans. 1973, 1, 1263–1265. [Google Scholar] [CrossRef]
- Pagani, F. Isolation and identification of loroglossin and of some flavonol heterosides from Orchis papilionacea L. (Orchidaceae). Boll. Chim. Farm. 1982, 121, 174–177. [Google Scholar]
- Oechslin-Merkel, K.; Konig, G.M.; Oechslin St., M.; Miyagawa, M.; Wright, A.D.; Sticher, O. A new glycoside from Sobralia violacea related to phytoalexins from orchids. Planta Med. 1991, 57, A126. [Google Scholar] [CrossRef]
- Wu, Y.P.; Liu, W.J.; Zhong, W.J.; Chen, Y.J.; Chen, D.N.; He, F.; Jiang, L. Phenolic compounds from the stems of Flickingeria fimbriata. Nat. Prod. Res. 2017, 31, 1518–1522. [Google Scholar] [CrossRef] [PubMed]
- Zhu, X.Y.; Zhou, Y.T.; Yan, H.G.; Fu, H.; Guo, J.; Yang, M.H. Chemical constituents from ethyl acetate extracts of Pholidota articulata. Chin. Tradit. Herb. Drugs 2020, 51, 6151–6156. [Google Scholar]
- Wang, J.; Wang, L.; Kitanaka, S. Stilbene and dihydrophenanthrene derivatives from Pholidota chinensis and their nitric oxide inhibitory and radical-scavenging activities. J. Nat. Med. 2007, 61, 381–386. [Google Scholar] [CrossRef]
- Song, S.P.; Jiang, F.; Li, C.H.; Wei, T.; Yu, Y.F.; Tian, X.H. Chemical constituents from Liparis japonica. Chin. Pharm. J. 2018, 53, 104–108. [Google Scholar]
- Ren, J.; Fan, C.; Guo, Y.G.; Yan, S.K.; Ye, R.D.; Zhang, Y.; Jin, H.Z.; Zhang, W.D. New biphenantherene and nervogenic acid derivatives from Liparis regnieri Finet and their inhibitory activities against NF-κB activation. Tetrahedron 2017, 73, 1611–1617. [Google Scholar] [CrossRef]
- Ren, J.; Qian, X.P.; Guo, Y.G.; Li, T.; Yan, S.K.; Jin, H.Z.; Zhang, W.D. Two new phenanthrene glycosides from Liparis regnieri Finet and their antibacterial activities. Phytochem. Lett. 2016, 18, 64–67. [Google Scholar] [CrossRef]
- Wang, Y.; Chen, S.; Lu, D.P.; Zhang, L.R. Chemical constituents of Anoectochilus roxburghii. Chin. Tradit. Herb. Drugs 2017, 48, 2619–2624. [Google Scholar]
- Wang, C.; Han, S.W.; Cui, B.S.; Wang, X.J.; Li, S. Chemical constituents from Pleione bulbocodioides. Zhongguo Zhongyao Zazhi 2014, 39, 442–447. [Google Scholar]
- Zhou, X.M.; Zheng, C.J.; Gan, L.S.; Chen, G.Y.; Zhang, X.P.; Song, X.P.; Li, G.N.; Sun, C.G. Bioactive phenanthrene and bibenzyl derivatives from the stems of Dendrobium nobile. J. Nat. Prod. 2016, 79, 1791–1797. [Google Scholar] [CrossRef] [PubMed]
- Zhao, N.; Yang, G.; Zhang, Y.; Chen, L.; Chen, Y. A new 9,10-dihydrophenanthrene from Dendrobium moniliforme. Nat. Prod. Res. 2016, 30, 174–179. [Google Scholar] [CrossRef]
- Sritularak, B.; Anuwat, M.; Likhitwitayawuid, K. A new phenanthrenequinone from Dendrobium draconis. J. Asian Nat. Prod. Res. 2011, 13, 251–255. [Google Scholar] [CrossRef] [PubMed]
- Hwang, J.S.; Lee, S.A.; Hong, S.S.; Han, X.H.; Lee, C.; Kang, S.J.; Lee, D.; Kim, Y.; Hong, J.T.; Lee, M.K.; et al. Phenanthrenes from Dendrobium nobile and their inhibition of the LPS-induced production of nitric oxide in macrophage RAW 264.7 cells. Bioorg. Med. Chem. Lett. 2010, 20, 3785–3787. [Google Scholar] [CrossRef] [PubMed]
- Zhang, C.F.; Shao, L.; Huang, W.H.; Wang, L.; Wang, Z.T.; Xu, L.S. Phenolic components from herbs of Dendrobium aphyllum. Zhongguo Zhongyao Zazhi 2008, 33, 2922–2925. [Google Scholar]
- Hu, J.M.; Chen, J.J.; Yu, H.; Zhao, Y.X.; Zhou, J. Two novel bibenzyls from Dendrobium trigonopus. J. Asian Nat. Prod. Res. 2008, 10, 647–651. [Google Scholar] [CrossRef] [PubMed]
- Zhang, G.N.; Zhang, C.F.; Wang, Z.T.; Xu, L.S. Studies on chemical constituents of Dendrobium thyrsiflorum Rchb. Chin. J. Nat. Med. 2004, 2, 78–81. [Google Scholar]
- Yang, M.H.; Yoon, K.D.; Chin, Y.W.; Park, J.H.; Kim, J. Phenolic compounds with radical scavenging and cyclooxygenase-2 (COX-2) inhibitory activities from Dioscorea opposita. Bioorg. Med. Chem. 2009, 17, 2689–2694. [Google Scholar] [CrossRef] [PubMed]
- Warinhomhoun, S.; Muangnoi, C.; Buranasudja, V.; Mekboonsonglarp, W.; Rojsitthisak, P.; Likhitwitayawuid, K.; Sritularak, B. Antioxidant Activities and Protective Effects of Dendropachol, a New Bisbibenzyl Compound from Dendrobium pachyglossum, on Hydrogen Peroxide-Induced Oxidative Stress in HaCaT Keratinocytes. Antioxidants 2021, 10, 252. [Google Scholar] [CrossRef]
- Li, Y.; Wang, C.L.; Wang, Y.J.; Wang, F.F.; Guo, S.X.; Yang, J.S.; Xiao, P.G. Four new bibenzyl derivatives from Dendrobium candidum. Chem. Pharm. Bull. 2009, 57, 997–999. [Google Scholar] [CrossRef] [Green Version]
- Haydari, M.; Maresca, V.; Rigano, D.; Taleei, A.; Shahnejat-Bushehri, A.A.; Hadian, J.; Sorbo, S.; Guida, M.; Manna, C.; Piscopo, M. Salicylic Acid and Melatonin Alleviate the Effects of Heat Stress on Essential Oil Composition and Antioxidant Enzyme Activity in Mentha × piperita and Mentha arvensis L. Antioxidants 2019, 8, 547. [Google Scholar] [CrossRef] [Green Version]
- Krishna, S.; Miller, L.S. Innate and adaptive immune responses against Staphylococcus aureus skin infections. Semin. Immunopathol. 2012, 34, 261–280. [Google Scholar] [CrossRef]
- Qian, C.-D.; Jiang, F.-S.; Yu, H.-S.; Shen, Y.; Fu, Y.-H.; Cheng, D.-Q.; Gan, L.-S.; Ding, Z.-S. Antibacterial Biphenanthrenes from the Fibrous Roots of Bletilla striata. J. Nat. Prod. 2015, 78, 939–943. [Google Scholar] [CrossRef]
- Cheng, L.; Guo, D.L.; Zhang, M.S.; Linghu, L.; Fu, S.B.; Deng, Y.; He, Y.-Q.; Xiao, S.-J. Dihydrophenanthrofurans and bisbibenzyl derivatives from the stems of Dendrobium nobile. Fitoterapia 2020, 143, 104586. [Google Scholar] [CrossRef]
- Yang, M.; Cai, L.; Tai, Z.; Zeng, X.; Ding, Z. Four new phenanthrenes from Monomeria barbata Lindl. Fitoterapia 2010, 81, 992–997. [Google Scholar] [CrossRef]
- Paudel, M.R.; Chand, M.B.; Pant, B.; Pant, B. Antioxidant and cytotoxic activities of Dendrobium moniliforme extracts and the detection of related compounds by GC-MS. BMC Complementary Altern. Med. 2018, 18, 134. [Google Scholar] [CrossRef] [PubMed] [Green Version]
- Lee, C.-L.; Chang, F.-R.; Yen, M.-H.; Yu, D.; Liu, Y.-N.; Bastow, K.F.; Morris-Natschke, S.L.; Wu, Y.-C.; Lee, K.-H. Cytotoxic phenanthrenequinones and 9,10-dihydrophenanthrenes from Calanthe arisanensis. J. Nat. Prod. 2009, 72, 210–213. [Google Scholar] [CrossRef] [Green Version]
- Bús, C.; Kúsz, N.; Kincses, A.; Szemerédi, N.; Spengler, G.; Bakacsy, L.; Purger, D.; Berkecz, R.; Hohmann, J.; Hunyadi, A.; et al. Antiproliferative Phenanthrenes from Juncus tenuis: Isolation and diversity-oriented semisynthetic modification. Molecules 2020, 25, E5983. [Google Scholar] [CrossRef]
- Itharat, A.; Thongdeeying, P.; Ruangnoo, S. Isolation and characterization of a new cytotoxic dihydrophenanthrene from Dioscorea membranacea rhizomes and its activity against five human cancer cell lines. J. Ethnopharmacol. 2014, 156, 130–134. [Google Scholar] [CrossRef]
- Kil, Y.S.; Park, J.; Han, A.R.; Woo, H.; Seo, E.K. A new 9, 10-dihydrophenanthrene and cell proliferative 3, 4-δ-dehydrotocopherols from Stemona tuberosa. Molecules 2015, 20, 5965–5974. [Google Scholar] [CrossRef] [PubMed] [Green Version]
- Zhan, R.; Wang, Z.C.; Yin, B.L.; Liu, Y.; Chen, Y.G. Novel 9, 10-dihydrophenanthrene derivatives from Eria bambusifolia with cytotoxicity aganist human cancer cells in vitro. Chin. J. Nat. Med. 2016, 14, 621–625. [Google Scholar] [CrossRef] [PubMed]
- Laurino, S.; Mazzone, P.; Ruggieri, V.; Zoppoli, P.; Calice, G.; Lapenta, A.; Ciuffi, M.; Ignomirelli, O.; Vita, G.; Sgambato, A.; et al. Cationic channel TRPV2 overexpression promotes resistance to cisplatin-induced apoptosis in gastric cancer cells. Front. Pharmacol. 2021, 12, 746628. [Google Scholar] [CrossRef] [PubMed]
- Lu, R.; Zhao, G.; Yang, Y.; Jiang, Z.; Cai, J.; Hu, H. Inhibition of CD133 overcomes cisplatin resistance through inhibiting PI3K/AKT/MTOR signaling pathway and autophagy in CD133-positive gastric cancer cells. Technol. Cancer Res. Treat. 2019, 18, 1533033819864311. [Google Scholar] [CrossRef] [Green Version]
- Zhang, Y.; Zhang, Q.; Xin, W.; Liu, N.; Zhang, H. Nudol, a phenanthrene derivative from Dendrobium nobile, induces cell cycle arrest and apoptosis and inhibits migration in osteosarcoma Cells. Drug Des. Dev. Ther. 2019, 13, 2591–2601. [Google Scholar] [CrossRef] [Green Version]
- Shyur, L.-F.; Chen, C.-H.; Lo, C.-P.; Wang, S.-Y.; Kang, P.-L.; Sun, S.-J.; Chang, C.A.; Tzeng, C.-M.; Yang, N.-S. Induction of apoptosis in MCF-7 human breast cancer cells by phytochemicals from Anoectochilus formosanus. J. Biomed. Sci. 2004, 11, 928–939. [Google Scholar] [CrossRef]
- Song, J.I.; Kang, Y.J.; Yong, H.-Y.; Kim, Y.C.; Moon, A. Denbinobin, a Phenanthrene from Dendrobium Nobile, Inhibits Invasion and Induces Apoptosis in SNU-484 Human Gastric Cancer Cells. Oncol. Rep. 2012, 27, 813–818. [Google Scholar]
- Joshi, P.R.; Paudel, M.R.; Chand, M.B.; Pradhan, S.; Pant, K.K.; Joshi, G.P.; Bohara, M.; Wagner, S.H.; Pant, B.; Pant, B. Cytotoxic effect of selected wild orchids on two different human cancer cell lines. Heliyon 2020, 6, e03991. [Google Scholar] [CrossRef] [PubMed]
- Tripathi, P.; Aditi, S. Indigenous Asian plants against cancer: A Comprehensive review. Int. J. Plant Res. 2015, 5, 80–86. [Google Scholar]
- Harbeck, R.J.; Homan, A.A.; Redecker, S.; Biundo, T.; Kurnick, J. The isolation and functional activity of polymorphonuclear leukocytes and lymphocytes separated from whole blood on a single percoll density gradient. Clin. Immunol. Immunopathol. 1982, 23, 682–690. [Google Scholar] [CrossRef]
- Barbosa, P.O.; Pala, D.; Silva, C.T.; de Souza, M.O.; do Amaral, J.F.; Vieira, R.A.L.; de Freitas Folly, G.A.; Volp, A.C.P.; de Freitas, R.N. Açai (Euterpe oleracea Mart.) pulp dietary intake improves cellular antioxidant enzymes and biomarkers of serum in healthy women. Nutrition 2016, 32, 674–680. [Google Scholar] [CrossRef]
- Bauer, A.W.; Kirby, W.M.; Sherris, J.C.; Turck, M. Antibiotic susceptibility testing by a standardized single disk method. Am. J. Clin. Pathol. 1966, 45, 493–496. [Google Scholar] [CrossRef]
- D’Alessio, G.; Zanfardino, A.; Pizzo, E.; Di Maro, A.; Varcamonti, M. The bactericidal action on Escherichia coli of ZF-RNase-3 is triggered by the suicidal action of the bacterium OmpT protease. FEBS J. 2010, 277, 1921–1928. [Google Scholar]
- Di Napoli, M.; Varcamonti, M.; Basile, A.; Bruno, M.; Maggi, F.; Zanfardino, A. Anti-Pseudomonas aeruginosa activity of hemlock (Conium maculatum, Apiaceae) essential oil. Nat. Prod. Res. 2019, 33, 3436–3440. [Google Scholar] [CrossRef]
- Prencipe, F.; Zanfardino, A.; Di Napoli, M.; Rossi, F.; D’errico, S.; Piccialli, G.; Mangiatordi, G.F.; Saviano, M.; Ronga, L.; Varcamonti, M.; et al. Silver (I) n-heterocyclic carbene complexes: A winning and broad spectrum of antimicrobial properties. Int. J. Mol. Sci. 2021, 22, 2497. [Google Scholar] [CrossRef]
- Wiegand, I.; Hilpert, K.; Hancock, R.E. Agar and broth dilution methods to determine the minimal inhibitory concentration (MIC) of antimicrobial substances. Nat. Protoc. 2008, 3, 163–175. [Google Scholar] [CrossRef] [PubMed]
Publisher’s Note: MDPI stays neutral with regard to jurisdictional claims in published maps and institutional affiliations. |
© 2021 by the authors. Licensee MDPI, Basel, Switzerland. This article is an open access article distributed under the terms and conditions of the Creative Commons Attribution (CC BY) license (https://creativecommons.org/licenses/by/4.0/).









