Genetic Variation for Traits Related to Phosphorus Use Efficiency in Lens Species at the Seedling Stage
Abstract
1. Introduction
2. Results
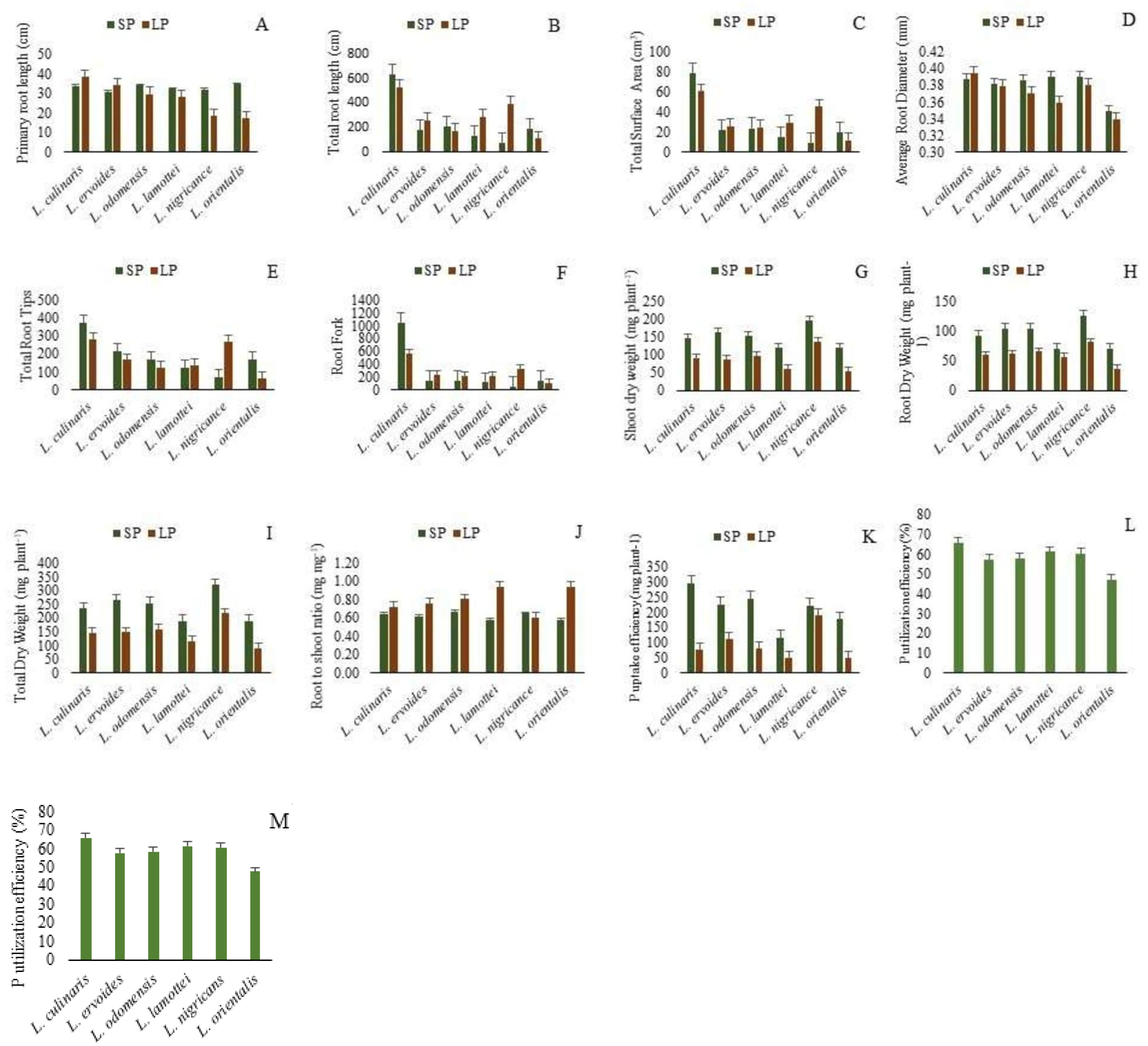
2.1. Variation in Root and Shoot Traits under SP and LP
2.2. Estimation of Genetic Variance and Broad-Sense Heritability
2.3. Genotypic Correlation among Root and Shoot Traits
2.4. Principal Component Analysis of Shoot and Root Traits
2.5. Genetic Variation in Lens sp.
2.6. Identification of Promising Genotypes for PupE and PutiE
2.7. Categorization of Lens Genotypes for PUE
3. Discussion
4. Materials and Methods
4.1. Plant Materials and Plant Growth Conditions
4.2. Trait Measurements
4.3. Estimation of P Concentration
4.4. Estimation of Phosphorus Use Efficiency
4.5. Statistical Analysis
Supplementary Materials
Author Contributions
Funding
Institutional Review Board Statement
Informed Consent Statement
Data Availability Statement
Acknowledgments
Conflicts of Interest
References
- Arumuganathan, K.; Earle, E.D. Nuclear DNA content of some important plant species. Plant Mol. Biol. Rep. 1991, 9, 208–218. [Google Scholar] [CrossRef]
- Zohary, D.; Hopf, M.; Weiss, E. Domestication of Plants in the Old World: The Origin and Spread of Domesticated Plants in Southwest Asia, Europe, and the Mediterranean Basin; Oxford University Press: Oxford, UK, 2012. [Google Scholar]
- Fuller, Q.D.; Harvey, L.E. The archaeobotany of Indian pulses: Identification, processing and evidence for cultivation. Environ. Archaeol. 2006, 11, 219–246. [Google Scholar] [CrossRef]
- FAOstat. Statistics Database of the Food and Agriculture Organization of the United Nations. 2021. Available online: http://www.fao.org/statistics/databases/en/ (accessed on 27 July 2021).
- Heuer, S.; Gaxiola, R.; Schilling, R.; Herrera-Estrella, L.; Lopez-Arredondo, D.; Wissuwa, M.; Rouached, H. Improving phosphorus use efficiency: A complex trait with emerging opportunities. Plant J. 2017, 90, 868–885. [Google Scholar] [CrossRef] [PubMed]
- Mogollón, J.M.; Beusen, A.H.W.; Van Grinsven, H.J.M.; Westhoek, H.; Bouwman, A.F. Future agricultural phosphorus demand according to the shared socioeconomic pathways. Glob. Environ. Chang. 2018, 50, 149–163. [Google Scholar] [CrossRef]
- Li, H.; Yang, Y.; Zhang, H.; Chu, S.; Zhang, X.; Yin, D.; Yu, D.; Zhang, D. A genetic relationship between phosphorus efficiency and photosynthetic traits in soybean as revealed by QTL analysis using a high-density genetic map. Front. Plant Sci. 2016, 7, 924. [Google Scholar] [CrossRef]
- Kochian, L.V.; Hoekenga, O.A.; Pineros, M.A. How do crop plants tolerate acid soils? Mechanisms of aluminum tolerance and phosphorous efficiency. Annu. Rev. Plant Biol. 2004, 55, 459–493. [Google Scholar] [CrossRef]
- Jez, J.M.; Lee, S.G.; Sherp, A.M. The next green movement: Plant biology for the environment and sustainability. Science 2016, 353, 1241–1244. [Google Scholar] [CrossRef] [PubMed]
- Kidd, D.R.; Ryan, M.H.; Haling, R.E.; Lambers, H.; Sandral, G.A.; Yang, Z.; Simpson, R.J. Rhizosphere carboxylates and morphological root traits in pasture legumes and grasses. Plant Soil 2015, 402, 77–89. [Google Scholar] [CrossRef]
- Hammond, J.; Broadley, M.; White, P.; King, G.; Bowen, H.; Hayden, R.; Meacham, M.; Mead, A.; Overs, T.; Spracklen, W.; et al. Shoot yield drives phosphorus use efficiency in Brassica oleracea and correlates with root architecture traits. J. Exp. Bot. 2009, 60, 1953–1968. [Google Scholar] [CrossRef]
- Rose, T.J.; Wissuwa, M. Rethinking internal phosphorus utilization efficiency (PUE): A new approach is needed to improve PUE in grain crops. Adv. Agron. 2012, 116, 185–217. [Google Scholar]
- Sarkar, B.C.; Karmoker, J. Effects of phosphorus deficiency on the root growth of lentil seedlings grown in rhizobox. Bangladesh J. Bot. 2009, 38, 215–218. [Google Scholar] [CrossRef]
- Zhang, D.; Cheng, H.; Geng, L.; Kan, G.; Cui, S.; Meng, Q.; Gai, J.; Yu, D. Detection of quantitative trait loci for phosphorus deficiency tolerance at soybean seedling stage. Euphytica 2009, 167, 313–322. [Google Scholar] [CrossRef]
- Van de Wiel, C.C.; van der Linden, C.G.; Scholten, O.E. Improving phosphorus use efficiency in agriculture: Opportunities for breeding. Euphytica 2016, 207, 1–22. [Google Scholar] [CrossRef]
- Jakkeral, S.A.; Kajjidoni, S.T.; Koti, R.V. Genotypic variation for root traits to phosphorus deficiency in blackgram (Vigna mungo L. Hepper). Karnataka J. Agric. Sci. 2009, 22, 946–950. [Google Scholar]
- Pandey, R.; Meena, S.K.; Krishnapriya, V.; Ahmad, A.; Kishora, N. Root carboxylate exudation capacity under phosphorus stress does not improve grain yield in green gram. Plant Cell Rep. 2014, 33, 919–928. [Google Scholar] [CrossRef]
- Reddy, V.; Aski, M.; Mishra, G.; Dikshit, H.K.; Singh, A.; Pandey, R.; Singh, M.P.; Gayacharan; Ramtekey, V.; Rai, N.; et al. Genetic variation for root architectural traits in response to phosphorus deficiency in mungbean at the seedling stage. PLoS ONE 2020, 15, e0221008. [Google Scholar] [CrossRef] [PubMed]
- Furlani, A.M.C.; Furlani, R.R.; Tanaka, R.T.; Mascarenhas, H.A.A.; Delgado, M.D.P. Variability of soybean germplasm in relation to phosphorus uptake and use efficiency. Sci. Agric. 2002, 59, 529–536. [Google Scholar] [CrossRef][Green Version]
- Pang, J.; Zhao, H.; Bansal, R.; Bohuon, E.; Lambers, H.; Ryan, M.H.; Siddique, K.H. Leaf transpiration plays a role in phosphorus acquisition among a large set of chickpea genotypes. Plant Cell Environ. 2018, 41, 2069–2079. [Google Scholar] [CrossRef]
- Pang, J.; Ryan, M.H.; Tibbett, M.; Cawthray, G.R.; Siddique, K.H.M.; Bolland, M.D.A.; Denton, M.D.; Lambers, H. Variation in morphological and physiological parameters in herbaceous perennial legumes in response to phosphorus supply. Plant Soil 2010, 331, 241–255. [Google Scholar] [CrossRef]
- Ladizinsky, G. The origin of lentil and its wild genepool. Euphytica 1979, 28, 179–187. [Google Scholar] [CrossRef]
- Ferguson, M.E.; Maxted, N.; Slangeren, H.V.; Robertson, L.D. A reassessment of the taxonomy of Lens Mill. (Leguminosae, Papilionoidae, Vicieae). Bot. J. Lin. Soc. 2000, 133, 41–59. [Google Scholar] [CrossRef]
- Fageria, N.K.; Moreira, A.; Santos, A.B. Phosphorus Uptake and Use Efficiency in Field Crops. J. Plant Nutr. 2013, 36, 2013–2022. [Google Scholar] [CrossRef]
- Faez, A.; Adam, P.; David, J. Root Architecture and Genetic Variations Associated with Phosphorus Uptake in Rice. Int. J. Appl. Agric. Sci. 2015, 1, 1. [Google Scholar] [CrossRef][Green Version]
- Gorim, Y.L.; Vanderberg, A. Root Traits, Nodulation and Root Distribution in Soil for Five Wild Lentil Species and Lens culinaris (Medik.) Grown under Well-Watered Conditions. Front. Plant Sci. 2017, 8, 1632. [Google Scholar] [CrossRef]
- Akhtar, M.S.; Oki, Y.; Adachi, T.; Murata, Y.; Khan, M.H. Relative phosphorus utilization efficiency, growth response, and phosphorus uptake kinetics of brassica cultivars under a phosphorus stress environment. Commun. Soil Sci. Plant Anal. 2007, 38, 1061–1085. [Google Scholar] [CrossRef]
- Silva, D.A.; Esteves, J.A.; Gonçalves, J.G.; Azevedo, C.V.; Ribeiro, T.; Chiorato, A.F.; Carbonell, S.A. Evaluation of common bean genotypes for phosphorus use efficiency in eutrophic Oxisol. Bragantia 2016, 75, 152–163. [Google Scholar] [CrossRef]
- Wang, Q.J.; Yuan, Y.; Liao, Z.; Jiang, Y.; Wang, Q.; Zhang, L.; Lu, Y. Genome-Wide Association Study of 13 Traits in Maize Seedlings under Low Phosphorus Stress. Plant Genome 2019, 12, 190039. [Google Scholar] [CrossRef]
- Gill, H.; Singh, A.; Sethi, S.; Behl, R. Phosphorus uptake and use efficiency in different varieties of bread wheat (Triticum aestivum L.). Arch. Agron. Soil Sci. 2004, 50, 563–572. [Google Scholar] [CrossRef]
- Negarestani, M.; Tohidi-Nejad, E.; Khajoei-Nejad, G.; Nakhoda, B.; Mohammadi-Nejad, G. Comparison of Different Multivariate Statistical Methods for Screening the Drought Tolerant Genotypes of Pearl Millet (Pennisetum americanum L.) and Sorghum (Sorghum bicolor L.). Agronomy 2019, 9, 645. [Google Scholar] [CrossRef]
- Grzesiak, S.; Hordyńska, N.; Szczyrek, P.; Grzesiak, M.T.; Noga, A.; Szechyńska-Hebda, M. Variation among wheat (Triticumaestivum L.) genotypes in response to the drought stress: I–selection approaches. J. Plant Interact. 2019, 14, 30–44. [Google Scholar] [CrossRef]
- Fageria, N.K. Workshop on Adaption of Plants to Soil Stresses. Screening Crop Genotypes for Mineral Stresses; University of Nebraska: Lincoln, NE, USA, 1993; pp. 142–162. [Google Scholar]
- Kosar, H.S.; Gill, M.A.; Aziz, T.; Tahir, M.A. Relative phosphorus utilization efficiency of wheat genotypes in hydroponics. Pak. J. Agric. Sci. 2003, 40, 28–32. [Google Scholar]
- Sandhu, N.; Raman, K.; Torres, R.; Audebert, A.; Dardou, A.; Kumar, A.; Henry, A. Rice Root Architectural Plasticity Traits and Genetic Regions for Adaptability to Variable Cultivation and Stress Conditions. Plant Physiol. 2016, 171, 2562–2576. [Google Scholar] [CrossRef]
- Li, P.; Chen, F.; Cai, H.; Liu, J.; Pan, Q.; Liu, Z.; Yuan, L. genetic relationship between nitrogen use efficiency and seedling root traits in maize as revealed by QTL analysis. J. Exp. Bot. 2015, 66, 3175–3188. [Google Scholar] [CrossRef] [PubMed]
- Pang, J.; Bansal, R.; Zhao, H.; Bohuon, E.; Lambers, H.; Ryan, M.H.; Siddique, K.H. The carboxylate-releasing phosphorus-mobilizing strategy can be proxied by foliar manganese concentration in a large set of chickpea germplasm under low phosphorus supply. New Phytol. 2018, 219, 518–529. [Google Scholar] [CrossRef] [PubMed]
- Ju, C.; Zhang, W.; Liu, Y.; Gao, Y.; Wang, X.; Yan, J.; Yang, X.; Li, J. Genetic analysis of seedling root traits reveals the association of root trait with other agronomic traits in maize. BMC Plant Biol. 2018, 18, 171. [Google Scholar] [CrossRef]
- Narang, R.A.; Bruene, A.; Altmann, T. Analysis of Phosphate Acquisition Efficiency in Different Arabidopsis Accessions. Plant Physiol. 2000, 124, 1786–1799. [Google Scholar] [CrossRef] [PubMed]
- Rose, T.J.; Rose, M.T.; Pariasca-Tanaka, J.; Heuer, S.; Wissuwa, M. The frustration with utilization: Why have improvements in internal phosphorus utilization efficiency in crops remained so elusive? Front. Plant Sci. 2011, 2, 73. [Google Scholar] [CrossRef]
- Mukherjee, A.; Sarkar, S.; Chakraborty, A.S.; Yelne, R.; Kavishetty, V.; Biswas, T.; Bhattacharyya, S. Phosphate acquisition efficiency and phosphate starvation tolerance locus (PSTOL1) in rice. J. Genet. 2014, 93, 683–688. [Google Scholar] [CrossRef] [PubMed]
- Torres, L.; Caixeta, D.; Rezende, W.; Schuster, A.; Azevedo, C.; e Silva, F.F.; DeLima, R. Genotypic variation and relationships among traits for root morphology in a panel of tropical maize inbred lines under contrasting nitrogen levels. Euphytica 2019, 215, 51. [Google Scholar] [CrossRef]
- Abdel Ghani, A.; Kumar, B.; Reyes-Matamoros, J.; Gonzalez-Portilla, P.; Jansen, C.; Martin, J.; Lee, M.; Lubberstedt, T. Genotypic variation and relationships between seedling and adult plant traits in maize (Zea mays L.) inbred lines grown under contrasting nitrogen levels. Euphytica 2012, 189, 123–133. [Google Scholar] [CrossRef]
- Krishnapriya, V.; Pandey, R. Root exudation index: Screening organic acid exudation and phosphorus acquisition efficiency in soybean genotypes. Crop Pasture Sci. 2016, 67, 1096. [Google Scholar] [CrossRef]
- Ao, J.; Fu, J.; Tian, J.; Yan, X.; Liao, H. Genetic variability for root morph-architecture traits and root growth dynamics as related to phosphorus efficiency in soybean. Funct. Plant Biol. 2010, 37, 304. [Google Scholar] [CrossRef]
- Aziz, T.; Ahmed, I.; Farooq, M.; Maqsood, M.A.; Sabir, M. Variation in phosphorus efficiency among Brassica cultivars I: Internal utilization and phosphorus remobilization. J. Plant Nutr. 2011, 34, 2006–2017. [Google Scholar] [CrossRef]
- Ma, Q.; Chen, L.; Du, M.; Zhang, Y.; Zhang, Y. Localized and Moderate Phosphorus Application Improves Plant Growth and Phosphorus Accumulation in Rosa multiflora Thunb. ex Murr. via Efficient Root System Development. Forests 2020, 11, 570. [Google Scholar] [CrossRef]
- Wissuwa, M.; Kondo, K.; Fukuda, T.; Mori, A.; Rose, M.T.; Pariasca-Tanaka, J.; Kretzschmar, T.; Haefele, S.M.; Rose, T.J. Unmasking novel loci for internal phosphorus utilization efficiency in rice germplasm through genome-wide association analysis. PLoS ONE 2015, 10, e0124215. [Google Scholar] [CrossRef]
- Steingrobe, B.; Schmid, H.; Claassen, N. Root production and root mortality of winter barley and its implication with regard to phosphate acquisition. Plant Soil 2001, 237, 239–248. [Google Scholar] [CrossRef]
- Steingrobe, B. Root renewal of sugar beet as a mechanism of P uptake efficiency. J. Plant Nutr. Soil Sci. 2001, 164, 533–539. [Google Scholar] [CrossRef]
- Carvalho, P.; Foulkes, M.J. Roots root and Uptake of Water and Nutrients roots uptake of water and nutrients. In Sustainable Food Production; Springer: New York, NY, USA, 2013. [Google Scholar]
- Ghimire, B.; Hulbert, S.H.; Steber, C.M.; Garland-Campbell, K.; Sanguinet, K.A. Characterization of root traits for improvement of spring wheat in the Pacific Northwest. Agron. J. 2020, 112, 228–240. [Google Scholar] [CrossRef]
- Mori, A.; Fukuda, T.; Vejchasarn, P.; Nestler, J.; Pariasca-Tanaka, J.; Wissuwa, M. The role of root size versus root efficiency in phosphorus acquisition in rice. J. Exp. Bot. 2016, 67, 1179–1189. [Google Scholar] [CrossRef]
- Hamdi, A.; Erskine, W. Reaction of wild species of the genus Lens to drought. Euphytica 1996, 91, 173–179. [Google Scholar] [CrossRef]
- Hamdi, A.; Küsmenoĝlu, I.; Erskine, W. Sources of winter hardiness in wild lentil. Genet. Resour. Crop Evol. 1996, 43, 63–67. [Google Scholar] [CrossRef]
- Singh, D.; Singh, C.K.; Kumari, S.; Tomar, R.S.S.; Karwa, S.; Singh, R.; Singh, R.B.; Sarkar, S.K.; Pal, M. Discerning morpho-anatomical, physiological and molecular multiformity in cultivated and wild genotypes of lentil with reconciliation to salinity stress. PLoS ONE 2017, 12, e0190462. [Google Scholar] [CrossRef]
- Bilal, H.M.; Aziz, T.; Maqsood, M.A.; Farooq, M.; Yan, G. Categorization of wheat genotypes for phosphorus efficiency. PLoS ONE 2018, 13, e0205471. [Google Scholar] [CrossRef] [PubMed]
- Abbas, M.; Aslam, M.; Shah, J.A.; Depar, N.; Memon, M.Y. Relative growth response of hydroponically grown wheat genotypes to deficient and adequate phosphorus levels. Pak. J. Agric. Agric. Eng. Vet. Sci. 2016, 32, 169–181. [Google Scholar]
- Irfan, M.; Abbas, M.; Shah, J.A.; Akram, M.A.; Depar, N.; Memon, M.Y. Categorization and Identification of Brassica Genotypes for Phosphorus Utilization Efficiency. Int. J. Agric. Biol. 2020, 23, 227–234. [Google Scholar] [CrossRef]
- Irfan, M.; Aziz, T.; Maqsood, M.A.; Bilal, H.M.; Siddique, K.H.M.; Xu, M. Phosphorus (P) use efficiency in rice is linked to tissue-specific biomass and P allocation patterns. Sci. Rep. 2020, 10, 4278. [Google Scholar] [CrossRef] [PubMed]
- Thiry, A.A.; Chavez Dulanto, P.N.; Reynolds, M.P.; Davies, W.J. How can we improve crop genotypes to increase stress resilience and productivity in a future climate? A new crop screening method based on productivity and resistance to abiotic stress. J. Exp. Bot. 2016, 67, 5593–5603. [Google Scholar] [CrossRef]
- Sareen, S.; Tyagi, B.S.; Sharma, I. Response estimation of wheat synthetic lines to terminal heat stress using stress indices. J. Agric. Sci. 2012, 4, 97–104. [Google Scholar] [CrossRef][Green Version]
- Khodarahmpour, Z.; Choukan, R.; Bihamta, M.R.; Hervan, E.M. Determination of the best heat stress tolerance indices in maize (Zea mays L.) inbred lines and hybrids under Khuzestan Province conditions. J. Agric. Sci. Technol. 2011, 13, 111–121. [Google Scholar]
- Sivasakthi, K.; Tharanya, M.; Kholová, J.; Wangari Muriuki, R.; Thirunalasundari, T.; Vadez, V. Chickpea genotypes contrasting for vigor and canopy conductance also differ in their dependence on different water transport pathways. Front. Plant Sci. 2017, 8, 1663. [Google Scholar] [CrossRef]
- Murphy, J.; Riley, J.P. A modified single solution method for the determination of phosphate in natural waters. Anal. Chim. Acta 1962, 27, 31–36. [Google Scholar] [CrossRef]
- Neto, A.P.; Favarin, J.L.; Hammond, J.P.; Tezotto, T.; Couto, H.T. Analysis of Phosphorus Use Efficiency Traits in Coffea Genotypes Reveals Coffea arabica and Coffeacanephora Have Contrasting Phosphorus Uptake and Utilization Efficiencies. Front. Plant Sci. 2016, 7, 408. [Google Scholar] [CrossRef]
- Osborne, L.D.; Rengel, Z. Screening cereals for genotypic variation in efficiency of phosphorus uptake and utilisation. Aust. J. Agric. Res. 2002, 53, 295–303. [Google Scholar] [CrossRef]
- Aziz, T.; Finnegan, P.M.; Lambers, H.; Jost, R. Organ-Specific phosphorus-allocation patterns and transcript profiles linked to phosphorus efficiency in two contrasting wheat genotypes. Plant Cell Environ. 2014, 37, 943–960. [Google Scholar] [CrossRef] [PubMed]
- Gulles, A.A.; Bartolome, V.I.; Morantte, R.I.Z.A.; Nora, L.A. Randomization and analysis of data using STAR (Statistical Tool for Agricultural Research). Philipp. J. Crop Sci. 2014, 39, 137. [Google Scholar]
- Hallauer, A.R.; Miranda Filho, J.B.; Carena, M.J. Quantitative Genetics in Maize Breeding; Springer: New York, NY, USA, 2010. [Google Scholar]
- Le, S.; Josse, J.; Husson, F. FactoMineR: An R Package for Multivariate Analysis. J. Stat. Softw. 2008, 25, 1–18. [Google Scholar] [CrossRef]







| Traits | Max | Min | Mean | CV% | % Change in Mean | ||||
|---|---|---|---|---|---|---|---|---|---|
| SP | LP | SP | LP | SP | LP | SP | LP | ||
| PRL | 50.00 | 46.83 | 19.50 | 17.33 | 35.72 | 33.61 | 9.11 | 5.86 | −5.91 |
| TRL | 1211.40 | 1380.41 | 43.42 | 80.44 | 366.79 | 418.34 | 10.68 | 8.61 | 14.05 |
| TSA | 171.87 | 133.05 | 9.45 | 9.08 | 59.02 | 48.57 | 10.26 | 9.62 | −17.70 |
| ARD | 0.47 | 0.46 | 0.34 | 0.33 | 0.39 | 0.38 | 7.17 | 6.97 | −2.56 |
| TRV | 1.80 | 1.35 | 0.10 | 0.08 | 0.52 | 0.47 | 11.14 | 13.72 | −9.61 |
| TRT | 873.67 | 640.33 | 55.00 | 42.40 | 309.70 | 235.14 | 10.10 | 13.14 | −24.07 |
| RF | 5630.67 | 1830.33 | 31.67 | 44.33 | 725.67 | 445.80 | 13.71 | 10.41 | −38.57 |
| SDW | 260.00 | 163.33 | 78.89 | 55.56 | 148.65 | 89.76 | 12.60 | 13.61 | −39.62 |
| RDW | 173.33 | 88.89 | 56.67 | 43.33 | 95.94 | 61.20 | 11.28 | 8.67 | −36.21 |
| TDW | 424.44 | 235.56 | 151.11 | 103.33 | 244.59 | 149.84 | 11.35 | 10.26 | −38.74 |
| RSR | 0.99 | 1.14 | 0.43 | 0.40 | 0.66 | 0.71 | 9.86 | 10.73 | 7.58 |
| PupE | 768.01 | 266.49 | 115.65 | 19.50 | 275.65 | 84.80 | 11.03 | 14.20 | −69.23 |
| PutiE | 97.50 | 30.53 | 63.10 | 14.30 | |||||
| Trait | SP | LP | Combined Analysis | H | |||
|---|---|---|---|---|---|---|---|
| Genotypes | H | Genotypes | H | Genotypes | Genotypes × P Levels | ||
| PRL | 170.06 ** | 0.83 | 95.83 ** | 0.75 | 185.89 ** | 80.69 ** | 0.77 |
| TRL | 245,586.94 ** | 0.87 | 283,624.31 ** | 0.81 | 373,387.29 ** | 155,823.95 ** | 0.68 |
| TSA | 5281.87 ** | 0.78 | 2798.48 ** | 0.77 | 5911.29 ** | 2169.04 ** | 0.63 |
| ARD | 0.0017 ns | 0.27 | 0.0021 ** | 0.56 | 0.0020 ns | 0.0018 ns | 0.51 |
| TRV | 0.44 ** | 0.68 | 0.28 ** | 0.86 | 0.51 ** | 0.22 ** | 0.58 |
| TRT | 106,729.27 ** | 0.77 | 55,261.34 ** | 0.75 | 94,974.36 ** | 67,016.26 ** | 0.60 |
| RF | 3,024,814.93 ** | 0.82 | 628,467.26 ** | 0.79 | 2,552,335.63 ** | 1,100,946.56 ** | 0.87 |
| SDW | 5824.96 ** | 0.64 | 1919.93 ** | 0.70 | 4001.09 ** | 3743.80 ** | 0.62 |
| RDW | 2130.70 ** | 0.75 | 295.78 ** | 0.76 | 1312.65 ** | 1113.83 ** | 0.55 |
| TDW | 13,929.02 ** | 0.78 | 3350.26 ** | 0.81 | 9057.42 ** | 8221.86 ** | 0.59 |
| RSR | 0.036 ns | 0.71 | 0.053 ns | 0.73 | 0.049 ns | 0.04 ns | 0.38 |
| PupE | 19,779.26 ** | 0.77 | 3278.75 ** | 0.83 | 12,490.84 ** | 10,567.17 ** | 0.66 |
| Traits | PRL | TRL | TSA | ARD | TRV | TRT | RF | SDW | RDW | TDW | RSR | PupE |
|---|---|---|---|---|---|---|---|---|---|---|---|---|
| PRL | 1 | 0.31 ** | 0.26 ** | −0.05 ns | 0.29 ** | 0.22 ** | 0.26 ** | 0.04 ns | 0.02 ns | 0.02 ns | 0.12 ns | 0.17 ns |
| TRL | 0.39 ** | 1.00 | 0.87 ** | 0.01 ns | 0.84 ** | 0.71 ** | 0.69 ** | −0.03 ns | 0.17 ns | 0.09 ns | 0.01 ns | 0.19 ns |
| TSA | 0.38 ** | 0.91 ** | 1.00 | 0.14 ns | 0.88 ** | 0.70 ** | 0.72 ** | 0.06 ns | 0.20 * | −0.07 ns | −0.05 ns | 0.22 * |
| ARD | 0.27 ** | 0.17 ns | 0.27 ** | 1.00 | 0.12 ns | −0.03 ns | 0.12 ns | 0.08 ns | −0.05 ns | 0.05 ns | −0.10 ns | −0.05 ns |
| TRV | 0.39 ** | 0.89 ** | 0.91 ** | 0.36 ** | 1.00 | 0.71 ** | 0.76 ** | 0.07 ns | 0.10 ns | 0.13 ns | −0.04 ns | 0.24 * |
| TRT | 0.35 ** | 0.75 ** | 0.74 ** | 0.17 ns | 0.61 ** | 1.00 | 0.55 ** | 0.13 ns | 0.13 ns | 0.14 ns | 0.009 ns | 0.18 ns |
| RF | 0.24 * | 0.82 ** | 0.81 ** | 0.15 ns | 0.76 ** | 0.61 ** | 1.00 | −0.18 ns | −0.17 ns | −0.14 ns | 0.05 ns | 0.20 ns |
| SDW | 0.16 ns | 0.17 ns | 0.25 * | −0.13 ns | 0.25 * | 0.24 * | 0.11 ns | 1.00 | 0.67 ** | 0.94 ** | 0.44 ** | −0.16 ns |
| RDW | −0.07 ns | 0.35 ** | 0.29 ** | −0.05 ns | 0.32 ** | 0.29 ** | 0.37 ** | 0.70 ** | 1.00 | 0.89 ** | 0.12 ns | 0.26 * |
| TDW | −0.18 ns | 0.24 * | 0.14 ns | −0.08 ns | 0.28 * | 0.22 * | −0.13 ns | 0.92 ** | 0.84 ** | 1.00 | 0.24 ** | 0.51 * |
| RSR | −0.16 ns | −0.13 ns | −0.18 ns | −0.14 ns | −0.18 ns | −0.20 ns | −0.20 ns | −0.07 ns | 0.08 ns | 0.12 ns | 1.00 | 0.12 ns |
| PupE | −0.12 ns | 0.37 ** | 0.32 ** | −0.14 ns | −0.11 ns | 0.28 ** | 0.17 ns | 0.48 ** | 0.41 ** | 0.50 ** | −0.21 ns | 1.00 |
| Genotypes | TDW | SDW | RDW | PupE | PutiE |
|---|---|---|---|---|---|
| L4727 | ● | ● | |||
| EC718309 | ● | ● | ● | ● | |
| EC714238 | ● | ● | ● | ||
| PL-97 | ● | ● | |||
| EC718348 | ● | ● | ● | ● | |
| DPL15 | ● | ● | |||
| PL06 | ● | ● | ● | ● | |
| EC718332 | ● | ● | ● | ● |
| Source of Variation | TRL | TSA | TRV | TRT | RF |
|---|---|---|---|---|---|
| Genotypes (G) | 236,318.26 ** | 1079.60 ** | 0.22 ** | 78,185.22 ** | 84,840.08 ** |
| Phosphorus (P) | 278,296.26 ** | 2570.80 ** | 0.18 ** | 106,408.33 ** | 227,395.75 ** |
| G × P | 44,739.47 ** | 407.51 ** | 0.04 ** | 16,310.52 ** | 34,350.79 ** |
| Genotypes | PRL | TRL | TSA | ARD | TRV | TRT | RF | SDW | RDW | TDW | RSR | PupE | PutiE |
|---|---|---|---|---|---|---|---|---|---|---|---|---|---|
| PupE | |||||||||||||
| EC718332 | 32.00 | 341.35 | 29.26 | 0.36 | 0.28 | 251.33 | 315.67 | 130.00 | 80.00 | 210.00 | 0.62 | 266.49 | 92.65 |
| EC718348 | 39.33 | 85.60 | 10.11 | 0.41 | 0.10 | 188.33 | 47.67 | 130.00 | 86.67 | 216.67 | 0.67 | 263.25 | 59.09 |
| EC718309 | 38.00 | 776.93 | 92.48 | 0.37 | 0.65 | 336.00 | 1718.33 | 140.00 | 83.33 | 223.33 | 0.60 | 257.65 | 82.72 |
| EC718339 | 34.00 | 88.34 | 11.79 | 0.40 | 0.13 | 68.00 | 69.00 | 123.33 | 60.00 | 183.33 | 0.49 | 192.29 | 50.93 |
| EC714238 | 18.67 | 393.43 | 45.53 | 0.38 | 0.33 | 269.33 | 324.33 | 136.67 | 83.33 | 220.00 | 0.61 | 189.62 | 60.55 |
| PutiE | |||||||||||||
| IG69568 | 37.00 | 717.64 | 87.89 | 0.41 | 0.89 | 289.00 | 913.33 | 80.00 | 50.00 | 130.00 | 0.63 | 62.89 | 97.50 |
| DPL62 | 42.33 | 834.75 | 112.29 | 0.42 | 1.12 | 484.33 | 826.00 | 133.33 | 73.33 | 206.67 | 0.55 | 119.81 | 96.88 |
| SEHORE 74-3 | 48.00 | 325.25 | 48.15 | 0.37 | 0.52 | 301.33 | 299.00 | 113.33 | 83.33 | 196.67 | 0.74 | 59.42 | 96.72 |
| MC6 | 38.67 | 705.33 | 77.63 | 0.37 | 0.67 | 427.00 | 427.00 | 126.67 | 80.00 | 206.67 | 0.63 | 74.98 | 95.38 |
| PL06 | 35.00 | 513.27 | 71.66 | 0.42 | 0.81 | 375.33 | 485.00 | 130.00 | 80.00 | 210.00 | 0.62 | 115.07 | 94.03 |
Publisher’s Note: MDPI stays neutral with regard to jurisdictional claims in published maps and institutional affiliations. |
© 2021 by the authors. Licensee MDPI, Basel, Switzerland. This article is an open access article distributed under the terms and conditions of the Creative Commons Attribution (CC BY) license (https://creativecommons.org/licenses/by/4.0/).
Share and Cite
Ramtekey, V.; Bansal, R.; Aski, M.S.; Kothari, D.; Singh, A.; Pandey, R.; Tripathi, K.; Mishra, G.P.; Kumar, S.; Dikshit, H.K. Genetic Variation for Traits Related to Phosphorus Use Efficiency in Lens Species at the Seedling Stage. Plants 2021, 10, 2711. https://doi.org/10.3390/plants10122711
Ramtekey V, Bansal R, Aski MS, Kothari D, Singh A, Pandey R, Tripathi K, Mishra GP, Kumar S, Dikshit HK. Genetic Variation for Traits Related to Phosphorus Use Efficiency in Lens Species at the Seedling Stage. Plants. 2021; 10(12):2711. https://doi.org/10.3390/plants10122711
Chicago/Turabian StyleRamtekey, Vinita, Ruchi Bansal, Muraleedhar S. Aski, Deepali Kothari, Akanksha Singh, Renu Pandey, Kuldeep Tripathi, Gyan P. Mishra, Shiv Kumar, and Harsh Kumar Dikshit. 2021. "Genetic Variation for Traits Related to Phosphorus Use Efficiency in Lens Species at the Seedling Stage" Plants 10, no. 12: 2711. https://doi.org/10.3390/plants10122711
APA StyleRamtekey, V., Bansal, R., Aski, M. S., Kothari, D., Singh, A., Pandey, R., Tripathi, K., Mishra, G. P., Kumar, S., & Dikshit, H. K. (2021). Genetic Variation for Traits Related to Phosphorus Use Efficiency in Lens Species at the Seedling Stage. Plants, 10(12), 2711. https://doi.org/10.3390/plants10122711

