Natura 2000 Areas, Road, Railway, Water, and Ecological Networks May Provide Pathways for Biological Invasion: A Country Scale Analysis
Abstract
1. Introduction
- How can point-based digital vegetation occurrence data be used to analyse the geographical context of biological invasions?
- What is the relative importance of road and railway networks in the spread of the studied invasive species?
- What is the role of the HEN and Natura 2000 areas in the spread of the studied invasive species?
2. Materials and Methods
2.1. Study Area
2.2. Digital Databases
2.3. GIS and Statistical Analyses
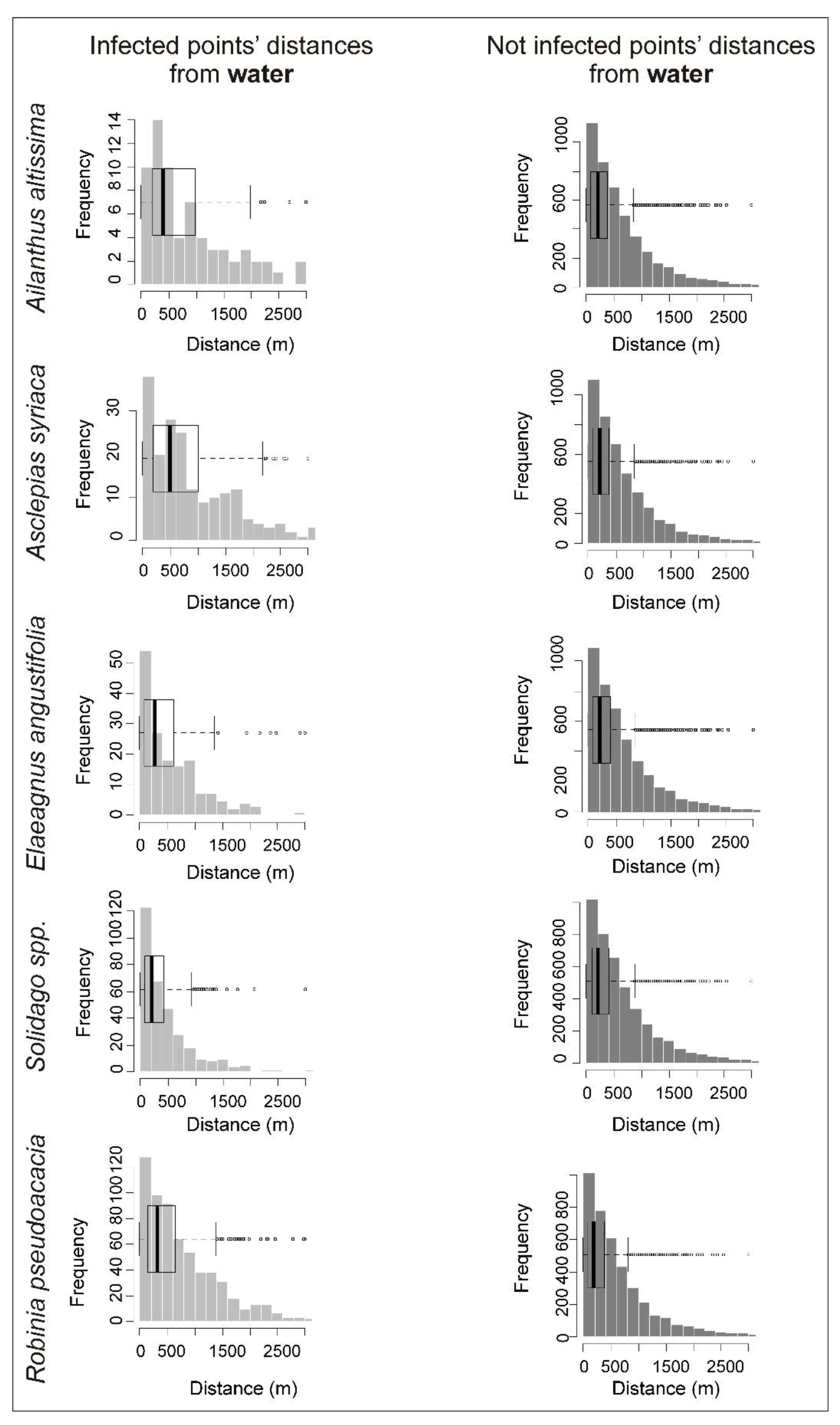
3. Results
4. Discussion
5. Conclusions
Author Contributions
Funding
Institutional Review Board Statement
Informed Consent Statement
Data Availability Statement
Acknowledgments
Conflicts of Interest
Correction Statement
Appendix A



References
- Pyšek, P.; Lambdon, P.W.; Arianoutsou, M.; Kühn, I.; Pino, J.; Winter, M. Alien Vascular Plants of Europe. In Handbook of Alien Species in Europe; Springer: Dordrecht, The Netherlands, 2009; pp. 43–46. [Google Scholar] [CrossRef]
- Kleinbauer, I.; Dullinger, S.; Peterseil, J.; Essl, F. Climate change might drive the invasive tree Robinia pseudacacia into nature reserves and endangered habitats. Biol. Conserv. 2010, 143, 382–390. [Google Scholar] [CrossRef]
- Genovesi, P.; Monaco, A. European Guidelines on Protected Areas and Invasive Alien Species/IUCN. Available online: https://www.iucn.org/content/european-guidelines-protected-areas-and-invasive-alien-species (accessed on 18 October 2021).
- Csiszár, Á.; Kézdy, P.; Korda, M.; Bartha, D. Occurrence, and management of invasive alien species in Hungarian protected areas compared to Europe. Folia Oecologica 2020, 47, 179–191. [Google Scholar] [CrossRef]
- Follak, S.; Bakacsy, L.; Essl, F.; Hochfellner, L.; Lapin, K.; Schwarz, M.; Tokarska-Guzik, B.; Wołkowycki, D. Monograph of invasive plants in Europe N°6: Asclepias syriaca L. Bot. Lett. 2021, 168, 422–451. [Google Scholar] [CrossRef]
- Lukács, K.; Valkó, O. Human-vectored seed dispersal as a threat to protected areas: Prevention, mitigation and policy. Glob. Ecol. Conserv. 2021, 31, e01851. [Google Scholar] [CrossRef]
- Hierro, J.L.; Callaway, R.M. Allelopathy, and exotic plant invasion. Plant Soil 2003, 256, 29–39. [Google Scholar] [CrossRef]
- David, P.; Thébault, E.; Anneville, O.; Duyck, P.F.; Chapuis, E.; Loeuille, N. Impacts of Invasive Species on Food Webs: A Review of Empirical Data. Adv. Ecol. Res. 2017, 56, 1–60. [Google Scholar]
- Gladieux, P.; Giraud, T.; Kiss, L.; Genton, B.J.; Jonot, O.; Shykoff, J.A. Distinct invasion sources of common ragweed (Ambrosia artemisiifolia) in Eastern and Western Europe. Biol. Invasions 2010, 13, 933–944. [Google Scholar] [CrossRef]
- Dukes, J.S.; Mooney, H.A. Disruption of ecosystem processes in western North America by invasive species. Rev. Chil. Hist. Nat. 2004, 77, 411–437. [Google Scholar] [CrossRef]
- DAISIE. Handbook of Alien Species in Europe; Springer Netherlands: Dordrecht, The Netherlands, 2009; ISBN 978-1-4020-8279-5. [Google Scholar]
- Csontos, P.; Bózsing, E.; Cseresnyés, I.; Penksza, K. Reproductive potential of the alien species Asclepias Syriaca (Asclepiadaceae) in the rural landscape. Polish J. Ecol. 2009, 57, 383–388. [Google Scholar]
- Mihály, B.; Botta-Dukát, Z. Biológiai Inváziók Magyarországon. Özönnövények; A KvVM Természetvédelmi Hivatalának tanulmánykötetei 9.; TermészetBÚVÁR Alapítvány Kiadó: Budapest, Hungary, 2004; p. 408. [Google Scholar]
- Katsanevakis, S.; Deriu, I.; D’Amico, F.; Nunes, A.L.; Pelaez Sanchez, S.; Crocetta, F.; Arianoutsou, M.; Bazos, I.; Curto, G.; Delipetrou, P.; et al. European Alien Species Information Network (EASIN): Supporting European policies and scientific research. Manag. Biol. Invasions 2015, 6, 147–157. [Google Scholar]
- Nagy, G.; Czirák, Z.; Demeter, A.; Dóka, R.; Fadel, N.; Jónás, B.; Riskó, A.; Schmidt, A.; Sulyán, P.; Váczi, O. Az európai uniós jegyzéken szereplő idegenhonos inváziós fajok terjedési útvonalainak magyarországi átfogó elemzése és értékelése, valamint a terjedési útvonalak cselekvési tervei; Agrárminisztérium Természetmegőrzési Főosztály: Budapest, Hungary, 2020; p. 109. [Google Scholar]
- Török, K.; Botta-Dukát, Z.; Dancza, I.; Németh, I.; Kiss, J.; Mihály, B.; Magyar, D. Invasion Gateways and Corridors in the Carpathian Basin: Biological Invasions in Hungary. Biol. Invasions 2003, 5, 349–356. [Google Scholar] [CrossRef]
- Kalwij, J.M.; Milton, S.J.; McGeoch, M.A. Road verges as invasion corridors? A spatial hierarchical test in an arid ecosystem. Landsc. Ecol. 2008, 23, 439–451. [Google Scholar] [CrossRef]
- Kowarik, I.; Säumel, I. Water dispersal as an additional pathway to invasions by the primarily wind-dispersed tree Ailanthus altissima. Plant Ecol. 2008, 198, 241–252. [Google Scholar] [CrossRef]
- Follak, S.; Eberius, M.; Essl, F.; Fürdös, A.; Sedlacek, N.; Trognitz, F. Invasive alien plants along roadsides in Europe. EPPO Bull. 2018, 48, 256–265. [Google Scholar] [CrossRef]
- Lázaro-Lobo, A.; Ervin, G.N. A global examination on the differential impacts of roadsides on native vs. exotic and weedy plant species. Glob. Ecol. Conserv. 2019, 17, e00555. [Google Scholar] [CrossRef]
- Vorstenbosch, T.; Essl, F.; Lenzner, B. An uphill battle? The elevational distribution of alien plant species along rivers and roads in the Austrian Alps. NeoBiota 2020, 63, 1. [Google Scholar] [CrossRef]
- Barbosa, N.P.U.; Fernandes, W.W.; Carneiro, M.A.A.; Júnior, L.A.C. Distribution of non-native invasive species and soil properties in proximity to paved roads and unpaved roads in a quartzitic mountainous grassland of southeastern Brazil (rupestrian fields). Biol. Invasions 2010, 12, 3745–3755. [Google Scholar] [CrossRef]
- Fekete, R.; Haszonits, G.; Schmidt, D.; Bak, H.; Vincze, O.; Süveges, K.; Molnár, V.A. Rapid continental spread of a salt-tolerant plant along the European road network. Biol. Invasions 2021, 23, 2661–2674. [Google Scholar] [CrossRef]
- Jongman, R.H.G.; Bouwma, I.M.; Griffioen, A.; Jones-Walters, L.; Van Doorn, A.M. The pan European ecological network: PEEN. Landsc. Ecol. 2011, 26, 311–326. [Google Scholar] [CrossRef]
- Tölgyesi, C.; Torma, A.; Bátori, Z.; Šeat, J.; Popović, M.; Gallé, R.; Gallé-Szpisjak, N.; Erdős, L.; Vinkó, T.; Kelemen, A. Turning old foes into new allies—Harnessing drainage canals for biodiversity conservation in a desiccated European lowland region. J. Appl. Ecol. 2021, 1–14. [Google Scholar] [CrossRef]
- European Comission. E4 LUCAS ESTAT: LUCAS 2015 (Land Use/Cover Frame Area Survey) Technical Reference Document C3Classification (Land Cover and Land Use). Available online: https://ec.europa.eu/eurostat/documents/205002/6786255/LUCAS2015-C3-Classification-20150227.pdf/969ca853-e325-48b3-9d59-7e86023b2b27 (accessed on 20 November 2021).
- Szilassi, P.; Szatmári, G.; Pásztor, L.; Árvai, M.; Szatmári, J.; Szitár, K.; Papp, L. Understanding the Environmental Background of an Invasive Plant Species (Asclepias syriaca) for the Future: An Application of LUCAS Field Photographs and Machine Learning Algorithm Methods. Plants 2019, 8, 593. [Google Scholar] [CrossRef]
- Dövényi, Z.; Ambrózy, P.; Juhász, Á.; Marosi, S.; Mezosi, G.; Michalkó, G.; Somogyi, S.; Szalai, Z.; Tiner, T. Magyarország Kistájainak Katasztere (Inventory of Microregions in Hungary). 2008. Available online: http://real.mtak.hu/1416/ (accessed on 20 November 2021).
- Horváth, F.; Molnár, Z.; Bölöni, J.; Pataki, Z.; Polgár, L.; Révész, A.; Oláh, K.; Krasser, D.; Illyés, E. Fact sheet of the MÉTA database 1.2. Acta Bot. Hung. 2008, 50, 11–34. [Google Scholar] [CrossRef]
- European Environment Agency: Mapping and Assessment of Ecosystems and Their Services Mapping and Assessing the Condition of Europe’s Ecosystems: Progress and Challenges. (EEA Contribution to the Implementation of the EU Biodiversity Strategy to 2020) EEA Report No 3/ Luxembourg: Publications Office of the European Union. 2016, p. 148. Available online: https://ec.europa.eu/environment/nature/knowledge/ecosystem_assessment/pdf/3rdMAESReport_Condition.pdf (accessed on 20 November 2021).
- Gallego, F.J.; Palmieri, A.; Ramos, H. Sampling System for LUCAS. 2015. Available online: https://ec.europa.eu/eurostat/documents/205002/6786255/LUCAS+2015+sampling_20160922.pdf (accessed on 20 November 2021).
- Kitka, D.; Szilassi, P. Geographic factors influencing the spreading of invasive species: A GIS-based case study in the southern great plain of Hungary. J. Landsc. Ecol. 2016, 14, 155–169. [Google Scholar]
- GEOFABRIK//Home. Available online: https://www.geofabrik.de/ (accessed on 19 October 2021).
- Evans, D. Building the European Union’s Natura 2000 network. Nat. Conserv. 2012, 1, 11. [Google Scholar] [CrossRef]
- N2K 2018—Copernicus Land Monitoring Service. Available online: https://land.copernicus.eu/local/natura/n2k-2018 (accessed on 19 October 2021).
- Hungarian Ministry of Agriculture National Environmental Information System. Available online: http://web.okir.hu/en (accessed on 20 November 2021.).
- Oxford Reference Corridor. Available online: https://www.oxfordreference.com/view/10.1093/oi/authority.20111115121603786 (accessed on 20 November 2021).
- Kowarik, I.; Säumel, I. Biological flora of Central Europe: Ailanthus altissima (Mill.) Swingle. Perspect. Plant Ecol. Evol. Syst. 2007, 8, 207–237. [Google Scholar] [CrossRef]
- Szatmári, J.; Tobak, Z.; Novák, Z. Environmental Monitoring Supported by Aerial Photography—A Case Study of the Burnt Down Bugac Juniper Forest, Hungary. J. Environ. Geogr. 2016, 9, 31–38. [Google Scholar] [CrossRef][Green Version]
- Kowarik, I.; von der Lippe, M. Secondary wind dispersal enhances long-distance dispersal of an invasive species in urban road corridors. NeoBiota 2011, 9, 49. [Google Scholar] [CrossRef]
- Priede, A. Invasive Non-Native Solidago Species in Latvia: Expansion History and Current Distribution. Proc. Latv. Acad. Sci. Sect. B Nat. Exact Appl. Sci. 2008, 62, 78–83. [Google Scholar] [CrossRef]
- Foxcroft, L.C.; Pyšek, P.; Richardson, D.M.; Genovesi, P. Plant Invasions in Protected Areas: Patterns, Problems and Challenges; Springer: Dordrecht, The Netherlands; Heidelberg, Germany; New York, NY, USA; London, UK, 2013; pp. 1–656. [Google Scholar] [CrossRef]
- Lazzaro, L.; Bolpagni, R.; Buffa, G.; Gentili, R.; Lonati, M.; Stinca, A.; Acosta, A.T.R.; Adorni, M.; Aleffi, M.; Allegrezza, M. Impact of invasive alien plants on native plant communities and Natura 2000 habitats: State of the art, gap analysis and perspectives in Italy. J. Environ. Manag. 2020, 274, 111140. [Google Scholar] [CrossRef] [PubMed]
- Christopoulou, A.; Christopoulou, A.; Fyllas, N.M.; Dimitrakopoulos, P.G.; Arianoutsou, M. How Effective Are the Protected Areas of the Natura 2000 Network in Halting Biological Invasions? A Case Study in Greece. Plants 2021, 10, 2113. [Google Scholar] [CrossRef]
- Kelemen, A.; Valkó, O.; Kröel-Dulay, G.; Deák, B.; Török, P.; Tóth, K.; Miglécz, T.; Tóthmérész, B. The invasion of common milkweed (Asclepias syriaca) in sandy old-fields—Is it a threat to the native flora? Appl. Veg. Sci. 2016, 19, 218–224. [Google Scholar] [CrossRef]
- Bakacsy, L.; Bagi, I. Survival and regeneration ability of clonal common milkweed (Asclepias syriaca L.) after a single herbicide treatment in natural open sand grasslands. Sci. Rep. 2020, 10, 1–10. [Google Scholar]
- Nagy, D.U.; Rauschert, E.S.J.; Callaway, R.M.; Henn, T.; Filep, R.; Pal, R.W. Intense mowing management suppresses invader, but shifts competitive resistance by a native to facilitation. Restor. Ecol. 2021, e13483. [Google Scholar] [CrossRef]
- Deus, E.; Silva, J.S.; Catry, F.X.; Rocha, M.; Moreira, F. Google Street View as an alternative method to car surveys in large-scale vegetation assessments. Environ. Monit. Assess. 2016, 188, 1–14. [Google Scholar] [CrossRef]
- Berland, A.; Lange, D.A. Google Street View shows promise for virtual street tree surveys. Urban For. Urban Green. 2017, 21, 11–15. [Google Scholar] [CrossRef]
- Berland, A.; Roman, L.A.; Vogt, J. Can Field Crews Telecommute? Varied Data Quality from Citizen Science Tree Inventories Conducted Using Street-Level Imagery. Forests 2019, 10, 349. [Google Scholar] [CrossRef]
- Meunpong, P.; Buathong, S.; Kaewgrajang, T. Google Street View virtual survey and in-person field surveys: An exploratory comparison of urban tree risk assessment. Arboric. J. 2019, 41, 226–236. [Google Scholar] [CrossRef]
- Genovesi, P.; Scalera, R.; Brunel, S.; Roy, D.; Solarz, W. Towards an Early Warning and Information System for Invasive Alien Species (IAS) Threatening Biodiversity in Europe; European Environment Agency (EEA): Copenhagen, Denmark, 2010.



| Invasive Species | Number of Infected LUCAS Points | Proportions of the Infected LUCAS Points (where 100% = 5169) |
|---|---|---|
| Ailanthus altissima (Mill.) Swingle | 71 | 1.4% |
| Asclepias syriaca L. | 195 | 3.8% |
| Elaeagnus angustifolia L. | 168 | 3.3% |
| Solidago spp. | 324 | 6.3% |
| Robinia pseudoacacia L. | 630 | 12.2% |
| Invasive Species | Type of the LUCAS Points | Out of the HEN (%) | Spatial Units of the HEN | Total (%) | |||
|---|---|---|---|---|---|---|---|
| Core Area (%) | Buffer Zone (%) | Corridor (%) | Subtotal (%) | ||||
| Ailanthus altissima | Infected Non-infected | 70.4 72.5 | 12.7 12.5 | 8.5 7.1 | 8.5 7.9 | 29.6 | 100 |
| 27.5 | 100 | ||||||
| Asclepias syriaca | Infected Non-infected | 80.5 72.2 | 9.7 12.6 | 2.6 7.3 | 7.2 7.9 | 19.2 | 100 |
| 27.8 | 100 | ||||||
| Elaeagnus angustifolia | Infected Non-infected | 63.1 72.8 | 19.6 12.3 | 4.8 7.22 | 12.5 7.7 | 36.9 | 100 |
| 27.2 | 100 | ||||||
| Robinia pseudoacacia | Infected Non-infected | 72.5 72.4 | 13.2 7.8 | 6.9 8.6 | 7.4 11.3 | 27.5 | 100 |
| 27.6 | 100 | ||||||
| Solidago spp. | Infected Non-infected | 63.3 73.1 | 14.5 12.4 | 8.6 7 | 13.6 7.5 | 36.7 | 100 |
| 26.9 | 100 | ||||||
| Invasive Species | Type of the LUCAS Points | Out of the Natura 2000 Areas (%) | Natura 2000 Areas (%) | Total (%) |
|---|---|---|---|---|
| Ailanthus altissima | Infected Non-infected | 93 85.1 | 7 14.9 | 100 |
| 100 | ||||
| Asclepias syriaca | Infected Non-infected | 94.4 84.8 | 5.6 15.2 | 100 |
| 100 | ||||
| Elaeagnus angustifolia | Infected Non-infected | 78.6 85.4 | 21.4 14.6 | 100 |
| 100 | ||||
| Robinia pseudoacacia | Infected Non-infected | 90.8 84.4 | 9.2 15.6 | 100 |
| 100 | ||||
| Solidago spp. | Infected Non-infected | 83.6 85.3 | 16.4 14.7 | 100 |
| 100 |
Publisher’s Note: MDPI stays neutral with regard to jurisdictional claims in published maps and institutional affiliations. |
© 2021 by the authors. Licensee MDPI, Basel, Switzerland. This article is an open access article distributed under the terms and conditions of the Creative Commons Attribution (CC BY) license (https://creativecommons.org/licenses/by/4.0/).
Share and Cite
Szilassi, P.; Soóky, A.; Bátori, Z.; Hábenczyus, A.A.; Frei, K.; Tölgyesi, C.; van Leeuwen, B.; Tobak, Z.; Csikós, N. Natura 2000 Areas, Road, Railway, Water, and Ecological Networks May Provide Pathways for Biological Invasion: A Country Scale Analysis. Plants 2021, 10, 2670. https://doi.org/10.3390/plants10122670
Szilassi P, Soóky A, Bátori Z, Hábenczyus AA, Frei K, Tölgyesi C, van Leeuwen B, Tobak Z, Csikós N. Natura 2000 Areas, Road, Railway, Water, and Ecological Networks May Provide Pathways for Biological Invasion: A Country Scale Analysis. Plants. 2021; 10(12):2670. https://doi.org/10.3390/plants10122670
Chicago/Turabian StyleSzilassi, Péter, Anna Soóky, Zoltán Bátori, Alida Anna Hábenczyus, Kata Frei, Csaba Tölgyesi, Boudewijn van Leeuwen, Zalán Tobak, and Nándor Csikós. 2021. "Natura 2000 Areas, Road, Railway, Water, and Ecological Networks May Provide Pathways for Biological Invasion: A Country Scale Analysis" Plants 10, no. 12: 2670. https://doi.org/10.3390/plants10122670
APA StyleSzilassi, P., Soóky, A., Bátori, Z., Hábenczyus, A. A., Frei, K., Tölgyesi, C., van Leeuwen, B., Tobak, Z., & Csikós, N. (2021). Natura 2000 Areas, Road, Railway, Water, and Ecological Networks May Provide Pathways for Biological Invasion: A Country Scale Analysis. Plants, 10(12), 2670. https://doi.org/10.3390/plants10122670

