Response of Five Miscanthus sinensis Cultivars to Grasshopper Herbivory: Implications for Monitoring of Invasive Grasses in Protected Areas
Abstract
1. Introduction
2. Results
2.1. M. sinensis Tolerance and Resistance to Grasshopper Herbivory: Field Experiment
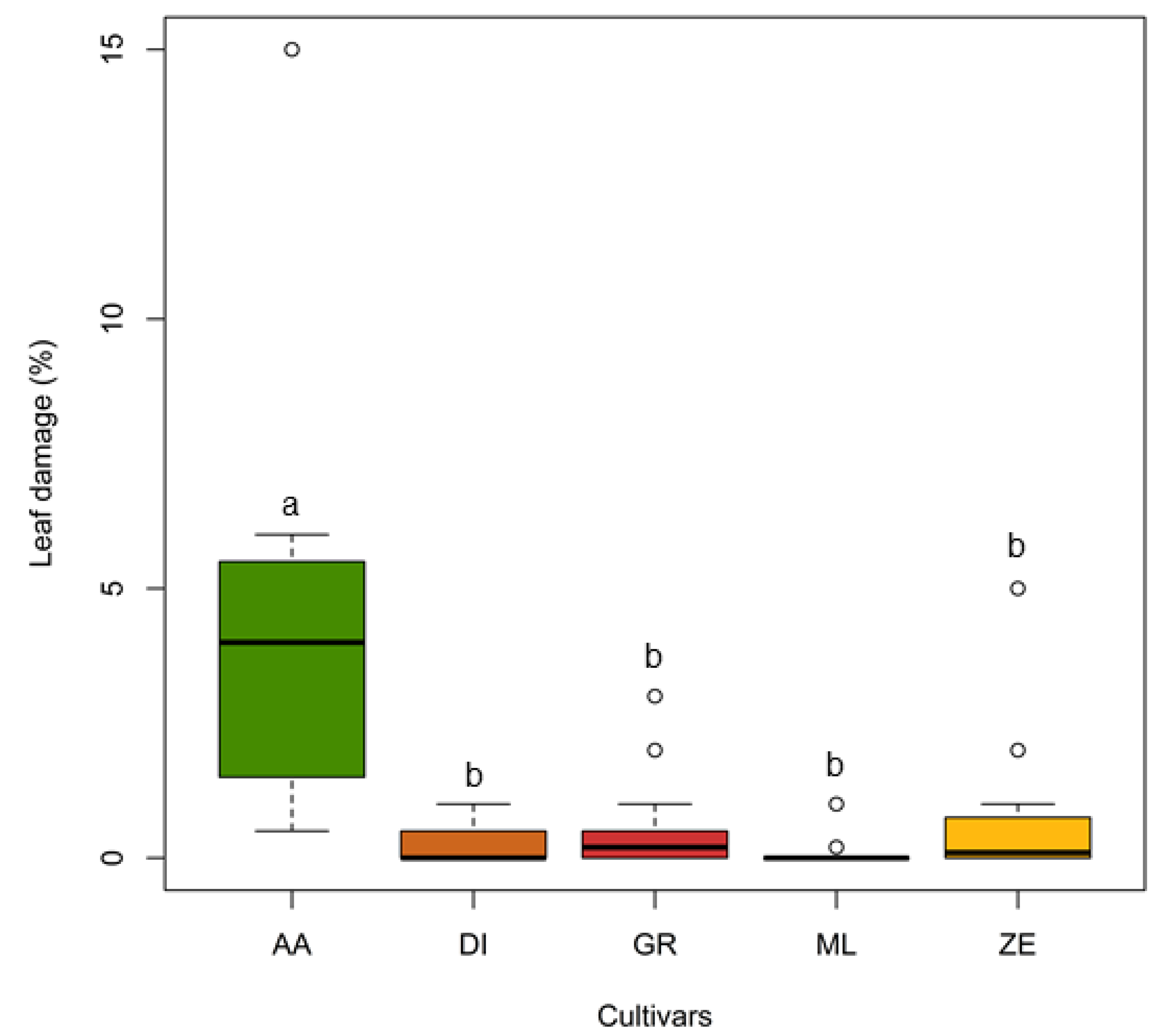
2.2. M. sinensis Tolerance and Resistance to Grasshopper Herbivory: Cage Experiment
3. Discussion
4. Materials and Methods
4.1. Study Sites and Study Species
4.2. M. sinensis Tolerance and Resistance to Grasshopper Herbivory: Field Experiment
4.3. M. sinensis Tolerance and Resistance to Grasshopper Herbivory: Cage Experiment
4.4. Statistical Analysis
Author Contributions
Funding
Institutional Review Board Statement
Informed Consent Statement
Data Availability Statement
Acknowledgments
Conflicts of Interest
References
- Hulme, P.E.; Pyšek, P.; Pergl, J.; Jarošík, V.; Schaffner, U.; Vilà, M. Greater focus needed on alien plant impacts in protected areas. Conserv. Lett. 2014, 7, 459–466. [Google Scholar] [CrossRef]
- Hager, H.A.; Rupert, R.; Quinn, L.D.; Newman, J.A. Escaped Miscanthus sacchariflorus reduces the richness and diversity of vegetation and the soil seed bank. Biol. Invas. 2015, 17, 1833–1847. [Google Scholar] [CrossRef]
- Foxcroft, L.C.; Pyšek, P.; Richardson, D.M.; Genovesi, P.; MacFadyen, S. Plant invasion science in protected areas: Progress and priorities. Biol. Invas. 2017, 19, 1353–1378. [Google Scholar] [CrossRef]
- Silva, R.G.; Zenni, R.D.; Rosse, V.P.; Bastos, L.S.; van den Berg, E. Landscape-level determinants of the spread and impact of invasive grasses in protected areas. Biol. Invas. 2020, 22, 3083–3099. [Google Scholar] [CrossRef]
- Vicente, J.R.; Fernandes, R.F.; Randin, C.F.; Broennimann, O.; Gonçalves, J.; Marcos, B.; Pôças, I.; Alves, P.; Guisan, A.; Honrado, J.P. Will climate change drive alien invasive plants into areas of high protection value? An improved model-based regional assessment to prioritise the management of invasions. J. Environ. Manag. 2013, 131, 185–195. [Google Scholar] [CrossRef] [PubMed]
- Pyšek, P.; Jarošík, V.; Pergl, J. Alien plants introduced by different pathways differ in invasion success: Unintentional introductions as a threat to natural areas. PLoS ONE 2011, 6, e24890. [Google Scholar] [CrossRef] [PubMed]
- Avanesyan, A.; Culley, T.M. Tolerance of native and exotic prairie grasses to herbivory by Melanoplus grasshoppers: Application of a nondestructive method for estimating plant biomass changes as a response to herbivory. J. Torr. Bot. Soc. 2017, 144, 15–25. [Google Scholar] [CrossRef]
- Avanesyan, A. Should I eat or should I go? Acridid grasshoppers and their novel host plants: Implications for biotic resistance. Plants 2018, 7, 83. [Google Scholar] [CrossRef] [PubMed]
- Wang, C.; Kong, Y.; Hu, R.; Zhou, G. Miscanthus: A fast-growing crop for environmental remediation and biofuel production. GCB Bioenergy 2021, 13, 58–69. [Google Scholar] [CrossRef]
- Stewart, J.R.; Toma, Y.O.; Fernandez, F.G.; Nishiwaki, A.Y.A.; Yamada, T.; Bollero, G. The ecology and agronomy of Miscanthus sinensis, a species important to bioenergy crop development, in its native range in Japan: A review. GCB Bioenergy 2009, 1, 126–153. [Google Scholar] [CrossRef]
- Zhao, H.; Wang, B.; He, J.; Yang, J.; Pan, L.; Sun, D.; Peng, J. Genetic diversity and population structure of Miscanthus sinensis germplasm in China. PLoS ONE 2013, 8, e75672. [Google Scholar] [CrossRef]
- Kayama, M. Comparison of the aluminum tolerance of Miscanthus sinensis Anderss. and Miscanthus sacchariflorus Bentham in hydroculture. Int. J. Plant. Sci. 2001, 162, 1025–1031. [Google Scholar] [CrossRef]
- Hirata, M.; Hasegawa, N.; Nobami, K.; Sonoda, T. Evaluation of forest grazing as a management practice to utilize and control Miscanthus sinensis in a young tree plantation in southern Kyushu, Japan. Grassl. Sci. 2007, 53, 181–191. [Google Scholar] [CrossRef]
- Quinn, L.D.; Allen, D.J.; Stewart, J.R. Invasiveness potential of Miscanthus sinensis: Implications for bioenergy production in the United States. GCB Bioenergy 2010, 2, 310–320. [Google Scholar] [CrossRef]
- Quinn, L.D.; Stewart, J.R.; Yamada, T.; Toma, Y.; Saito, M.; Shimoda, K.; Ferna´ndez, F.G. Environmental tolerances of Miscanthus sinensis in invasive and native populations. BioEnergy Res. 2012, 5, 139–148. [Google Scholar] [CrossRef]
- Dougherty, R.F.; Quinn, L.D.; Endres, A.B.; Voigt, T.B.; Barney, J.N. Natural history survey of the ornamental grass Miscanthus sinensis in the introduced range. Invasive Plant Sci. Manag. 2014, 7, 113–120. [Google Scholar] [CrossRef]
- Zhao, Y.; Basak, S.; Fleener, C.E.; Egnin, M.; Sacks, E.J.; Prakash, C.S.; He, G. Genetic diversity of Miscanthus sinensis in US naturalized populations. GCB Bioenergy 2017, 9, 965–972. [Google Scholar] [CrossRef]
- Avanesyan, A.; Culley, T.M. Herbivory of native and exotic North-American prairie grasses by nymph Melanoplus grasshoppers. Plant. Ecol. 2015, 216, 451–464. [Google Scholar] [CrossRef]
- Avanesyan, A.; Culley, T.M. Feeding preferences of Melanoplus femurrubrum grasshoppers on native and exotic grasses: Behavioral and molecular approaches. Ent. Exp. Appl. 2015, 157, 153–163. [Google Scholar] [CrossRef]
- Meyer, M.H.; Tchida, C.L. Miscanthus Anderss. produces viable seed in four USDA hardiness zones. J. Environ. Hort. 1999, 17, 137–140. [Google Scholar] [CrossRef]
- Smith, L.L.; Barney, J.N. The relative risk of invasion: Evaluation of Miscanthus × giganteus seed establishment. Invas. Plant. Sci. Manag. 2014, 7, 93–106. [Google Scholar] [CrossRef]
- Fornoni, J. Ecological and evolutionary implications of plant tolerance to herbivory. Functional Ecol. 2011, 25, 399–407. [Google Scholar] [CrossRef]
- Belsky, A.J.; Carson, W.P.; Jensen, C.L.; Fox, G.A. Overcompensation by plants: Herbivore optimization or red herring? Evol. Ecol. 1993, 7, 109–121. [Google Scholar] [CrossRef]
- Croy, J.R.; Meyerson, L.A.; Allen, W.J.; Bhattarai, G.P.; Cronin, J.T. Lineage and latitudinal variation in Phragmites australis tolerance to herbivory: Implications for invasion success. Oikos 2020, 129, 1341–1357. [Google Scholar] [CrossRef]
- Blossey, B.; Notzold, R. Evolution of increased competitive ability in invasive nonindigenous plants: A hypothesis. J. Ecol. 1995, 83, 887–889. [Google Scholar] [CrossRef]
- War, A.R.; Paulraj, M.G.; Ahmad, T.; Buhroo, A.A.; Hussain, B.; Ignacimuthu, S.; Sharma, H.C. Mechanisms of plant defense against insect herbivores. Plant. Sign. Behav. 2012, 7, 1306–1320. [Google Scholar] [CrossRef]
- Green, J.P.; Foster, R.; Wilkins, L.; Osorio, D.; Hartley, S.E. Leaf colour as a signal of chemical defence to insect herbivores in wild cabbage (Brassica oleracea). PLoS ONE 2015, 10, e0136884. [Google Scholar] [CrossRef] [PubMed]
- Brown, V.K. Grasshoppers; Cambridge University Press: Cambridge, UK, 1983. [Google Scholar]
- Baisden, E.C.; Tallamy, D.W.; Narango, D.L.; Boyle, E. Do cultivars of native plants support insect herbivores? HortTechnology 2018, 28, 596–606. [Google Scholar] [CrossRef]
- Siddappaji, M.H.; Scholes, D.R.; Bohn, M.; Paige, K.N. Overcompensation in response to herbivory in Arabidopsis thaliana: The role of glucose-6-phosphate dehydrogenase and the oxidative pentose-phosphate pathway. Genetics 2013, 195, 589–598. [Google Scholar] [CrossRef]
- Barow, M. Endopolyploidy in seed plants. BioEssays 2006, 28, 271–281. [Google Scholar] [CrossRef]
- Elton, C.S. The Ecology of Invasions by Animals and Plants; Springer: Boston, MA, USA, 1958. [Google Scholar]
- Parker, J.D.; Hay, M.E. Biotic resistance to plant invasions? Native herbivores prefer non-native plants. Ecol. Lett. 2005, 8, 959–967. [Google Scholar] [CrossRef]
- Levine, J.M.; Adler, P.B.; Yelenik, S.G. A meta-analysis of biotic resistance to exotic plant invasions. Ecol. Lett. 2004, 7, 975–989. [Google Scholar] [CrossRef]
- Fielding, D.J.; Conn, J.S. Feeding preference for and impact on an invasive weed (Crepis tectorum) by a native, generalist insect herbivore, Melanoplus borealis (Orthoptera: Acrididae). Ann. Entomol. Soc. Am. 2011, 104, 1303–1308. [Google Scholar] [CrossRef]
- D’Antonio, C.M.; Vitousek, P.M. Biological invasions by exotic grasses, the grass/fire cycle, and global change. Ann. Rev. Ecol. System. 1992, 23, 63–87. [Google Scholar] [CrossRef]
- Foxcroft, L.C.; Pyšek, P.; Richardson, D.M.; Genovesi, P. (Eds.) Plant Invasions in Protected Areas: Patterns, Problems and Challenges; Springer Science & Business Media Dordrecht: Dordrecht, The Netherlands, 2013; Volume 7. [Google Scholar]
- James, T.K.; Trolove, M.R.; Dowsett, C.A. Roadside mowing spreads yellow bristle grass (Setaria pumila) seeds further than by natural dispersal. N. Z. Plant. Prot. 2019, 72, 153–157. [Google Scholar] [CrossRef][Green Version]
- Basset, Y. The spatial distribution of herbivory, mines and galls within an Australian rain forest tree. Biotropica 1991, 23, 271–281. [Google Scholar] [CrossRef]
- Lieurance, D.; Cipollini, D. Damage levels from arthropod herbivores on Lonicera maackii suggest enemy release in its introduced range. Biol. Invas. 2012, 14, 863–873. [Google Scholar] [CrossRef]
- Frost, C.J. A visual technique used by citizen scientists shows higher herbivory in understory vs. canopy leaves of a tropical forest. Ecology 2021. [Google Scholar] [CrossRef] [PubMed]
- Avanesyan, A. Plant DNA detection from grasshopper guts: A step-by-step protocol, from tissue preparation to obtaining plant DNA sequences. Appl. Plant. Sci. 2014, 2, 1300082. [Google Scholar] [CrossRef] [PubMed]
- R Core Team. R: A Language and Environment for Statistical Computing; R Foundation for Statistical Computing: Vienna, Austria, 2013; Available online: http://www.R-project.org/ (accessed on 11 November 2021).







| Experiment | Parameter | Miscanthus sinensis Cultivars | One-Way Repeated Measures ANOVA/ Kruskal–Wallis Rank Sum Test | (i/m) × Q | |
|---|---|---|---|---|---|
| Field experiment | Plant biomass as [height × number of leaves] | “Autumn Anthem” | F3,110 = 20.83 | p < 0.001 * | 0.008 |
| “Dixieland” | F3,84 = 8.64 | p < 0.001 * | 0.008 | ||
| “Gracillimus” | F3,99 = 28.77 | p < 0.001 * | 0.008 | ||
| “Morning light” | F3,114 = 10.4 | p < 0.001 * | 0.008 | ||
| “Zebrinus” | F3,116 = 1.3 | p = 0.278 | 0.025 | ||
| Height (cm) | “Autumn Anthem” | F3,111 = 3.35 | p = 0.021 * | 0.03 | |
| “Dixieland” | F3,85 = 1.38 | p = 0.255 | 0.05 | ||
| “Gracillimus” | F3,99 = 6.56 | p < 0.001 * | 0.008 | ||
| “Morning light” | F3,114 = 1.93 | p = 0.128 | 0.04 | ||
| “Zebrinus” | F3,116 = 4.72 | p = 0.004 * | 0.025 | ||
| Number of leaves | “Autumn Anthem” | F3,111 = 25.33 | p < 0.001 * | 0.008 | |
| “Dixieland” | F3,84 = 15.87 | p < 0.001 * | 0.008 | ||
| “Gracillimus” | F3,99 = 41.56 | p < 0.001 * | 0.008 | ||
| “Morning light” | F3,114 = 9.42 | p < 0.001 * | 0.008 | ||
| “Zebrinus” | F3,116 = 2.05 | p = 0.11 | 0.025 | ||
| Leaf damage (%) | “Autumn Anthem” | χ2 = 53.99, df = 2 | p < 0.001 * | 0.008 | |
| “Dixieland” | χ2 = 19.77, df = 2 | p < 0.001 * | 0.008 | ||
| “Gracillimus” | χ2 = 27.04, df = 2 | p < 0.001 * | 0.008 | ||
| “Morning light” | χ2 = 41.99, df = 2 | p < 0.001 * | 0.008 | ||
| “Zebrinus” | χ2 = 12.27, df = 2 | p = 0.002 * | 0.025 | ||
| Cage experiment | Plant biomass as [height × number of leaves] | “Autumn Anthem” | F1,28 = 5.1 | p = 0.03 * | 0.04 |
| “Dixieland” | F1,28 = 0.73 | p = 0.39 | 0.05 | ||
| “Gracillimus” | F1,28 = 9.06 | p = 0.005 * | 0.008 | ||
| “Morning light” | F1,28 = 7.61 | p = 0.01 * | 0.03 | ||
| “Zebrinus” | F1,28 = 10.55 | p = 0.003 * | 0.025 | ||
| Height (cm) | “Autumn Anthem” | F1,28 = 0.12 | p = 0.72 | 0.04 | |
| “Dixieland” | F1,28 = 0.38 | p = 0.54 | 0.025 | ||
| “Gracillimus” | F1,28 = 0.15 | p = 0.69 | 0.03 | ||
| “Morning light” | F1,28 = 0.05 | p = 0.82 | 0.05 | ||
| “Zebrinus” | F1,28 = 0.62 | p = 0.43 | 0.008 | ||
| Number of leaves | “Autumn Anthem” | F1,28 = 3.94 | p = 0.06 | 0.03 | |
| “Dixieland” | F1,28 = 0.69 | p = 0.41 | 0.04 | ||
| “Gracillimus” | F1,28 = 11.24 | p = 0.002 * | 0.008 | ||
| “Morning light” | F1,28 = 11.49 | p = 0.002 * | 0.008 | ||
| “Zebrinus” | F1,28 = 7.27 | p = 0.01 * | 0.025 | ||
| Leaf damage (%) | “Autumn Anthem” | χ2 = 35.56, df = 4 | p < 0.001 * | ||
| “Dixieland” | |||||
| “Gracillimus” | |||||
| “Morning light” | |||||
| “Zebrinus” | |||||
Publisher’s Note: MDPI stays neutral with regard to jurisdictional claims in published maps and institutional affiliations. |
© 2021 by the authors. Licensee MDPI, Basel, Switzerland. This article is an open access article distributed under the terms and conditions of the Creative Commons Attribution (CC BY) license (https://creativecommons.org/licenses/by/4.0/).
Share and Cite
Avanesyan, A.; Lamp, W.O. Response of Five Miscanthus sinensis Cultivars to Grasshopper Herbivory: Implications for Monitoring of Invasive Grasses in Protected Areas. Plants 2022, 11, 53. https://doi.org/10.3390/plants11010053
Avanesyan A, Lamp WO. Response of Five Miscanthus sinensis Cultivars to Grasshopper Herbivory: Implications for Monitoring of Invasive Grasses in Protected Areas. Plants. 2022; 11(1):53. https://doi.org/10.3390/plants11010053
Chicago/Turabian StyleAvanesyan, Alina, and William O. Lamp. 2022. "Response of Five Miscanthus sinensis Cultivars to Grasshopper Herbivory: Implications for Monitoring of Invasive Grasses in Protected Areas" Plants 11, no. 1: 53. https://doi.org/10.3390/plants11010053
APA StyleAvanesyan, A., & Lamp, W. O. (2022). Response of Five Miscanthus sinensis Cultivars to Grasshopper Herbivory: Implications for Monitoring of Invasive Grasses in Protected Areas. Plants, 11(1), 53. https://doi.org/10.3390/plants11010053

