Nitrogen Use Efficiency in Parent vs. Hybrid Canola under Varying Nitrogen Availabilities
Abstract
1. Introduction
2. Results
2.1. Category A Variables: Within Growing Season Soil N Cycling and Crop NUE Components
2.1.1. Soil Inorganic N Concentrations
2.1.2. Urease Activity and Potential Ammonium Oxidation Rates
2.1.3. Canola Nitrogen Use Efficiency Components
2.2. Category B Variables: Within Season Crop Growth and Harvest Metrics
2.2.1. Flowering Time
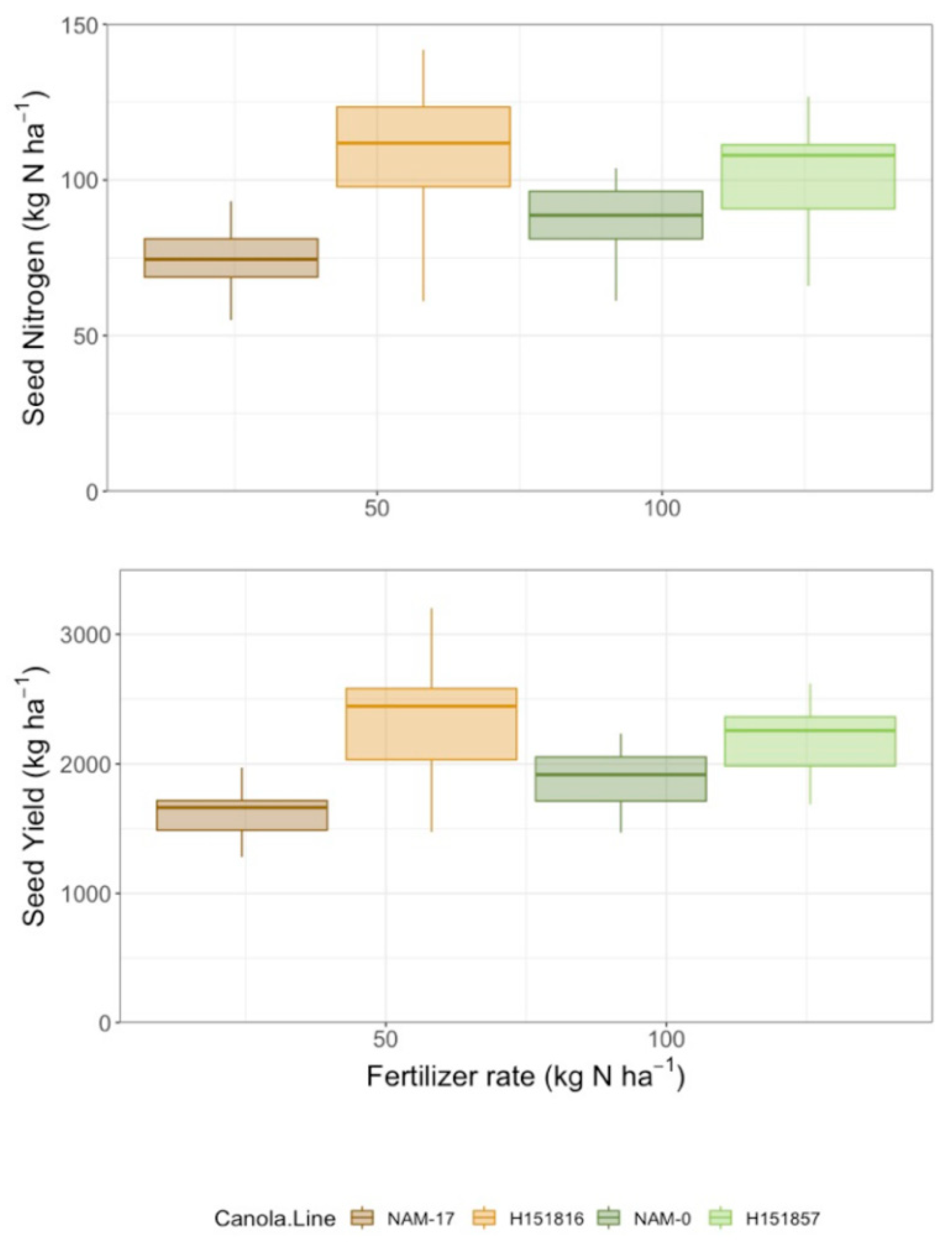
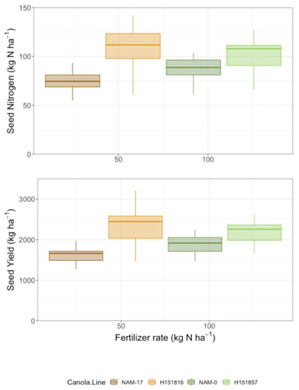
2.2.2. Yield, Seed Nitrogen Uptake, and Nitrogen Use Efficiency
2.3. Category A and B Variables’ Inter-Relationships
3. Discussion
4. Materials and Methods
4.1. Site Characteristics
4.2. Field Management and Experimental Design
4.3. Canola Varieties
4.4. Plant and Soil Sampling and Biomass Determination
4.5. Canola N Uptake and NUE Metrics
4.6. Soil Analyses
4.7. Data Analysis
5. Conclusions
Supplementary Materials
Author Contributions
Funding
Institutional Review Board Statement
Informed Consent Statement
Data Availability Statement
Acknowledgments
Conflicts of Interest
References
- Statistics Canada Estimated Areas, Yield, Production, Average Farm Price and Total Farm Value of Principal Field Crops, in Metric and Imperial Units. 2020. Available online: https://www150.statcan.gc.ca/t1/tbl1/en/tv.action?pid=3210035901 (accessed on 30 August 2021).
- Grant, C.A.; Bailey, L.D. Fertility Management in Canola Production. Can. J. Plant Sci. 1993, 73, 651–670. [Google Scholar] [CrossRef]
- Hocking, P.J.; Stapper, M. Effects of Sowing Time and Nitrogen Fertiliser on Canola and Wheat, and Nitrogen Fertiliser on Indian Mustard. I. Dry Matter Production, Grain Yield, and Yield Components. Aust. J. Agric. Res. 2001, 52, 623–634. [Google Scholar] [CrossRef]
- Jackson, G.D. Effects of Nitrogen and Sulfur on Canola Yield and Nutrient Uptake. Agron. J. 2000, 92, 644–649. [Google Scholar] [CrossRef]
- Rathke, G.-W.; Christen, O.; Diepenbrock, W. Effects of Nitrogen Source and Rate on Productivity and Quality of Winter Oilseed Rape (Brassica napus L.) Grown in Different Crop Rotations. Field Crop. Res. 2005, 94, 103–113. [Google Scholar] [CrossRef]
- Schjoerring, J.K.; Bock, J.G.H.; Gammelvind, L.; Jensen, C.R.; Mogensen, V.O. Nitrogen Incorporation and Remobilization in Different Shoot Components of Field-Grown Winter Oilseed Rape (Brassica napus L.) as Affected by Rate of Nitrogen Application and Irrigation. Plant Soil 1995, 177, 255–264. [Google Scholar] [CrossRef]
- Sieling, K.; Christen, O.; Nemati, B.; Hanus, H. Effects of Previous Cropping on Seed Yield and Yield Components of Oil-Seed Rape (Brassica napus L.). Eur. J. Agron. 1997, 6, 215–223. [Google Scholar] [CrossRef]
- Sieling, K.; Christen, O. Effect of Preceding Crop Combination and N Fertilization on Yield of Six Oil-Seed Rape Cultivars (Brassica napus L.). Eur. J. Agron. 1997, 7, 301–306. [Google Scholar] [CrossRef]
- Taylor, A.J.; Smith, C.J.; Wilson, I.B. Effect of Irrigation and Nitrogen Fertilizer on Yield, Oil Content, Nitrogen Accumulation and Water Use of Canola (Brassica napus L.). Fertil. Res. 1991, 29, 249–260. [Google Scholar] [CrossRef]
- Tilman, D. Global Environmental Impacts of Agricultural Expansion: The Need for Sustainable and Efficient Practices. Proc. Natl. Acad. Sci. USA 1999, 96, 5995–6000. [Google Scholar] [CrossRef]
- Good, A.G.; Shrawat, A.K.; Muench, D.G. Can Less Yield More? Is Reducing Nutrient Input into the Environment Compatible with Maintaining Crop Production? Trends Plant Sci. 2004, 9, 597–605. [Google Scholar] [CrossRef]
- Gross, M. We Need to Talk about Nitrogen. Curr. Biol. 2012, 22, R1–R4. [Google Scholar] [CrossRef] [PubMed][Green Version]
- Tilman, D.; Cassman, K.G.; Matson, P.A.; Naylor, R.; Polasky, S. Agricultural Sustainability and Intensive Production Practices. Nature 2002, 418, 671–677. [Google Scholar] [CrossRef] [PubMed]
- Ma, B.L.; Liang, B.C.; Biswas, D.K.; Morrison, M.J.; McLaughlin, N.B. The Carbon Footprint of Maize Production as Affected by Nitrogen Fertilizer and Maize-Legume Rotations. Nutr. Cycl. Agroecosyst. 2012, 94, 15–31. [Google Scholar] [CrossRef]
- Gan, Y.; Malhi, S.S.; Brandt, S.; Katepa-Mupondwa, F.; Stevenson, C. Nitrogen Use Efficiency and Nitrogen Uptake of Canola under Diverse Environments. Agron. J. 2008, 100, 285–295. [Google Scholar] [CrossRef]
- Malhi, S.S.; Gill, K.S. Interactive Effects of N and S Fertilizers on Canola Yield and Seed Quality on S-Deficient Gray Luvisol Soils in Northeastern Saskatchewan. Can. J. Plant Sci. 2007, 87, 211–222. [Google Scholar] [CrossRef]
- Stahl, A.; Vollrath, P.; Samans, B.; Frisch, M.; Wittkop, B.; Snowdon, R.J. Effect of Breeding on Nitrogen Use Efficiency-Associated Traits in Oilseed Rape. J. Exp. Bot. 2019, 70, 1969–1986. [Google Scholar] [CrossRef]
- Stahl, A.; Friedt, W.; Wittkop, B.; Snowdon, R.J. Complementary Diversity for Nitrogen Uptake and Utilisation Efficiency Reveals Broad Potential for Increased Sustainability of Oilseed Rape Production. Plant Soil 2016, 400, 245–262. [Google Scholar] [CrossRef]
- Moll, R.H.; Kamprath, E.J.; Jackson, W.A. Analysis and Interpretation of Factors Which Contribute to Efficiency of Nitrogen Utilization. Agron. J. 1982, 74, 562–564. [Google Scholar] [CrossRef]
- Drew, M.C.; Sacker, R.L.; Ashley, T.W. Nutrient Supply and the Growth of the Seminal Root System in Barley. J. Exp. Bot. 1973, 24, 1189–1202. [Google Scholar] [CrossRef]
- Gersani, M.; Sachs, T. Development Correlations between Roots in Heterogeneous Environments. Plant Cell Environ. 1992, 15, 463–469. [Google Scholar] [CrossRef]
- Granato, T.C.; Raper, C.D. Proliferation of Maize (Zea mays L.) Roots in Response to Localized Supply of Nitrate. J. Exp. Bot. 1989, 40, 263–275. [Google Scholar] [CrossRef] [PubMed]
- Gaju, O.; Allard, V.; Martre, P.; Snape, J.W.; Heumez, E.; LeGouis, J.; Moreau, D.; Bogard, M.; Griffiths, S.; Orford, S.; et al. Identification of Traits to Improve the Nitrogen-Use Efficiency of Wheat Genotypes. Field Crop. Res. 2011, 123, 139–152. [Google Scholar] [CrossRef]
- Swain, E.Y.; Rempelos, L.; Orr, C.H.; Hall, G.; Chapman, R.; Almadni, M.; Stockdale, E.A.; Kidd, J.; Leifert, C.; Cooper, J.M. Optimizing Nitrogen Use Efficiency in Wheat and Potatoes: Interactions between Genotypes and Agronomic Practices. Euphytica 2014, 199, 119–136. [Google Scholar] [CrossRef]
- Li, P.; Chen, F.; Cai, H.; Liu, J.; Pan, Q.; Liu, Z.; Gu, R.; Mi, G.; Zhang, F.; Yuan, L. A Genetic Relationship between Nitrogen Use Efficiency and Seedling Root Traits in Maize as Revealed by QTL Analysis. J. Exp. Bot. 2015, 66, 3175–3188. [Google Scholar] [CrossRef] [PubMed]
- Cassman, K.G.; Gines, G.C.; Dizon, M.A.; Samson, M.I.; Alcantara, J.M. Nitrogen-Use Efficiency in Tropical Lowland Rice Systems: Contributions from Indigenous and Applied Nitrogen. Field Crop. Res. 1996, 47, 1–12. [Google Scholar] [CrossRef]
- Sun, Y.; Ma, J.; Sun, Y.; Xu, H.; Yang, Z.; Liu, S.; Jia, X.; Zheng, H. The Effects of Different Water and Nitrogen Managements on Yield and Nitrogen Use Efficiency in Hybrid Rice of China. Field Crop. Res. 2012, 127, 85–98. [Google Scholar] [CrossRef]
- Anbessa, Y.; Juskiw, P.; Good, A.; Nyachiro, J.; Helm, J. Genetic Variability in Nitrogen Use Efficiency of Spring Barley. Crop Sci. 2009, 49, 1259–1269. [Google Scholar] [CrossRef]
- Sinebo, W.; Gretzmacher, R.; Edelbauer, A. Genotypic Variation for Nitrogen Use Efficiency in Ethiopian Barley. Field Crop. Res. 2004, 85, 43–60. [Google Scholar] [CrossRef]
- Grami, B.; Lacroix, L.J. Cultivar Variation in Total Nitrogen Uptake in Rape. Can. J. Plant Sci. 1977, 57, 619–624. [Google Scholar] [CrossRef]
- Bogard, M.; Allard, V.; Brancourt-Hulmel, M.; Heumez, E.; Machet, J.-M.; Jeuffroy, M.-H.; Gate, P.; Martre, P.; Le Gouis, J. Deviation from the Grain Protein Concentration–Grain Yield Negative Relationship Is Highly Correlated to Post-Anthesis N Uptake in Winter Wheat. J. Exp. Bot. 2010, 61, 4303–4312. [Google Scholar] [CrossRef]
- Foulkes, M.J.; Hawkesford, M.J.; Barraclough, P.B.; Holdsworth, M.J.; Kerr, S.; Kightley, S.; Shewry, P.R. Identifying Traits to Improve the Nitrogen Economy of Wheat: Recent Advances and Future Prospects. Field Crop. Res. 2009, 114, 329–342. [Google Scholar] [CrossRef]
- Pathan, S.I.; Ceccherini, M.T.; Pietramellara, G.; Puschenreiter, M.; Giagnoni, L.; Arenella, M.; Varanini, Z.; Nannpieri, P.; Renella, G. Enzyme Activity and Microbial Community Structure in the Rhizosphere of Two Maize Lines Differing in N Use Efficiency. Plant Soil 2015, 387, 413–424. [Google Scholar] [CrossRef]
- Emmett, B.D.; Buckley, D.H.; Smith, M.E.; Drinkwater, L.E. Eighty Years of Maize Breeding Alters Plant Nitrogen Acquisition but Not Rhizosphere Bacterial Community Composition. Plant Soil 2018, 431, 53–69. [Google Scholar] [CrossRef]
- Pathan, S.I.; Větrovský, T.; Giagnoni, L.; Datta, R.; Baldrian, P.; Nannipieri, P.; Renella, G. Microbial Expression Profiles in the Rhizosphere of Two Maize Lines Differing in N Use Efficiency. Plant Soil 2018, 433, 401–413. [Google Scholar] [CrossRef]
- Juan, Y.H.; Chen, L.J.; Wu, Z.J.; Wang, R. Kinetics of Soil Urease Affected by Urease Inhibitors at Contrasting Moisture Regimes. Rev. Cienc. Suelo Nutr. 2009, 9, 125–133. [Google Scholar] [CrossRef]
- Stark, J.M.; Firestone, M.K. Kinetic Characteristics of Ammonium-Oxidizer Communities in a California Oak Woodland-Annual Grassland. Soil Biol. Biochem. 1996, 28, 1307–1317. [Google Scholar] [CrossRef]
- Garnett, T.; Conn, V.; Kaiser, B.N. Root Based Approaches to Improving Nitrogen Use Efficiency in Plants. Plant Cell Environ. 2009, 32, 1272–1283. [Google Scholar] [CrossRef]
- Laine, P.; Ourry, A.; Macduff, J.; Boucaud, J.; Salette, J. Kinetic Parameters of Nitrate Uptake by Different Catch Crop Species: Effects of Low Temperatures or Previous Nitrate Starvation. Physiol. Plant 1993, 88, 85–92. [Google Scholar] [CrossRef]
- Chen, H.; Li, D.; Zhao, J.; Xiao, K.; Wang, K. Effects of Nitrogen Addition on Activities of Soil Nitrogen Acquisition Enzymes: A Meta-Analysis. Agric. Ecosyst. Environ. 2018, 252, 126–131. [Google Scholar] [CrossRef]
- Berg, P.; Rosswall, T. Ammonium Oxidizer Numbers, Potential and Actual Oxidation Rates in Two Swedish Arable Soils. Biol. Fert. Soils 1985, 1, 131–140. [Google Scholar] [CrossRef]
- Belser, L.W.; Mays, E.L. Specific Inhibition of Nitrite Oxidation by Chlorate and Its Use in Assessing Nitrification in Soils and Sediments. Appl. Environ. Microbiol. 1980, 39, 505–510. [Google Scholar] [CrossRef]
- Berry, P.M.; Spink, J.; Foulkes, M.J.; White, P.J. The Physiological Basis of Genotypic Differences in Nitrogen Use Efficiency in Oilseed Rape (Brassica napus L.). Field Crop. Res. 2010, 119, 365–373. [Google Scholar] [CrossRef]
- Lynch, J.M.; Schepers, J.S.; Ünver, I. Development Innovative Soil-Plant Systems for Sustainable Agricultural Practices. In Proceedings of the International Workshop Organised by the University of Ankara, Faculty of Agriculture, Department of Soil Science, Izmir, Turkey, 3–7 June 2002; OECD: Paris, France, 2003. ISBN 978-92-64-09971-5. [Google Scholar]
- Svečnjak, Z.; Rengel, Z. Canola Cultivars Differ in Nitrogen Utilization Efficiency at Vegetative Stage. Field Crop. Res. 2006, 97, 221–226. [Google Scholar] [CrossRef]
- Baraniya, D.; Puglisi, E.; Ceccherini, M.T.; Pietramellara, G.; Giagnoni, L.; Arenella, M.; Nannipieri, P.; Renella, G. Protease Encoding Microbial Communities and Protease Activity of the Rhizosphere and Bulk Soils of Two Maize Lines with Different N Uptake Efficiency. Soil Biol. Biochem. 2016, 96, 176–179. [Google Scholar] [CrossRef]
- Khan, S.; Anwar, S.; Kuai, J.; Ullah, S.; Fahad, S.; Zhou, G. Optimization of Nitrogen Rate and Planting Density for Improving Yield, Nitrogen Use Efficiency, and Lodging Resistance in Oilseed Rape. Front. Plant Sci. 2017, 8, 532–541. [Google Scholar] [CrossRef]
- Ma, B.L.; Herath, A.W. Timing and Rates of Nitrogen Fertiliser Application on Seed Yield, Quality and Nitrogen-Use Efficiency of Canola. Crop Pasture Sci. 2016, 67, 167–180. [Google Scholar] [CrossRef]
- Zamboni, A.; Astolfi, S.; Zuchi, S.; Pii, Y.; Guardini, K.; Tononi, P.; Varanini, Z. Nitrate Induction Triggers Different Transcriptional Changes in a High and a Low Nitrogen Use Efficiency Maize Inbred Line: Maize Root Transcriptome and Nitrate Induction. J. Integr. Plant Biol. 2014, 56, 1080–1094. [Google Scholar] [CrossRef]
- Gan, Y.; Campbell, C.A.; Janzen, H.H.; Lemke, R.L.; Basnyat, P.; McDonald, C.L. Nitrogen Accumulation in Plant Tissues and Roots and N Mineralization under Oilseeds, Pulses, and Spring Wheat. Plant Soil 2010, 332, 451–461. [Google Scholar] [CrossRef]
- Gan, Y.T.; Campbell, C.A.; Janzen, H.H.; Lemke, R.; Liu, L.P.; Basnyat, P.; McDonald, C.L. Root Mass for Oilseed and Pulse Crops: Growth and Distribution in the Soil Profile. Can. J. Plant Sci. 2009, 89, 883–893. [Google Scholar] [CrossRef]
- Palta, J.A.; Gregory, P.J. Drought Affects the Fluxes of Carbon to Roots and Soil in 13C Pulse-Labelled Plants of Wheat. Soil Biol. Biochem. 1997, 29, 1395–1403. [Google Scholar] [CrossRef]
- Palta, J.A.; Chen, X.; Milroy, S.P.; Rebetzke, G.J.; Dreccer, M.F.; Watt, M. Large Root Systems: Are They Useful in Adapting Wheat to Dry Environments? Funct. Plant Biol. 2011, 38, 347–354. [Google Scholar] [CrossRef] [PubMed]
- Monti, A.; Zatta, A. Root Distribution and Soil Moisture Retrieval in Perennial and Annual Energy Crops in Northern Italy. Agric. Ecosyst. Environ. 2009, 132, 252–259. [Google Scholar] [CrossRef]
- Passioura, J.B. Roots and Drought Resistance. Agric. Water Manag. 1983, 7, 265–280. [Google Scholar] [CrossRef]
- Chamorro, A.M.; Tamagno, L.N.; Bezus, R.; Sarandón, S.J. Nitrogen Accumulation, Partition, and Nitrogen-Use Efficiency in Canola under Different Nitrogen Availabilities. Commun. Soil Sci. Plant Anal. 2002, 33, 493–504. [Google Scholar] [CrossRef]
- Smith, E.G.; Upadhyay, B.M.; Favret, M.L.; Karamanos, R.E. Fertilizer Response for Hybrid and Open-Pollinated Canola and Economic Optimal Nutrient Levels. Can. J. Plant Sci. 2010, 90, 305–310. [Google Scholar] [CrossRef]
- Karamanos, R.E.; Goh, T.B.; Flaten, D.N. Nitrogen and Sulphur Fertilizer Management for Growing Canola on Sulphur Sufficient Soils. Can. J. Plant Sci. 2007, 87, 201–210. [Google Scholar] [CrossRef]
- Geisseler, D.; Scow, K.M. Long-Term Effects of Mineral Fertilizers on Soil Microorganisms—A Review. Soil Biol. Biochem. 2014, 75, 54–63. [Google Scholar] [CrossRef]
- Jian, S.; Li, J.; Chen, J.; Wang, G.; Mayes, M.A.; Dzantor, K.E.; Hui, D.; Luo, Y. Soil Extracellular Enzyme Activities, Soil Carbon and Nitrogen Storage under Nitrogen Fertilization: A Meta-Analysis. Soil Biol. Biochem. 2016, 101, 32–43. [Google Scholar] [CrossRef]
- Lu, M.; Yang, Y.; Luo, Y.; Fang, C.; Zhou, X.; Chen, J.; Yang, X.; Li, B. Responses of Ecosystem Nitrogen Cycle to Nitrogen Addition: A Meta-Analysis. New Phytol. 2011, 189, 1040–1050. [Google Scholar] [CrossRef]
- Cheema, M.A.; Malik, M.A.; Hussain, A.; Shah, S.H.; Basra, S.M.A. Effects of Time and Rate of Nitrogen and Phosphorus Application on the Growth and the Seed and Oil Yields of Canola (Brassica napus L.). J. Agron. Crop Sci. 2001, 186, 103–110. [Google Scholar] [CrossRef]
- Laaniste, P.; Joudu, J.; Eremeev, V. Oil Content of Spring Oilseed Rape Seeds According to Fertilisation. Agron. Res. 2004, 2, 83–86. [Google Scholar]
- Scott, R.K.; Ogunremi, E.A.; Ivins, J.D.; Mendham, N.J. The Effect of Fertilizers and Harvest Date on Growth and Yield of Oilseed Rape Sown in Autumn and Spring. J. Agric. Sci. 1973, 81, 287–293. [Google Scholar] [CrossRef]
- Sheppard, S.C.; Bates, T.E. Yield and Chemical Composition of Rape in Response to Nitrogen, Phosphorus and Potassium. Can. J. Soil. Sci. 1980, 60, 153–162. [Google Scholar] [CrossRef]
- Wright, G.C.; Smith, C.J.; Woodroofe, M.R. The Effect of Irrigation and Nitrogen Fertilizer on Rapeseed (Brassica Napes) Production in South-Eastern Australia: I. Growth and Seed Yield. Irrig. Sci. 1988, 9, 1–13. [Google Scholar] [CrossRef]
- Malagoli, P. Dynamics of Nitrogen Uptake and Mobilization in Field-Grown Winter Oilseed Rape (Brassica napus) from Stem Extension to Harvest: I. Global N Flows between Vegetative and Reproductive Tissues in Relation to Leaf Fall and Their Residual N. Ann. Bot. 2005, 95, 853–861. [Google Scholar] [CrossRef]
- Lancashire, P.D.; Bleiholder, H.; Boom, T.V.D.; Langelüddeke, P.; Stauss, R.; Weber, E.; Witzenberger, A. A Uniform Decimal Code for Growth Stages of Crops and Weeds. Ann. Appl. Biol. 1991, 119, 561–601. [Google Scholar] [CrossRef]
- Environment and Climate Change Canada. 2018. Available online: https://Climate.Weather.Gc.ca/Climate_data (accessed on 2 March 2020).
- Finzi, A.C.; Abramoff, R.Z.; Spiller, K.S.; Brzostek, E.R.; Darby, B.A.; Kramer, M.A.; Phillips, R.P. Rhizosphere Processes Are Quantitatively Important Components of Terrestrial Carbon and Nutrient Cycles. Glob. Chang. Biol. 2015, 21, 2082–2094. [Google Scholar] [CrossRef]
- Buckee, G.K. Determination of Total Nitrogen in Barley, Malt and Beer by Kjeldahl Procedures and the Dumas Combustion Method Collaborative Trial. J. Inst. Brew. 1994, 100, 57–64. [Google Scholar] [CrossRef]
- Dumas, J. Memoire Sur Quelques Points de La Théorie Atomistique. Ann. De Chim. Phys. 1826, 33, 33–55. [Google Scholar]
- American Oil Chemist Society Determination of Fatty Acids in Edible Oils and Fats by Capillary GLC. AOAC Official Method Ce Le-91; American Oil Chemist Society: Urbana, IL, USA, 1997; 3p. [Google Scholar]
- Raney, J.P.; Love, H.K.; Rakow, G.F.W.; Downey, R.K. An Apparatus for Rapid Preparation of Oil and Oil-Free Meal from Brassica Seed. Fett. Wiss. Technol. 1987, 89, 235–237. [Google Scholar] [CrossRef]
- AOCS. Official Method Ba 4e-93 AOCS Official Method Ba 4e-93, Revised 2003: Generic Combustion Method for Determination of Crude Protein Using a LECO FP-528 Protein Analyzer; American Oil Chemist Society: Urbana, IL, USA, 2003. [Google Scholar]
- Martinez-Feria, R.A.; Castellano, M.J.; Dietzel, R.N.; Helmers, M.J.; Liebman, M.; Huber, I.; Archontoulis, S.V. Linking Crop- and Soil-Based Approaches to Evaluate System Nitrogen-Use Efficiency and Tradeoffs. Agric. Ecosyst. Environ. 2018, 256, 131–143. [Google Scholar] [CrossRef]
- Congreves, K.A.; Otchere, O.; Ferland, D.; Farzadfar, S.; Williams, S.; Arcand, M.M. Nitrogen Use Efficiency Definitions of Today and Tomorrow. Front. Plant Sci. 2021, 12, 1–10. [Google Scholar] [CrossRef]
- Dobermann, A. Nutrient Use Efficiency. Measurement and Management. In Fertilizers Best Management Practices, Proceeding of the International Fertilizer Industry Association, Brussels, Belgium, 7–9 March 2007; Kraus, A., Isherwood, K., Heffer, P., Eds.; International Fertilizer Industry Association: Paris, France, 2007; pp. 1–22. [Google Scholar]
- Maynard, D.G.; Kalra, Y.P.; Crumbaugh, J.A. Nitrate and exchangeable ammonium nitrogen. In Soil Sampling and Methods for Analysis; CRC Press: Boca Raton, FL, USA, 2008; pp. 71–75. [Google Scholar]
- Dick, R.P. Methods of Soil Enzymology; Soil Science Society of America, Inc.: Madison, WI, USA, 2011. [Google Scholar]
- Hendershot, W.H.; Lalande, H.; Duquette, M. Soil reaction and exchangeable acidity. In Soil Sampling and Methods of Analysis, 2nd ed.; CRC Press: Boca Raton, FL, USA, 2008; pp. 173–178. [Google Scholar]
- Altman, N.; Krzywinski, M. Split Plot Design. Nat. Methods 2015, 12, 165–166. [Google Scholar] [CrossRef] [PubMed]
- R Core Team R. A Language and Environment for Statistical Computing; R Foundation for Statistical Computing: Vienna, Austria, 2017; Available online: https://www.R-project.org/ (accessed on 29 January 2020).
- Kassambara, A. R Package Ggpubr: “ggplot2” Based Publication Ready Plots. R Package Version 0.4.0. 2020. Available online: https://CRAN.R-project.org/Package=ggpubr (accessed on 29 January 2020).
- Pinheiro, J.; Bates, D.; DebRoy, S.; Sarkar, D. R Core Team R Package nlme: Linear and Nonlinear Mixed Effects Models_. R Package Version 3.1-137. 2018. Available online: https://CRAN.R-project.org/Package=nlme (accessed on 29 January 2020).
- Lenth, R.V. Least-Squares Means: The R Package Lsmeans. J. Stat. Soft. 2016, 69. Available online: http://www.jstatsoft.org/v69/i01/ (accessed on 29 January 2020). [CrossRef]
- Hothorn, T.; Bretz, F.; Westfall, P. Simultaneous Inference in General Parametric Models. Biom. J. 2008, 50, 346–363. [Google Scholar] [CrossRef] [PubMed]
- Wickham, H. The Split-Apply-Combine Strategy for Data Analysis. J. Stat. Softw. 2011, 40, 1–29. [Google Scholar] [CrossRef]
- Wickham, H. Reshaping Data with the Reshape Package. J. Stat. Softw. 2007, 21, 1–20. Available online: http://www.jstatsoft.org/V21/I12/ (accessed on 30 January 2020). [CrossRef]
- Sarkar, D. Lattice: Multivariate Data Visualization with R.; Springer: New York, NY, USA, 2008; ISBN 978-0-387-75968-5. [Google Scholar]
- Auguie, B. GridExtra: Miscellaneous Functions for “Grid” Graphics. R Package Version 2.3. 2017. Available online: https://CRAN.R-project.org/Package=gridExtra (accessed on 29 January 2020).
- Wickham, H. R Package Ggplot2: Elegant Graphics for Data Analysis; Springer: New York, NY, USA, 2016. [Google Scholar]
- Harrell, F.E., Jr. With Contributions from Charles Dupont and Many Others. Hmisc: Harrell Miscellaneous. R Package Version 4.2-0. 2019. Available online: https://CRAN.R-project.org/Package=Hmisc (accessed on 24 August 2021).
- Wei, T.; Simko, V. R Package “Corrplot”: Visualization of a Correlation Matrix (Version 0.84). 2017. Available online: https://github.com/taiyun/corrplot (accessed on 29 January 2020).
- Williams, S.T.; Vail, S.; Arcand, M.M. [Dataset] Canola Nitrogen Use Efficiency and Soil Nitrogen Cycling in Response to Varying Nitrogen Fertilizer Rates across Hybrid Canola Varieties and Their Parents. 2021. Available online: https://doi.org/10.6084/m9.figshare.16654804.v4 (accessed on 21 September 2021).







| Factors | Urease Rate (μg NH4+ g−1 2 h−1) | Potential Ammonium Oxidation Rate (μg NO2−-N g−1 5 h−1) | Soil NO3−-N (mg kg−1) | Soil NH4+-N (mg kg−1) | Soil pH | Plant Biomass (kg ha−1) | N Uptake (kg ha−1) | NUtE | NUpE |
|---|---|---|---|---|---|---|---|---|---|
| V | 0.4652 | 0.6585 | 0.3542 | 0.6169 | 0.9723 | 0.5262 | 0.6483 | 0.0010 | 0.9405 |
| NR | 0.7557 | 0.5350 | 0.0010 | 0.0002 | 0.6209 | 0.2569 | 0.0260 | 0.0944 | 0.0703 |
| PS | 0.0001 | 0.0003 | <0.0001 | 0.8743 | 0.0069 | <0.0001 | <0.0001 | <0.0001 | <0.0001 |
| V × NR | 0.8916 | 0.9317 | 0.5148 | 0.4735 | 0.3033 | 0.0777 | 0.0442 | 0.1118 | 0.0549 |
| V × PS | 0.3135 | 0.9281 | 0.0055 | 0.1268 | 0.9152 | 0.0001 | 0.0001 | 0.0003 | 0.0029 |
| NR × PS | 0.1238 | 0.1623 | 0.2954 | 0.0072 | 0.9829 | 0.7930 | 0.1824 | 0.2440 | 0.0107 |
| V × NR × PS | 0.8061 | 0.2085 | 0.2273 | 0.9610 | 0.9677 | 0.1556 | 0.1868 | 0.2424 | 0.1588 |
| Factors | Start of Flowering (Julian Days) | End of Flowering (Julian Days) | Flowering Duration (No. of Days) | Yield (kg ha−1) | Seed N (kg ha−1 N) | TSW (g) | Seed Oil (%) | Seed Protein (%) | Partial-Factor Productivity | NUE |
|---|---|---|---|---|---|---|---|---|---|---|
| Treatments | ||||||||||
| V | <0.0001 | <0.0001 | <0.0001 | <0.0001 | <0.0001 | <0.0001 | 0.0001 | 0.3820 | <0.0001 | <0.0001 |
| NR | 0.3128 | 0.0137 | 0.0025 | 0.0149 | 0.0006 | 0.4138 | 0.0040 | 0.0015 | <0.0001 | <0.0001 |
| Interaction | ||||||||||
| V × NR | 0.0350 | 0.2819 | 0.4411 | 0.3764 | 0.3163 | 0.6557 | 0.7850 | 0.8069 | 0.6689 | 0.8216 |
Publisher’s Note: MDPI stays neutral with regard to jurisdictional claims in published maps and institutional affiliations. |
© 2021 by the authors. Licensee MDPI, Basel, Switzerland. This article is an open access article distributed under the terms and conditions of the Creative Commons Attribution (CC BY) license (https://creativecommons.org/licenses/by/4.0/).
Share and Cite
Williams, S.T.; Vail, S.; Arcand, M.M. Nitrogen Use Efficiency in Parent vs. Hybrid Canola under Varying Nitrogen Availabilities. Plants 2021, 10, 2364. https://doi.org/10.3390/plants10112364
Williams ST, Vail S, Arcand MM. Nitrogen Use Efficiency in Parent vs. Hybrid Canola under Varying Nitrogen Availabilities. Plants. 2021; 10(11):2364. https://doi.org/10.3390/plants10112364
Chicago/Turabian StyleWilliams, Shanay T., Sally Vail, and Melissa M. Arcand. 2021. "Nitrogen Use Efficiency in Parent vs. Hybrid Canola under Varying Nitrogen Availabilities" Plants 10, no. 11: 2364. https://doi.org/10.3390/plants10112364
APA StyleWilliams, S. T., Vail, S., & Arcand, M. M. (2021). Nitrogen Use Efficiency in Parent vs. Hybrid Canola under Varying Nitrogen Availabilities. Plants, 10(11), 2364. https://doi.org/10.3390/plants10112364

