Relationship between Vessel Formation and Seasonal Changes in Leaf Area of Evergreen and Deciduous Species with Different Vessel Arrangements
Abstract
1. Introduction
2. Results
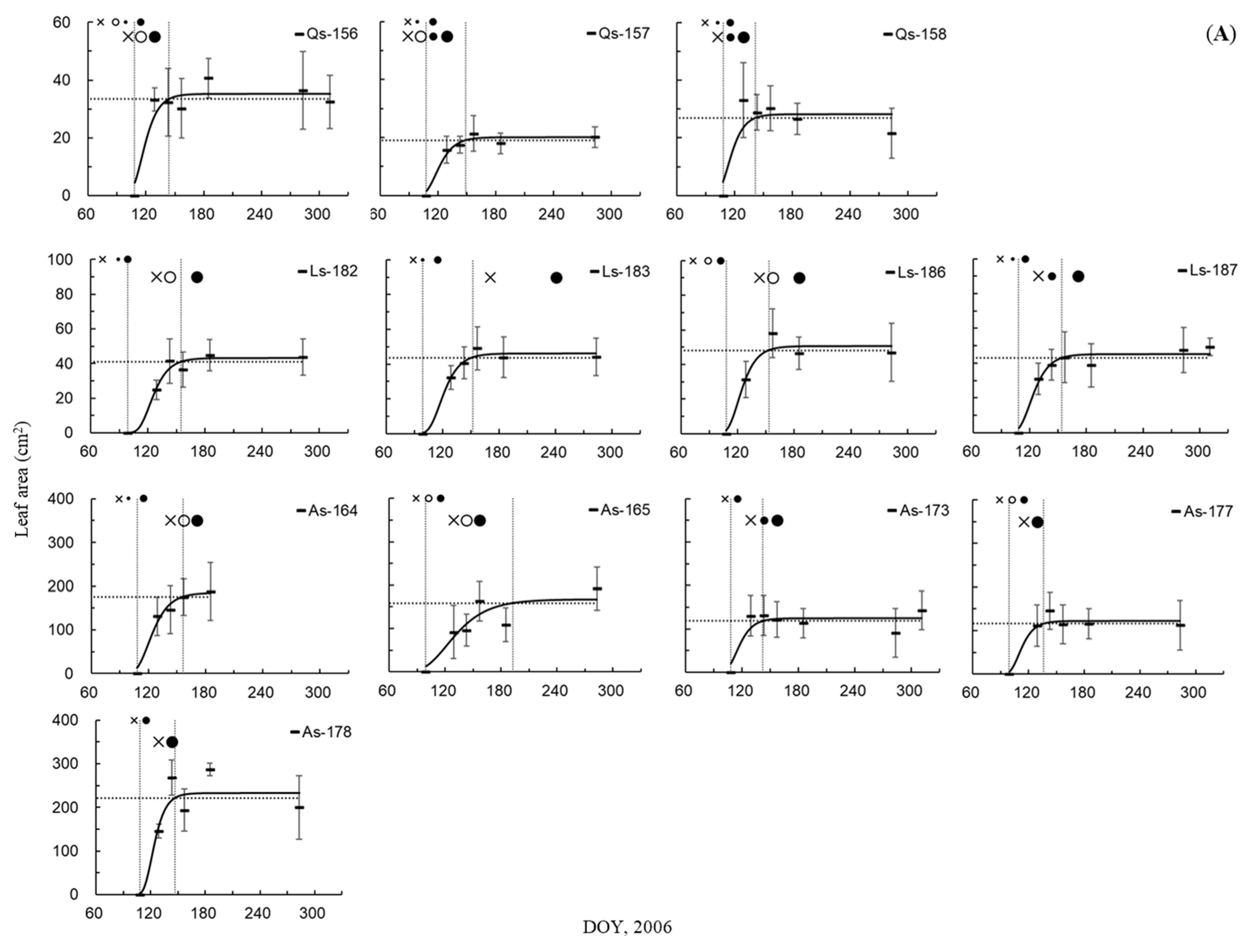
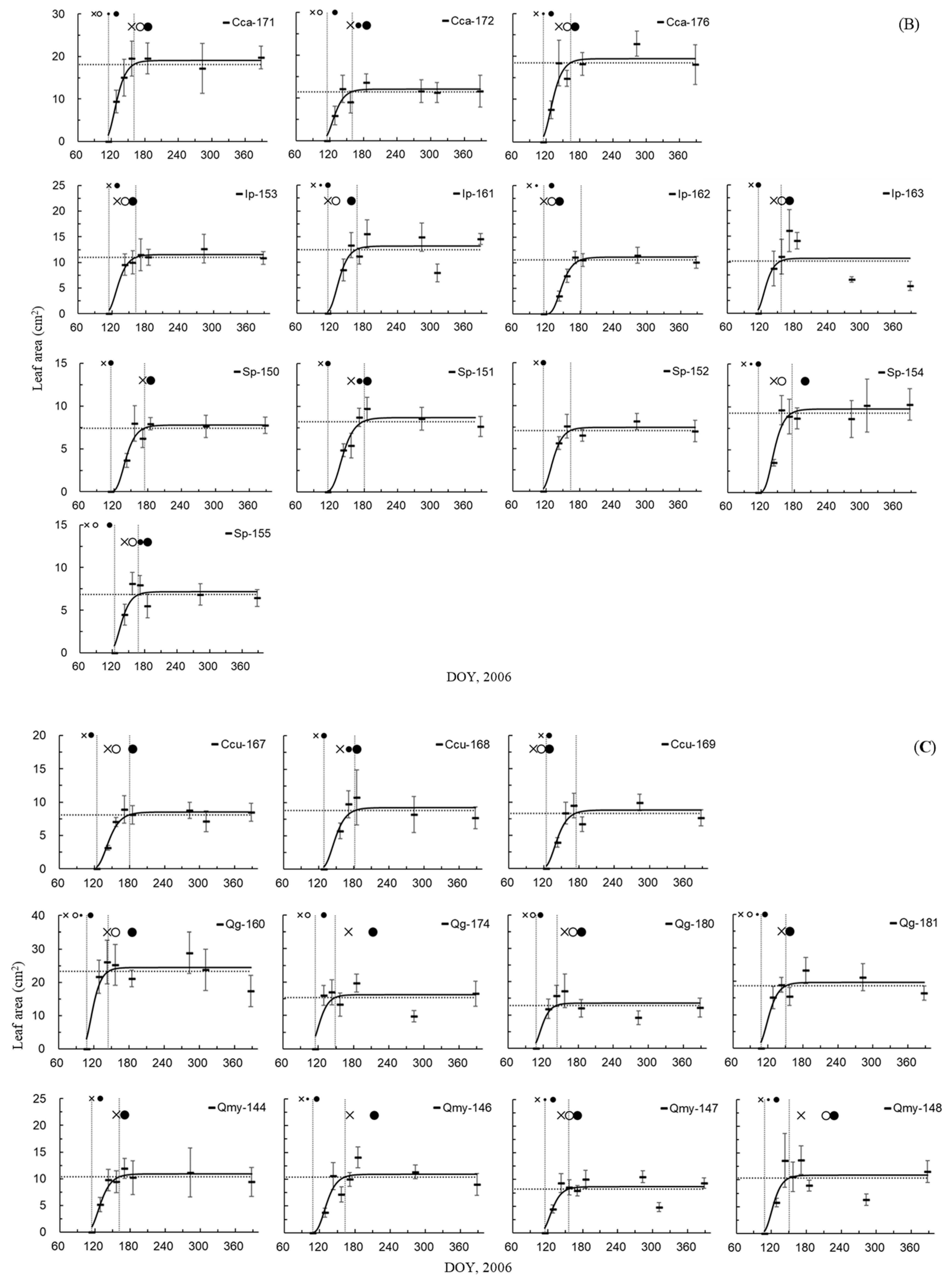
2.1. Relationship between Leaf Area and Twig Vessel Formation
2.2. Relationship between Leaf Area and Trunk Vessel Formation
3. Discussion
4. Materials and Methods
4.1. Study Site and Sampled Trees
4.2. Sampling
4.3. Seasonal Changes in Leaf Area
4.4. Assessment of Vessel Formation
5. Conclusions
Author Contributions
Funding
Institutional Review Board Statement
Informed Consent Statement
Data Availability Statement
Acknowledgments
Conflicts of Interest
References
- Wheeler, E.A.; Baas, P.; Gasson, P.E. IAWA list of microscopic features for hardwood identification with an appendix on non-anatomical information. IAWA Bull. New Ser. 1989, 10, 219–332. [Google Scholar] [CrossRef]
- Gasson, P. Automatic measurement of vessel lumen area and diameter with particular reference to pedunculate oak and common beech. IAWA J. 1985, 6, 219–237. [Google Scholar] [CrossRef]
- Noshiro, S.; Sasaki, Y. Identification of Japanese species of evergreen Quercus and Lithocarpus (Fagaceae). IAWA J. 2011, 32, 383–393. [Google Scholar] [CrossRef]
- Gleason, S.M.; Blackman, C.J.; Gleason, S.T.; McCulloh, K.A.; Ocheltree, T.W.; Westoby, M. Vessel scaling in evergreen angiosperm leaves conforms with Murray’s law and area-filling assumptions: Implications for plant size, leaf size and cold tolerance. New Phytol. 2018, 218, 1360–1370. [Google Scholar] [CrossRef] [PubMed]
- Petit, G.; von Arx, G.; Kiorapostolou, N.; Lechthaler, S.; Prendin, A.L.; Anfodillo, T.; Caldeira, M.C.; Cochard, H.; Copini, P.; Crivellaro, A. Tree differences in primary and secondary growth drive convergent scaling in leaf area to sapwood area across Europe. New Phytol. 2018, 218, 1383–1392. [Google Scholar] [CrossRef] [PubMed]
- Suzuki, M.; Yoda, K.; Suzuki, H. Phenological comparison of the onset of vessel formation between ring-porous and diffuse-porous deciduous trees in a Japanese temperate forest. IAWA J. 1996, 17, 431–444. [Google Scholar] [CrossRef]
- Takahashi, S.; Okada, N.; Nobuchi, T. Relationship between the timing of vessel formation and leaf phenology in ten ring-porous and diffuse-porous deciduous tree species. Ecol. Res. 2013, 28, 615–624. [Google Scholar] [CrossRef]
- Pérez-de-Lis, G.; Rossi, S.; Vázquez-Ruiz, R.A.; Rozas, V.; García-González, I. Do changes in spring phenology affect earlywood vessels? Perspective from the xylogenesis monitoring of two sympatric ring-porous oaks. New Phytol. 2016, 209, 521–530. [Google Scholar] [CrossRef]
- Guada, G.; García-González, I.; Pérez-de-Lis, G.; Vázquez-Ruiz, R.A.; Montserrat-Martí, G. Dry matter content during extension of twigs, buds and leaves reflects hydraulic status related to earlywood vessel development in Quercus pyrenaica Willd. Eur. J. Res. 2018, 137, 307–319. [Google Scholar] [CrossRef]
- Ladefoged, K. The periodicity of wood formation. Dan. Biol. Skr. 1952, 7, 1–98. [Google Scholar]
- Wilcox, H. Cambial growth characteristics. In Tree Growth; Kozlowski, T.T., Ed.; The Ronald Press Company: New York, NY, USA, 1962; pp. 57–88. [Google Scholar]
- Fahn, A.; Werker, E. Seasonal cambial activity. In The Vascular Cambium; Iqbal, M., Ed.; Research Studies Press: Taunton, MA, USA, 1990; pp. 139–157. [Google Scholar]
- Aloni, R. The role of hormones in controlling vascular differentiation. In Cellular Aspects of Wood Formation; Fromm, J., Ed.; Springer: Heidelberg, Germany, 2013; pp. 99–140. [Google Scholar]
- Zasada, J.C.; Zahner, R. Vessel element development in the earlywood of red oak (Quercus rubra). Can. J. Bot. 1969, 47, 1965–1971. [Google Scholar] [CrossRef]
- González-González, B.D.; García-González, I.; Vázquez-Ruiz, R.A. Comparative cambial dynamics and phenology of Quercus robur L. and Q. pyrenaica Willd. in an Atlantic forest of the northwestern Iberian Peninsula. Trees 2013, 27, 1571–1585. [Google Scholar] [CrossRef]
- Sass-Klaassen, U.; Sabajo, C.R.; den Ouden, J. Vessel formation in relation to leaf phenology in pedunculate oak and European ash. Dendrochronologia 2011, 29, 171–175. [Google Scholar] [CrossRef]
- Puchałka, R.; Koprowski, M.; Gričar, J.; Przybylak, R. Does tree-ring formation follow leaf phenology in Pedunculate oak (Quercus robur L.)? Eur. J. Res. 2017, 136, 259–268. [Google Scholar] [CrossRef]
- Suzuki, M.; Hirano, R.; Yoda, K. Phenological Analysis of Wood Formation in Temperate Deciduous Ring and Diffuse Porous Wood; Chonnam National University Press: Kwangju, Korea, 2000; pp. 132–137. [Google Scholar]
- Tyree, M.T.; Zimmermann, M.H. Xylem Structure and the Ascent of Sap; Springer Science & Business Media: Berlin/Heidelberg, Germany, 2002; p. 283. [Google Scholar]
- Utsumi, Y.; Yuzou, S.; Jun, O.; Seizo, F. Seasonal changes in the distribution of water in the outer growth rings of Fraxinus mandshurica var. japonica: A study by cryo-scanning electron microscopy. IAWA J. 1996, 17, 113–124. [Google Scholar] [CrossRef]
- Čufar, K.; Prislan, P.; De Luis, M.; Gričar, J. Tree-ring variation, wood formation and phenology of beech (Fagus sylvatica) from a representative site in Slovenia, SE Central Europe. Trees 2008, 22, 749–758. [Google Scholar] [CrossRef]
- Utsumi, Y.; Sano, Y.; Fujikawa, S.; Funada, R.; Jun, O. Visualization of cavitated vessels in winter and refilled vessels in spring in diffuse-porous trees by Cryo-Scanning Electron Microscopy. Plant. Physiol. 1998, 117, 1463–1471. [Google Scholar] [CrossRef]
- Umebayashi, T.; Utsumi, Y.; Koga, S.; Inoue, S.; Fujikawa, S.; Arakawa, K.; Matsumura, J.; Oda, K. Conducting pathways in north temperate deciduous broadleaved trees. IAWA J. 2008, 29, 247–263. [Google Scholar] [CrossRef]
- Takahashi, S.; Okada, N.; Nobuchi, T. Relationship between vessel porosity and leaf emergence pattern in ring-and diffuse-porous deciduous trees in a temperate hardwood forest. Botany 2015, 93, 31–39. [Google Scholar] [CrossRef]
- Takahashi, S.; Takahashi, E. Timing of vessel formation in twigs and trunks in relation to porosity and leaf flushing. IAWA J. 2016, 37, 16–27. [Google Scholar] [CrossRef]
- Miyazawa, S.-I.; Terashima, I. Slow development of leaf photosynthesis in an evergreen broad-leaved tree, Castanopsis sieboldii: Relationships between leaf anatomical characteristics and photosynthetic rate. Plant. Cell Environ. 2001, 24, 279–291. [Google Scholar] [CrossRef]
- Muraoka, H.; Koizumi, H. Photosynthetic and structural characteristics of canopy and shrub trees in a cool-temperate deciduous broadleaved forest: Implication to the ecosystem carbon gain. Agric. Meteorol. 2005, 134, 39–59. [Google Scholar] [CrossRef]
- Šesták, Z. Photosynthesis During Leaf Development; Dr. W. Junk Publishers: The Hague, The Netherlands, 1985. [Google Scholar]
- Koike, T. Autumn coloring, photosynthetic performance and leaf development of deciduous broad-leaved trees in relation to forest succession. Tree Physiol. 1990, 7, 21–32. [Google Scholar] [CrossRef] [PubMed]
- Takahashi, S.; Takahashi, E. Fitting Richards’ growth function to estimate seasonal changes in leaf area in jolcham oaks, Quercus serrata, and American sweetgum trees, Liquidambar styraciflua. App. Sci. 2020, 29, 1–8. [Google Scholar]
- Priestley, J.H.; Scott, L.I.; Malins, M.E. A new method of studying cambial activity. Proc. Leeds Philos. Lit. Soc. 1933, 2, 365–374. [Google Scholar]
- Fonti, P.; Solomonoff, N.; García-González, I. Earlywood vessels of Castanea sativa record temperature before their formation. New Phytol. 2007, 173, 562–570. [Google Scholar] [CrossRef] [PubMed]
- Atkinson, C.J.; Denne, M.P. Reactivation of vessel production in ash (Fraxinus excelsior L.) trees. Ann. Bot. 1988, 61, 679–688. [Google Scholar] [CrossRef]
- Kudo, K.; Yasue, K.; Hosoo, Y.; Funada, R. Relationship between formation of earlywood vessels and leaf phenology in two ring-porous hardwoods, Quercus serrata and Robinia pseudoacacia, in early spring. J. Wood Sci. 2015, 61, 455–464. [Google Scholar] [CrossRef]
- Kitin, P.; Funada, R. Earlywood vessels in ring-porous trees become functional for water transport after bud burst and before the maturation of the current-year leaves. IAWA J. 2016, 37, 315–331. [Google Scholar] [CrossRef]
- Greenidge, K.N.H. Studies in the physiology of forest trees. III. The effect of drastic interruption of conducting tissues on moisture movement. Am. J. Bot. 1955, 42, 582–587. [Google Scholar] [CrossRef]
- Chaney, W.R.; Kozlowski, T.T. Patterns of water movement in intact and excised stems of Fraxinus americana and Acer saccharum Seedlings. Ann. Bot. 1977, 41, 1093–1100. [Google Scholar] [CrossRef]
- Ellmore, G.S.; Ewers, F.W. Fluid flow in the outermost xylem increment of a ring-porous tree, Ulmus americana. Amer. J. Bot. 1986, 73, 1771–1774. [Google Scholar] [CrossRef]
- Utsumi, Y.; Sano, Y.; Funada, R.; Fujikawa, S.; Ohtani, J. The progression of cavitation in earlywood vessels of Fraxinus mandshurica var japonica during freezing and thawing. Plant. Physiol. 1999, 121, 897–904. [Google Scholar] [CrossRef] [PubMed]
- Lavrič, M.; Eler, K.; Ferlan, M.; Vodnik, D.; Gričar, J. Chronological sequence of leaf phenology, xylem and phloem formation and sap flow of Quercus pubescens from abandoned karst grasslands. Front. Plant Sci. 2017, 8, 314. [Google Scholar] [CrossRef] [PubMed]
- Cohen, Y.; Cohen, S.; Cantuarias-Aviles, T.; Schiller, G. Variations in the radial gradient of sap velocity in trunks of forest and fruit trees. Plant. Soil 2008, 305, 49–59. [Google Scholar] [CrossRef]
- Berdanier, A.B.; Miniat, C.F.; Clark, J.S. Predictive models for radial sap flux variation in coniferous, diffuse-porous and ring-porous temperate trees. Tree Physiol. 2016, 36, 932–941. [Google Scholar] [CrossRef]
- Hirano, R. Phenological Wood Formation in Ring- and Diffuse-Porous Broad-Leaved Tree Species. Master’s Thesis, Tohoku University, Tohoku, Japan, 1998. (In Japanese). [Google Scholar]
- Umebayashi, T.; Utsumi, Y.; Koga, S.; Inoue, S.; Matsumura, J.; Oda, K.; Fujikawa, S.; Arakawa, K.; Otsuki, K. Xylem water-conducting patterns of 34 broadleaved evergreen trees in southern Japan. Trees 2010, 24, 571–583. [Google Scholar] [CrossRef]
- Saitoh, T.; Ohtani, J.; Fukazawa, K. The occurrence and morphology of tyloses and gums in the vessels of Japanese hardwoods. Iawa J. 1993, 14, 359–371. [Google Scholar] [CrossRef]
- Miyazawa, Y.; Kikuzawa, K. Winter Photosynthesis by saplings of evergreen broad-leaved trees in a deciduous temperate forest. New Phytol. 2005, 165, 857–866. [Google Scholar] [CrossRef]
- Forest Research Station of Graduate School of Agriculture, Kyoto University. Meteorological Observations in Kyoto University Forests; Forest Research Station of Graduate School of Agriculture, Kyoto University: Kyoto, Japan, 2007; Volume 14, pp. 2001–2005. (In Japanese) [Google Scholar]
- Hayashi, S. Micrographic Atlas of Japanese Woods; Wood Research Institute, Kyoto University: Kyoto, Japan, 1991; Volume 23, pp. 1–147. (In Japanese) [Google Scholar]
- Itoh, T. Anatomical Description of Japanese Hardwoods I; Wood Research Institute, Kyoto University: Kyoto, Japan, 1995; Volume 31, pp. 81–181. (In Japanese) [Google Scholar]
- Itoh, T. Anatomical Description of Japanese Hardwoods IV; Wood Research Institute, Kyoto University: Kyoto, Japan, 1998; Volume 34, pp. 30–166. (In Japanese) [Google Scholar]
- FFPRI Website. Available online: http://f030091.ffpri.affrc.go.jp/IDB-E/home.php (accessed on 20 August 2015).
- InsideWood Website. 2004-Onwards. Available online: http://insidewood.lib.ncsu.edu/search (accessed on 20 August 2015).
- Yonekura, K.; Kajita, T.; List, Y. Available online: http://ylist.info (accessed on 12 October 2020).
- Kikuzawa, K. Leaf survival of woody plants in deciduous broad-leaved forests. 1. Tall trees. Can. J. Bot. 1983, 61, 2133–2139. [Google Scholar] [CrossRef]
- Richards, F.J. A flexible growth model for empirical use. J. Exp. Bot. 1959, 10, 290–301. [Google Scholar] [CrossRef]
- Ohsumi, S.; Ishikawa, Y. Applicability of the RICHARDS’ growth function to analysis of growth of tree. Sci. Rep. Kyoto Pref. Univ. Agric. 1983, 35, 49–76, (In Japanese with English summary). [Google Scholar]
- Sass, J.E. Botanical Microtechnique, 2nd ed.; The Iowa State College Press: Ames, IA, USA, 1951; pp. 69–71. [Google Scholar]
- Imagawa, H.; Ishida, S. Study on the wood formation in trees: Report III. Occurrence of the overwintering cells in cambial zone in several ring-porous trees. Res. Bull. Coll. Exp. Hokkaido Univ. 1972, 29, 207–221, (In Japanese with English summary). [Google Scholar]
- Wakuta, R.; Saiki, H.; Harada, H. Enlarging of differentiating vessel element in Firmiana platanifolia SHOTT et ENDL. Bull. Kyoto Univ. 1973, 45, 204–216. [Google Scholar]
- Fukushima, K.; Funada, R.; Sugiyama, J.; Takabe, K.; Umezawa, T.; Yamamoto, H. Secondary Xylem Formation—Introduction to Biomass Science; Kaiseisha Press: Otsu, Japan, 2003. (In Japanese) [Google Scholar]
- Fromm, J. Xylem development in trees: From cambial divisions to mature wood cells. In Cellular Aspects of Wood Formation; Fromm, J., Ed.; Springer: Berlin/Heidelberg, Germany, 2013; pp. 3–40. [Google Scholar]
- Takahashi, S.; Okada, N.; Nobuchi, T. Examination of wood sampling method with an increment borer: An investigation of seasonal changes in vessel formation. For. Res. Kyoto 2008, 77, 123–128. [Google Scholar]




| Leaf Habit. | Vessel Arrangement 1 | Species 2 | Family | DBH 3 (cm) | Tree Height (m) | Number of Trees |
|---|---|---|---|---|---|---|
| Deciduous | Ring-porous | Quercus serrata Murray | Fagaceae | 23–36 | 8–14 | 3 |
| Diffuse-porous | Liquidambar styraciflua L. | Hamamelidaceae | 22–56 | 22–29 | 4 | |
| Semi-ring-porous | Acanthopanax sciadophylloides Franch. et Sav. | Araliaceae | 16–29 | 7–17 | 5 | |
| Evergreen | Ring-(radial-)porous | Castanopsis cuspidata (Thunb.) Schottky | Fagaceae | 12–56 | 7–26 | 3 |
| Diffuse-porous | Cinnamomum camphora (L.) J.Presl | Lauraceae | 29–45 | 15–19 | 3 | |
| Ilex pedunculosa Miq. | Aquifoliaceae | 19–24 | 8–11 | 4 | ||
| Symplocos prunifolia Siebold et Zucc. | Symplocaceae | 19–24 | 7–9 | 5 | ||
| Radial-porous | Quercus glauca Thunb. | Fagaceae | 24–44 | 11–17 | 4 | |
| Quercus myrsinifolia Blume | Fagaceae | 22–53 | 15–20 | 4 |
Publisher’s Note: MDPI stays neutral with regard to jurisdictional claims in published maps and institutional affiliations. |
© 2021 by the authors. Licensee MDPI, Basel, Switzerland. This article is an open access article distributed under the terms and conditions of the Creative Commons Attribution (CC BY) license (http://creativecommons.org/licenses/by/4.0/).
Share and Cite
Takahashi, S.; Takahashi, E. Relationship between Vessel Formation and Seasonal Changes in Leaf Area of Evergreen and Deciduous Species with Different Vessel Arrangements. Plants 2021, 10, 100. https://doi.org/10.3390/plants10010100
Takahashi S, Takahashi E. Relationship between Vessel Formation and Seasonal Changes in Leaf Area of Evergreen and Deciduous Species with Different Vessel Arrangements. Plants. 2021; 10(1):100. https://doi.org/10.3390/plants10010100
Chicago/Turabian StyleTakahashi, Sayaka, and Erina Takahashi. 2021. "Relationship between Vessel Formation and Seasonal Changes in Leaf Area of Evergreen and Deciduous Species with Different Vessel Arrangements" Plants 10, no. 1: 100. https://doi.org/10.3390/plants10010100
APA StyleTakahashi, S., & Takahashi, E. (2021). Relationship between Vessel Formation and Seasonal Changes in Leaf Area of Evergreen and Deciduous Species with Different Vessel Arrangements. Plants, 10(1), 100. https://doi.org/10.3390/plants10010100
