Distribution Pattern of Coseismic Landslides Triggered by the 2017 Jiuzhaigou Ms 7.0 Earthquake of China: Control of Seismic Landslide Susceptibility
Abstract
1. Introduction
2. Landslides Triggered by the Ms7.0 Jiuzhaigou Earthquake
3. Methods and Data
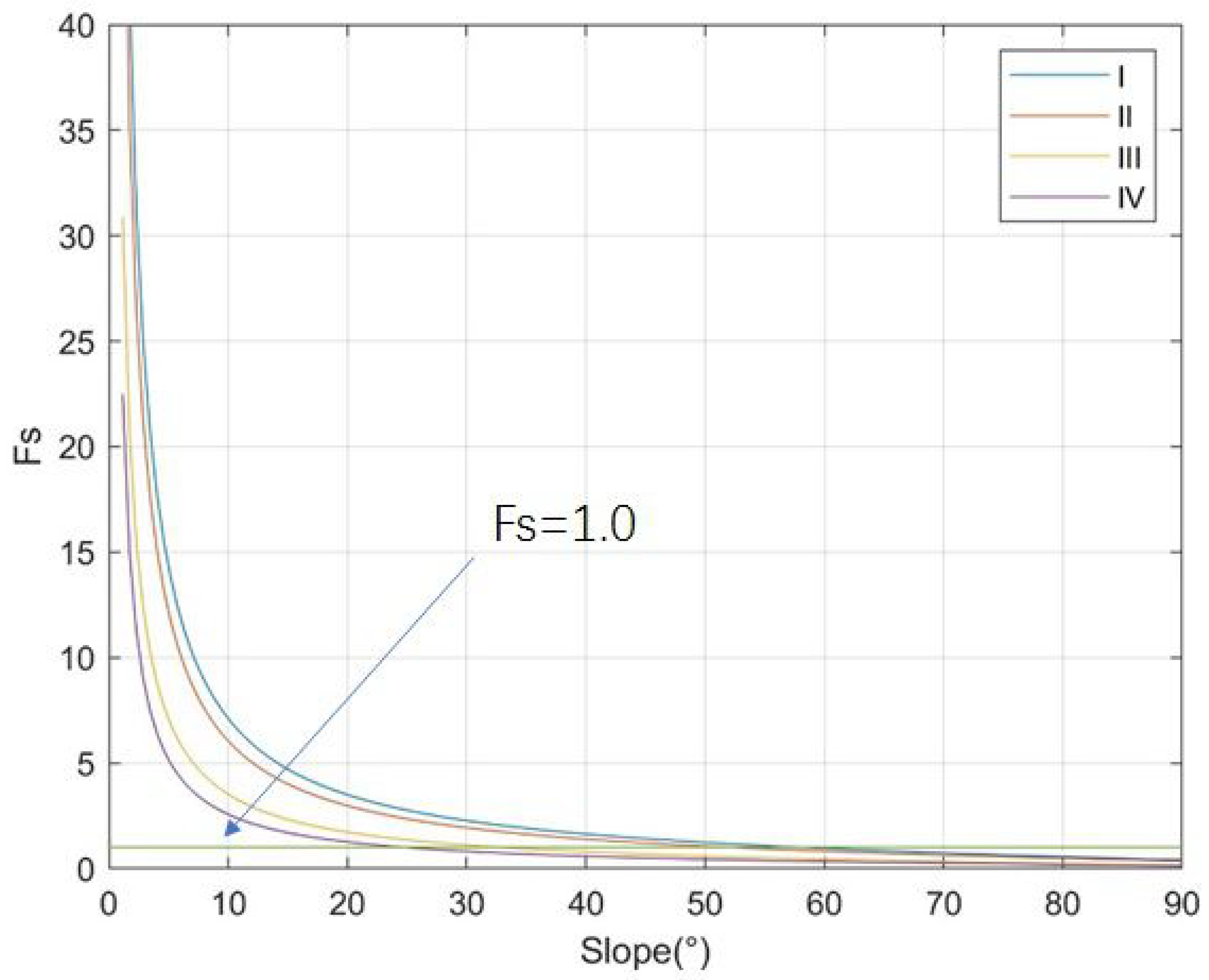
3.1. Slope Critical Acceleration of the Study Area as a Basic Map
3.2. Acquisition of PGA Distribution of the Seismic Event
3.3. Analysis of Potential Seismic Landslide Development Degree
4. Results
5. Discussion
6. Conclusions
Author Contributions
Funding
Acknowledgments
Conflicts of Interest
References
- Fan, X.; Xu, Q.; Van Westen, C.J.; Huang, R.; Tang, R. Characteristics and classification of landslide dams associated with the 2008 Wenchuan earthquake. Geoenviron. Disasters 2017, 4, 12. [Google Scholar] [CrossRef]
- Yin, Y.P.; Wang, F.W.; Sun, P. Landslide hazards triggered by the 2008 Wenchuan earthquake, Sichuan, China. Landslides 2009, 6, 139–152. [Google Scholar] [CrossRef]
- Dai, F.C.; Xu, C.; Yao, X.; Xu, L.; Tu, X.B.; Gong, Q.M. Spatial distribution of landslides triggered by the 2008 Ms 8.0 Wenchuan earthquake, China. J. Asian Earth Sci. 2010, 40, 883–895. [Google Scholar] [CrossRef]
- Qi, S.W.; Xu, Q.; Lan, H.X.; Zhang, B.; Liu, J.Y. Spatial distribution analysis of landslides triggered by 2008.5.12 Wenchuan Earthquake, China. Eng. Geol. 2010, 116, 95–108. [Google Scholar] [CrossRef]
- Gorum, T.; Fan, X.M.; Van Westen, C.J.; Huang, R.Q.; Xu, Q.; Tang, C.; Wang, G. Distribution pattern of earthquake-induced landslides triggered by the 12 May 2008 Wenchuan earthquake. Geomorphology 2011, 133, 152–167. [Google Scholar] [CrossRef]
- Chen, X.L.; Yu, L.; Wang, M.M.; Li, J.Y. Landslides triggered by the Ms = 7.0 Lushan earthquake, China. Nat. Hazards Earth Syst. Sci. 2014, 12, 1257–1267. [Google Scholar] [CrossRef]
- Xu, C.; Xiao, J.Z. Spatial analysis of landslides triggered by the 2013 Ms7.0 Lushan earthquake: A case study of a typical rectangle area in the northeast of Taping town. Seismol. Geol. 2013, 35, 436–451. (In Chinese) [Google Scholar]
- Zhou, S.; Chen, G.; Fang, L. Distribution of landslides triggered by the 2014 Ludian earthquake of China: Implications for regional threshold topography and the seismogenic fault identification. ISPRS Int. J. Geo-Inf. 2016, 5, 46. [Google Scholar] [CrossRef]
- Dai, L.X.; Xu, Q.; Fan, X.M.; Chang, M.; Yang, Q.; Yang, F.; Ren, J. A preliminary study on spatial distribution patterns of landslides triggered by Jiuzhaigou earthquake in Sichuan on August 8th, 2017 and their susceptibility assessment. J. Eng. Geol. 2017, 25, 1151–1164. (In Chinese) [Google Scholar]
- Su, L.J.; Xu, X.Q.; Genge, X.Y.; Liang, S.Q. An integrated approach for investigating hydrogeological characteristics of a debris landslide in the Wenchuan earthquake area. Eng. Geol. 2017, 219, 52–63. [Google Scholar] [CrossRef]
- Hu, K.; Wu, C.; Tang, J.; Pasuto, A.; Li, Y.; Yan, S. New understandings of the June 24th 2017XinmoLandslide, Maoxian, Sichuan, China. Landslides 2018, 15, 2465–2474. [Google Scholar] [CrossRef]
- Jibson, R.W.; Harp, E.L.; Michael, J.A. A method for producing digital probabilistic seismic landslide. Eng. Geol. 2000, 58, 271–289. [Google Scholar] [CrossRef]
- Jibson, R.W. Regression models for estimating coseismic landslide displacement. Eng. Geol. 2007, 91, 209–218. [Google Scholar] [CrossRef]
- Jibson, R.W. Methods for assessing the stability of slopes during earthquakes—A retrospective. Eng. Geol. 2011, 122, 43–50. [Google Scholar] [CrossRef]
- Fan, X.M.; Scaringi, G.; Xu, Q.; Zhan, W.W.; Dai, L.X.; Li, Y.S.; Pei, X.G.; Yang, Q.; Huang, R.Q. Coseismic landslides triggered by the 8th August 2017 Ms 7.0 Jiuzhaigou earthquake (Sichuan, China): Factors controlling their spatial distribution and implications for the seismogenic blind fault identification. Landslides 2018. [Google Scholar] [CrossRef]
- Tian, Y.Y.; Xu, C.; Ma, S.Y.; Xu, X.W.; Wang, S.Y.; Zhang, H. Inventory and spatial distribution of landslides triggered by the 8th August 2017 Mw 6.5 Jiuzhaigou earthquake, China. J. Earth Sci. 2019, 30, 206–217. [Google Scholar] [CrossRef]
- Xu, X.W.; Chen, G.H.; Wang, Q.X.; Chen, L.C.; Ren, Z.K.; Xu, C.; Wei, Z.Y.; Lu, R.Q.; Tan, X.B.; Dong, S.P.; et al. Discussion on seismogenic structure of Jiuzhaigou earthquake and its implication for current strain state in the southern Qinghai Tibet Plateau. Chin. J. Geophys. 2017, 60, 4018–4026. (In Chinese) [Google Scholar]
- Institute of Geology, China Earthquake Administration. Available online: http://www.eq-igl.ac.cn/upload/images/2017/8/991724632 (accessed on 20 December 2019).
- China Earthquake Network Center. Available online: http://www.cmec.ac.cn (accessed on 20 December 2019).
- Fu, J.D.; Ren, J.W.; Zhang, J.L.; Xiong, R.W.; Yang, P.X.; Chen, C.Y.; Hu, C.Z. Research on late Quaternary paleoearthquake on Tazang Fault on the eastern section of the Kunlun active fault. Quat. Sci. 2012, 32, 473–483. (In Chinese) [Google Scholar]
- Qian, H.; Ma, S.H.; Gong, Y. Discussions on the Minjiang fault. Earthquake research in China. Earthquake Res. Chin. 1995, 11, 142–146. (In Chinese) [Google Scholar]
- Yi, G.X.; Wen, X.Z.; Xu, X.W. Study on recurrence behaviors of strong earthquakes for several entireties of active fault zones in Sichuan-Yunnan region. Earthq. Res. China 2002, 18, 267–276. (In Chinese) [Google Scholar]
- Jibson, R.W.; Harp, E.L.; Schulz, W.; Keefer, D.K. Landslides triggered by the 2002 M-7.9 Denali Fault, Alaska, earthquake and the inferred nature of the strong shaking. Earthq. Spectra 2004, 20, 669–691. [Google Scholar] [CrossRef]
- Xu, C.; Xu, X.; Yu, G. Landslides triggered by slipping-fault-generated earthquake on a plateau: An example of the 14 April 2010, Ms 7.1, Yushu, China earthquake. Landslides 2013, 10, 421–431. [Google Scholar] [CrossRef]
- Newmark, N.M. Effects of earthquakes on dams and embankments. Geotechnique 1965, 15, 139–160. [Google Scholar] [CrossRef]
- Chang, C.J.; Chen, W.F.; Yan, J.T.P. Seismic displacements in slopes by limit analysis. J. Geotech. Eng. 1984, 7, 850–874. [Google Scholar] [CrossRef]
- Shinoda, M.; Miyata, Y. Regional landslide susceptibility following the Mid-NIIGATA prefecture earthquake in 2004 with NEWMARK’S sliding block analysis. Landslides 2017. [Google Scholar] [CrossRef]
- China Geological Survey (CGS). Regional Geological Map of Sichuan Province (1:200, 000); Geological Press: Beijing, China, 2001. [Google Scholar]
- General Administration of Quality Supervision. Inspection and Quarantine of the People’s Republic of China, Ministry of Construction of the People’s Republic of China, 1995; Standard for Engineering Classification of Rock Masses; Standards Press of China: Beijing, China, 1995. (In Chinese) [Google Scholar]
- Dreyfus, D.; Rathje, E.M.; Jibson, R.W. The influence of different simplified sliding-block models and input parameters on regional predictions of seismic landslides triggered by the Northridge earthquake. Eng. Geol. 2013, 163, 41–54. [Google Scholar] [CrossRef]
- Chen, X.L.; Liu, C.G.; Yu, L.; Lin, C.X. Critical acceleration as a criterion in seismic landslide susceptibility assessment. Geomorphology 2014, 217, 15–22. [Google Scholar] [CrossRef]
- SRTM Data. Available online: http://srtm.csi.cgiar.org/SELECTION/inputCoord.asp (accessed on 20 December 2019).
- United States Geology Survey. Available online: https://earthquake.usgs.gov/earthquakes/eventpage/us2000a5x1#shakemap (accessed on 20 December 2019).
- Brabb, E.E. Innovative approaches to landslide hazard mapping. In Proceedings of the International Landslide Symposium, Toronto, ON, Canada, 23–31 August 1984; pp. 307–324. [Google Scholar]
- Gallen, S.F.; Clark, M.K.; Godt, J.W.; Roback, K.; Niemi, N.A. Application and evaluation of a rapid response earthquake-triggered landslide model to the 25 April 2015 Mw 7.8 Gorkha earthquake. Nepal Tectonophys. 2016. [Google Scholar] [CrossRef]
- Oglesby, D.D.; Day, S.M. Fault Geometry and the Dynamics of the 1999 Chi-Chi (Taiwan) Earthquake. Bull. Seismol. Soc. Am. 2001, 91, 1099–1111. [Google Scholar] [CrossRef]
- Wang, G.; Du, C.; Huang, D.; Jin, F.; Koo, R.C.H.; Kwan, J.S.H. Parametric models for 3D topographic amplification of ground motions considering subsurface soils. Soil Dyn. Earthq. Eng. 2018, 115, 41–54. [Google Scholar] [CrossRef]
- Maufroy, E.; Cruz-Atienza, V.M.; Cotton, F.; Gaffet, S. Frequency-scaled curvature as a proxy for topographic site-effect amplification and ground-motion variability. Bull. Seismol. Soc. Am. 2015, 105, 354–367. [Google Scholar] [CrossRef]
- Huang, D.; Wang, G.; Du, C.; Jin, F.; Feng, K.; Chen, Z. An integrated SEM-Newmark model for physics-based regional coseismic landslide assessment. Earthq. Eng. Soil Dyn. 2020, 132, 106066. [Google Scholar] [CrossRef]
- Jibson, R.W.; Harp, E.L. Extraordinary Distance Limits of Landslides Triggered by the 2011 Mineral, Virginia, Earthquake. Bull. Seismol. Soc. Am. 2012, 102, 2368–2377. [Google Scholar] [CrossRef]








| Variable | Description |
|---|---|
| ac | critical acceleration in terms of g |
| g | acceleration of Earth’s gravity |
| FS | static factor of safety |
| α | angle from the horizontal direction |
| effective frictional angle | |
| c´ | effective cohesion |
| γ | material unit weight |
| γw | water unit weight |
| t | slope-normal failure slab thickness |
| m | proportion of the slab thickness saturated |
| Stratum | Lithology |
|---|---|
| Quaternary (Q) | Alluvial deposits, intercalated with mud, sand |
| Triassic (T) | Green-grey metamorphic tuffaceous sandstone, siltstone |
| Permian (P) | Massive limestone intercalated with carbonate rocks, siltstone |
| Carboniferous (C) | Grey-white thick bedded limestone, dolomitic limestone |
| Devonian (D) | Quartz sandstone, siltstone intercalated with mudstone |
| Rock Type | c´(Mpa) | γ(kN/m3) | |
|---|---|---|---|
| I | 0.022 | 35 | 27.0 |
| II | 0.018 | 30 | 25.0 |
| III | 0.012 | 25 | 23.0 |
| IV | 0.010 | 23 | 20.0 |
© 2020 by the authors. Licensee MDPI, Basel, Switzerland. This article is an open access article distributed under the terms and conditions of the Creative Commons Attribution (CC BY) license (http://creativecommons.org/licenses/by/4.0/).
Share and Cite
Chen, X.-l.; Shan, X.-j.; Wang, M.-m.; Liu, C.-g.; Han, N.-n. Distribution Pattern of Coseismic Landslides Triggered by the 2017 Jiuzhaigou Ms 7.0 Earthquake of China: Control of Seismic Landslide Susceptibility. ISPRS Int. J. Geo-Inf. 2020, 9, 198. https://doi.org/10.3390/ijgi9040198
Chen X-l, Shan X-j, Wang M-m, Liu C-g, Han N-n. Distribution Pattern of Coseismic Landslides Triggered by the 2017 Jiuzhaigou Ms 7.0 Earthquake of China: Control of Seismic Landslide Susceptibility. ISPRS International Journal of Geo-Information. 2020; 9(4):198. https://doi.org/10.3390/ijgi9040198
Chicago/Turabian StyleChen, Xiao-li, Xin-jian Shan, Ming-ming Wang, Chun-guo Liu, and Na-na Han. 2020. "Distribution Pattern of Coseismic Landslides Triggered by the 2017 Jiuzhaigou Ms 7.0 Earthquake of China: Control of Seismic Landslide Susceptibility" ISPRS International Journal of Geo-Information 9, no. 4: 198. https://doi.org/10.3390/ijgi9040198
APA StyleChen, X.-l., Shan, X.-j., Wang, M.-m., Liu, C.-g., & Han, N.-n. (2020). Distribution Pattern of Coseismic Landslides Triggered by the 2017 Jiuzhaigou Ms 7.0 Earthquake of China: Control of Seismic Landslide Susceptibility. ISPRS International Journal of Geo-Information, 9(4), 198. https://doi.org/10.3390/ijgi9040198
