Exploring Multi-Scale Spatiotemporal Twitter User Mobility Patterns with a Visual-Analytics Approach
Abstract
:1. Introduction
2. Mobility Patterns in Location Based Social Media Data
2.1. Geo-Located Twitter Data for Studying Large-Scale User Movements
2.2. Data-Intensive Challenges for Multi-Scale Geo-Visual Analytics
3. Materials and Methods
3.1. Geo-Located Twitter Data
3.2. A Scalable Visual-Analytics Framework
3.3. Space-Time Twitter User Trajectories
3.4. Multi-Level Spatiotemporal Trajectory Aggregation
4. Multi-Scale Spatiotemporal Twitter User Mobility Patterns
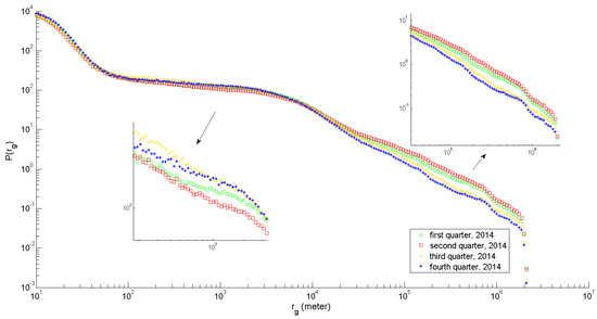
4.1. Spatiotemporal Twitter User Mobility Patterns
4.2. The Interactive 3D Virtual Globe Web Mapping Interface
5. Conclusions
Acknowledgments
Author Contributions
Conflicts of Interest
References
- Zheng, Y.; Li, Q.; Chen, Y.; Xie, X.; Ma, W.Y. Understanding mobility based on GPS data. In Proceedings of the 10th International Conference on Ubiquitous Computing, Seoul, South Korea, 21–24 September 2008.
- Jiang, B.; Yin, J.; Zhao, S. Characterizing the human mobility pattern in a large street network. Phys. Rev. E 2009. [Google Scholar] [CrossRef] [PubMed]
- Belik, V.; Geisel, T.; Brockmann, D. Natural human mobility patterns and spatial spread of infectious diseases. Phys. Rev. X 2011. [Google Scholar] [CrossRef]
- Greenwood, M.J. Human migration: Theory, models, and empirical studies. J. Reg. Sci. 1985, 25, 521–544. [Google Scholar] [CrossRef] [PubMed]
- Brockmann, D.; Hufnagel, L.; Geisel, T. The scaling laws of human travel. Nature 2006, 439, 462–465. [Google Scholar] [CrossRef] [PubMed]
- Gonzalez, M.C.; Hidalgo, C.A.; Barabasi, A.L. Understanding individual human mobility patterns. Nature 2008, 453, 779–782. [Google Scholar] [CrossRef] [PubMed]
- Jurdak, R.; Zhao, K.; Liu, J.; AbouJaoude, M.; Cameron, M.; Newth, D. Understanding human mobility from twitter. PLoS ONE 2015. [Google Scholar] [CrossRef] [PubMed]
- Rhee, I.; Shin, M.; Hong, S.; Lee, K.; Kim, S.J.; Chong, S. On the levy-walk nature of human mobility. IEEE/ACM Trans. Netw. 2011, 19, 630–643. [Google Scholar] [CrossRef]
- Sevtsuk, A.; Ratti, C. Does urban mobility have a daily routine? Learning from the aggregate data of mobile networks. J. Urban Technol. 2010, 17, 41–60. [Google Scholar] [CrossRef]
- Kung, K.S.; Greco, K.; Sobolevsky, S.; Ratti, C. Exploring universal patterns in human home-work commuting from mobile phone data. PLoS ONE 2014. [Google Scholar] [CrossRef] [PubMed]
- Thatcher, J. Living on fumes: Digital footprints, data fumes, and the limitations of spatial big data. Int. J. Commun. 2014, 8, 1765–1783. [Google Scholar]
- Hawelka, B.; Sitko, I.; Beinat, E.; Sobolevsky, S.; Kazakopoulos, P.; Ratti, C. Geo-located Twitter as proxy for global mobility patterns. Cartogr. Geogr. Inf. Sci. 2014, 41, 260–271. [Google Scholar] [CrossRef] [PubMed]
- Giannotti, F.; Pedreschi, D. Mobility, Data Mining and Privacy: Geographic Knowledge Discovery; Springer Science & Business Media: Berlin, Germany, 2008. [Google Scholar]
- Crampton, J.W. Collect it all: National security, Big Data and governance. GeoJournal 2014, 9, 1–13. [Google Scholar] [CrossRef]
- Wu, L.; Zhi, Y.; Sui, Z.; Liu, Y. Intra-urban human mobility and activity transition: Evidence from social media check-in data. PLoS ONE 2014. [Google Scholar] [CrossRef] [PubMed]
- Hasan, S.; Zhan, X.; Ukkusuri, S.V. Understanding urban human activity and mobility patterns using large-scale location-based data from online social media. In Proceedings of the 2nd ACM SIGKDD International Workshop on Urban Computing, Chicago, IL, USA, 11–14 August 2013.
- Cho, E.; Myers, S.A.; Leskovec, J. Friendship and mobility: User movement in location-based social networks. In Proceedings of the 17th ACM SIGKDD International Conference on Knowledge Discovery and Data Mining, San Diego, CA, USA, 21–24 August 2011.
- Noulas, A.; Scellato, S.; Lambiotte, R.; Pontil, M.; Mascolo, C. A tale of many cities: Universal patterns in human urban mobility. PLoS ONE 2012. [Google Scholar] [CrossRef]
- Balcan, D.; Colizza, V.; Gonçalves, B.; Hu, H.; Ramasco, J.J.; Vespignani, A. Multiscale mobility networks and the spatial spreading of infectious diseases. Proc. Natl. Acad. Sci. USA 2009, 106, 21484–21489. [Google Scholar] [CrossRef] [PubMed]
- Tamerius, J.; Nelson, M.I.; Zhou, S.Z.; Viboud, C.; Miller, M.A.; Alonso, W.J. Global influenza seasonality: Reconciling patterns across temperate and tropical regions. Environ. Health Perspect. 2011, 119, 439–445. [Google Scholar] [CrossRef] [PubMed]
- Tsou, M.H. Research challenges and opportunities in mapping social media and Big Data. Cartogr. Geogr. Inf. Sci. 2015, 42, 70–74. [Google Scholar] [CrossRef]
- Zheng, Y.; Xie, X.; Ma, W.Y. GeoLife: A collaborative social networking service among user, location and trajectory. IEEE Data(base) Eng. Bull. 2010, 33, 32–39. [Google Scholar]
- Becker, R.; Cáceres, R.; Hanson, K.; Isaacman, S.; Loh, J.M.; Martonosi, M.; Rowland, J.; Urbanek, S.; Varshavsky, A.; Volinsky, C. Human mobility characterization from cellular network data. Commun. ACM 2013, 56, 74–82. [Google Scholar] [CrossRef]
- Sobolevsky, S.; Szell, M.; Campari, R.; Couronné, T.; Smoreda, Z.; Ratti, C. Delineating geographical regions with networks of human interactions in an extensive set of countries. PLoS ONE 2013. [Google Scholar] [CrossRef] [PubMed]
- Twitter Streaming API. Available online: https://dev.twitter.com/streaming/overview (accessed on 9 October 2016).
- Cranshaw, J.; Schwartz, R.; Hong, J.I.; Sadeh, N.M. The livehoods project: Utilizing social media to understand the dynamics of a city. In Proceedings of the ICWSM 2012, Dublin, Ireland, 4–8 June 2012.
- Mitchell, L.; Frank, M.R.; Harris, K.D.; Dodds, P.S.; Danforth, C.M. The geography of happiness: Connecting twitter sentiment and expression, demographics, and objective characteristics of place. PLoS ONE 2013. [Google Scholar] [CrossRef] [PubMed]
- Longley, P.A.; Adnan, M.; Lansley, G. The geotemporal demographics of Twitter usage. Environ. Plan. A 2015, 47, 465–484. [Google Scholar] [CrossRef]
- Hägerstrand, T. Time-geography: Focus on the corporeality of man, society, and environment. In The Science and Praxis of Complexity; United Nations University: Montpellier, France, 1985; pp. 193–216. [Google Scholar]
- Kwan, M.P.; Lee, J. Geovisualization of human activity patterns using 3D GIS: A time-geographic approach. In Spatially Integrated Social Science: Examples in Best Practice; Michael, F.G., Donald, G.J., Eds.; Oxford University Press: Oxford, MI, USA, 2003; Volume 3, pp. 27–51. [Google Scholar]
- Andrienko, N.; Andrienko, G. Designing visual analytics methods for massive collections of movement data. Cartogr. Int. J. Geogr. Inf. Geovis. 2007, 42, 117–138. [Google Scholar] [CrossRef]
- MacEachren, A.M.; Kraak, M.J. Research challenges in geovisualization. Cartogr. Geogr. Inf. Sci. 2001, 28, 3–12. [Google Scholar] [CrossRef]
- MacEachren, A.M. How Maps Work: Representation, Visualization, and Design; Guilford Press: New York, NY, USA, 2004. [Google Scholar]
- Andrienko, G.; Andrienko, N.; Wrobel, S. Visual analytics tools for analysis of movement data. ACM SIGKDD Explor. Newsl. 2007, 9, 38–46. [Google Scholar] [CrossRef]
- Cao, G.; Wang, S.; Hwang, M.; Padmanabhan, A.; Zhang, Z.; Soltani, K. A scalable framework for spatiotemporal analysis of location-based social media data. Comput. Environ. Urban Syst. 2015, 51, 70–82. [Google Scholar] [CrossRef]
- Padmanabhan, A.; Wang, S.; Cao, G.; Hwang, M.; Zhang, Z.; Gao, Y.; Soltani, K.; Liu, Y. FluMapper: A cyberGIS application for interactive analysis of massive location-based social media. Concurr. Comput. Pract. Exp. 2014. [Google Scholar] [CrossRef]
- Black, A.; Mascaro, C.; Gallagher, M.; Goggins, S.P. Twitter zombie: Architecture for capturing, socially transforming and analyzing the Twittersphere. In Proceedings of the 17th ACM International Conference on Supporting Group Work, Seattle, WA, USA, 9–13 November 2012.
- Shvachko, K.; Kuang, H.; Radia, S.; Chansler, R. The hadoop distributed file system. Mass Storage Syst. Technol. 2010. [Google Scholar] [CrossRef]
- Dean, J.; Ghemawat, S. MapReduce: Simplified data processing on large clusters. Commun. ACM 2008, 51, 107–113. [Google Scholar] [CrossRef]
- Gao, H.; Tang, J.; Liu, H. Exploring social-historical ties on location-based social networks. In Proceedings of the ICWSM 2012, Dublin, Ireland, 4–8 June 2012.
- Buttenfield, B.P.; McMaster, R.B. Map Generalization: Making Rules for Knowledge Representation; Longman Scientific & Technical: New York, NY, USA, 1991. [Google Scholar]
- Samet, H. The quadtree and related hierarchical data structures. ACM Comput. Surv. (CSUR) 1984, 16, 187–260. [Google Scholar] [CrossRef]
- Clauset, A.; Shalizi, C.R.; Newman, M.E. Power-law distributions in empirical data. SIAM Rev. 2009, 51, 661–703. [Google Scholar] [CrossRef]
- Reynolds, A. Truncated Lévy walks are expected beyond the scale of data collection when correlated random walks embody observed movement patterns. J. Royal Soc. Int. 2012, 9, 528–534. [Google Scholar] [CrossRef] [PubMed]
- Zhao, K.; Musolesi, M.; Hui, P.; Rao, W.; Tarkoma, S. Explaining the power-law distribution of human mobility through transportation modality decomposition. Sci. Rep. 2015. [Google Scholar] [CrossRef] [PubMed]
- Liu, Y.; Padmanabhan, A.; Wang, S. CyberGIS Gateway for enabling data-rich geospatial research and education. Sci. Gatew. Workshops 2013 2014. [Google Scholar] [CrossRef]










© 2016 by the authors; licensee MDPI, Basel, Switzerland. This article is an open access article distributed under the terms and conditions of the Creative Commons Attribution (CC-BY) license (http://creativecommons.org/licenses/by/4.0/).
Share and Cite
Yin, J.; Gao, Y.; Du, Z.; Wang, S. Exploring Multi-Scale Spatiotemporal Twitter User Mobility Patterns with a Visual-Analytics Approach. ISPRS Int. J. Geo-Inf. 2016, 5, 187. https://doi.org/10.3390/ijgi5100187
Yin J, Gao Y, Du Z, Wang S. Exploring Multi-Scale Spatiotemporal Twitter User Mobility Patterns with a Visual-Analytics Approach. ISPRS International Journal of Geo-Information. 2016; 5(10):187. https://doi.org/10.3390/ijgi5100187
Chicago/Turabian StyleYin, Junjun, Yizhao Gao, Zhenhong Du, and Shaowen Wang. 2016. "Exploring Multi-Scale Spatiotemporal Twitter User Mobility Patterns with a Visual-Analytics Approach" ISPRS International Journal of Geo-Information 5, no. 10: 187. https://doi.org/10.3390/ijgi5100187
APA StyleYin, J., Gao, Y., Du, Z., & Wang, S. (2016). Exploring Multi-Scale Spatiotemporal Twitter User Mobility Patterns with a Visual-Analytics Approach. ISPRS International Journal of Geo-Information, 5(10), 187. https://doi.org/10.3390/ijgi5100187
