Capturing Built Environment and Automated External Defibrillator Resource Interplay in Tianjin Downtown
Abstract
1. Introduction
2. Methodology
2.1. Study Area
2.2. Framework
2.3. Database Setup
2.4. Variable Definitions
2.4.1. Dependent Variable: AEDR Intensity Calculation
2.4.2. Independent Variable: BE Feature Calculation
2.5. Prediction Model Construction and Performance Evaluation
2.5.1. Data Standardization and Multicollinearity
2.5.2. XGBoost and OP_XGBoost Regression Models
2.5.3. Model Performance Evaluation
2.5.4. SHAP Interpretation
3. Results
3.1. AEDR Intensity Descriptive Statistics
3.2. BE Feature Screening and Correlation Analysis
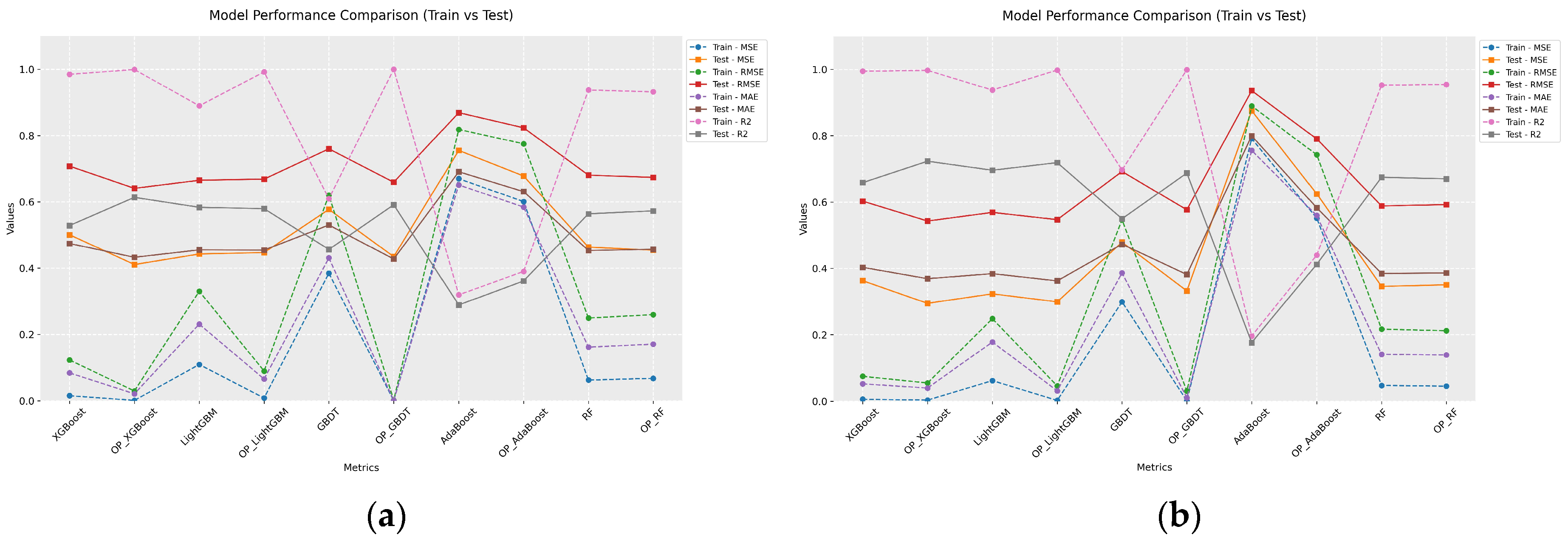
3.3. Performance Evaluation of the Prediction Models
3.4. Results of Modelling Interpretation
3.4.1. Feature Importance Disparities
3.4.2. Spatial Contribution of Independent Variables
3.4.3. Non-Linear Impact of BE Features on AEDR Intensity
4. Discussion
4.1. Bridging Accessibility and Land-Use Efficiency
4.2. Spatial Resolution and Pattern Dependency as Game-Changers: Block-Level Granularity Redefines Urban AED Planning
4.3. Nonlinear Dynamics: Threshold Effects and Policy Levers
5. Conclusions
Author Contributions
Funding
Data Availability Statement
Conflicts of Interest
Appendix A
Appendix A.1

Appendix A.2

Appendix B
Appendix B.1
| Level I | Level II | Number | Percentage (%) |
|---|---|---|---|
| Residential | Residences (community) | 3456 | 3.02% |
| Commercial | Business and finance (company, bank, ATM, security office, etc.), commerce (convenience store, supermarket, shopping mall, store, shopping-related place, etc.), and catering (catering venue, restaurant, fast food venue, tea-coffee house, etc.) | 76,551 | 66.81% |
| Industrial | Industry (factory) | 142 | 0.12% |
| Transportation | Transportation facilities (railway station, subway station, bus station, taxi station, port, parking lot, etc.) | 9500 | 8.29% |
| Public management and service | Administration (government institution, social organization, foreign institution, and public security), healthcare (hospital, clinic, medical service (pharmacy), EMS center, disease prevention institution), education and culture (university, college, institution, school, research institution and cultural venue, museum, exhibition hall, art gallery, library, planetarium, etc.), sport and leisure (sport stadium, golf related, recreation venue, holiday and nursing resort, cinema, park and square, tourist attraction, etc.) | 24,932 | 21.76% |
Appendix B.2
| Variables | Scenario I | Scenario II | ||||||
|---|---|---|---|---|---|---|---|---|
| Pearson Coef. | p Value | VIF (Pre-Z-Score) | VIF (Post-Z-Score) | Pearson Coef. | p Value | VIF (Pre-Z-Score) | VIF (Post-Z-Score) | |
| Lconn_D | 0.31 | 2.20 | 20.74 | -- | 0.19 | 1.09 | 1.12 | -- |
| Jnc_D | 0.06 | 1.08 | 17.80 | -- | 0.21 | 4.13 | 22.32 | -- |
| TPD_D | 0.34 | 7.35 | 24.08 | -- | 0.46 | 4.73 | 19.71 | -- |
| Ang_D | 0.12 | 4.20 | 4.88 | -- | 0.12 | 2.91 | 4.80 | -- |
| MAD_D | 0.21 | 1.36 | 15.25 | 6.70 | 0.28 | 1.59 | 17.20 | 8.21 |
| NQPDA_D | 0.14 | 6.19 | 3.79 | 2.15 | 0.30 | 2.62 | 4.49 | 2.57 |
| BtA_D | 0.01 | 0.43 | 8.05 | 3.11 | 0.12 | 1.19 | 10.37 | 4.10 |
| TPBtA_D | 0.23 | 6.51 | 41.98 | 8.79 | 0.36 | 1.53 | 45.95 | 10.06 |
| MCF_D | 0.16 | 1.21 | 56.46 | 3.91 | 0.31 | 3.39 | 58.05 | 4.66 |
| DivA_D | 0.17 | 8.71 | 8.04 | 4.57 | 0.33 | 3.61 | 8.85 | 5.33 |
| MGLA_D | 0.17 | 1.02 | 70.67 | -- | 0.32 | 2.88 | 78.26 | -- |
| HullA_D | 0.10 | 1.98 | 7.46 | -- | 0.25 | 2.84 | 5.27 | -- |
| HullP_D | 0.11 | 1.25 | 70.28 | -- | 0.27 | 9.81 | 28.83 | -- |
| HullR_D | 0.06 | 6.91 | 29.06 | 5.16 | 0.21 | 3.34 | 16.61 | 5.12 |
| HullB_D | 0.15 | 8.50 | 4.09 | -- | 0.27 | 2.42 | 3.77 | -- |
| HullSI_D | −0.04 | 0.01 | 1.02 | 1.02 | −0.04 | 0.01 | 1.02 | 1.02 |
| GA2SFCA | 0.09 | 2.74 | 1.05 | 1.04 | 0.20 | 2.72 | 1.08 | 1.06 |
| ST_D | 0.13 | 1.00 | 6.37 | 3.48 | 0.02 | 0.27 | 1.43 | 1.31 |
| RI_D | 0.04 | 0.00 | 1.04 | 1.03 | 0.02 | 0.26 | 1.02 | 1.02 |
| BR_D | −0.02 | 0.06 | 1.31 | -- | 0.02 | 0.15 | 1.07 | -- |
| CR_D | 0.29 | 1.07 | 1.30 | 1.25 | 0.35 | 1.29 | 1.43 | 1.36 |
| SI_D | 0.12 | 4.95 | 1.51 | 1.48 | 0.07 | 5.40 | 1.54 | 1.48 |
| FAR_A | 0.17 | 1.32 | 6.73 | 6.72 | 0.12 | 6.75 | 8.20 | 8.16 |
| HP_A | 0.43 | 1.78 | 6.35 | 6.29 | 0.35 | 8.74 | 6.64 | 6.58 |
| GR_A | 0.18 | 1.11 | 7.30 | 7.27 | 0.13 | 6.16 | 8.55 | 8.53 |
| RC_C | 0.39 | 1.45 | 4.06 | 4.04 | 0.18 | 1.70 | 2.88 | 2.87 |
| BU_D | 0.13 | 3.18 | 1.77 | 1.72 | 0.19 | 1.73 | 1.89 | 1.66 |
| NPSF_D | 0.33 | 4.31 | 1.73 | 1.59 | 0.36 | 1.94 | 2.09 | 1.90 |
| LUM_SHEI | 0.18 | 1.95 | 1.10 | 1.90 | 0.14 | 1.61 | 1.57 | 1.44 |
| NPSF_SHDI | 0.02 | 0.16 | 1.03 | 1.03 | 0.19 | 9.53 | 1.30 | 1.26 |
| SID | 0.28 | 1.75 | 25.44 | -- | 0.40 | 2.29 | 22.26 | -- |
| LST_A | 0.05 | 5.39 | 1.50 | 1.45 | 0.08 | 2.96 | 1.44 | 1.38 |
| POP_A | 0.13 | 2.25 | 1.18 | 1.15 | 0.10 | 1.34 | 1.15 | 1.14 |
Appendix B.3
| Model | Scenario I | |||||||
|---|---|---|---|---|---|---|---|---|
| Training | Testing | |||||||
| MSE | RMSE | MAE | R2 | MSE | RMSE | MAE | R2 | |
| XGBoost | 0.02 | 0.12 | 0.08 | 0.99 | 0.50 | 0.71 | 0.47 | 0.53 |
| OP_XGBoost | 0.00 | 0.03 | 0.02 | 1 | 0.41 | 0.64 | 0.43 | 0.61 |
| LightGBM | 0.11 | 0.33 | 0.23 | 0.89 | 0.44 | 0.67 | 0.46 | 0.58 |
| OP_LightGBM | 0.01 | 0.09 | 0.07 | 1 | 0.45 | 0.67 | 0.45 | 0.58 |
| GBDT | 0.39 | 0.62 | 0.43 | 0.61 | 0.58 | 0.76 | 0.53 | 0.46 |
| OP_GBDT | 3.25 | 0.00 | 0.00 | 1 | 0.43 | 0.66 | 0.43 | 0.59 |
| AdaBoost | 0.67 | 0.82 | 0.65 | 0.32 | 0.76 | 0.87 | 0.70 | 0.23 |
| OP_AdaBoost | 0.60 | 0.78 | 0.58 | 0.39 | 0.68 | 0.82 | 0.63 | 0.36 |
| RF | 0.06 | 0.25 | 0.16 | 0.94 | 0.46 | 0.68 | 0.45 | 0.56 |
| OP_RF | 0.07 | 0.26 | 0.17 | 0.93 | 0.45 | 0.67 | 0.46 | 0.57 |
Appendix B.4
| Model | Scenario II | |||||||
|---|---|---|---|---|---|---|---|---|
| Training | Testing | |||||||
| MSE | RMSE | MAE | R2 | MSE | RMSE | MAE | R2 | |
| XGBoost | 0.01 | 0.07 | 0.05 | 0.99 | 0.36 | 0.60 | 0.40 | 0.66 |
| OP_XGBoost | 0.00 | 0.06 | 0.04 | 1 | 0.30 | 0.54 | 0.37 | 0.72 |
| LightGBM | 0.06 | 0.25 | 0.18 | 0.94 | 0.32 | 0.57 | 0.38 | 0.70 |
| OP_LightGBM | 0.00 | 0.05 | 0.03 | 1 | 0.30 | 0.55 | 0.36 | 0.71 |
| GBDT | 0.30 | 0.55 | 0.39 | 0.70 | 0.48 | 0.70 | 0.47 | 0.55 |
| OP_GBDT | 0.00 | 0.03 | 0.01 | 1 | 0.33 | 0.58 | 0.38 | 0.69 |
| AdaBoost | 0.80 | 0.89 | 0.76 | 0.20 | 0.88 | 0.94 | 0.80 | 0.18 |
| OP_AdaBoost | 0.55 | 0.74 | 0.56 | 0.44 | 0.63 | 0.79 | 0.58 | 0.41 |
| RF | 0.05 | 0.22 | 0.14 | 0.95 | 0.35 | 0.59 | 0.39 | 0.68 |
| OP_RF | 0.05 | 0.21 | 0.14 | 0.95 | 0.35 | 0.59 | 0.39 | 0.67 |
References
- Nichol, G.; Sayre, M.R.; Guerra, F.; Poole, J. Defibrillation for Ventricular Fibrillation: A Shocking Update. J. Am. Coll. Cardiol. 2017, 70, 1496–1509. [Google Scholar] [CrossRef] [PubMed]
- Wong, P.P.; Low, C.T.; Cai, W.; Leung, K.T.; Lai, P.C. A Spatiotemporal Data Mining Study to Identify High-Risk Neighborhoods for Out-Of-Hospital Cardiac Arrest (OHCA) Incidents. Sci. Rep. 2022, 12, 3509. [Google Scholar] [CrossRef] [PubMed]
- Ringh, M.; Hollenberg, J.; Palsgaard-Moeller, T.; Svensson, L.; Rosenqvist, M.; Lippert, F.K.; Wissenberg, M.; Malta Hansen, C.; Claesson, A.; Viereck, S.; et al. The Challenges and Possibilities of Public Access Defibrillation. J. Intern. Med. 2018, 283, 238–256. [Google Scholar] [CrossRef] [PubMed]
- United Nations. Transforming Our World: The 2030 Agenda for Sustainable Development; United Nations: New York, NY, USA, 2015. [Google Scholar]
- Zoghbi, W.A.; Duncan, T.; Antman, E.; Barbosa, M.; Champagne, B.; Chen, D.; Gamra, H.; Harold, J.G.; Josephson, S.; Komajda, M.; et al. Sustainable Development Goals and the Future of Cardiovascular Health: A Statement from the Global Cardiovascular Disease Taskforce. J. Am. Heart Assoc. 2014, 3, e000504. [Google Scholar] [CrossRef]
- Fredman, D.; Haas, J.; Ban, Y.F.; Jonsson, M.; Svensson, L.; Djarv, T.; Hollenberg, J.; Nordberg, P.; Ringh, M.; Claesson, A. Use of a Geographic Information System to Identify Differences in Automated External Defibrillator Installation in Urban Areas with Similar Incidence of Public Out-Of-Hospital Cardiac Arrest: A Retrospective Registry-Based Study. BMJ Open 2017, 7, e014801. [Google Scholar] [CrossRef]
- Brooks, S.C.; Clegg, G.R.; Bray, J.; Deakin, C.D.; Perkins, G.D.; Ringh, M.; Smith, C.M.; Link, M.S.; Merchant, R.M.; Pezo-Morales, J.; et al. Optimizing Outcomes after Out-of-Hospital Cardiac Arrest with Innovative Approaches to Public-Access Defibrillation: A Scientific Statement from the International Liaison Committee on Resuscitation. Circulation 2022, 145, e776–e801. [Google Scholar] [CrossRef]
- Wang, Z.; Ma, L.; Liu, M.; Fan, J.; Hu, S. Summary of the 2022 Report on Cardiovascular Health and Diseases in China. Chin. Med. J. 2023, 136, 2899–2908. [Google Scholar] [CrossRef]
- Zhang, L.; Li, B.; Zhao, X.; Zhang, Y.; Deng, Y.; Zhao, A.; Li, W.; Dong, X.; Zheng, Z.J. Public Access of Automated External Defibrillators in a Metropolitan City of China. Resuscitation 2019, 140, 120–126. [Google Scholar] [CrossRef]
- Zhang, W.; Zhang, X.; Wu, G. The Network Governance of Urban Renewal: A Comparative Analysis of Two Cities in China. Land Use Policy 2021, 106, 105448. [Google Scholar] [CrossRef]
- Tan, X.; Liu, X.; Shao, H. Healthy China 2030: A Vision for Health Care. Value Health Reg. Issues 2017, 12, 112–114. [Google Scholar] [CrossRef]
- Chen, G.P.; Widener, M.J.; Zhu, M.M.; Wang, C.C. Identification of Priority Areas for Public-Access Automated External defibrillators (AEDs) in Metropolitan Areas: A Case Study in Hangzhou, China. Appl. Geogr. 2023, 154, 102922. [Google Scholar] [CrossRef]
- Liao, S.Y.; Gao, F.; Feng, L.; Wu, J.M.; Wang, Z.X.; Chen, W.Y. Observed Equity and Driving Factors of Automated External Defibrillators: A Case Study Using WeChat Applet Data. ISPRS Int. J. Geo-Inf. 2023, 12, 444. [Google Scholar] [CrossRef]
- Gao, F.; Lu, S.Y.; Liao, S.Y.; Chen, W.Y.; Chen, X.; Wu, J.M.; Wu, Y.J.; Li, G.Y.; Han, X. AED Inequity among Social Groups in Guangzhou. ISPRS Int. J. Geo-Inf. 2024, 13, 140. [Google Scholar] [CrossRef]
- Folke, F.; Lippert, F.K.; Nielsen, S.L.; Gislason, G.H.; Hansen, M.L.; Schramm, T.K.; Sorensen, R.; Fosbol, E.L.; Andersen, S.S.; Rasmussen, S.; et al. Location of Cardiac Arrest in a City Center: Strategic Placement of Automated External Defibrillators in Public Locations. Circulation 2009, 120, 510–517. [Google Scholar] [CrossRef]
- Sun, C.L.F.; Karlsson, L.; Torp-Pedersen, C.; Morrison, L.J.; Folke, F.; Chan, T.C.Y. Spatiotemporal AED Optimization is Generalizable. Resuscitation 2018, 131, 101–107. [Google Scholar] [CrossRef]
- Dahan, B.; Jabre, P.; Karam, N.; Misslin, R.; Bories, M.C.; Tafflet, M.; Bougouin, W.; Jost, D.; Beganton, F.; Beal, G.; et al. Optimization of automated external defibrillator deployment Outdoors: An Evidence-Based Approach. Resuscitation 2016, 108, 68–74. [Google Scholar] [CrossRef] [PubMed]
- Kwon, P.; Kim, M.J.; Lee, Y.; Yu, K.; Huh, Y. Locating Automated External Defibrillators in a Complicated Urban Environment Considering a Pedestrian-Accessible Network that Focuses on Out-of-Hospital Cardiac Arrests. ISPRS Int. J. Geo-Inf. 2017, 6, 39. [Google Scholar] [CrossRef]
- Chrisinger, B.W.; Grossestreuer, A.V.; Laguna, M.C.; Griffis, L.M.; Branas, C.C.; Wiebe, D.J.; Merchant, R.M. Characteristics of Automated External Defibrillator Coverage in Philadelphia, PA, Based on Land Use and Estimated Risk. Resuscitation 2016, 109, 9–15. [Google Scholar] [CrossRef]
- Lin, B.C.; Chen, C.W.; Chen, C.C.; Kuo, C.L.; Fan, I.C.; Ho, C.K.; Liu, I.C.; Chan, T.C. Spatial Decision on Allocating Automated External Defibrillators (AED) in Communities by Multi-Criterion Two-Step Floating Catchment Area (MC2SFCA). Int. J. Health Geogr. 2016, 15, 17. [Google Scholar] [CrossRef]
- Griffis, H.M.; Band, R.A.; Ruther, M.; Harhay, M.; Asch, D.A.; Hershey, J.C.; Hill, S.; Nadkarni, L.; Kilaru, A.; Branas, C.C.; et al. Employment and Residential Characteristics in Relation to Automated External Defibrillator Locations. Am. Heart J. 2016, 172, 185–191. [Google Scholar] [CrossRef]
- Bonnet, B.; Dessavre, D.G.; Kraus, K.; Ramirez-Marquez, J.E. Optimal Placement of Public-Access AEDs in Urban Environments. Comput. Ind. Eng. 2015, 90, 269–280. [Google Scholar] [CrossRef]
- Kobayashi, D.; Sado, J.; Kiyohara, K.; Kitamura, T.; Kiguchi, T.; Nishiyama, C.; Okabayashi, S.; Shimamoto, T.; Matsuyama, T.; Kawamura, T.; et al. Public Location and Survival from Out-Of-Hospital Cardiac Arrest in the Public-Access Defibrillation Era in Japan. J. Cardiol. 2020, 75, 97–104. [Google Scholar] [CrossRef] [PubMed]
- Duan, Z.; Zhao, H.; Li, Z. Non-Linear Effects of Built Environment and Socio-Demographics on Activity Space. J. Transp. Geogr. 2023, 111, 103671. [Google Scholar] [CrossRef]
- Li, X.; Li, Y.; Jia, T.; Zhou, L.; Hijazi, I.H. The Six Dimensions of Built Environment on Urban Vitality: Fusion Evidence from Multi-Source Data. Cities 2022, 121, 103482. [Google Scholar] [CrossRef]
- Zeng, Q.; Wu, H.; Wei, Y.; Wang, J.; Zhang, C.; Fei, N.; Dewancker, B.J. Association between Built Environment Factors and Collective Walking Behavior in Peri-Urban Area: Evidence from Chengdu. Appl. Geogr. 2024, 167, 103274. [Google Scholar] [CrossRef]
- Liu, K.; Liao, C. Examining the Importance of Neighborhood Natural, and built Environment Factors in Predicting Older Adults’ Mental Well-being: An XGBoost-SHAP approach. Environ. Res. 2024, 262, 119929. [Google Scholar] [CrossRef] [PubMed]
- Shen, Y.; Tao, Y. Associations Between Spatial Access to Medical Facilities and Health-Seeking Behaviors: A Mixed Geographically Weighted Regression Analysis in Shanghai, China. Appl. Geogr. 2022, 139, 102644. [Google Scholar] [CrossRef]
- Wang, Y.; Han, Y.; Luo, A.; Xu, S.; Chen, J.; Liu, W. Site Selection and Prediction of Urban Emergency Shelter based on VGAE-RF Model. Sci. Rep. 2024, 14, 14368. [Google Scholar] [CrossRef] [PubMed]
- Chen, Y.; Zhang, X.; Grekousis, G.; Huang, Y.; Hua, F.; Pan, Z.; Liu, Y. Examining the Importance of Built and Natural Environment Factors in Predicting Self-Rated Health in Older Adults: An Extreme Gradient Boosting (XGBoost) Approach. J. Clean. Prod. 2023, 413, 137432. [Google Scholar] [CrossRef]
- Xue, M.; Luo, Y. Dynamic Variations in Ecosystem Service Value and Sustainability of Urban System: A Case Study for Tianjin City, China. Cities 2015, 46, 85–93. [Google Scholar] [CrossRef]
- Liu, C.; Cao, M.; Yang, T.; Ma, L.; Wu, M.; Cheng, L.; Ye, R. Inequalities in the commuting burden: Institutional Constraints and Job-Housing Relationships in Tianjin, China. Res. Transp. Bus. Manag. 2022, 42, 100545. [Google Scholar] [CrossRef]
- Yang, H.; Jin, C.; Li, T. A Paradox of Economic Benefit and Social Equity of Green Space in Megacity: Evidence from Tianjin in China. Sustain. Cities Soc. 2024, 109, 105530. [Google Scholar] [CrossRef]
- Li, Y.; Li, J.; Geng, J.; Liu, T.; Liu, X.; Fan, H.; Cao, C. Urban-Sub-Urban-Rural Variation in the Supply and Demand of Emergency Medical Services. Front. Public Health 2022, 10, 1064385. [Google Scholar] [CrossRef]
- Gong, P.; Chen, B.; Li, X.; Liu, H.; Wang, J.; Bai, Y.; Chen, J.; Chen, X.; Fang, L.; Feng, S.; et al. Mapping Essential Urban Land Use Categories in China (EULUC-China): Preliminary Results for 2018. Sci. Bull. 2020, 65, 182–187. [Google Scholar] [CrossRef]
- Song, L.; Kong, X.; Cheng, P. Supply-Demand Matching Assessment of the Public Service Facilities in 15-Minute Community Life Circle Based on Residents’ Behaviors. Cities 2024, 144, 104637. [Google Scholar] [CrossRef]
- Fan, P.Y.; Chun, K.P.; Mijic, A.; Tan, M.L.; Liu, M.S.; Yetemen, O. A Framework to Evaluate the Accessibility, Visibility, and Intelligibility of Green-Blue Spaces (GBSs) Related to Pedestrian Movement. Urban For. Urban Green. 2022, 69, 127494. [Google Scholar] [CrossRef]
- Cooper, C.H.V. Spatial Localization of Closeness and Betweenness Measures: A Self-Contradictory but Useful form of Network Analysis. Int. J. Geogr. Inf. Sci. 2015, 29, 1293–1309. [Google Scholar] [CrossRef]
- Hillier, B.; Iida, S. Network and Psychological Effects in Urban Movement. In Spatial Information Theory; Cohn, A.G., Mark, D.M., Eds.; Lecture Notes in Computer Science; Springer: Berlin/Heidelberg, Germany, 2005; Volume 3693, pp. 475–490. ISBN 978-3-540-28964-7. [Google Scholar]
- Cooper, C.H.V.; Fone, D.L.; Chiaradia, A.J.F. Measuring the Impact of Spatial Network Layout on Community Social Cohesion: A Cross-Sectional Study. Int. J. Health Geogr. 2014, 13, 11. [Google Scholar] [CrossRef] [PubMed]
- He, S.; Yu, S.; Wei, P.; Fang, C. A Spatial Design Network Analysis of Street Networks and the Locations of Leisure Entertainment Activities: A Case Study of Wuhan, China. Sustain. Cities Soc. 2019, 44, 880–887. [Google Scholar] [CrossRef]
- Dai, D. Racial/Ethnic and Socioeconomic Disparities in Urban Green Space Accessibility: Where to Intervene? Landsc. Urban. Plan. 2011, 102, 234–244. [Google Scholar] [CrossRef]
- Seong, K.; Jiao, J.; Mandalapu, A. Effects of Urban Environmental Factors on Heat-Related Emergency Medical Services (EMS) Response Time. Appl. Geogr. 2023, 155, 102956. [Google Scholar] [CrossRef]
- Luo, Y.; Liu, Y.; Tong, Z.; Wang, N.; Rao, L. Capturing Gender-Age Thresholds Disparities in Built Environment Factors Affecting Injurious Traffic Crashes. Travel. Behav. Soc. 2023, 30, 21–37. [Google Scholar] [CrossRef]
- Zhang, S.; Wang, L.; Shen, Y.; Zhang, Y.; Gao, Y.; Xu, T.; Zhang, Z. What Causes Emergency Medical Services (EMS) Delay? Unravel High-Risk Buildings Using Citywide Ambulance Trajectory Data. Habitat. Int. 2024, 153, 103198. [Google Scholar] [CrossRef]
- Cheng, Q.; Sha, S. Last Defense in Climate Change: Assessing Healthcare Inequities in Response to Compound Environmental Risk in a Megacity in Northern China. Sustain. Cities Soc. 2024, 115, 105886. [Google Scholar] [CrossRef]
- Chen, S.; Biljecki, F. Automatic Assessment of Public Open Spaces Using Street View Imagery. Cities 2023, 137, 104329. [Google Scholar] [CrossRef]
- Zhou, Y.; Xu, K.; Feng, Z.; Wu, K. Quantification and Driving Mechanism of Cultivated Land Fragmentation under Scale Differences. Ecol. Inform. 2023, 78, 102336. [Google Scholar] [CrossRef]
- Chen, T.; Guestrin, C. XGBoost: A Scalable Tree Boosting System. In Proceedings of the 22nd ACM SIGKDD International Conference on Knowledge Discovery and Data Mining, San Francisco, CA, USA, 13 August 2016; pp. 785–794. [Google Scholar]
- Ma, M.; Zhao, G.; He, B.; Li, Q.; Dong, H.; Wang, S.; Wang, Z. XGBoost-Based Method for Flash Flood Risk Assessment. J. Hydrol. 2021, 598, 126382. [Google Scholar] [CrossRef]
- Yoshida, Y.; Hayashi, Y.; Shimada, T.; Hattori, N.; Tomita, K.; Miura, R.E.; Yamao, Y.; Tateishi, S.; Iwadate, Y.; Nakada, T.A. Prehospital Stroke-Scale Machine-Learning Model Predicts the Need for Surgical Intervention. Sci. Rep. 2023, 13, 9135. [Google Scholar] [CrossRef]
- Li, X.; Chen, J.; Chen, Z.; Lan, Y.; Ling, M.; Huang, Q.; Li, H.; Han, X.; Yi, S. Explainable Machine Learning-Based Fractional Vegetation Cover Inversion and Performance Optimization—A Case Study of an Alpine Grassland on the Qinghai-Tibet Plateau. Ecol. Inform. 2024, 82, 102768. [Google Scholar] [CrossRef]
- He, J.; Shi, Y.; Xu, L.; Lu, Z.; Feng, M.; Tang, J.; Guo, X. Exploring the Scale Effect of Urban Thermal Environment through XGBoost Model. Sustain. Cities Soc. 2024, 114, 105763. [Google Scholar] [CrossRef]
- Lundberg, S.; Lee, S.-I. A Unified Approach to Interpreting Model Predictions. Adv. Neural Inf. Process. Syst. 2017, 30, 1–10. [Google Scholar]
- Zou, J.; Wang, C.; Chen, S.; Zhang, J.; Qiu, B.; Yang, H. Expanding the Associations between Built Environment Characteristics and Residential Mobility in High-Density Neighborhood Unit. Sustain. Cities Soc. 2024, 116, 105885. [Google Scholar] [CrossRef]












| Data Type | Data Source |
|---|---|
| AEDR | Tianjin Red Cross Society (accessed on April 2023), WeChat RESCOND and EMS applet (accessed on December 2023, on August 2024) |
| Street | https://www.openstreetmap.org |
| Crossing, river, signage | https://www.openstreetmap.org, https://lbs.amap.com |
| Community | https://tianjin.anjuke.com |
| Building | https://lbs.amap.com |
| Land use | http://www.beijingcitylab.org |
| NPSF | https://lbs.amap.com |
| LST | USGS/https://earthexplorer.usgs.gov Landsat-8/ |
| Population | https://www.worldpop.org |
| Block | http://www.beijingcitylab.com DOI: 10.11982/j.supr.20190302 |
| Administrative boundaries of Tianjin City | https://bzdt.ch.mnr.gov.cn |
| Independent Variables | Description | Scenario I | Scenario II | ||
|---|---|---|---|---|---|
| Mean | Std. | Mean | Std. | ||
| Built environment—Comprehensive accessibility | |||||
| Closeness centrality | Mean Angular distance (MAD) | 1.23 | 1.25 | 1.19 | 1.20 |
| Network quantity penalized by distance (NQPDA) | 0.00 | 0.00 | 0.00 | 0.00 | |
| Betweenness centrality | Betweenness (BtA) | 0.42 | 1.58 | 0.33 | 0.84 |
| Two phase betweenness (TPBtA) | 0.02 | 0.01 | 0.02 | 0.01 | |
| Severance centrality | Mean Crow Flight (MCF) distance | 1.44 | 0.81 | 1.41 | 0.71 |
| Diversion Ratio, Angular (DivA) | 0.02 | 0.01 | 0.02 | 0.01 | |
| Efficiency centrality | Convex Hull Maximum Radius (HullR) | 3.94 | 2.85 | 3.59 | 2.17 |
| Convex hull shape index (HullSI) | 8.51 | 114.43 | 8.24 | 118.33 | |
| Service coverage (SC) | Gaussian 2-step Floating Catchment Area (GA2SFCA) | 15.92 | 207.77 | 5.58 | 46.50 |
| Street density (ST_D) | Sum street length/unit area | 0.01 | 0.01 | 0.00 | 0.01 |
| Built environment—Psychological barriers | |||||
| River (RI_D) | Sum river length/unit area | 0.00 | 0.00 | 2.40 | 0.00 |
| Crossing (CR_D) | CR kernel density average value in the unit | 5.08 | 6.01 | 5.76 | 6.25 |
| Signage (SI_D) | SI kernel density average value in the unit | 0.00 | 0.00 | 0.00 | 0.00 |
| Built environment—Land use | |||||
| Floor area ratio (FAR_A) | Community FAR average value in the unit | 0.65 | 1.00 | 0.46 | 0.88 |
| Greening rate (GR_A) | GR average value in the unit | 0.08 | 0.12 | 0.06 | 0.11 |
| Residential community (RC_C) | The number of RCs in the unit | 0.57 | 1.12 | 0.56 | 1.48 |
| Building density (BU_D) | Building kernel density average value in the unit | 0.00 | 0.00 | 0.00 | 0.00 |
| Density of the nearby public service facilities (NPSF_D) | NPSF kernel density average value in the unit | 0.00 | 0.00 | 0.00 | 0.00 |
| Shannon’s evenness index (SHEI) of land use | SHEI is Shannon evenness index of land use | 0.49 | 0.36 | 0.27 | 0.32 |
| Shannon’s diversity index (SHDI) of the nearby public service facilities (NPSFs) | SHDI is Shannon’s diversity index of NPSF | 0.95 | 0.22 | 0.90 | 0.21 |
| Built environment—Temperature | |||||
| Land surface temperature (LST_A) | Temperature average value in the unit | 42.05 | 2.61 | 41.89 | 6.54 |
| Built environment—Demographics | |||||
| Housing price (HP_A) | Housing price average value in the unit | 12,065.58 | 18,791.37 | 9140.96 | 17,837.80 |
| Average population density (POP_D) | Population average value in the unit | 211.41 | 207.06 | 178.33 | 205.25 |
| Variables Parameter | Search Range | Description | Default | Optuna Best Values | |
|---|---|---|---|---|---|
| Senario I | Senario II | ||||
| n_estimators | [10–500] | The number of trees in the model. | 100 | 428 | 425 |
| learning_rate (eta) | [0.1–0.3] | The step size shrinkage used in each boosting round. | 0.3 | 0.1 | 0.1 |
| max_depth | [1–100] | The max depth of a tree or maximum number of splits in a tree. | 6 | 78 | 8 |
| min_child_weight | [0–30] | The minimum sum of instance weight needed in a child. | 1 | 11 | 16 |
| subsample | [0,1] | The random fraction of training data prior to growing trees to reduce overfitting. | 1 | 0.9 | 1 |
| colsample_bytree | [0.1–1] | The percentage of columns used for each tree construction. | 1 | 0.1 | 0.7 |
| lambda | [0,1] | L2 regularization parameter. | 1 | 0.7 | 0.8 |
| alpha | [0,1] | L1 regularization parameter. | 0 | 0.7 | 0.7 |
Disclaimer/Publisher’s Note: The statements, opinions and data contained in all publications are solely those of the individual author(s) and contributor(s) and not of MDPI and/or the editor(s). MDPI and/or the editor(s) disclaim responsibility for any injury to people or property resulting from any ideas, methods, instructions or products referred to in the content. |
© 2025 by the authors. Published by MDPI on behalf of the International Society for Photogrammetry and Remote Sensing. Licensee MDPI, Basel, Switzerland. This article is an open access article distributed under the terms and conditions of the Creative Commons Attribution (CC BY) license (https://creativecommons.org/licenses/by/4.0/).
Share and Cite
Grigoryan, S.; Hu, Y.; Ullah, N. Capturing Built Environment and Automated External Defibrillator Resource Interplay in Tianjin Downtown. ISPRS Int. J. Geo-Inf. 2025, 14, 255. https://doi.org/10.3390/ijgi14070255
Grigoryan S, Hu Y, Ullah N. Capturing Built Environment and Automated External Defibrillator Resource Interplay in Tianjin Downtown. ISPRS International Journal of Geo-Information. 2025; 14(7):255. https://doi.org/10.3390/ijgi14070255
Chicago/Turabian StyleGrigoryan, Sara, Yike Hu, and Nadeem Ullah. 2025. "Capturing Built Environment and Automated External Defibrillator Resource Interplay in Tianjin Downtown" ISPRS International Journal of Geo-Information 14, no. 7: 255. https://doi.org/10.3390/ijgi14070255
APA StyleGrigoryan, S., Hu, Y., & Ullah, N. (2025). Capturing Built Environment and Automated External Defibrillator Resource Interplay in Tianjin Downtown. ISPRS International Journal of Geo-Information, 14(7), 255. https://doi.org/10.3390/ijgi14070255

