Next Article in Journal
Street View Image-Based Emotional Perception Modeling of Old Residential Communities: An Explainable Framework Integrating Random Forest and SHAP
Previous Article in Journal
The Art Nouveau Path: Trajectory Analysis and Spatial Storytelling Through a Location-Based Augmented Reality Game in Urban Heritage
 
 
Font Type:
Arial Georgia Verdana
Font Size:
Aa Aa Aa
Line Spacing:
Column Width:
Background:
This is an early access version, the complete PDF, HTML, and XML versions will be available soon.
Article

Exploring the Relationship Between the Built Environment and Spatiotemporal Heterogeneity of Urban Traffic Congestion During Tourism Peaks: A Case Study of Harbin, China

School of Landscape Architecture, Northeast Forestry University, Harbin 150040, China
*
Author to whom correspondence should be addressed.
ISPRS Int. J. Geo-Inf. 2025, 14(12), 470; https://doi.org/10.3390/ijgi14120470 (registering DOI)
Submission received: 2 September 2025 / Revised: 26 November 2025 / Accepted: 27 November 2025 / Published: 29 November 2025

Abstract

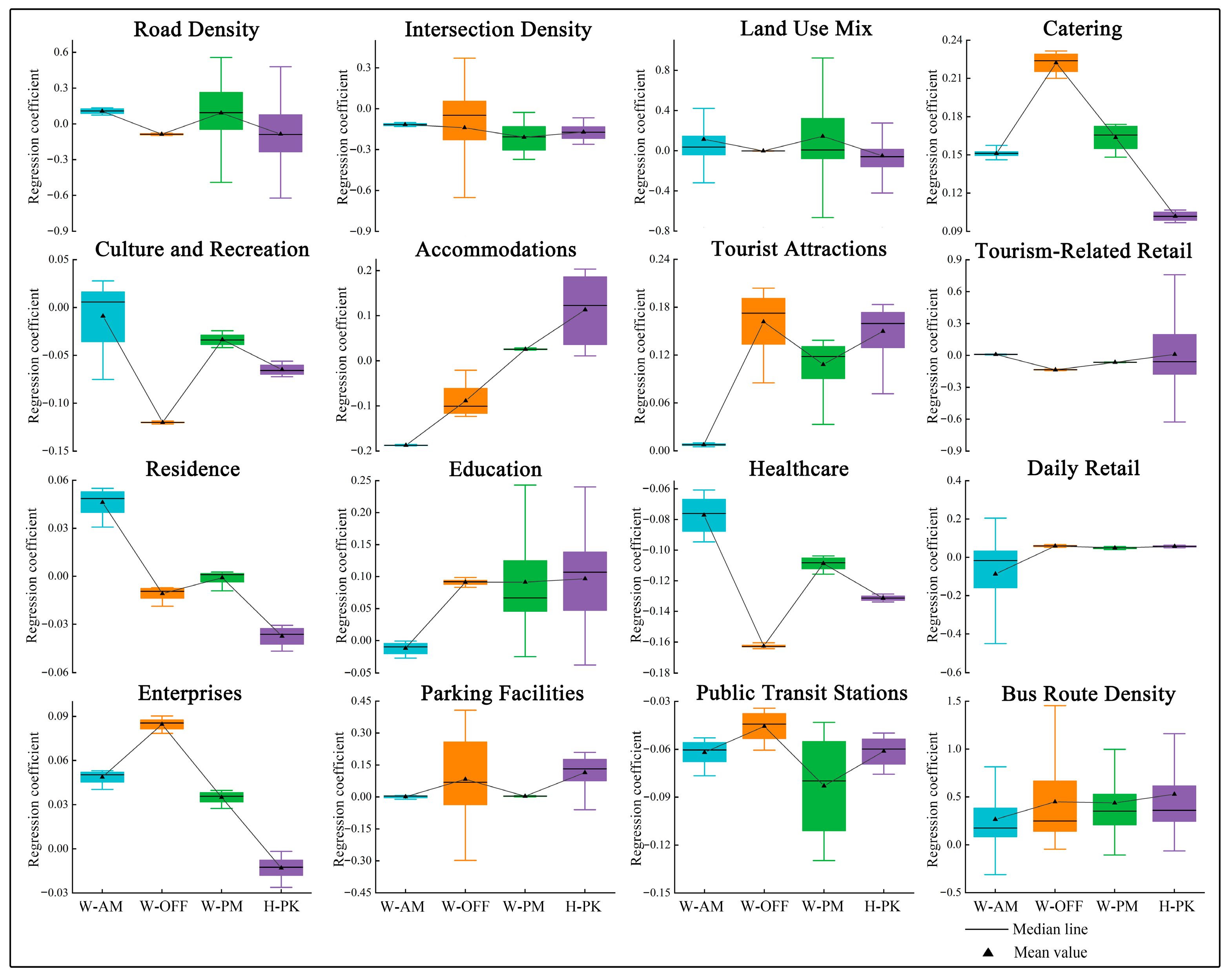
Understanding the spatial heterogeneity of traffic congestion drivers is crucial for data-informed urban planning in tourist cities. This study investigates the spatiotemporal relationship between built environment characteristics and traffic congestion in the central urban area of a major northern Chinese tourist city. We apply a Multiscale Geographically Weighted Regression (MGWR) model to geospatial data across four typical peak periods and benchmark the results against Ordinary Least Squares (OLS) and Geographically Weighted Regression (GWR). The MGWR model demonstrates superior capability in capturing spatial non-stationarity and multiscale effects. The results reveal strong spatiotemporal heterogeneity in the effects of built environment factors on congestion. Intersection density demonstrates a stronger mitigating effect during weekday evening peaks. Catering facilities significantly exacerbate congestion in tourist hotspots. Tourism-related facilities such as hotels and attractions intensify congestion during weekend peaks. Parking availability shows dual impacts, with peripheral parking reducing pressure and central clustering worsening congestion. Our geospatially disaggregated results provide empirical evidence for location-sensitive and temporally adaptive traffic management and urban design strategies. This study highlights the value of MGWR-based spatial modeling in supporting geoinformation-driven urban mobility planning.
Keywords: multiscale geographically weighted regression (MGWR); spatial heterogeneity; urban traffic congestion; built environment; tourism peak periods multiscale geographically weighted regression (MGWR); spatial heterogeneity; urban traffic congestion; built environment; tourism peak periods

Share and Cite

MDPI and ACS Style

Cui, R.; Zhang, J. Exploring the Relationship Between the Built Environment and Spatiotemporal Heterogeneity of Urban Traffic Congestion During Tourism Peaks: A Case Study of Harbin, China. ISPRS Int. J. Geo-Inf. 2025, 14, 470. https://doi.org/10.3390/ijgi14120470

AMA Style

Cui R, Zhang J. Exploring the Relationship Between the Built Environment and Spatiotemporal Heterogeneity of Urban Traffic Congestion During Tourism Peaks: A Case Study of Harbin, China. ISPRS International Journal of Geo-Information. 2025; 14(12):470. https://doi.org/10.3390/ijgi14120470

Chicago/Turabian Style

Cui, Renyue, and Jun Zhang. 2025. "Exploring the Relationship Between the Built Environment and Spatiotemporal Heterogeneity of Urban Traffic Congestion During Tourism Peaks: A Case Study of Harbin, China" ISPRS International Journal of Geo-Information 14, no. 12: 470. https://doi.org/10.3390/ijgi14120470

APA Style

Cui, R., & Zhang, J. (2025). Exploring the Relationship Between the Built Environment and Spatiotemporal Heterogeneity of Urban Traffic Congestion During Tourism Peaks: A Case Study of Harbin, China. ISPRS International Journal of Geo-Information, 14(12), 470. https://doi.org/10.3390/ijgi14120470

Note that from the first issue of 2016, this journal uses article numbers instead of page numbers. See further details here.

Article Metrics

Article metric data becomes available approximately 24 hours after publication online.
Back to TopTop