Unmanned Aerial Vehicle Target Tracking Based on OTSCKF and Improved Coordinated Lateral Guidance Law
Abstract
:1. Introduction
2. Problem Description
2.1. Modeling of the UAV
2.2. Modeling of the Ground Target
3. Estimation of Target States
3.1. Cubature Kalman Filter
3.2. Two-Step Kalman Filtering
3.2.1. Bias-Free Kalman Filtering
3.2.2. Bias Kalman Filtering
3.2.3. Calculating the Coupling Matrix
4. Guidance Law and Asymptotic Stability
4.1. Coordinated Turning Guidance Law
4.2. Analysis of Asymptotic Stability
4.3. Linear Analysis
4.4. Coordinate Target Tracking by Multiple UAVs
5. Simulations and Results
5.1. Estimation Results by OTSCKF
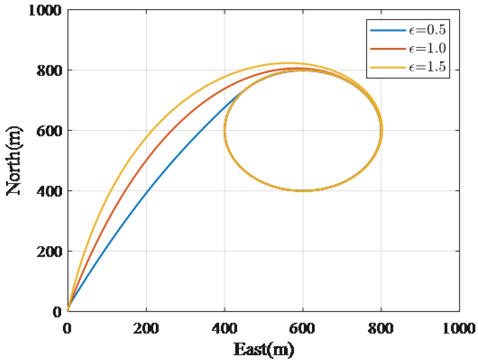
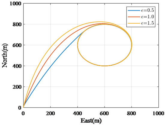
5.2. Target Tracking by ICLGL
5.3. Target Tracking Based on OTSCKF
5.4. Coordinated Target Tracking
6. Conclusions
Author Contributions
Funding
Institutional Review Board Statement
Informed Consent Statement
Data Availability Statement
Acknowledgments
Conflicts of Interest
References
- Ogren, P.; Backlund, A.; Harryson, T.; Kristensson, L.; Stensson, P. Autonomous UCAV Strike Missions Using Behavior Control Lyapunov Functions. In Proceedings of the AIAA Guidance, Navigation, and Control Conference and Exhibit, Keystone, CO, USA, 21–24 August 2006. [Google Scholar]
- Erkan, S.; Kandemir, M.; Giger, G. Advanced task assignment for unmanned combat aerial vehicles targeting cost efficiency and survivability. In Proceedings of the 46th AIAA Aerospace Sciences Meeting and Exhibit, Reno, NV, USA, 7–10 January 2008; p. 873. [Google Scholar]
- Wang, C.Q.; Feng, L.I.; Zhang, J. A survey on UCAV system. Electron. Opt. Control 2004, 9, 41–45. [Google Scholar]
- Lin, C.; Shi, J.; Zhang, W.; Lyu, Y. Standoff tracking of a ground target based on coordinated turning guidance law. ISA Trans. 2022, 119, 118–134. [Google Scholar] [CrossRef] [PubMed]
- Yi, S.; He, Z.; You, X.; Cheung, Y.-M. Single object tracking via robust combination of particle filter and sparse representation. Signal Process. 2015, 110, 178–187. [Google Scholar] [CrossRef]
- He, Q.; Zhang, W.; Huang, D.; Chen, H.; Liu, J. Aircraft Inertial Measurement Unit Fault Diagnosis Based on Optimal Two-Stage CKF. Xibei Gongye Daxue Xuebao/J. Northwest. Polytech. Univ. 2018, 36, 933–941. [Google Scholar] [CrossRef]
- Friedland, B. Treatment of bias in recursive filtering. IEEE Trans. Autom. Control 1969, 14, 359–367. [Google Scholar] [CrossRef]
- Alouani, A.T.; Xia, P.; Rice, T.R.; Blair, W.D. On the optimality of two-stage state estimation in the presence of random bias. IEEE Trans. Autom. Control 1993, 38, 1279–1283. [Google Scholar] [CrossRef]
- Hsieh, C.S.; Chen, F.C. Optimal solution of the two-stage Kalman estimator. IEEE Trans. Autom. Control 1999, 44, 194–199. [Google Scholar] [CrossRef] [Green Version]
- Mashhad, A.M.; Karsaz, A.; Mashhadi, S.K.M. High Maneuvering Multiple-Underwater Robot Tracking with Optimal Two-Stage Kalman Filter and Competitive Hopfield Neural Network Based Data Fusion. Int. J. Commun. Antenna Propag. 2013, 3, 191–198. [Google Scholar]
- Frew, E.W.; Lawrence, D.A.; Morris, S. Coordinated Standoff Tracking of Moving Targets Using Lyapunov Guidance Vector Fields. J. Guid. Control Dyn. 2008, 32, 290–306. [Google Scholar] [CrossRef]
- Hong, J.; Kim, Y.; Bang, H. Cooperative circular pattern target tracking using navigation function. Aerosp. Sci. Technol. 2018, 76, 105–111. [Google Scholar] [CrossRef]
- Park, S.; Deyst, J.; How, J. A new nonlinear guidance logic for trajectory tracking. In Proceedings of the AIAA Guidance, Navigation, and Control Conference and Exhibit, Providence, RI, USA, 16–19 August 2004; pp. 1–18. [Google Scholar]
- Lee, J.Y.; Kim, H.G.; Kim, H.J. Adjustable impact-time-control guidance law against non-maneuvering target under limited field of view. Proc. Inst. Mech. Eng. Part G J. Aerosp. Eng. 2021, 236, 368–378. [Google Scholar] [CrossRef]
- Park, S. Circling over a Target with Relative Side Bearing. J. Guid. Control Dyn. 2016, 39, 1450–1456. [Google Scholar] [CrossRef]
- Park, S. Guidance Law for Standoff Tracking of a Moving Object. J. Guid. Control Dyn. 2017, 40, 2948–2955. [Google Scholar] [CrossRef]
- Cao, Y. UAV circumnavigating an unknown target using range measurement and estimated range rate. In Proceedings of the 2014 American Control Conference, Portland, ON, USA, 4–6 June 2014; pp. 4581–4586. [Google Scholar]
- Cao, Y.C. UAV circumnavigating an unknown target under a GPS-denied environment with range-only measurements. Automatica 2015, 55, 150–158. [Google Scholar] [CrossRef] [Green Version]
- Wise, R.A.S.; Rysdyky, R.T. UAV Coordination for Autonomous Target Tracking. In Proceedings of the AIAA Guidance, Navigation, and Control Conference and Exhibit, Keystone, CO, USA, 21–24 August 2006; p. 6453. [Google Scholar]
- Quintero, S.; Copp, D.A.; Hespanha, J.P. Robust UAV coordination for target tracking using output-feedback model predictive control with moving horizon estimation. In Proceedings of the 2015 American Control Conference (ACC), Chicago, IL, USA, 1–3 July 2015; pp. 3758–3764. [Google Scholar]
- Adamey, E.; Ozguner, U. A decentralized approach for multi-UAV multitarget tracking and surveillance. Int. Soc. Opt. Photonics 2012, 8389, 307–312. [Google Scholar]
- Moseley, M.B.; Grocholsky, B.P.; Cheung, C.; Singh, S. Integrated long-range UAV/UGV collaborative target tracking. In Unmanned Systems Technology XI; International Society for Optics and Photonics: Bellingham, WA, USA, 2009; Volume 7332, p. 733204. [Google Scholar]
- Cui, X.; Jing, Z.; Luo, M.; Guo, Y.; Qiao, H. A new method for state of charge estimation of lithium-ion batteries using square root cubature Kalman filter. Energies 2018, 11, 209. [Google Scholar] [CrossRef] [Green Version]
- Nourmohammadi, H.; Keighobadi, J. Decentralized INS/GNSS system with MEMS-grade inertial sensors using QR-factorized CKF. IEEE Sens. J. 2017, 17, 3278–3287. [Google Scholar] [CrossRef]
- Liu, X.; Liu, X.; Zhang, W.; Yang, Y. Interacting multiple model UAV navigation algorithm based on a robust cubature Kalman filter. IEEE Access 2020, 8, 81034–81044. [Google Scholar] [CrossRef]
- Zhao, X.; Lin, W.; Hao, J.; Zuo, X.; Yuan, J. Clustering and pattern search for enhancing particle swarm optimization with Euclidean spatial neighborhood search. Neurocomputing 2016, 171, 966–981. [Google Scholar] [CrossRef]
- LaSalle, J.P. Stability of nonautonomous systems. Nonlinear Anal. Theory Methods Appl. 1976, 1, 83–90. [Google Scholar] [CrossRef]
- Park, S.; Deyst, J.; How, J.P. Performance and Lyapunov stability of a nonlinear path following guidance method. J. Guid. Control Dyn. 2007, 30, 1718–1728. [Google Scholar] [CrossRef]




















| t | 100–150 s | 180–250 s | 300–380 s |
| Name | Value | Unit |
|---|---|---|
| Moment of inertia | kg·m | |
| Moment of inertia | kg·m | |
| Moment of inertia | kg·m | |
| Cruise speed | 25 | m/s |
| Take-off mass | kg |
Publisher’s Note: MDPI stays neutral with regard to jurisdictional claims in published maps and institutional affiliations. |
© 2022 by the authors. Licensee MDPI, Basel, Switzerland. This article is an open access article distributed under the terms and conditions of the Creative Commons Attribution (CC BY) license (https://creativecommons.org/licenses/by/4.0/).
Share and Cite
Jiang, W.; Lyu, Y.; Shi, J. Unmanned Aerial Vehicle Target Tracking Based on OTSCKF and Improved Coordinated Lateral Guidance Law. ISPRS Int. J. Geo-Inf. 2022, 11, 188. https://doi.org/10.3390/ijgi11030188
Jiang W, Lyu Y, Shi J. Unmanned Aerial Vehicle Target Tracking Based on OTSCKF and Improved Coordinated Lateral Guidance Law. ISPRS International Journal of Geo-Information. 2022; 11(3):188. https://doi.org/10.3390/ijgi11030188
Chicago/Turabian StyleJiang, Wei, Yongxi Lyu, and Jingping Shi. 2022. "Unmanned Aerial Vehicle Target Tracking Based on OTSCKF and Improved Coordinated Lateral Guidance Law" ISPRS International Journal of Geo-Information 11, no. 3: 188. https://doi.org/10.3390/ijgi11030188
APA StyleJiang, W., Lyu, Y., & Shi, J. (2022). Unmanned Aerial Vehicle Target Tracking Based on OTSCKF and Improved Coordinated Lateral Guidance Law. ISPRS International Journal of Geo-Information, 11(3), 188. https://doi.org/10.3390/ijgi11030188

