Using Machine Learning to Map Western Australian Landscapes for Mineral Exploration
Abstract
:1. Introduction
1.1. Geomorphology Background
1.2. Overview of Technologies Using Remote Sensing Data for Landscape Mapping
2. Methods
2.1. Machine Learning
2.2. Data Preparation: Assembling the Feature Matrix
| Data Set | Data Type, Min…Max, Features | Source |
|---|---|---|
| Geosciences Australia 3″ SRTM DEM v01 | integer, , skewness, kurtosis, interquartile range (IQR) | [41] |
| Multiresolution Valley Bottom Flatness (VBF) | ordinal, , normalised histogram (NH), 10 bins | [42] |
| Multiresolution Ridge Top Flatness (RTF) | ordinal, , NH, 10 bins | [49] |
| Topographic Wetness Index derived from 1″ SRTM DEM-H (TWI) | real, , mean | [50] |
| Slope derived from 1″ SRTM DEM-S | degrees, , skewness, kurtosis, IQR | [51] |
| Wind Exposition Index (WEI) | real, , mean, skewness, kurtosis, IQR | [52,53] |
| Slope Relief Classification derived from 1″ SRTM DEM-S | nominal, six slope codes (see Table 2), H, six bins | [54] |
| LE | level |
| VG | very gently sloping |
| GE | gently sloping |
| MO | moderately sloping |
| ST | steep |
| VS | very steep |
2.3. Training, Cross-Validation, Prediction
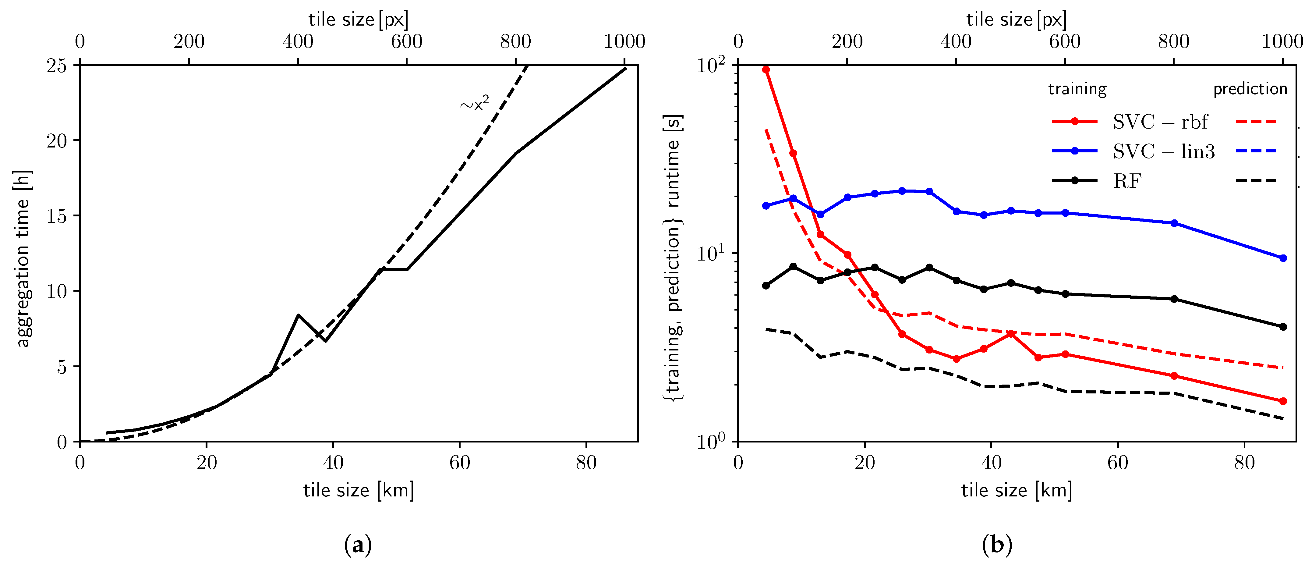
2.4. Computational Cost
2.5. Hyperparameter Tuning
3. Results
3.1. Effect of Tile Size on Accuracy
3.2. Feature Importance
3.3. Circular Tiles
3.4. Transition Belts
3.5. Novelty Detection
4. Discussion and Conclusions
Author Contributions
Funding
Data Availability Statement
Acknowledgments
Conflicts of Interest
Abbreviations
| DEM | Digital elevation model |
| ML | Machine learning |
| RF-100 | Random forest consisting of 100 decision trees |
| SRTM | Shuttle Radar Topography Mission |
| SVC-LIN | Support vector machine classifier with linear kernel |
| SVC-RBF | Support vector machine classifier with radial basis function kernel |
References
- González-Álvarez, I.; Goncalves, M.; Carranza, J. Introduction to the Special Issue- Challenges for Mineral Exploration in the 21st Century: Targeting Mineral Deposits Undercover. Ore Geol. Rev. Spec. Issue 2020, 126, 103785. [Google Scholar] [CrossRef]
- Butt, C.R.M.; Lintern, M.; Anand, R.R. Evolution of regoliths and landscapes in deeply weathered terrain—Implications for geochemical exploration. Ore Geol. Rev. 2000, 16, 167–183. [Google Scholar] [CrossRef]
- Butt, C.; Robertson, I.; Scott, K.; Cornelius, M. Regolith expression of Australian ore systems: A compilation of exploration case histories with conceptual dispersion, process and exploration models; CRC LEME: Perth, WA, Australia, 2005. [Google Scholar]
- Anand, R.R. Importance of 3-D regolith-landform control in areas of transported cover: Implications for geochemical exploration. Geochem. Explor. Environ. Anal. 2016, 16, 14–26. [Google Scholar] [CrossRef]
- Goudie, A. Encyclopedia of Eomorphology; Psychology Press: London, UK, 2004. [Google Scholar]
- González-Álvarez, I.; Boni, M.; Anand, R.R. Mineral exploration in regolith-dominated terrains: Global considerations and challenges. Ore Geol. Rev. 2016, 73, 375–379. [Google Scholar] [CrossRef]
- Anand, R.R.; Butt, C.R.M. A guide for mineral exploration through the regolith in the Yilgarn Craton, Western Australia. Aust. J. Earth Sci. 2010, 57, 1015–1114. [Google Scholar] [CrossRef]
- Smith, R.E.; Perdrix, J.; Davis, J. Dispersion into pisolitic laterite from the Greenbushes mineralized Sn-Ta pegmatite system, Western Australia. J. Geochem. Explor. 1987, 28, 251–265. [Google Scholar] [CrossRef]
- Xueqiu, W.; Bimin, Z.; Xin, L.; Shanfa, X.; Wensheng, Y.; Rong, Y. Geochemical challenges of diverse regolith-covered terrains for mineral exploration in China. Ore Geol. Rev. 2016, 73, 417–431. [Google Scholar] [CrossRef]
- Chen, X.; Lintern, M.; Roach, I. Calcrete: Characteristics, Distribution and Use in Mineral Exploration. CRC LEME, Cooperative Research Centre for Landscape Environments and Mineral Exploration; Technical Report; CSIRO Exploration and Mining: Perth, WA, Australia, 2002. [Google Scholar]
- González-Álvarez, I.; Salama, W.; Anand, R.R. Sea-level changes and buried islands in a complex coastal palaeolandscape in the South of Western Australia: Implications for greenfield mineral exploration. Ore Geol. Rev. 2016, 73, 475–499. [Google Scholar] [CrossRef]
- Chardon, D.; Grimaud, J.L.; Beauvais, A.; Bamba, O. West African lateritic pediments: Landform-regolith evolution processes and mineral exploration pitfalls. Earth Sci. Rev. 2018, 179, 124–146. [Google Scholar] [CrossRef]
- Winterburn, P.A.; Noble, R.R.; Lawie, D. Advances in exploration geochemistry, 2007 to 2017 and beyond. Geochem. Explor. Environ. Anal. 2020, 20, 157–166. [Google Scholar] [CrossRef] [Green Version]
- Anand, R.; Hough, R.; Salama, W.; Aspandiar, M.; Butt, C.; González-Álvarez, I.; Metelka, V. Gold and pathfinder elements in ferricrete gold deposits of the Yilgarn Craton of Western Australia: A review with new concepts. Ore Geol. Rev. 2019, 104, 294–355. [Google Scholar] [CrossRef]
- González-Álvarez, I.; Salama, W.; Hilliard, P.; Ibrahimi, T.; LeGras, M.; Rondon-Gonzalez, O. Landscape evolution and geochemical dispersion of the DeGrussa Cu-Au deposit, Western Australia. Ore Geol. Rev. 2019, 105, 487–513. [Google Scholar] [CrossRef]
- Summerfield, M.A. Neotectonics and landform genesis. Prog. Phys. Geogr. 1987, 11, 384–397. [Google Scholar] [CrossRef]
- Ollier, C.D. Evolution of the Australian landscape. Mar. Freshw. Res. 2001, 52, 13–23. [Google Scholar] [CrossRef]
- Twidale, C.R. Ancient Australian Landscapes; Rosenberg Publishing: Dural, NSW, Australia, 2007. [Google Scholar]
- Pain, C.F.; Pillans, B.J.; Roach, I.C.; Worrall, L.; Wilford, J.R. Shaping a Nation: A Geology of Australia; Chapter Old, Flat and Red–Australia’s Distinctive Landscape; ANU Press: Canberra, ACT, Australia, 2012; pp. 227–276. [Google Scholar] [CrossRef] [Green Version]
- Egletton, R.A. (Ed.) The Regolith Glossary: Surficial Geology, Soils and Landscapes; CRC LEME: Perth, WA, Australia, 2001. [Google Scholar]
- Otto, J.C.; Prasicek, G.; Blöthe, J.; Schrott, L. GIS Applications in Geomorphology. In Comprehensive Geographic Information Systems; Huang, B., Ed.; Elsevier: Oxford, UK, 2018; pp. 81–111. [Google Scholar] [CrossRef]
- Costanza, J.K.; Riitters, K.; Vogt, P.; Wickham, J. Describing and analyzing landscape patterns: Where are we now, and where are we going? Landsc. Ecol 2019, 34, 2049–2055. [Google Scholar] [CrossRef] [Green Version]
- Gustafson, E.J. How has the state-of-the-art for quantification of landscape pattern advanced in the twenty-first century? Landsc. Ecol. 2019, 34, 2065–2072. [Google Scholar] [CrossRef]
- Frazier, A.E.; Kedron, P. Landscape metrics: Past progress and future directions. Curr. Landsc. Ecol. Rep. 2017, 2, 63–72. [Google Scholar] [CrossRef] [Green Version]
- Lausch, A.; Blaschke, T.; Haase, D.; Herzog, F.; Syrbe, R.U.; Tischendorf, L.; Walz, U. Understanding and quantifying landscape structure–A review on relevant process characteristics, data models and landscape metrics. Ecol. Model. 2015, 295, 31–41. [Google Scholar] [CrossRef]
- Jasiewicz, J.; Niesterowicz, J.; Stepinski, T. Multi-resolution, pattern-based segmentation of very large raster datasets. In Proceedings of the International Conference on GIScience, Montreal, QC, Canada, 27–30 September 2016; Volume 1. [Google Scholar]
- Jasiewicz, J.; Netzel, P.; Stepinski, T.F. Landscape similarity, retrieval, and machine mapping of physiographic units. Geomorphology 2014, 221, 104–112. [Google Scholar] [CrossRef]
- Jasiewicz, J.; Stepinski, T.; Niesterowicz, J. Multi-scale segmentation algorithm for pattern-based partitioning of large categorical rasters. Comput. Geosci. 2018, 118, 122–130. [Google Scholar] [CrossRef] [Green Version]
- Ollier, C.D. Terrain classification: Methods, Applications and Principles. In Applied Geomorphology; Elsevier: Amsterdam, The Netherlands, 1978. [Google Scholar]
- Soranno, P.A.; Wagner, T.; Collins, S.M.; Lapierre, J.F.; Lottig, N.R.; Oliver, S.K. Spatial and temporal variation of ecosystem properties at macroscales. Ecol. Lett. 2019, 22, 1587–1598. [Google Scholar] [CrossRef]
- Wilford, J.R.; Searle, R.; Thomas, M.; Pagendam, D.; Grundy, M.J. A regolith depth map of the Australian continent. Geoderma 2016, 266, 1–13. [Google Scholar] [CrossRef]
- de Caritat, P.; Main, P.T.; Grunsky, E.C.; Mann, A.W. Recognition of geochemical footprints of mineral systems in the regolith at regional to continental scales. Aust. J. Earth Sci. 2017, 64, 1033–1043. [Google Scholar] [CrossRef] [Green Version]
- Caruso, A.; Clarke, K.; Tiddy, C.; Delean, S.; Lewis, M. Objective Regolith-Landform Mapping in a Regolith Dominated Terrain to Inform Mineral Exploration. Geosciences 2018, 8, 318. [Google Scholar] [CrossRef] [Green Version]
- Mercader, J.; Martı, R.; González, I.J.; Sánchez, A.; Garcıa, P. Archaeological site formation in rain forests: Insights from the Ituri rock shelters, Congo. J. Archaeol. Sci. 2003, 30, 45–65. [Google Scholar] [CrossRef]
- Abdi, A.M. Land cover and land use classification performance of machine learning algorithms in a boreal landscape using Sentinel-2 data. GIScience Remote Sens. 2020, 57, 1–20. [Google Scholar] [CrossRef] [Green Version]
- Zhang, Y.; Li, Q.; Huang, H.; Wu, W.; Du, X.; Wang, H. The combined use of remote sensing and social sensing data in fine-grained urban land use mapping: A case study in Beijing, China. Remote Sens. 2017, 9, 865. [Google Scholar] [CrossRef] [Green Version]
- Lidberg, W.; Nilsson, M.; Ågren, A. Using machine learning to generate high-resolution wet area maps for planning forest management: A study in a boreal forest landscape. Ambio 2020, 49, 475–486. [Google Scholar] [CrossRef] [PubMed] [Green Version]
- Maxwell, A.E.; Warner, T.A.; Fang, F. Implementation of machine-learning classification in remote sensing: An applied review. Int. J. Remote Sens. 2018, 39, 2784–2817. [Google Scholar] [CrossRef] [Green Version]
- Fouedjio, F.; Klump, J. Exploring prediction uncertainty of spatial data in geostatistical and machine learning approaches. Environ. Earth Sci. 2019, 78, 38. [Google Scholar] [CrossRef]
- Jasiewicz, J.; Netzel, P.; Stepinski, T. GeoPAT: A toolbox for pattern-based information retrieval from large geospatial databases. Comput. Geosci. 2015, 80, 62–73. [Google Scholar] [CrossRef]
- Gallant, J.C.; Wilson, N.; Dowling, T.I.; Read, A.; Inskeep, C. SRTM-Derived 3 Second Digital Elevation Models Version 1.0; Technical Report; Geoscience Australia: Canberra, ACT, Australia, 2009. [Google Scholar]
- Gallant, J.C.; Dowling, T.I. A multiresolution index of valley bottom flatness for mapping depositional areas. Water Resour. Res. 2003, 39. [Google Scholar] [CrossRef]
- Kuhn, M.; Johnson, K. Applied Predictive Modeling; Springer: New York, NY, USA, 2013. [Google Scholar] [CrossRef]
- Fan, R.E.; Chang, K.W.; Hsieh, C.J.; Wang, X.R.; Lin, C.J. LIBLINEAR: A library for large linear classification. J. Mach. Learn. Res. 2008, 9, 1871–1874. [Google Scholar]
- Chang, C.C.; Lin, C.J. LIBSVM: A Library for Support Vector Machines. ACM Trans. Intell. Syst. Technol. 2011, 2, 27:1–27:27. [Google Scholar] [CrossRef]
- Breiman, L. Classification and Regression Trees; Chapman and Hall: Boca Raton, FL, USA, 2017. [Google Scholar]
- Breiman, L. Random forests. Mach. Learn. 2001, 45, 5–32. [Google Scholar] [CrossRef] [Green Version]
- Pedregosa, F.; Varoquaux, G.; Gramfort, A.; Michel, V.; Thirion, B.; Grisel, O.; Blondel, M.; Prettenhofer, P.; Weiss, R.; Dubourg, V.; et al. Scikit-learn: Machine Learning in Python. J. Mach. Learn. Res. 2011, 12, 2825–2830. [Google Scholar]
- Gallant, J.C.; Dowling, T.I.; Austin, J. Multi-Resolution Ridge Top Flatness (MrRTF) v2; Technical Report; CSIRO: Canberra, ACT, Australia, 2013. [Google Scholar]
- Gallant, J.C.; Austin, J. Topographic Wetness Index Derived from 1" SRTM DEM-H. v2.; Technical Report; CSIRO: Canberra, ACT, Australia, 2012. [Google Scholar]
- Gallant, J.C.; Austin, J. Slope Derived from 1" SRTM DEM-S. v4; Technical Report; CSIRO: Canberra, ACT, Australia, 2012. [Google Scholar]
- Böhner, J.; Antonić, O. Land-surface parameters specific to topo-climatology. Dev. Soil Sci. 2009, 33, 195–226. [Google Scholar]
- Gerlitz, L.; Conrad, O.; Böhner, J. Large-scale atmospheric forcing and topographic modification of precipitation rates over High Asia—a neural-network-based approach. Earth Syst. Dyn. 2015, 6, 61. [Google Scholar] [CrossRef] [Green Version]
- Gallant, J.C.; Austin, J. Slope Relief Classification Derived from 1" SRTM DEM-S. v3; Technical Report; CSIRO: Canberra, ACT, Australia, 2012. [Google Scholar]
- Han, J.; Miller, H.J. Geographic Data Mining and Knowledge Discovery; CRC Press: Boca Raton, FL, USA, 2009. [Google Scholar]









| Class Label | 1 | 2 | 3 | 4 | 5 | 6 | 7 | 8 |
|---|---|---|---|---|---|---|---|---|
| number of training samples | 831 | 583 | 3670 | 2036 | 871 | 1869 | 560 | 9940 |
Publisher’s Note: MDPI stays neutral with regard to jurisdictional claims in published maps and institutional affiliations. |
© 2021 by the authors. Licensee MDPI, Basel, Switzerland. This article is an open access article distributed under the terms and conditions of the Creative Commons Attribution (CC BY) license (https://creativecommons.org/licenses/by/4.0/).
Share and Cite
Albrecht, T.; González-Álvarez, I.; Klump, J. Using Machine Learning to Map Western Australian Landscapes for Mineral Exploration. ISPRS Int. J. Geo-Inf. 2021, 10, 459. https://doi.org/10.3390/ijgi10070459
Albrecht T, González-Álvarez I, Klump J. Using Machine Learning to Map Western Australian Landscapes for Mineral Exploration. ISPRS International Journal of Geo-Information. 2021; 10(7):459. https://doi.org/10.3390/ijgi10070459
Chicago/Turabian StyleAlbrecht, Thomas, Ignacio González-Álvarez, and Jens Klump. 2021. "Using Machine Learning to Map Western Australian Landscapes for Mineral Exploration" ISPRS International Journal of Geo-Information 10, no. 7: 459. https://doi.org/10.3390/ijgi10070459
APA StyleAlbrecht, T., González-Álvarez, I., & Klump, J. (2021). Using Machine Learning to Map Western Australian Landscapes for Mineral Exploration. ISPRS International Journal of Geo-Information, 10(7), 459. https://doi.org/10.3390/ijgi10070459

