A Study on Prediction Model of Gully Volume Based on Morphological Features in the JINSHA Dry-Hot Valley Region of Southwest China
Abstract
1. Introduction
2. Materials and Methods
2.1. Study Area
2.2. Data Collection and Division of the Gully Development Stage
2.3. Construction and Effectiveness Test of Empirical Models
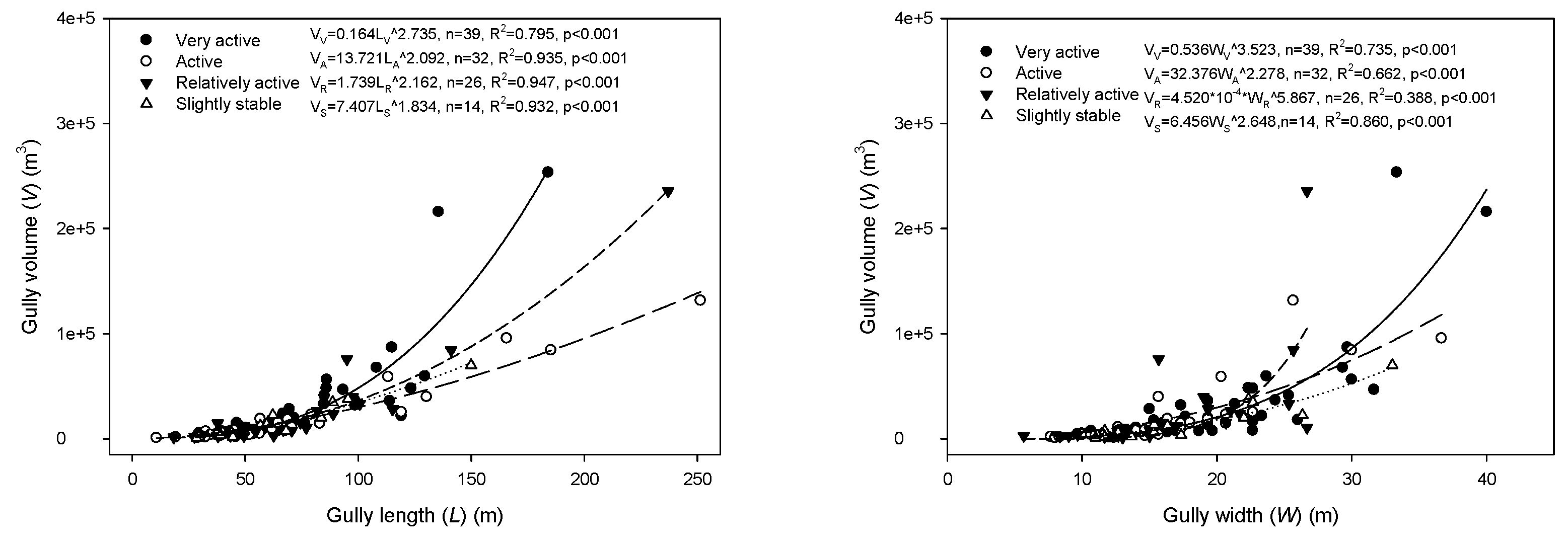
3. Results
3.1. Morphological Features of Gully
3.2. Relationship between the Different Morphological Features of Gullies
3.3. Verification of the Constructed Empirical Models
4. Discussion
4.1. Identification of Gully Development Stage
4.2. The Meaning of the Model Parameters
5. Conclusions
Author Contributions
Funding
Data Availability Statement
Acknowledgments
Conflicts of Interest
References
- Douglas-Mankin, K.R.; Roy, S.K.; Sheshukov, A.Y.; Biswas, A.; Gharabaghi, B.; Binns, A.; Rudra, R.; Shrestha, N.K.; Daggupati, P. A comprehensive review of ephemeral gully erosion models. Catena 2020, 195, 104901. [Google Scholar] [CrossRef]
- Mor-Mussery, A.; Laronne, J.B. The effects of gully erosion on the ecology of arid loessial agro-ecosystems, the northern Negev, Israel. Catena 2020, 194, 104712. [Google Scholar] [CrossRef]
- Poesen, J.; Nachtergaele, J.; Verstraeten, G.; Valentin, C. Gully erosion and environmental change: Importance and research needs. Catena 2003, 50, 91–133. [Google Scholar] [CrossRef]
- Poesen, J.W.A.; Hooke, J.M. Erosion, flooding and channel management in Mediterranean environments of southern Europe. Prog. Phys. Geogr. 1997, 21, 157–199. [Google Scholar] [CrossRef]
- Vandekerckhove, L.; Poesen, J.; Wijdenes, D.O.; Gyssels, G.; Beuselinck, L.; Luna, E.D. Characteristics and controlling factors of bank gullies in two semi-arid mediterranean environments. Geomorphology 2000, 33, 37–58. [Google Scholar] [CrossRef]
- Kompani-Zare, M.; Soufi, M.; Hamzehzarghani, H.; Dehghani, M. The effect of some watershed, soil characteristics and morphometric factors on the relationship between the gully volume and length in Fars Province, Iran. Catena 2011, 86, 150–159. [Google Scholar] [CrossRef]
- Candido, B.M.; James, M.; Quinton, J.; De Lima, W.; Naves Silva, M.L. Sediment source and volume of soil erosion in a gully system using UAV photogrammetry. Rev. Bras. Cienc. Do Solo 2020, 44, e0200076. [Google Scholar] [CrossRef]
- Kaiser, A.; Neugirg, F.; Rock, G.; Mueller, C.; Haas, F.; Ries, J.; Schmidt, J. Small-scale surface reconstruction and volume calculation of soil erosion in complex moroccan gully morphology using structure from motion. Remote Sens. 2014, 6, 7050–7080. [Google Scholar] [CrossRef]
- Woodward, D.E. Method to predict cropland ephemeral gully erosion. Catena 1999, 37, 393–399. [Google Scholar] [CrossRef]
- Casalí, J.; López, J.J.; Giráldez, J.V. Ephemeral gully erosion in southern Navarra (Spain). Catena 1999, 36, 65–84. [Google Scholar] [CrossRef]
- Zhu, T.X. Gully and tunnel erosion in the hilly Loess Plateau region, China. Geomorphology 2012, 153–154, 144–155. [Google Scholar] [CrossRef]
- Castillo, C.; Perez, R.; James, M.R.; Quinton, J.N.; Taguas, E.V.; Gomez, J.A. Comparing the accuracy of several field methods for measuring gully erosion. Soil Sci. Soc. Am. J. 2012, 76, 1319–1332. [Google Scholar] [CrossRef]
- Vandekerckhove, L.; Poesen, J.; Wijdenes, D.O.; Gyssels, G. Short-term bank gully retreat rates in Mediterranean environments. Catena 2001, 44, 133–161. [Google Scholar] [CrossRef]
- Hessel, R.; van Asch, T. Modelling gully erosion for a small catchment on the Chinese Loess Plateau. Catena 2003, 54, 131–146. [Google Scholar] [CrossRef]
- Capra, A.; Scicolone, B. Ephemeral gully erosion in a wheat-cultivated area in Sicily (Italy). Biosyst. Eng. 2002, 83, 119–126. [Google Scholar] [CrossRef]
- You, Z.M.; Wu, Y.Q.; Liu, B.Y. Study of monitoring gully erosion using GPS. J. Soil Water Conserv. 2004, 18, 91–94. [Google Scholar]
- Chen, Y.; Jiao, J.; Wei, Y.; Zhao, H.; Yu, W.; Cao, B.; Xu, H.; Yan, F.; Wu, D.; Li, H. Accuracy Assessment of the Planar Morphology of Valley Bank Gullies Extracted with High Resolution Remote Sensing Imagery on the Loess Plateau, China. Int. J. Environ. Res. Public Health 2019, 16, 369. [Google Scholar] [CrossRef]
- Wells, R.R.; Momm, H.G.; Bennett, S.J.; Gesch, K.R.; Dabney, S.M.; Cruse, R.; Wilson, G.V. A measurement method for rill and ephemeral gully erosion assessments. Soil Sci. Soc. Am. J. 2016, 80, 203–214. [Google Scholar] [CrossRef]
- Casali, J.; Loizu, J.; Campo, M.A.; De Santisteban, L.M.; Alvarez-Mozos, J. Accuracy of methods for field assessment of rill and ephemeral gully erosion. Catena 2006, 67, 128–138. [Google Scholar] [CrossRef]
- Kociuba, W.; Janicki, G.; Rodzik, J.; Stepniewski, K. Comparison of volumetric and remote sensing methods (TLS) for assessing the development of a permanent forested loess gully. Nat. Hazards 2015, 79, S139–S158. [Google Scholar] [CrossRef]
- Marzolff, I.; Poesen, J. The potential of 3D gully monitoring with GIS using high-resolution aerial photography and a digital photogrammetry system. Geomorphology 2009, 111, 48–60. [Google Scholar] [CrossRef]
- Ries, J.B.; Marzolff, I. Monitoring of gully erosion in the Central Ebro Basin by large-scale aerial photography taken from a remotely controlled blimp. Catena 2003, 50, 309–328. [Google Scholar] [CrossRef]
- Gimenez, R.; Marzolff, I.; Campo, M.A.; Seeger, M.; Ries, J.B.; Casali, J.; Alvarez-Mozos, J. Accuracy of high-resolution photogrammetric measurements of gullies with contrasting morphology. Earth Surface Process. Landf. 2009, 34, 1915–1926. [Google Scholar] [CrossRef]
- Gomez-Gutierrez, A.; Schnabel, S.; Berenguer-Sempere, F.; Lavado-Contador, F.; Rubio-Delgado, J. Using 3D photo-reconstruction methods to estimate gully headcut erosion. Catena 2014, 120, 91–101. [Google Scholar] [CrossRef]
- Gulam, V.; Gajski, D.; Podolszki, L. Photogrammetric measurement methods of the gully rock wall retreat in Istrian badlands. Catena 2018, 160, 298–309. [Google Scholar] [CrossRef]
- Romanescu, G.; Cotiuga, V.; Asandulesei, A.; Stoleriu, C. Use of the 3-D scanner in mapping and monitoring the dynamic degradation of soils: Case study of the Cucuteni-Baiceni Gully on the Moldavian Plateau (Romania). Hydrol. Earth Syst. Sci. 2012, 16, 953–966. [Google Scholar] [CrossRef]
- Zhang, P.; Zheng, F.L.; Wang, B.; Chen, J.Q.; Ding, X.B. Comparative study of monitoring gully erosion morphology change process by using high precision GPS, Leica HDS 3000 Laser Scanner and Needle Board Method. Bull. Soil Water Conserv. 2008, 28, 11–15, 20. [Google Scholar]
- Alfonso-Torreno, A.; Gomez-Gutierrez, A.; Schnabel, S.; Lavado Contador, J.F.; De Sanjose Blasco, J.J.; Sanchez Fernandez, M. sUAS, SfM-MVS photogrammetry and a topographic algorithm method to quantify the volume of sediments retained in check-dams. Sci. Total Environ. 2019, 678, 369–382. [Google Scholar] [CrossRef] [PubMed]
- Gong, C.G.; Lei, S.G.; Bian, Z.F.; Liu, Y.; Zhang, Z.A.; Cheng, W. Analysis of the development of an erosion gully in an open-pit coal mine dump during a winter freeze-thaw cycle by using low-cost UAVs. Remote Sens. 2019, 11, 1356. [Google Scholar] [CrossRef]
- Mihai, N.; Mihai, C.M.; Paolo, T. Using UAV and LiDAR data for gully geomorphic changes monitoring. Dev. Earth Surface Process 2020, 23, 271–315. [Google Scholar]
- Frankl, A.; Stal, C.; Abraha, A.; Nyssen, J.; Rieke-Zapp, D.; De Wulf, A.; Poesen, J. Detailed recording of gully morphology in 3D through image-based modelling. Catena 2015, 127, 92–101. [Google Scholar] [CrossRef]
- Garosi, Y.; Sheklabadi, M.; Conoscenti, C.; Pourghasemi, H.R.; Van Oost, K. Assessing the performance of GIS-based machine learning models with different accuracy measures for determining susceptibility to gully erosion. Sci. Total Environ. 2019, 664, 1117–1132. [Google Scholar] [CrossRef]
- Siljeg, A.; Domazetovic, F.; Maric, I.; Loncar, N.; Panda, L. New method for automated quantification of vertical spatio-temporal changes within gully cross-sections based on very-high-resolution models. Remote Sens. 2021, 13, 321. [Google Scholar] [CrossRef]
- Zucca, C.; Canu, A.; Peruta, R.D. Effects of land use and landscape on spatial distribution and morphological features of gullies in an agropastoral area in Sardinia (Italy). Catena 2006, 68, 87–95. [Google Scholar] [CrossRef]
- Nachtergaele, J.; Poesen, J.; Steegen, A.; Takken, I.; Beuselinck, L.; Vandekerckhove, L.; Govers, G. The value of a physically based model versus an empirical approach in the prediction of ephemeral gully erosion for loess-derived soils. Geomorphology 2001, 40, 237–252. [Google Scholar] [CrossRef]
- Zhang, Y.G.; Wu, Y.Q.; Lin, B.Y.; Zheng, Q.H.; Yin, J.Y. Characteristics and factors controlling the development of ephemeral gullies in cultivated catchments of black soil region, Northeast China. Soil Tillage Res. 2007, 96, 28–41. [Google Scholar] [CrossRef]
- Frankl, A.; Poesen, J.; Scholiers, N.; Jacob, M.; Haile, M.; Deckers, J.; Nyssen, J. Factors controlling the morphology and volume (V)–length (L) relations of permanent gullies in the northern Ethiopian Highlands. Earth Surface Process. Landf. 2013, 38, 1672–1684. [Google Scholar] [CrossRef]
- Muñoz-Robles, C.; Reid, N.; Frazier, P.; Tighe, M.; Briggs, S.V.; Wilson, B. Factors related to gully erosion in woody encroachment in south-eastern Australia. Catena 2010, 83, 148–157. [Google Scholar] [CrossRef]
- Li, Z.; Zhang, Y.; Zhu, Q.; Yang, S.; Li, H.; Ma, H. A gully erosion assessment model for the Chinese Loess Plateau based on changes in gully length and area. Catena 2017, 148, 195–203. [Google Scholar] [CrossRef]
- Li, J.W.; Xiong, L.Y.; Tang, G.A. Combined gully profiles for expressing surface morphology and evolution of gully landforms. Front. Earth Sci. 2019, 13, 551–562. [Google Scholar] [CrossRef]
- Dong, Y.F.; Xiong, D.H.; Su, Z.A.; Li, J.J.; Yang, D.; Shi, L.T.; Liu, G.C. The distribution of and factors influencing the vegetation in a gully in the Dry-hot Valley of southwest China. Catena 2014, 116, 60–67. [Google Scholar] [CrossRef]
- Deng, Q.C.; Qin, F.C.; Zhang, B.; Wang, H.P.; Luo, M.L.; Shu, C.Q.; Liu, H.; Liu, G.C. Characterizing the morphology of gully cross-sections based on PCA: A case of Yuanmou Dry-Hot Valley. Geomorphology 2015, 228, 703–713. [Google Scholar] [CrossRef]
- Lei, X.; Chen, W.; Avand, M.; Janizadeh, S.; Kariminejad, N.; Shahabi, H.; Costache, R.; Shahabi, H.; Shirzadi, A.; Mosavi, A. GIS-based machine learning algorithms for gully erosion susceptibility mapping in a semi-arid region of Iran. Remote Sens. 2020, 12, 2478. [Google Scholar] [CrossRef]
- Band, S.S.; Janizadeh, S.; Mukherjee, K.; Bozchaloei, S.K.; Cerda, A.; Shokri, M.; Mosavi, A. Evaluating the efficiency of different regression, decision tree, and bayesian machine learning algorithms in spatial piping erosion susceptibility using ALOS/PALSAR Data. Land 2020, 9, 346. [Google Scholar] [CrossRef]
- Band, S.S.; Janizadeh, S.; Chandra Pal, S.; Saha, A.; Chakrabortty, R.; Shokri, M.; Mosavi, A. Novel ensemble approach of Deep Learning Neural Network (DLNN) model and Particle Swarm Optimization (PSO) algorithm for prediction of gully erosion susceptibility. Sensors 2020, 20, 5609. [Google Scholar] [CrossRef] [PubMed]
- Zhang, L.; Wang, L.L.; Zhang, X.D.; Liu, S.R.; Sun, P.S.; Wang, T.L. The basic principle of random forest and its applications in ecology: A case study of Pinus Yunnanensis. Acta Ecol. Sin. 2014, 34, 650–659. [Google Scholar]
- Wang, Y.Y.; Qi, Y.B.; Chen, Y.; Xie, F. Prediction of soil organic matter based on multi-resolution remote sensing data and random forest algorithm. Acta Pedol. Sin. 2016, 53, 342–354. [Google Scholar]
- Wang, C.; Kan, A.K.; Zeng, Y.L.; Li, G.Q.; Wang, M.; Ci, R. Population distribution pattern and influencing factors in Tibet based on random forest model. Acta Geogr. Sin. 2019, 74, 664–680. [Google Scholar]
- Su, Z.A.; Xiong, D.H.; Dong, Y.F.; Zhang, B.J.; Zhang, S.; Zheng, X.Y.; Yang, D.; Zhang, J.H.; Fan, J.R.; Fang, H.D. Hydraulic properties of concentrated flow of a bank gully in the dry-hot valley region of southwest China. Earth Surface Process. Landf. 2015, 40, 1351–1363. [Google Scholar] [CrossRef]
- Yang, D.; Xiong, D.H.; Guo, M.; Su, Z.A.; Zhang, B.J.; Zheng, X.Y.; Zhang, S.; Fang, H.D. Impact of grass belt position on the hydraulic properties of runoff in gully beds in the Yuanmou Dry-hot valley region of Southwest China. Phys. Geogr. 2015, 36, 408–425. [Google Scholar] [CrossRef]
- Su, Z.A.; Xiong, D.H.; Dong, Y.F.; Li, J.J.; Yang, D.; Zhang, J.H.; He, G.X. Simulated headward erosion of bank gullies in the dry-hot valley region of southwest China. Geomorphology 2014, 204, 532–541. [Google Scholar] [CrossRef]
- Zhong, X.H. Degradation of ecosystem and ways of its rehabilitation and reconstruction in dry and hot valley. Resour. Environ. Yangtze Basin 2000, 9, 336–383. [Google Scholar]
- Yang, X.Y.; Ji, Z.H.; Fang, H.D.; Bai, D.Z.; Liao, C.F. Study and preliminary evaluation on the benefit of models of compound eco-agriculture on dry slope land in Yuanmou dry hot valley. Res. Soil Water Conserv. 2005, 12, 88–89, 99. [Google Scholar]
- Yang, D.; Xiong, D.H.; Zhai, J.J.; Li, J.; Su, Z.A.; Dong, Y.F. Morphological characteristics and causes of gullies in Yuanmou Dry-hot Valley Region. Sci. Soil Conserv. 2012, 10, 38–45. [Google Scholar]
- Qian, F.; Jiang, F.C. A Brief Introduction of the Quaternary Geology and Paleoanthropology Yuanmou, Yunnan, China; Science Press: Beijing, China, 1992; pp. 22–24. [Google Scholar]
- Qian, F.; Ling, X.H. A preliminary study on the cause factor and types of Yuanmou soil forest. Sci. Chin. Series B 1989, 4, 412–418, 449–450. [Google Scholar]
- Xiong, L.Y.; Tang, G.A.; Yang, X.; Li, F.Y. Geomorphology-oriented digital terrain analysis: Progress and perspectives. J. Geogr. Sci. 2021, 31, 456–476. [Google Scholar] [CrossRef]
- Chaplot, V.; Darboux, F.; Bourennane, H.; Leguedois, S.; Silvera, N.; Phachomphon, K. Accuracy of interpolation techniques for the derivation of digital elevation models in relation to landform types and data density. Geomorphology 2006, 77, 126–141. [Google Scholar] [CrossRef]
- Ai, N.S. Comentropy in erosional drainage-system. J. Soil Water Conserv. 1987, 1, 1–8. [Google Scholar]
- Sidorchuk, A. Dynamic and static models of gully erosion. Catena 1999, 37, 401–414. [Google Scholar] [CrossRef]
- Zhang, B.J.; Xiong, D.H.; Dong, Y.F.; Su, Z.A.; Yang, D.; Zheng, X.Y.; Zhang, S. Application of geomorphologic information entropy theory to evaluation of gully head acitivity. Soil Water Conserv. Chin. 2015, 1, 3–7, 69. [Google Scholar]
- Wang, J.; Ou, G.Q.; Yang, S.; Ji, X.J.; Lu, G.H. Applicability of geomorphic information entropy in the post-earthquake debris flow risk assessment. J. Mt. Sci. 2003, 31, 83–91. [Google Scholar]
- Capra, A.; Mazzara, L.M.; Scicolone, B. Application of the EGEM model to predict ephemeral gully erosion in Sicily, Italy. Catena 2005, 59, 133–146. [Google Scholar] [CrossRef]
- Nash, J.E.; Sutcliffe, R.M. River flow forcasting through conceptual models: Part 1. A discussion of principles. J. Hydrol. 1970, 10, 282–290. [Google Scholar] [CrossRef]
- Wang, X.P.; Pan, M.; Ren, Q.Z. Hazard assessment of debris flow based on geomorphic information entropy in catchment. Acta Sci. Nat. Univ. Pekin. 2007, 43, 211–215. [Google Scholar]
- Xie, T.; Yin, Q.F.; Gao, H.; Guo, F.; Lin, D.M. Risk assessment of glacial debris flow along the Tianshan Highway based on geomorphic information entropy. J. Glaciol. Geocryol. 2019, 41, 400–406. [Google Scholar]
- Li, Z. Study on Monitoring and Modelling Gully Erosion on the Chinese Loess Plateau; Beijing Forestry University: Beijing, China, 2015. [Google Scholar]
- Choubin, B.; Mosavi, A.; Alamdarloo, E.H.; Hosseini, F.S.; Shamshirband, S.; Dashtekian, K.; Ghamisi, P. Earth fissure hazard prediction using machine learning models. Environ. Res. 2019, 179, 108770. [Google Scholar] [CrossRef]
- Salcedo-Sanz, S.; Ghamisi, P.; Piles, M.; Werner, M.; Cuadra, L.; Moreno-Martinez, A.; Izquierdo-Verdiguier, E.; Munoz-Mari, J.; Mosavi, A.; Camps-Valls, G. Machine learning information fusion in earth observation: A comprehensive review of methods, applications and data sources. Inf. Fusion 2020, 63, 256–272. [Google Scholar] [CrossRef]









| Morphological Parameters of the Gully | Computing Method |
|---|---|
| Length (L, m) | Measure the length along the bottom line of the gully bed. If there are channel branches in the gully, the longest branch will be regarded as the length of the gully. |
| Width (W, m), Depth (D, m), Cross-section area (A, m2) | Measure the width, depth, and cross-section area every 2 m along the extension direction of the gully and then calculate the mean value. |
| Volume (V, m3) | Calculate the gully volume directly based on the DEM. |
| Vertical gradient (Vg) | , where is equal to the elevation difference between the gully head and gully bottom. |
| Breadth–depth ratio (Bd) |
| Gully Development Stage | Values of Egi | Geomorphic Features, Vegetation Condition, and Deposits in Gullies |
|---|---|---|
| Very active | Egi < 0.1110 | High and steep gully wall with some concave holes; no or very little vegetation and deposits in the gully bed |
| Active | 0.1110 ≤ Egi < 0.1500 | High and steep gully wall with some concave holes; gully bed covered with a little vegetation and deposits |
| Relatively active | 0.1500 ≤ Egi < 0.2000 | Gentle gully wall without apparent concave holes; gully bed with some vegetation and deposits |
| Slightly stable | Egi ≥ 0.2000 | Low and gentle gully wall; gully bed covered with some vegetation and deposits |
| Gully Development Stage * | Number of Gullies Used for Verification | Prediction Model *** | Indexes for Validity Test | |||
|---|---|---|---|---|---|---|
| Er | Ens | R2 | p ** | |||
| Relatively active | 21 | V-L | 0.455 | 0.840 | 0.845 | 0.894 |
| V-W | 1.239 | −7.127 | 0.185 | 0.822 | ||
| V-D | 3.077 | −0.268 | 0.577 | 0.034 | ||
| V-A | 5.333 | −1.696 | 0.708 | 0.027 | ||
| Slightly stable | 2 | V-L | 0.794 | 0.943 | 1 | 0.446 |
| V-W | 0.701 | 0.965 | 1 | 0.273 | ||
| V-D | 7.564 | −0.270 | 1 | 0.417 | ||
| V-A | 0.465 | 0.990 | 1 | 0.864 | ||
| All (Relatively active + Slightly stable) | 23 | V-L | 1.869 | 0.072 | 0.822 | 0.036 |
| V-W | 2.410 | −9.812 | 0.288 | 0.324 | ||
| V-D | 2.434 | 0.558 | 0.592 | 0.487 | ||
| V-A | 1.966 | 0.483 | 0.705 | 0.607 | ||
| Gully Development Stage | Prediction Model | N | R2 | p |
|---|---|---|---|---|
| Very active | 39 | 0.795 | <0.01 | |
| Active | 32 | 0.935 | <0.01 | |
| Relatively active | 26 | 0.947 | <0.01 | |
| Slightly stable | 14 | 0.932 | <0.01 | |
| Whole | 111 | 0.693 | <0.01 |
Publisher’s Note: MDPI stays neutral with regard to jurisdictional claims in published maps and institutional affiliations. |
© 2021 by the authors. Licensee MDPI, Basel, Switzerland. This article is an open access article distributed under the terms and conditions of the Creative Commons Attribution (CC BY) license (https://creativecommons.org/licenses/by/4.0/).
Share and Cite
Yang, D.; Mu, K.; Yang, H.; Luo, M.; Lv, W.; Zhang, B.; Liu, H.; Wang, Z. A Study on Prediction Model of Gully Volume Based on Morphological Features in the JINSHA Dry-Hot Valley Region of Southwest China. ISPRS Int. J. Geo-Inf. 2021, 10, 300. https://doi.org/10.3390/ijgi10050300
Yang D, Mu K, Yang H, Luo M, Lv W, Zhang B, Liu H, Wang Z. A Study on Prediction Model of Gully Volume Based on Morphological Features in the JINSHA Dry-Hot Valley Region of Southwest China. ISPRS International Journal of Geo-Information. 2021; 10(5):300. https://doi.org/10.3390/ijgi10050300
Chicago/Turabian StyleYang, Dan, Kai Mu, Hui Yang, Mingliang Luo, Wei Lv, Bin Zhang, Hui Liu, and Zhicheng Wang. 2021. "A Study on Prediction Model of Gully Volume Based on Morphological Features in the JINSHA Dry-Hot Valley Region of Southwest China" ISPRS International Journal of Geo-Information 10, no. 5: 300. https://doi.org/10.3390/ijgi10050300
APA StyleYang, D., Mu, K., Yang, H., Luo, M., Lv, W., Zhang, B., Liu, H., & Wang, Z. (2021). A Study on Prediction Model of Gully Volume Based on Morphological Features in the JINSHA Dry-Hot Valley Region of Southwest China. ISPRS International Journal of Geo-Information, 10(5), 300. https://doi.org/10.3390/ijgi10050300

