A Visual Attention Model Based on Eye Tracking in 3D Scene Maps
Abstract
:1. Introduction
- To study the quantification of visual attention in the reading process of a 3D scene map. Analyzing the eye-tracking data revealed the key eye movement indicators in the map-reading process, combined with the visual variable factors of the ground objects that affect visual attention. Finally, we attempted to establish a visual attention model.
- Ultimately, to lay the foundation for our subsequent study of the cognitive mechanism of the visual variables of the 3D scene map.
2. Related Works
2.1. Visual Attention Research in Computing
2.2. Eye-Tracking Research in 3D Maps
3. Materials and Methods
3.1. Data Collection
3.1.1. Participants
3.1.2. Apparatus
3.1.3. Material
3.1.4. Procedure
Experiment 1
- Welcome the participants and briefly introduce the contents of the experiment, and then use the questionnaire function of Ergo-LAB software to record the participants’ gender, age, education, and professional degree;
- Use the five-point method to calibrate the eyes of the participants until the calibration reached the “Accept” level to ensure the accuracy of eye-tracking;
- Conducting a pre-experiment. Participants were asked to perform sample pictures to practice and familiarize themselves with the operation process;
- The formal experiment was started. The red “十” picture in the center was presented for 1 s to return the participant’s eyes to the center of the screen, and then the street view pictures appeared. When participants believed they had finished viewing a picture, they could move to the next. This was done until the subject finished viewing all of the stimulus material. The data was automatically recorded and saved by the eye-tracking device’s ErgoLAB 3.0 software throughout the experiment.
- At the end of the eye movement test, the playback of the experimental recording was observed with the participant. Participants were asked to think aloud, and if the instrument recording matched their actual observation.
Experiment 2
- Steps (1)–(3) were identical to those of Experiment 1;
- The formal experiment was started. The red “十” picture in the center was presented for 1 s to return the participant’s eyes to the center of the screen, and then the three-dimensional scene maps appeared. Three sets of comparative experiments were conducted depending on how the maps were switched from one to the next. In Experiment 2.1, the timing of map switching was determined by the participants. When participants thought they had finished viewing the current map, they switched to the next by themselves until they had finished viewing all of the stimulus material. In Experiment 2.2, the map switching time was fixed at 6 s. When the map was presented on the screen for 6 s, it was automatically switched to the next map until participants had finished viewing all of the stimuli. In Experiment 2.3, the timing of the map switch was arbitrarily switched by the researcher. When the map was presented on the screen, the researcher could randomly switch to the next map as he/she wished, regardless of whether the participant had finished viewing the map or not, until the subject had finished viewing all of the stimulus material. The data was automatically recorded and saved by the eye-tracking device’s ErgoLAB 3.0 software throughout the experiment.
- At the end of the eye movement test, the playback of the experimental recording was observed with the participant, and the participant was asked to think aloud and if the instrument recording matched their actual observation.
Relationship between Experiment 1 and Experiment 2
3.2. Modeling Methods
3.2.1. Basic Ideas
- To determine the visual factor index system and the calculation method of Oi(y), and to construct the experimental environment based on the visual factors.
- To collect the eye-tracking data using the eye-tracking technique, and to characterize the visual saliency (S(x)) by the combination of eye movement indexes.
- To construct the experimental environment using the 3D scene map. The calculation of each visual influence factor is combined with the eye movement observation data to fit and solve the percentage ki and constant C.
3.2.2. Modeling between Eye-Tracking Index and Visual Saliency
3.2.3. Modeling between Eye-Tracking Index and Visual Factors
3.2.4. Normalization and Different Degree Calculation
3.3. Model Coefficient Solving Methods
- First, the independent variables were included in the regression model sequentially. The first independent variable entering the regression model is the most closely related to the dependent variable, i.e., the independent variable that shows the greatest correlation with the dependent variable.
- The second independent variable to enter the regression is the one that is most highly correlated with the dependent variable and the first independent variable. In turn, all independent variables are included in the regression model by this rule.
- At each step of the execution, an F-test was used to test the independent variables entering the regression model.
3.4. Model Validation Methods
4. Results
4.1. Solving between Eye Movement Index and (z)
4.1.1. Data Analysis
4.1.2. Solving the Model
4.1.3. Model Analysis
4.2. Solving between Eye Movement Index and Visual Factors
4.2.1. Data Analysis
4.2.2. Solving Model
4.2.3. Model Analysis
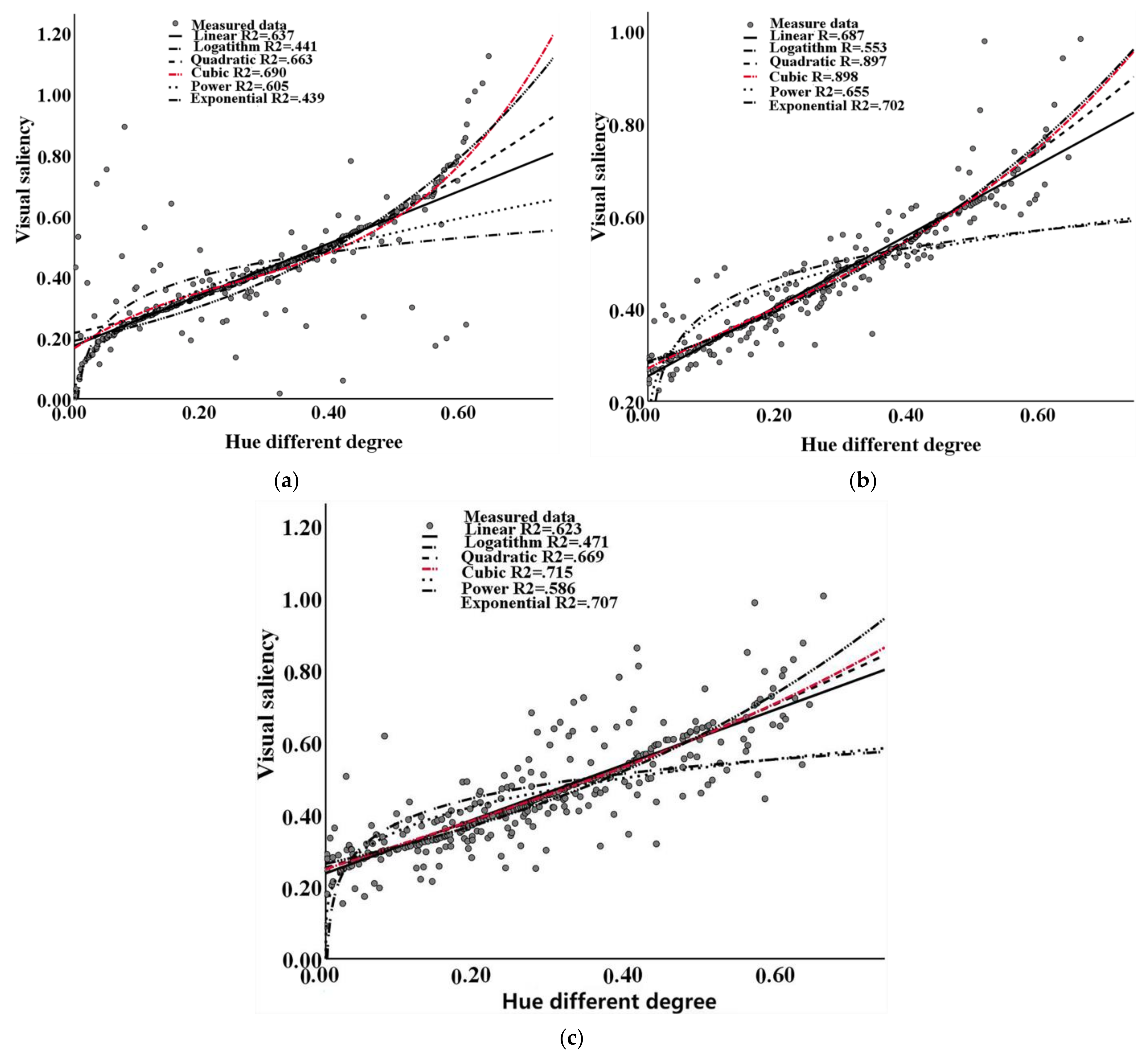
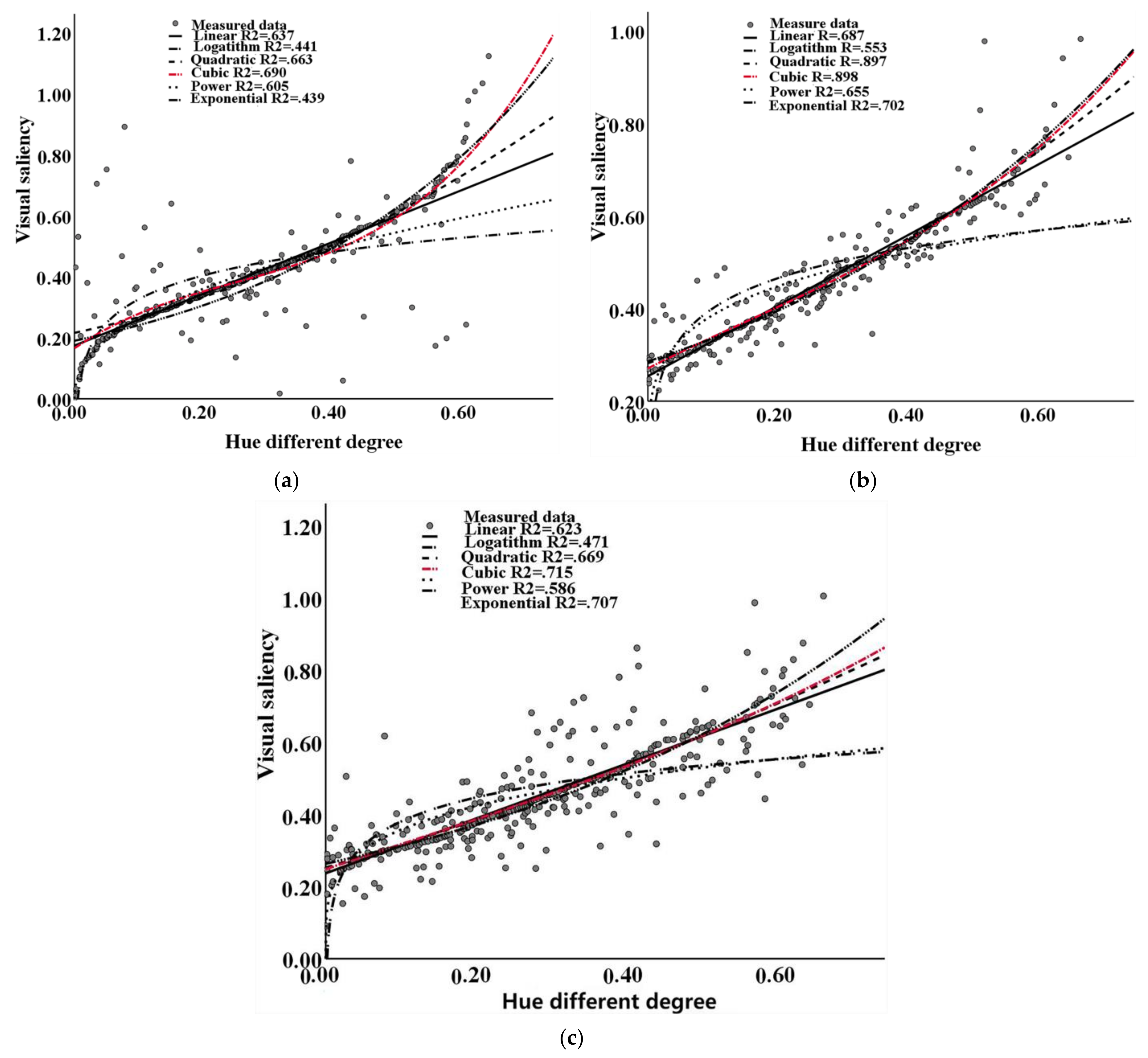
- (a)
- From the overall form of the regression equation, it can be seen that the visual saliency is affected by the color factor difference degree (x1, x2, x3), size factor difference degree (x4), and shape factor difference degree (x5~x10), and that the influence of each factor degree is different.
- (b)
- From the analysis of the various factors of the equation, the influence of each factor on the visual saliency is different. There are linear and non-linear effects, single factor and compound factor effects, and positive and negative correlation effects. The regression coefficients of each influence factor were taken as absolute values, and the effect size of each factor was analyzed. In the bottom-up model, sphericity had a maximum coefficient of 1.786, and value had a minimum coefficient of 0.033 on visual saliency, and the other factors fell between these two values. In the top-down model, hue had a maximum coefficient of 1.305, and saturation had a minimum coefficient of 0.056 on visual saliency, whereas the other factors were between these two values. In the mixed model, the maximum coefficient of hue relative to visual saliency was 1.510, and the minimum sphericity coefficient was 0.025, with other factors in between.
4.3. Model Validation Results
5. Discussion
5.1. Important Factor for Visual Saliency Model
5.2. Important Factor for Visual Attention Model
6. Conclusions and Future Research
Author Contributions
Funding
Institutional Review Board Statement
Informed Consent Statement
Data Availability Statement
Acknowledgments
Conflicts of Interest
References
- Bull, D.R. Chapter 2—The Human Visual System; Elsevier Ltd.: Amsterdam, The Netherlands, 2014. [Google Scholar]
- Burian, J.; Popelka, S.; Beitlova, M. Evaluation of the Cartographical Quality of Urban Plans by Eye-Tracking. ISPRS Int. J. Geo-Inf. 2018, 7, 192. [Google Scholar] [CrossRef] [Green Version]
- Keskin, M.; Ooms, K.; Dogru, A.O.; De Maeyer, P. Exploring the Cognitive Load of Expert and Novice Map Users Using EEG and Eye Tracking. ISPRS Int. J. Geo-Inf. 2020, 9, 429. [Google Scholar] [CrossRef]
- Göbel, F.; Kiefer, P.; Raubal, M. FeaturEyeTrack: Automatic matching of eye tracking data with map features on interactive maps. Geoinformatica 2019, 23, 663–687. [Google Scholar] [CrossRef]
- Popelka, S.; Vondrakova, A.; Hujnakova, P. Eye-tracking Evaluation of Weather Web Maps. ISPRS Int. J. Geo-Inf. 2019, 8, 256. [Google Scholar] [CrossRef] [Green Version]
- Liu, B.; Ding, L.; Meng, L. What is the difference between augmented reality and 2D navigation electronic maps in pedestrian wayfinding. Cartogr. Geogr. Inf. Sci. 2021, 48, 305–319. [Google Scholar] [CrossRef]
- Cybulski, P. Effectiveness of Memorizing an Animated Route—Comparing Satellite and Road Map Differences in the Eye-Tracking Study. ISPRS Int. J. Geo-Inf. 2021, 10, 159. [Google Scholar] [CrossRef]
- Dong, W.; Liao, H.; Zhan, Z.; Liu, B.; Wang, S.; Yang, T. New research progress of eye tracking-based map cognition in cartography since 2008. Acta Geogr. Et Cartogr. Sin. 2019, 74, 599–614. [Google Scholar] [CrossRef]
- Lv, G.; Yu, Z.; Yuan, L.; Ro, W.; Zhou, L.; Wu, M.; Sheng, Y. Is the Future of Cartography the Scenario Science? J. Geo-Inf. Sci. 2018, 20, 1–6. [Google Scholar] [CrossRef]
- Mao, Z. New Course in Cartography, 2nd ed.; Higher Education Press: Beijing, China, 2008. [Google Scholar]
- Wolfe, J.M. Guided Search 2.0 A revised model of visual search. Psychon. Bull. Rev. 1994, 1, 202–238. [Google Scholar] [CrossRef] [Green Version]
- Wolfe, J.M. Guided Search 6.0 A revised model of visual search. Psychon. Bull. Rev. 2021, 28, 1060–1092. [Google Scholar] [CrossRef]
- Jia, F.; Tian, J.; Zhi, M. A visual salience model of landmark based on virtual geographical experiments. Acta Geogr. Et Cartogr. Sin. 2018, 47, 1114–1122. [Google Scholar] [CrossRef]
- Chao, X.; Yufen, C.; Yingjie, W.; Xilin, K. Electronic map design based on parametric template technology. Geomat. Inf. Sci. Wuhan Univ. 2009, 34, 956–960. [Google Scholar]
- Treisman, A.M.; Gelade, G. A feature-integration theory of attention. Cogn. Psychol. 1980, 12, 97–136. [Google Scholar] [CrossRef]
- Itti, L. A model of saliency-based visual attention for rapid scene analysis. IEEE Trans 1998, 20. [Google Scholar] [CrossRef] [Green Version]
- Parkhurst, D.; Law, K.; Niebur, E. Modeling the role of salience in the allocation of overt visual attention. Vis. Res. 2002, 42, 107–123. [Google Scholar] [CrossRef] [Green Version]
- Itti, L. Quantifying the contribution of low-level saliency to human eye movements in dynamic scenes. Vis. Res. 2005, 12, 1093–1123. [Google Scholar] [CrossRef]
- Itti, L.; Koch, C. Computational modelling of visual attention. Nat. Rev. Neurosci. 2001, 2. [Google Scholar] [CrossRef] [Green Version]
- Walther, D.; Koch, C. Modeling attention to salient proto-objects. Neural Netw. Off. J. Int. Neural Netw. Soc. 2006, 19, 1395–1407. [Google Scholar] [CrossRef]
- Mirian, M.S.; Ahmadabadi, M.N.; Araabi, B.N.; Siegwart, R.R. Learning active fusion of multiple experts’ decisions: An attention-based approach. Neural Comput. 2011, 23, 558–591. [Google Scholar] [CrossRef] [Green Version]
- Eriksen, C.W.; James, J.D.S. Visual attention within and around the field of focal attention: A zoom lens model. Percept. Psychophys. 1986, 40, 225–240. [Google Scholar] [CrossRef] [Green Version]
- Koch, C.; Ullman, S. Shifts in Selective Visual Attention: Towards the Underlying Neural Circuitry. Hum. Neurobiol. 1987, 4, 219–227. [Google Scholar] [CrossRef]
- Li, N.; Zhao, X.; Ma, B.; Zou, X. A Visual Attention Model Based on Human Visual Cognition. In Proceedings of the Advances in Brain Inspired Cognitive Systems, Xi’an, China, 7–8 July 2018; pp. 271–281. [Google Scholar]
- Woo, S.; Park, J.; Lee, J.-Y.; Kweon, I.S. CBAM: Convolutional Block Attention Module. In Proceedings of the European Conference on Computer Vision (ECCV), Munich, Germany, 8–14 September 2018; pp. 3–19. [Google Scholar]
- Hu, X.; Yang, K.; Fei, L.; Wang, K. ACNet: Attention Based Network to Exploit Complementary Features for RGBD Semantic Segmentation. In Proceedings of the 2019 IEEE International Conference on Image Processing (ICIP), Taipei, Taiwan, 22–25 September 2019; pp. 1440–1444. [Google Scholar]
- Scholl, B. Objects and attention: The state of the art. Cognition 2001, 80, 1–46. [Google Scholar] [CrossRef]
- Einhäuser, W.; Spain, M.; Perona, P. Objects predict fixations better than early saliency. J. Vis. 2008, 8, 1–26. [Google Scholar] [CrossRef]
- John, D. Selective attention and the organization of visual information. J. Exp. Psychol. Gen. 1984, 113, 501–517. [Google Scholar] [CrossRef]
- Borji, A.; Ahmadabadi, M.N.; Araabi, B.N.; Hamidi, M. Online learning of task-driven object-based visual attention control. Image Vis. Comput. 2010, 28, 1130–1145. [Google Scholar] [CrossRef]
- Yaoru, S.; Rober, F. Object-based visual attention for computer vision. Artif. Intell. 2003, 146, 77–123. [Google Scholar] [CrossRef] [Green Version]
- Liu, B.; Dong, W.; Wang, Y.; Zhang, N. The Influence of FOV and Viewing Angle on the Visual Information Processing of 3D Maps. J. Geo-Inf. Sci. 2015, 17, 1490–1496. [Google Scholar] [CrossRef]
- Liu, B.; Dong, W.; Meng, L. Using Eye Tracking to Explore the Guidance and Constancy of Visual Variables in 3D Visualization. ISPRS Int. J. Geo-Inf. 2017, 6, 274. [Google Scholar] [CrossRef] [Green Version]
- Popelka, S.; Doležalová, J. Non-photorealistic 3D Visualization in City Maps: An Eye-Tracking Study. In Modern Trends in Cartography: Selected Papers of CARTOCON 2014; Springer International Publishing: Cham, Switzland, 2015; pp. 357–367. [Google Scholar]
- Lei, T.C.; Wu, S.C.; Chao, C.W.; Lee, S.H. Evaluating differences in spatial visual attention in wayfinding strategy when using 2D and 3D electronic maps. Geojournal 2016, 81, 153–167. [Google Scholar] [CrossRef]
- Popelka, S.; Brychtova, A. Eye-tracking Study on Different Perception of 2D and 3D Terrain Visualisation. Cartogr. J. 2013, 50, 240–246. [Google Scholar] [CrossRef]
- Popelka, S.; Dedkova, P. Extinct Village 3D visualization and its Evaluation with Eye-Movement Recording. In Proceedings of the ICCSA 2014, Guimaraes, Portugal, 30 June–3 July 2014; pp. 786–795. [Google Scholar]
- Lee, S.; Cinn, E.; Yan, J.; Jung, J. Using an eye teacking to study three-dismensional environmental aesthetics: The impact of architectural elements and educational training on viewer’s visual attention. J. Archit. Plan. Res. 2015, 32, 145–167. [Google Scholar]
- Balzarini, R.; Murat, M. The effectiveness of panoramic maps design: A preliminary study based on mobile eye-tracking. Remote Sens. Spat. Inf. Sci. 2016, 361–368. [Google Scholar] [CrossRef] [Green Version]
- Banitalebi-Dehkordi, A.; Nasiopoulos, E.; Pourazad, M.; Nasiopoulos, P. Benchmark three-dimensional eye-tracking dataset for visual saliency prediction on stereoscopic three-dimensional video. J. Electron. Imaging 2016, 25, 013008. [Google Scholar] [CrossRef]
- Herman, L.; Popelka, S.; Hejlova, V. Eye-tracking Analysis of Interactive 3D Geovisualization. J. Eye Mov. Res. 2017, 10. [Google Scholar] [CrossRef]
- Brazil, W.; O’Dowd, A.; Caulfield, B. Using eye-tracking technology and Google street view to understand cyclists’ perceptions. In Proceedings of the 2017 IEEE 20th International Conference on Intelligent Transportation Systems, Yokohama, Japan, 16–19 October 2017; pp. 1–6. [Google Scholar]
- Wolfe, J.M.; Horowitz, T.S. What attributes guide the deployment of visual attention and how do they do it? Nat. Rev. Neuroence 2004, 5, 495–501. [Google Scholar] [CrossRef]
- Anderson, J.; Yulin, Q. Cognitive Psychology and Its Enlightenment; People’s Posts and Telecommunications Press: Beijing, China, 2012. [Google Scholar]
- Tian, Y.; Mao, B.; Wang, F. Design Psychology; Electronic Industry Press: Beijing, China, 2013. [Google Scholar]
- Wu, X.; Zhou, F. Design Cognition: Design Psychology and User Research; Southeast University Press: Nanjing, China, 2013. [Google Scholar]
- Garlandini, S.; Fabrikant, S.I. Evaluating the effectiveness and efficiency of visual variables for geographic information visualization. In Proceedings of the Spatial Information Theory: 9th International Conference, Aber Wrac’h, France, 21–25 September 2009; pp. 195–211. [Google Scholar]
- Dong, W.; Liao, H.; Fang, X.; Liu, Z.; Zhang, S. Using eye tracking to evaluate the usability of animated maps. Sci. China Earth Sci. 2014, 57, 512–522. [Google Scholar] [CrossRef]
- Dong, W.; Ran, J.; Wang, J. Effectiveness and Efficiency of Map Symbols for Dynamic Geographic Information Visualization. Am. Cartogr. 2012, 39, 98–106. [Google Scholar] [CrossRef]
- Li, W.; Chen, Y. Cartography eye movements study and experimental parameter analysis. Bull. Surv. Mapp. 2012, 10, 16–20. [Google Scholar]
- Zheng, S. Research on Personalized Map Cognition Mechanism; Chinese People’s Liberation Army Information Engineering University: Zhengzhou, China, 2015. [Google Scholar]
- Chang, Y.; Chen, X.; Xu, L.; Wang, H.; Wang, S. Color Composition; Chongqing University Press: Chongqing, China, 2015. [Google Scholar]
- Wang, X.; Huang, D.; Du, J.; Zhang, G. Research on Leaf Image Feature Extraction and Recognition Technology. Comput. Eng. Appl. 2006, 42, 190–193. [Google Scholar]
- Tobler, W.R. A Computer Movie Simulating Urban Growth in the Detroit Region. Econ. Geogr. 1970, 46, 234–240. [Google Scholar] [CrossRef]
- Zhang, H.; Zhang, H. SPSS Statistical Analysis Practical Collection; Tsinghua University Press: Beijing, China, 2012. [Google Scholar]
- Yang, N. The unique role of ridge regression analysis in solving multicollinearity problems. Stat. Decis. 2004, 3, 14–15. [Google Scholar] [CrossRef]
- Bates, W. Non-Linear Regression Analysis and Its Application; China Statistical Press: Beijing, China, 1997. [Google Scholar]
- Jiang, T.; Zhang, Q.; Zhou, L.; Jiao, M.; Wang, X. Research on nonlinear regression model based on wavelet method. Acta Geogr. Et Cartogr. Sin. 2006, 35, 337–341. [Google Scholar]
- Negi, S.; Mitra, R. Fixation duration and the learning process: An eye tracking study with subtitled videos. J. Eye Mov. Res. 2020, 13. [Google Scholar] [CrossRef]







| Name | Description |
|---|---|
| Time to first fixation(s) | The time from the start of the stimulus display until the subject fixates on the AOI for the first time. |
| First fixation duration(s) | Duration of the first fixation on the AOI. |
| Total visit duration(s) | Duration of all visits within the AOI. |
| Average visit duration(s) | Duration of each individual visit within the AOI. |
| visit count(N) | Number of subjects visit the AOI. |
| Total fixation duration(s) | Duration of all fixation within the AOI. |
| Average fixation duration(s) | Duration of each fixation in the AOI. |
| Fixation count(N) | Number of fixation points in the AOI. |
| Name | Description of the Calculation Method | Quantification Method | |
|---|---|---|---|
| Color | Hue | The hue/saturation/value is divided into 10 categories with equal spacing, and the quantization value is also divided into equal spacing | (n − 1) × 36°≤ ΔH ≤ n × 36° 0.1 × n |
| Saturation | (n − 1) × 10°≤ ΔS/ΔV ≤ n × 10° 0.1 × n | ||
| Value | |||
| Size | MBR | The sum of the bounding rectangles of the smallest area of all visible surfaces of the ground feature | |
| Shape | Aspect Ratio | The sum of the ratio of the length and width of the minimum bounding rectangle of the smallest area of all visible surfaces of the ground feature | |
| Rectangularity | The sum of the ratio of the area of all visible surfaces of the ground feature to the area of the minimum area bounding rectangle | ||
| Area Convexity | The sum of the ratio of the area of all visible surfaces of the ground feature to its convex hull area | ||
| Perimeter Convexity | The sum of the ratio of the perimeter of all visible surfaces of the ground feature to the perimeter of its convex hull | ||
| Sphericity | The calculated value of the area of all visible surfaces of the ground feature and its convex hull perimeter | ||
| Form Factor | Calculated value of all visible surface area and perimeter of features | ||
| e1 | e2 | e3 | e4 | e5 | e6 | e7 | e8 | |
|---|---|---|---|---|---|---|---|---|
| y | −0.609 | 0.239 | 0.738 | 0.695 | 0.775 | 0.745 | 0.363 | 0.764 |
| R | R2 | Adjusted R2 | Errors in Standard Estimation | Change Statistics | |||||
|---|---|---|---|---|---|---|---|---|---|
| R2 Variation | F Variation | DOF 1 | DOF 2 | Sig F Variation | D-W | ||||
| 0.825 | 0.681 | 0.677 | 0.169 | 0.019 | 13.054 | 1 | 128 | 0.000 * | 2.086 |
| R | R2 | Adjusted R2 | Errors in Standard Estimation | Change Statistics | |||||
|---|---|---|---|---|---|---|---|---|---|
| R2 Variation | F Variation | DOF 1 | DOF 2 | Significant F Variation | D-W | ||||
| 0.841 | 0.707 | 0.699 | 0.089 | 0.707 | 87.352 | 12 | 435 | 0.000 * | 2.037 |
| R | R2 | Adjusted R2 | Errors in Standard Estimation | Change Statistics | |||||
|---|---|---|---|---|---|---|---|---|---|
| R2 Variation | F Variation | DOF 1 | DOF 2 | Significant F Variation | D-W | ||||
| 0.954 | 0.911 | 0.907 | 0.040 | 0.911 | 268.598 | 13 | 342 | 0.000 * | 2.036 |
| R | R2 | Adjusted R2 | Errors in Standard Estimation | Change Statistics | |||||
|---|---|---|---|---|---|---|---|---|---|
| R2 Variation | F Variation | DOF 1 | DOF 2 | Significant F Variation | D-W | ||||
| 0.855 | 0.731 | 0.720 | 0.077 | 0.731 | 64.351 | 14 | 331 | 0.000 * | 2.024 |
Publisher’s Note: MDPI stays neutral with regard to jurisdictional claims in published maps and institutional affiliations. |
© 2021 by the authors. Licensee MDPI, Basel, Switzerland. This article is an open access article distributed under the terms and conditions of the Creative Commons Attribution (CC BY) license (https://creativecommons.org/licenses/by/4.0/).
Share and Cite
Yang, B.; Li, H. A Visual Attention Model Based on Eye Tracking in 3D Scene Maps. ISPRS Int. J. Geo-Inf. 2021, 10, 664. https://doi.org/10.3390/ijgi10100664
Yang B, Li H. A Visual Attention Model Based on Eye Tracking in 3D Scene Maps. ISPRS International Journal of Geo-Information. 2021; 10(10):664. https://doi.org/10.3390/ijgi10100664
Chicago/Turabian StyleYang, Bincheng, and Hongwei Li. 2021. "A Visual Attention Model Based on Eye Tracking in 3D Scene Maps" ISPRS International Journal of Geo-Information 10, no. 10: 664. https://doi.org/10.3390/ijgi10100664
APA StyleYang, B., & Li, H. (2021). A Visual Attention Model Based on Eye Tracking in 3D Scene Maps. ISPRS International Journal of Geo-Information, 10(10), 664. https://doi.org/10.3390/ijgi10100664
